Tunable Polarization Gratings Based on Nematic Liquid Crystal Mixtures Photoaligned with Azo Polymer-Coated Substrates
Abstract
1. Introduction
2. Experimental
2.1. Materials
2.2. Preparation of the LC Diffraction Gratings
2.3. Measurements of Spectroscopic and Electro-Optical Properties of the LC Gratings
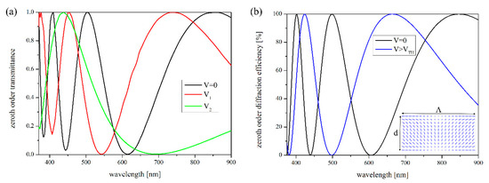
3. Results and Discussion
4. Conclusions
Author Contributions
Funding
Acknowledgments
Conflicts of Interest
References
- Cincotti, G. Polarization gratings: Design and applications. IEEE J. Quantum Electron. 2003, 39, 1645–1652. [Google Scholar] [CrossRef]
- Kakichashvili, S.D. Hologram polarization recording. Optika Spektrosk. 1972, 33, 324–327. [Google Scholar]
- Nikolova, L.; Todorov, T. Diffraction efficiency and selectivity of polarization holographic recording. Optica Acta 1984, 31, 579–588. [Google Scholar] [CrossRef]
- Nikolova, L.; Ramanujam, P.S. Polarization Holography; Cambridge University Press: Cambridge, UK, 2009. [Google Scholar]
- Xu, M.; de Boer, D.K.; van Heesch, C.M.; Wachters, A.J.; Urbach, H.P. Photoanisotropic polarization gratings beyond the small recording angle regime. Opt. Express 2010, 18, 6703–6721. [Google Scholar] [CrossRef] [PubMed]
- Dumont, M.L.; Sekkat, Z. Dynamical study of photoinduced anisotropy and orientational relaxation of azo dyes in polymeric films: Poling at room temperature. Proc. SPIE 1993, 1774, 188–199. [Google Scholar]
- Natansohn, A.; Rochon, P. Photoinduced motions in azo-containing polymers. Chem. Rev. 2002, 102, 4139–4176. [Google Scholar] [CrossRef] [PubMed]
- Yager, K.G.; Barrett, C.J. Novel photo-switching using azobenzene functional materials. J. Photochem. Photobiol. A 2006, 182, 250–261. [Google Scholar] [CrossRef]
- Hvilsted, S.; Sánchez, C.; Alcalá, R. The volume holographic optical storage potential in azobenzene containing polymers. J. Mat. Chem. 2009, 19, 6641–6648. [Google Scholar] [CrossRef]
- Barrett, C.J.; Natansohn, A.L.; Rochon, P.L. Mechanism of optically inscribed high-efficiency diffraction gratings in azo polymer films. J. Phys. Chem. 1996, 100, 8836–8842. [Google Scholar] [CrossRef]
- Lagugné Labarthet, F.; Buffeteau, T.; Sourisseau, C. Analyses of the diffraction efficiencies, birefringence, and surface relief gratings on azobenzene-containing polymer films. J. Phys. Chem. B 1998, 102, 2654–2662. [Google Scholar] [CrossRef]
- Helgert, M.; Fleck, B.; Wenke, L.; Hvilsted, S.; Ramanujam, P. An improved method for separating the kinetics of anisotropic and topographic gratings in side-chain azobenzene polyesters. Appl. Phys. B 2000, 70, 803–807. [Google Scholar] [CrossRef]
- Takase, H.; Natansohn, A.; Rochon, P. Photocrosslinked surface relief gratings on azobenzene-containing copolymer films. Polymer 2003, 44, 7345–7351. [Google Scholar] [CrossRef]
- Viswanathan, N.K.; Balasubramanian, S.; Li, L.; Tripathy, S.K.; Kumar, J. A detailed investigation of the polarization-dependent surface-relief-grating formation process on azo polymer films. Jpn. J. Appl. Phys. 1999, 38, 5928. [Google Scholar] [CrossRef]
- Sarkissian, H.; Park, B.; Tabirian, N.; Zeldovich, B. Periodically aligned liquid crystal: Potential application for projection displays. Mol. Cryst. Liq. Cryst. 2006, 451, 1–19. [Google Scholar] [CrossRef]
- Oh, C.; Escuti, M.J. Achromatic diffraction from polarization gratings with high efficiency. Opt. Lett. 2008, 33, 2287–2289. [Google Scholar] [CrossRef]
- Li, J.; Hu, X.; Wei, B.; Wu, Z.; Ge, S.; Ji, W.; Hu, W.; Lu, Y. Simulation and optimization of liquid crystal gratings with alternate twisted nematic and planar aligned regions. Appl. Opt. 2014, 53, E14–E18. [Google Scholar] [CrossRef]
- Park, J.; Yu, C.; Kim, J.; Chung, S.; Lee, S. Concept of a liquid-crystal polarization beamsplitter based on binary phase gratings. Appl. Phys. Lett. 2003, 83, 1918–1920. [Google Scholar] [CrossRef]
- Weglowski, R.; Kozanecka-Szmigiel, A.; Piecek, W.; Konieczkowska, J.; Schab-Balcerzak, E. Electro-optically tunable diffraction grating with photoaligned liquid crystals. Opt. Commun. 2017, 400, 144–149. [Google Scholar] [CrossRef]
- Chen, R.; Lee, Y.; Zhan, T.; Yin, K.; An, Z.; Wu, S. Multistimuli-Responsive Self-Organized Liquid Crystal Bragg Gratings. Adv. Opt. Mater. 2019, 7, 1900101. [Google Scholar] [CrossRef]
- Xiong, J.; Chen, R.; Wu, S. Device simulation of liquid crystal polarization gratings. Opt. Express 2019, 27, 18102–18112. [Google Scholar] [CrossRef]
- Lucht, S.; Neher, D.; Miteva, T.; Nelles, G.; Yasuda, A.; Hagen, R.; Kostromine, S. Photoaddressable polymers for liquid crystal alignment. Liq. Cryst. 2003, 30, 337–344. [Google Scholar] [CrossRef]
- Yaroshchuk, O.; Reznikov, Y. Photoalignment of liquid crystals: Basics and current trends. J. Mat. Chem. 2012, 22, 286–300. [Google Scholar] [CrossRef]
- Seki, T.; Nagano, S.; Hara, M. Versatility of photoalignment techniques: From nematics to a wide range of functional materials. Polymer 2013, 54, 6053–6072. [Google Scholar] [CrossRef]
- Crawford, G.P.; Eakin, J.N.; Radcliffe, M.D.; Callan-Jones, A.; Pelcovits, R.A. Liquid-crystal diffraction gratings using polarization holography alignment techniques. J. Appl. Phys. 2005, 98, 123102. [Google Scholar] [CrossRef]
- Kawai, K.; Sakamoto, M.; Noda, K.; Sasaki, T.; Kawatsuki, N.; Ono, H. Design and fabrication of a tunable wavelength-selective polarization grating. Appl. Opt. 2016, 55, 6269–6274. [Google Scholar] [CrossRef] [PubMed]
- Presnyakov, V.; Asatryan, K.; Galstian, T.; Chigrinov, V. Optical polarization grating induced liquid crystal micro-structure using azo-dye command layer. Opt. Express 2006, 14, 10558–10564. [Google Scholar] [CrossRef] [PubMed]
- Provenzano, C.; Pagliusi, P.; Cipparrone, G. Highly efficient liquid crystal based diffraction grating induced by polarization holograms at the aligning surfaces. Appl. Phys. Lett. 2006, 89, 121105. [Google Scholar] [CrossRef]
- Kozanecka-Szmigiel, A.; Rutkowska, K.A.; Nieborek, M.; Kwasny, M.; Karpierz, M.A.; Schab-Balcerzak, E.; Konieczkowska, J.; Szmigiel, D. Photopatterned azo poly (amide imide) layers as aligning substrates of holographic liquid crystal diffraction gratings for beam steering applications. J. Mater. Chem. C 2020, 8, 968–976. [Google Scholar] [CrossRef]
- Konieczkowska, J.; Schab-Balcerzak, E.; Siwy, M.; Switkowski, K.; Kozanecka-Szmigiel, A. Large and highly stable photoinduced birefringence in poly (amideimide) s with two azochromophores per structural unit. Opt. Mater. 2015, 39, 199–206. [Google Scholar] [CrossRef]
- Budaszewski, D.; Chychłowski, M.; Budaszewska, A.; Bartosewicz, B.; Jankiewicz, B.; Woliński, T.R. Enhanced efficiency of electric field tunability in photonic liquid crystal fibers doped with gold nanoparticles. Opt. Express 2019, 27, 14260–14269. [Google Scholar] [CrossRef]
- Brust, M.; Walker, M.; Bethell, D.; Schiffrin, D.J.; Whyman, R. Synthesis of thiol-derivatised gold nanoparticles in a two-phase liquid–liquid system. J. Chem. Soc. Chem. Commun. 1994, 7, 801–802. [Google Scholar] [CrossRef]
- Vardanyan, K.K.; Palazzo, E.D.; Walton, R.D. Nematic nanocomposites with enhanced optical birefringence. Liq. Cryst. 2011, 38, 709–715. [Google Scholar] [CrossRef]
- Acreman, A.; Kaczmarek, M.; D’Alessandro, G. Gold nanoparticle liquid crystal composites as a tunable nonlinear medium. Phys. Rev. E 2014, 90, 012504. [Google Scholar] [CrossRef]
- Tejaswi, M.; Rao, M.; Datta Prasad, P. Synthesis and characterization of citrate capped gold nanoparticles and their effect on liquid crystals: Optical studies. J. Chem. 2016, 9, 697–705. [Google Scholar]
- Li, J.; Wen, C.; Gauza, S.; Lu, R.; Wu, S. Refractive indices of liquid crystals for display applications. J. Disp. Technol. 2005, 1, 51. [Google Scholar] [CrossRef]
- Rutkowska, K.; Kozak, A.; Orzechowski, K. Chromatic dispersion measurements of selected liquid crystalline materials for integrated optics applications. Proc. SPIE 2016, 10034, 100340J. [Google Scholar]
- Ko, M.O.; Kim, S.; Kim, J.; Lee, B.W.; Jeon, M.Y. Measurement of effective refractive index of nematic liquid crystal in Fabry-Perot etalon. J. Opt. Soc. Korea 2015, 19, 346–350. [Google Scholar] [CrossRef]
- Abbas, B.; Khalil, M.A. An Experimental Method for Determination of the Refractive Index of Liquid Samples Using Michelson Interferometer. Acta Phys. Pol. A 2016, 129, 59. [Google Scholar] [CrossRef]
- Inam, M.; Srivastava, V.; Mehta, D. Measurement of birefringence of nematic liquid crystal material by multiple-wavelength interferometry using nearly common-path single-stage Mach-Zehnder interferometer. Appl. Opt. 2013, 52, 8067–8072. [Google Scholar] [CrossRef]
- Tang, S.; Kwok, H. Transmissive liquid crystal cell parameters measurement by spectroscopic ellipsometry. J. Appl. Phys. 2001, 89, 80–85. [Google Scholar] [CrossRef]
- Wu, S.; Efron, U.; Hess, L.D. Birefringence measurements of liquid crystals. Appl. Opt. 1984, 23, 3911–3915. [Google Scholar] [CrossRef] [PubMed]
- Özder, S.; Coskun, E.; Köysal, O.; Kocahan, Ö. Determination of birefringence dispersion in nematic liquid crystals by using an S-transform. Opt. Lett. 2007, 32, 2001–2003. [Google Scholar]
- Nishiyama, I.; Yoshida, N.; Otani, Y.; Umeda, N. Single-shot birefringence measurement using radial polarizer fabricated by direct atomic force microscope stroking method. Meas. Sci. Technol. 2007, 18, 1673. [Google Scholar] [CrossRef]
- Escuti, M.J.; Jones, W.M. A polarization-independent liquid crystal spatial light modulator. Proc. SPIE 2006, 6332, 63320M. [Google Scholar]







© 2020 by the authors. Licensee MDPI, Basel, Switzerland. This article is an open access article distributed under the terms and conditions of the Creative Commons Attribution (CC BY) license (http://creativecommons.org/licenses/by/4.0/).
Share and Cite
Nieborek, M.; Rutkowska, K.; Woliński, T.R.; Bartosewicz, B.; Jankiewicz, B.; Szmigiel, D.; Kozanecka-Szmigiel, A. Tunable Polarization Gratings Based on Nematic Liquid Crystal Mixtures Photoaligned with Azo Polymer-Coated Substrates. Crystals 2020, 10, 768. https://doi.org/10.3390/cryst10090768
Nieborek M, Rutkowska K, Woliński TR, Bartosewicz B, Jankiewicz B, Szmigiel D, Kozanecka-Szmigiel A. Tunable Polarization Gratings Based on Nematic Liquid Crystal Mixtures Photoaligned with Azo Polymer-Coated Substrates. Crystals. 2020; 10(9):768. https://doi.org/10.3390/cryst10090768
Chicago/Turabian StyleNieborek, Mateusz, Katarzyna Rutkowska, Tomasz Ryszard Woliński, Bartosz Bartosewicz, Bartłomiej Jankiewicz, Dariusz Szmigiel, and Anna Kozanecka-Szmigiel. 2020. "Tunable Polarization Gratings Based on Nematic Liquid Crystal Mixtures Photoaligned with Azo Polymer-Coated Substrates" Crystals 10, no. 9: 768. https://doi.org/10.3390/cryst10090768
APA StyleNieborek, M., Rutkowska, K., Woliński, T. R., Bartosewicz, B., Jankiewicz, B., Szmigiel, D., & Kozanecka-Szmigiel, A. (2020). Tunable Polarization Gratings Based on Nematic Liquid Crystal Mixtures Photoaligned with Azo Polymer-Coated Substrates. Crystals, 10(9), 768. https://doi.org/10.3390/cryst10090768

