Cobalt(II) Complexes Based on Benzylmalonate Anions Exhibiting Field-Induced Single-Ion Magnet Slow Relaxation Behavior
Abstract
1. Introduction
2. Materials and Methods
2.1. Synthesis
2.1.1. General Details
2.1.2. Synthesis of New Compounds
2.2. Single Crystal X-ray Diffraction Analysis
2.3. Powder X-ray Diffraction
2.4. Magnetic Measurements
2.5. Computational Details
3. Results and Discussion
3.1. Synthesis and Crystal Structure
3.2. Magnetic Properties
3.3. Quantum Chemical Calculations and Griffith Hamiltonian Approach
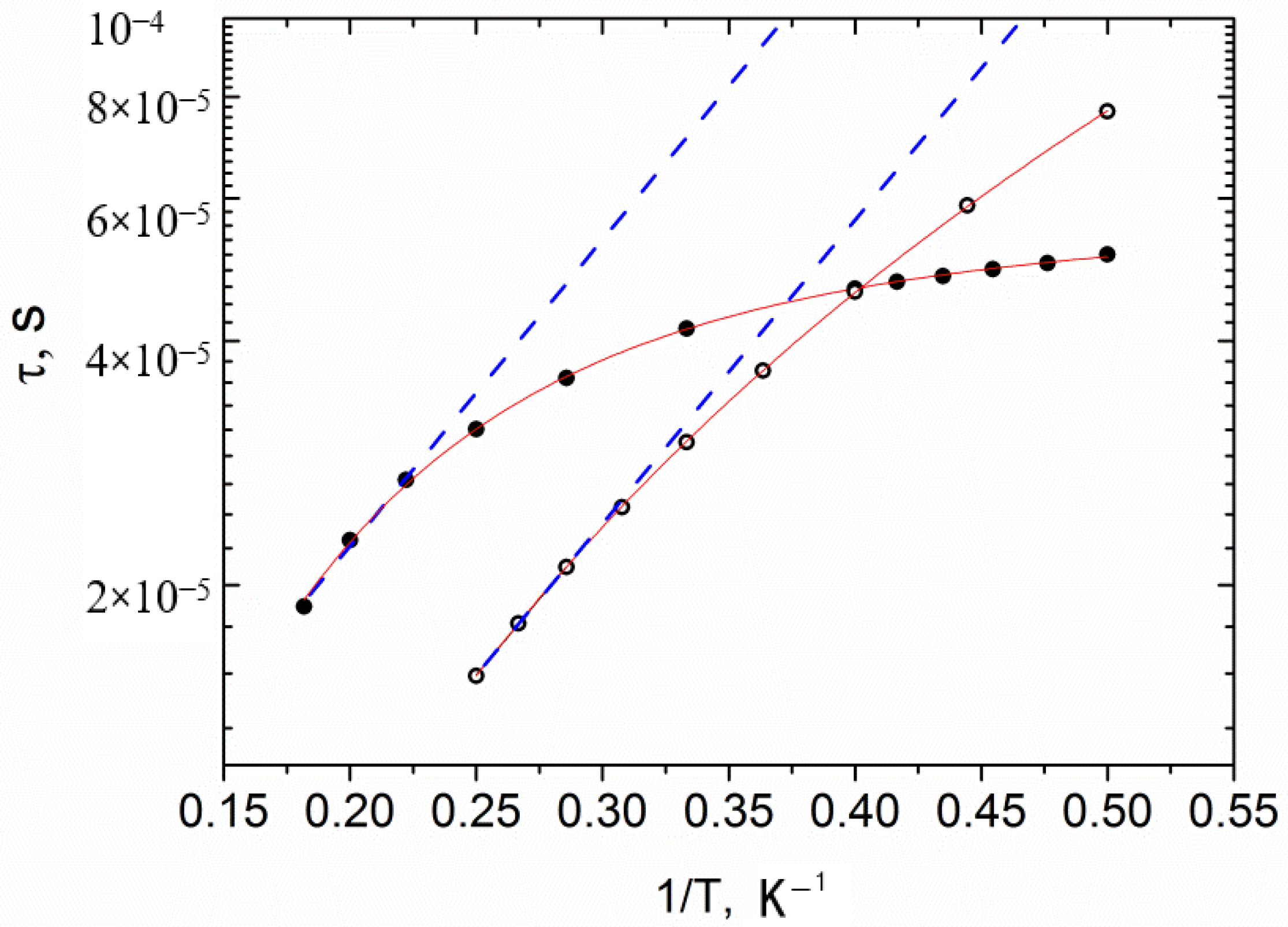
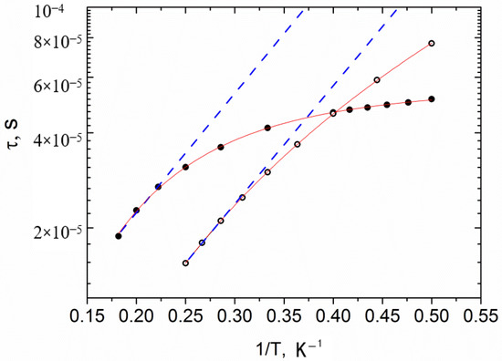
3.4. AC Magnetic Measurements
3.5. Disscussion
4. Conclusions
Supplementary Materials
Author Contributions
Funding
Acknowledgments
Conflicts of Interest
References
- Dereven’kov, I.A.; Salnikov, D.S.; Silaghi-Dumitrescu, R.; Makarov, S.V.; Koifman, O.I. Redox chemistry of cobalamin and its derivatives. Coord. Chem. Rev. 2016, 309, 68–83. [Google Scholar] [CrossRef]
- Hogue, R.W.; Toghill, K.E. Metal coordination complexes in nonaqueous redox flow batteries. Curr. Opin. Electrochem. 2019, 18, 37–45. [Google Scholar] [CrossRef]
- Zorina-Tikhonova, E.N.; Gogoleva, N.V.; Sidorov, A.A.; Kiskin, M.A.; Kolotilov, S.V.; Ivanova, T.M.; Maslakov, K.I.; Dobrokhotova, Z.H.V.; Efimov, N.N.; Novotortsev, V.M.; et al. 2D coordination polymer built from lithium dimethylmalonate and CoII ions: The influence of dehydration on spectral and magnetic properties. Eur. J. Inorg. Chem. 2017, 2017, 1396–1405. [Google Scholar] [CrossRef]
- Amiri, N.; Bourguiba, M.; Guergueb, M.; Chevreux, S.; Nasri, H. Synthesis, molecular structure, spectroscopic characterization and dielectric properties of new cobalt(II) meso-tetraphenylporphyrin-based coordination complex. Inorg. Chem. Commun. 2020, 118, 107995. [Google Scholar] [CrossRef]
- Murrie, M. Cobalt(II) single-molecule magnets. Chem. Soc. Rev. 2010, 39, 1986–1995. [Google Scholar] [CrossRef]
- Sarkar, A.; Dey, S.; Rajaraman, G. Role of coordination number and geometry in controlling the magnetic anisotropy in FeII, CoII, and NiII single-ion magnets. Chem. Eur. J. 2020, 26, 14036–14058. [Google Scholar] [CrossRef]
- Shvydkiy, N.V.; Perekalin, D.S. Reactions of arene replacement in transition metal complexes. Coord. Chem. Rev. 2020, 411, 213238. [Google Scholar] [CrossRef]
- Beyene, B.B.; Hung, C.-H. Recent progress on metalloporphyrin-based hydrogen evolution catalysis. Coord. Chem. Rev. 2020, 410, 213234. [Google Scholar] [CrossRef]
- Schattschneider, C.; Kettenmann, S.D.; Hinojosa, S.; Heinrich, J.; Kulak, N. Biological activity of amphiphilic metal complexes. Coord. Chem. Rev. 2019, 385, 191–207. [Google Scholar] [CrossRef]
- Jastrzab, R.; Kaczmarek, M.T.; Nowak, M.; Trojanowska, A.; Zabiszak, M. Complexes of polyamines and their derivatives as living system active compounds. Coord. Chem. Rev. 2017, 351, 32–44. [Google Scholar] [CrossRef]
- Kahn, O. Molecular Magnetism; VCH Publishers: New York, NY, USA, 1993. [Google Scholar]
- Meng, Y.-S.; Jiang, S.-D.; Wang, B.-W.; Gao, S. Understanding the magnetic anisotropy toward single-ion magnets. Acc. Chem. Res. 2016, 49, 2381–2389. [Google Scholar] [CrossRef] [PubMed]
- Boča, R. Zero-field splitting in metal complexes. Coord. Chem. Rev. 2004, 248, 757–815. [Google Scholar] [CrossRef]
- Vallejo, J.; Castro, I.; Ruiz-García, R.; Cano, J.; Julve, M.; Lloret, F.; De Munno, G.; Wernsdorfer, W.; Pardo, E. Field-induced slow magnetic relaxation in a six-coordinate mononuclear cobalt(II) complex with a positive anisotropy. J. Am. Chem. Soc. 2012, 134, 15704–15707. [Google Scholar] [CrossRef] [PubMed]
- Wu, Y.; Xi, J.; Yang, J.; Song, W.; Luo, S.; Wang, Z.; Liu, X. Coligand effects on the architectures and magnetic properties of octahedral cobalt(ii) complexes with easy-axis magnetic anisotropy. CrystEngComm 2020, 13, 2297–2303. [Google Scholar] [CrossRef]
- Palion-Gazda, J.; Choroba, K.; Machura, B.; Świtlicka, A.; Kruszynki, R.; Cano, J.; Lloret, F.; Julve, M. Influence of the pyrazine substituent on the structure and magnetic properties of dicyanamide-bridged cobalt(ii) complexes. Dalton Trans. 2019, 46, 17266–17280. [Google Scholar] [CrossRef]
- Vallejo, J.; Viciano-Chumillas, M.; Lloret, F.; Julve, M.; Castro, I.; Krzystek, J.; Ozerov, M.; Armentano, D.; De Munno, G.; Cano, J. Coligand effects on the field-induced double slow magnetic relaxation in six-coordinate cobalt(II) single-ion magnets (SIMs) with positive magnetic anisotropy. Inorg. Chem. 2019, 58, 15726–15740. [Google Scholar] [CrossRef]
- Herchel, R.; Váhovská, L.; Potočňák, I.; Trávníček, Z. Slow magnetic relaxation in octahedral cobalt(II) field-induced single-ion magnet with positive axial and large rhombic anisotropy. Inorg. Chem. 2014, 53, 5896–5898. [Google Scholar] [CrossRef]
- Colacio, E.; Ruiz, J.; Ruiz, E.; Cremades, E.; Krzystek, J.; Carretta, S.; Cano, J.; Guidi, T.; Wernsdorfer, W.; Brechin, E.K. Slow magnetic relaxation in a CoII–YIII single-ion magnet with positive axial zero-field splitting. Angewandte 2013, 52, 9130–9134. [Google Scholar] [CrossRef]
- Bazhina, E.S.; Gogoleva, N.V.; Zorina-Tikhonova, E.N.; Kiskin, M.A.; Sidorov, A.A.; Eremenko, I.L. Homo- and heteronuclear architectures of polynuclear complexes containing anions of substituted malonic acids: Synthetic approaches and analysis of molecular and crystal structures. J. Struct. Chem. 2019, 60, 855–881. [Google Scholar] [CrossRef]
- Zorina, E.N.; Zauzolkova, N.V.; Sidorov, A.A.; Aleksandrov, G.G.; Lermontov, A.S.; Kiskin, M.A.; Bogomyakov, A.S.; Novotortsev, V.M.; Eremenko, I.L. Novel polynuclear architectures incorporating Co2+ and K+ ions bound by dimethylmalonate anions: Synthesis, structure, and magnetic properties. Inorg. Chim. Acta 2013, 396, 108–118. [Google Scholar] [CrossRef]
- Zorina-Tikhonova, E.N.; Gogoleva, N.V.; Sidorov, A.A.; Aleksandrov, G.G.; Kiskin, M.A.; Vologzhanina, A.V.; Demina, L.I.; Bogomyakov, A.S.; Efimov, N.N.; Mironov, V.S.; et al. 36-Nuclear anionic dimethylmalonate complexes of nickel(II) and cobalt(II) with cation of NBu4+: Synthesis, structure and magnetic properties. Polyhedron 2017, 130, 67–74. [Google Scholar] [CrossRef]
- Déniz, M.; Hernández-Rodríguez, I.; Pasán, J.; Fabelo, O.; Cañadillas-Delgado, L.; Vallejo, J.; Julve, M.; Llorete, F.; Ruiz-Pérez, C. Syntheses, crystal structures and magnetic properties of five new manganese(II) complexes: Influence of the conformation of different alkyl/aryl substituted malonate ligands on the crystal packing. CrystEngComm 2014, 16, 2766–2778. [Google Scholar] [CrossRef]
- Ruiz-Pérez, C.; Rodríguez-Martín, Y.; Hernández-Molina, M.; Delgado, F.S.; Pasán, J.; Sanchiz, J.; Lloret, F.; Julve, M. Malonic acid: A multi-modal bridging ligand for new architectures and properties on molecule-based magnets. Polyhedron 2003, 22, 2111–2123. [Google Scholar] [CrossRef]
- Wang, Z.-L.; Wei, L.-H.; Niu, J.-Y. Diaquabis[malonato(1–)-κ2O,O′]cobalt(II). Acta Crystallogr. Sect. E Struct. Rep. Online 2005, 61, m1907–m1908. [Google Scholar] [CrossRef]
- Xu, H.; Wang, F. Diammonium diaquabis(malonato-κ2O,O′)cobaltate(II) dihydrate. Acta Crystallogr. Sect. E Struct. Rep. Online 2008, 64, m493. [Google Scholar] [CrossRef] [PubMed]
- Schwarz, T.; Petri, A.; Schilling, J.; Lentz, A. Hexaaquacobalt(II) Bis(hydrogen cyclopropane-l,l-dicarboxylate). Acta Crystallogr. Sect. C 1998, C54, 1104–1105. [Google Scholar] [CrossRef]
- Delgado, F.S.; Hernandez-Molina, M.; Sanchiz, J.; Ruiz-Perez, C.; Rodriguez-Martin, Y.; Lopez, T.; Lloret, F.; Julve, M. Synthesis, crystal structure and magnetic properties of two-dimensional malonato-bridged cobalt(II) and nickel(II) compounds. CrystEngComm 2004, 6, 106–111. [Google Scholar] [CrossRef]
- Galwey, A.K.; Jamieson, D.M.; le Van, M.; Berro, C. The preparation, properties, crystal lattice and thermal decomposition reactions of cobalt malonate dihydrate. Thermochim. Acta. 1974, 10, 161–176. [Google Scholar] [CrossRef]
- Zheng, Y.-Q.; Xie, H.-Z. Two malonato coordination polymers: Syntheses and crystal structures of M(H2O)2(C3H2O4) with M=Co and Ni, C3H4O4 = malonic acid. J. Coord. Chem. 2004, 57, 1537–1543. [Google Scholar] [CrossRef]
- Bouaoud, Y.; Setifi, Z.; Buvailo, A.; Potaskalov, V.A.; Meraziga, H.; Dénés, G. Crystal structure of poly[diaqua(µ-2-carboxyacetato-κ3O,O′:O″)(2-carboxyacetato-κO)di-µ-chlorido-cobalt(II)]. Acta Crystallogr. Sect. E Struct. Rep. Online 2016, E72, 21–24. [Google Scholar]
- Rzaczynska, Z.; Bartyzel, A.; Olszewska, E.; Sawka-Dobrowolska, W. Synthesis and characterization of Co(II), Cu(II) and Zn(II) complexes with 1,1-cyclobutanedicarboxylic acid. Polyhedron 2006, 25, 687–694. [Google Scholar] [CrossRef]
- Sen, R.; Mal, D.; Lopes, A.M.L.; Brandão, P.; Araújoc, J.P.; Lin, Z. Layered transition metal carboxylates: Synthesis, structural aspects and observation of multi-step magnetic transition through phase diagram. Dalton Trans. 2013, 42, 14836–14843. [Google Scholar] [CrossRef] [PubMed]
- Bruker. SADABS; Version 2016/2; Bruker AXS Inc.: Madison, WI, USA, 2016. [Google Scholar]
- Dolomanov, O.V.; Bourhis, L.J.; Gildea, R.J.; Howard, J.A.K.; Puschmann, H. OLEX2: A complete structure solution, refinement and analysis program. J. Appl. Cryst. 2009, 42, 339–341. [Google Scholar] [CrossRef]
- Sheldrick, G.M. Crystal structure refinement with SHELXL. Acta Cryst. Sect. C 2015, C71, 3–8. [Google Scholar] [CrossRef]
- Sluis, P.; van der Spek, A.L. BYPASS: An effective method for the refinement of crystal structures containing disordered solvent regions. Acta Cryst. Sect. A 1990, A46, 194–201. [Google Scholar] [CrossRef]
- Angeli, C.; Cimiraglia, R.; Evangelisti, S.; Leininger, T.; Malrieu, J.-P. Introduction of n-electron valence states for multireference perturbation theory. J. Chem. Phys. 2001, 114, 10252–10264. [Google Scholar] [CrossRef]
- Angeli, C.; Cimiraglia, R.; Malrieu, J.-P. N-electron valence state perturbation theory: A fast implementation of the strongly contracted variant. Chem. Phys. Lett. 2001, 350, 297–305. [Google Scholar] [CrossRef]
- Angeli, C.; Cimiraglia, R. Multireference perturbation configuration interaction V. Third-order energy contributions in the Møller–Plesset and Epstein–Nesbet partitions. Theor. Chem. Acc. 2002, 107, 313–317. [Google Scholar] [CrossRef]
- Angeli, C.; Cimiraglia, R.; Malrieu, J.-P. n-electron valence state perturbation theory: A spinless formulation and an efficient implementation of the strongly contracted and of the partially contracted variants. J. Chem. Phys. 2002, 17, 9138–9153. [Google Scholar] [CrossRef]
- Neese, F. The ORCA program system. Wiley Interdiscip. Rev. Comput. Mol. Sci. 2012, 2, 73–78. [Google Scholar] [CrossRef]
- Neese, F. Software update: The ORCA program system, version 4.0. Comput. Mol. Sci. 2018, 8, e1327. [Google Scholar] [CrossRef]
- Maurice, R.; Bastardis, R.; De Graaf, C.; Suaud, N.; Mallah, T.; Guihery, N. Universal Theoretical Approach to Extract Anisotropic Spin Hamiltonians. J. Chem. Theory Comput. 2009, 5, 2977–2984. [Google Scholar] [CrossRef] [PubMed]
- Atanasov, M.; Ganyushin, D.; Sivalingam, K.; Neese, F. Molecular Electronic Structures of Transition Metal Complexes II; Mingos, D.M.P., Day, P., Dahl, J.P., Eds.; Structure and Bonding; Springer: Berlin/Heidelberg, Germany, 2012; Volume 143, pp. 149–220. [Google Scholar] [CrossRef]
- Singh, S.K.; Eng, J.; Atanasov, M.; Neese, F. Covalency and Chemical Bonding in Transition Metal Complexes: An Ab Initio Based Ligand Field Perspective. Coord. Chem. Rev. 2017, 344, 2–25. [Google Scholar] [CrossRef]
- Alvarez, S.; Avnir, D.; Llunell, M.; Pinsky, M. Continuous symmetry maps and shape classification. The case of six-coordinated metal compounds. New J. Chem. 2002, 26, 996–1009. [Google Scholar] [CrossRef]
- Lightfoot, P.; Snedden, A. Metal–organic co-ordination frameworks based on mixed N- and O-donor ligands: Crystal structures of [Co(phth)2(bipy)] and [Co2(mal)2(bipy)(H2O)2] (phth = phthalate, mal = malonate, bipy = 4,4′-bipyridine). J. Chem. Soc. Dalton Trans. 1999, 3549–3551. [Google Scholar] [CrossRef]
- Delgado, F.S.; Sanchiz, J.; Ruiz-Perez, C.; Lloret, F.; Julve, M. High-dimensional malonate-based materials: Synthesis, crystal structures and magnetic properties of [M2(mal)2(L)(H2O)2]n·n(H2O) M = Zn(II), Co(II); H2mal = malonic acid, L = pyrimidine, pyrazine. CrystEngComm 2003, 5, 280–284. [Google Scholar] [CrossRef]
- Konar, S.; Mukherjee, P.S.; Drew, M.G.B.; Ribas, J.; Chaudhuri, N.R. Syntheses of two new 1D and 3D networks of Cu(II) and Co(II) using malonate and urotropine as bridging ligands: Crystal structures and magnetic studies. Inorg. Chem. 2003, 42, 2545–2552. [Google Scholar] [CrossRef]
- Déniz, M.; Pasán, J.; Fabelo, O.; Canadillas-Delgado, L.; Lloret, F.; Julve, M.; Ruiz-Pérez, C. Metal-organic coordination frameworks based on mixed methylmalonate and 4,4′-bipiridine ligands: Synthesis, crystal structure and magnetic properties. New J. Chem. 2010, 34, 2515–2527. [Google Scholar] [CrossRef]
- Montney, M.R.; Supkowski, R.M.; LaDuca, R.L. Three-dimensional acentric coordination polymers formed from the linkage of cobalt and nickel malonate quadratic layers through a kinked organodiimine: Synthesis, structure, thermal properties and magnetochemistry. Polyhedron 2008, 27, 2997–3003. [Google Scholar] [CrossRef]
- Garcia, H.C.; De Almeida, F.B.; Diniz, R.; Yoshida, M.I.; De Oliveira, L.F.C. Supramolecular structures of metal complexes containing barbiturate and 1,2-bis(4-pyridyl)-ethane. J. Coord. Chem. 2011, 64, 1125–1138. [Google Scholar] [CrossRef]
- Šestan, M.; Giester, G.; Perić, B. Bis(2,2′-bipyridine-κ2N,N′)(oxalato-κ2O,O′)cobalt(II) pentahydrate. Acta Cryst. Sect. C Cryst. Struct. Commun. 2004, C60, m595–m597. [Google Scholar] [CrossRef] [PubMed]
- Zhang, Q.-C.; Yan, X.-Y.; Chen, M.-W. Crystal structure of bis(2,2′-bipyridyl-N,N′)-(2,2′-diphenyldicarboxylato-O,O′)cobalt(II) dihydrate, Co(C10H8N2)2(C14H8O4)·2H2O. Z. Kristallogr. NCS 2009, 224, 174–176. [Google Scholar] [CrossRef]
- Baruah, A.M.; Karmakar, A.; Baruah, J.B. Ring opening reactions of pyromellitic dianhydride for the synthesis of first row transition metal dicarboxylate complexes. Polyhedron 2007, 26, 4479–4488. [Google Scholar] [CrossRef]
- Mikhailova, T.B.; Malkov, A.E.; Sidorov, A.A.; Fomina, I.G.; Aleksandrov, G.G.; Golovaneva, I.F.; Dem’yanovich, V.M.; Novotortsev, V.M.; Ikorskii, V.N.; Eremenko, I.L. Degradation of binuclear cobalt trimethylacetates under the effect of N-donor ligands. Russ. J. Inorg. Chem. 2002, 47, 1680–1692. [Google Scholar]
- Hayashi, Y.; Santoro, S.; Azuma, Y.; Himo, F.; Ohshima, T.; Mashima, K. Enzyme-like catalysis via ternary complex mechanism: Alkoxy-bridged dinuclear cobalt complex mediates chemoselective O-esterification over N-amidation. J. Am. Chem. Soc. 2013, 135, 6192–6199. [Google Scholar] [CrossRef] [PubMed]
- Do Nascimento Neto, J.A.; da Silva, C.C.; Ribeiro, L.; Silva Mendanha Valdo, A.K.; Terra Martins, F. Competition between coordination bonds and hydrogen bonding interactions in solvatomorphs of copper(II), cadmium(II) and cobalt(II) complexes with 2,2′-bipyridyl and acetate. Z. Krist. Cryst. Mater. 2019, 234, 119–128. [Google Scholar] [CrossRef]
- Benelli, C.; Gatteschi, D. Magnetism of lanthanides in molecular materials with transition-metal ions and organic radicals. Chem. Rev. 2002, 102, 2369–2387. [Google Scholar] [CrossRef]
- Petrosyants, S.P.; Babeshkin, K.A.; Gavrikov, A.V.; Ilyukhin, A.B.; Belova, E.V.; Efimov, N.N. Towards comparative investigation of Er- and Yb-based SMMs: The effect of the coordination environment configuration on the magnetic relaxation in the series of heteroleptic thiocyanate complexes. Dalton Trans. 2019, 48, 12644–12655. [Google Scholar] [CrossRef]
- Zhao, H.; Lopez, N.; Prosvirin, A.; Chifotides, H.T.; Dunbar, K.R. Lanthanide-3d cyanometalate chains Ln(III)-M(III) (Ln = Pr, Nd, Sm, Eu, Gd, Tb; M = Fe) with the tridentate ligand 2,4,6-tri(2-pyridyl)-1,3,5-triazine (tptz): Evidence of ferromagnetic interactions for the Sm(III)-M(III) compounds (M = Fe, Cr). Dalton Trans. 2007, 8, 878–888. [Google Scholar] [CrossRef]
- Chilton, N.F.; Anderson, R.P.; Turner, L.D.; Soncini, A.; Murray, K.S. Phi: A powerful new program for the analysis of anisotropic monomeric and exchange-coupled polynuclear D- and F-block complexes. J. Comput. Chem. 2013, 34, 1164–1175. [Google Scholar] [CrossRef]
- Griffith, J.S. The Theory of Transition Metal Ions; Cambridge University Press: Cambridge, UK, 1964; 468p. [Google Scholar]
- Lloret, F.; Julve, M.; Cano, J.; Ruiz-García, R.; Pardo, E. Magnetic properties of six-coordinated high-spin cobalt(II) complexes: Theoretical background and its application. Inorg. Chim. Acta 2008, 361, 3432–3445. [Google Scholar] [CrossRef]
- Palii, A.V.; Korchagin, D.V.; Yureva, E.A.; Akimov, A.V.; Misochko, E.Y.; Shilov, G.V.; Talantsev, A.D.; Morgunov, R.B.; Aldoshin, S.M.; Tsukerblat, B.S. Single-ion magnet Et4N[CoII(hfac)3] with nonuniaxial anisotropy: Synthesis, experimental characterization, and theoretical modeling. Inorg. Chem. 2016, 55, 9696–9706. [Google Scholar] [CrossRef] [PubMed]
- Hu, Z.-B.; Jing, Z.-Y.; Li, M.-M.; Yin, L.; Gao, Y.-D.; Yu, F.; Hu, T.-P.; Wang, Z.; Song, Y. Important role of intermolecular interaction in cobalt(II) single-ion magnet from single slow relaxation to double slow relaxation. Inorg. Chem. 2018, 57, 10761–10767. [Google Scholar] [CrossRef] [PubMed]
- Hu, Z.-B.; Feng, X.; Li, J.; Zhang, Y.-Q.; Yin, L.; Wang, Z.; Ouyang, Z.; Kurmoo, M.; Song, Y. Optimal diamagnetic dilution concentration for suppressing the dipole–dipole interaction in single-ion magnets. Dalton Trans. 2020, 49, 2159–2167. [Google Scholar] [CrossRef] [PubMed]
- Polyzou, C.D.; Koumousi, E.S.; Lada, Z.G.; Raptopoulou, C.P.; Psycharis, V.; Rouzieres, M.; Tsipis, A.C.; Mathoniere, C.; Clerac, R.; Perlepes, S.P. Switching on the single-molecule magnet properties within a series of dinuclear cobalt(III)-dysprosium(III) 2-pyridyloximate complexes. Dalton Trans. 2017, 46, 14812–14825. [Google Scholar] [CrossRef] [PubMed]
- Acharya, J.; Swain, A.; Chakraborty, A.; Kumar, V.; Kumar, P.; Gonzalez, J.F.; Cador, O.; Pointillart, F.; Rajaraman, G.; Chandrasekhar, V. Slow magnetic relaxation in dinuclear CoIIYIII complexes. Inorg. Chem. 2019, 58, 10725–10735. [Google Scholar] [CrossRef]
- Rigamonti, L.; Bridonneau, N.; Poneti, G.; Tesi, L.; Sorace, L.; Pinkowicz, D.; Jover, J.; Ruiz, E.; Sessoli, R.; Cornia, A. A Pseudo-Octahedral Cobalt(II) Complex with Bispyrazolylpyridine Ligands Acting as a Zero-Field Single-Molecule Magnet with Easy Axis Anisotropy. Chem. Eur. J. 2018, 24, 8857–8868. [Google Scholar] [CrossRef]
- Saber, M.R.; Singh, M.K.; Dunbar, K.R. Geometrical control of the magnetic anisotropy in six coordinate cobalt complexes. Chem. Commun. 2020, 56, 8492–8495. [Google Scholar] [CrossRef]





| Compound | 1 | 2 |
|---|---|---|
| CCDC | 2044684 | 2044683 |
| Formula | C12H16CoO6 | C30H26CoN4O5 |
| Mw (g mol−1) | 315.18 | 581.48 |
| T, K | 296 | 150 |
| Crystal system | orthorombic | monoclinic |
| Space group | Pna21 | P21/c |
| a (Å) | 26.0280(7) | 12.2861(7) |
| b (Å) | 7.3903(2) | 22.0617(12) |
| c (Å) | 7.1718(2) | 11.9417(7) |
| α (°) | 90.00 | 90.00 |
| β (°) | 90.00 | 100.3120(10) |
| γ (°) | 90.00 | 90.00 |
| V (Å3) | 1379.53(7) | 3184.5(3) |
| Z | 4 | 2 |
| Absorption coefficient (mm−1) | 1.262 | 0.583 |
| Maximum and minimum transmission | 0.7461/0.6676 | 0.7461/0.6695 |
| Dcalc (mg/m3) | 1.518 | 1.213 |
| Crystal size (mm) | 0.37 × 0.31 × 0.02 | 0.30 × 0.20 × 0.10 |
| θ Range for data collection (°) | 2.87–30.55 | 1.92–28.33 |
| Reflection measured | 12240 | 24476 |
| Reflection unique | 3698 | 7886 |
| Rint | 0.030 | 0.070 |
| Goodness-of-fit on F2 | 1.050 | 0.919 |
| Final R indices [I > 2σ(I)] | R1 = 0.0324, wR2 = 0.683 | R1 = 0.0422 wR2 = 0.1049 |
| R indices (all data) | R1 = 0.0372, wR2 = 0.070 | R1 = 0.0680, wR2 = 0.1132 |
| Parameter | 1 | 2 | ||
|---|---|---|---|---|
| Value | ||||
| PHI | SA-CASSCF/NEVPT2 | PHI | SA-CASSCF/NEVPT2 | |
| gx | 2.430 ± 0.002 | 2.636 | 2.580 ± 0.001 | 2.494 |
| gy | 2.430 ± 0.002 | 2.737 | 2.580 ± 0.001 | 2.804 |
| gz | 3.341 ± 0.009 | 1.893 | 2.594 ± 0.005 | 1.880 |
| giso | 2.422 | 2.393 | ||
| D, cm−1 | 62.0 ± 0.5 | +82.7 | 68.0 ± 0.2 | +92.0 |
| R2 | 1.4 × 10−3 | 1.1 × 10−5 | ||
| E/D | 0.056 | 0.140 | ||
| Complex. | Energy Levels, cm–1 | ||
|---|---|---|---|
| Spin | Spin-free States (δE) | Spin-orbit States (ΔE) | |
| 1 | 3/2 | 0.0 | 0.0 166.2 |
| 3/2 | 886.5 | 972.7 1256.2 | |
| 3/2 | 1124.0 | 1485.2 1576.0 | |
| 2 | 3/2 | 0.0 | 0.0 189.3 |
| 3/2 | 504.6 | 672.4 990.2 | |
| 3/2 | 922.7 | 1309.8 1423.0 | |
Publisher’s Note: MDPI stays neutral with regard to jurisdictional claims in published maps and institutional affiliations. |
© 2020 by the authors. Licensee MDPI, Basel, Switzerland. This article is an open access article distributed under the terms and conditions of the Creative Commons Attribution (CC BY) license (http://creativecommons.org/licenses/by/4.0/).
Share and Cite
Zorina-Tikhonova, E.; Matyukhina, A.; Skabitskiy, I.; Shmelev, M.; Korchagin, D.; Babeshkin, K.; Efimov, N.; Kiskin, M.; Eremenko, I. Cobalt(II) Complexes Based on Benzylmalonate Anions Exhibiting Field-Induced Single-Ion Magnet Slow Relaxation Behavior. Crystals 2020, 10, 1130. https://doi.org/10.3390/cryst10121130
Zorina-Tikhonova E, Matyukhina A, Skabitskiy I, Shmelev M, Korchagin D, Babeshkin K, Efimov N, Kiskin M, Eremenko I. Cobalt(II) Complexes Based on Benzylmalonate Anions Exhibiting Field-Induced Single-Ion Magnet Slow Relaxation Behavior. Crystals. 2020; 10(12):1130. https://doi.org/10.3390/cryst10121130
Chicago/Turabian StyleZorina-Tikhonova, Ekaterina, Anna Matyukhina, Ivan Skabitskiy, Maksim Shmelev, Denis Korchagin, Konstantin Babeshkin, Nikolay Efimov, Mikhail Kiskin, and Igor Eremenko. 2020. "Cobalt(II) Complexes Based on Benzylmalonate Anions Exhibiting Field-Induced Single-Ion Magnet Slow Relaxation Behavior" Crystals 10, no. 12: 1130. https://doi.org/10.3390/cryst10121130
APA StyleZorina-Tikhonova, E., Matyukhina, A., Skabitskiy, I., Shmelev, M., Korchagin, D., Babeshkin, K., Efimov, N., Kiskin, M., & Eremenko, I. (2020). Cobalt(II) Complexes Based on Benzylmalonate Anions Exhibiting Field-Induced Single-Ion Magnet Slow Relaxation Behavior. Crystals, 10(12), 1130. https://doi.org/10.3390/cryst10121130

