Effect of Ultrasound Irradiation on the Synthesis of Hydroxyapatite/Titanium Oxide Nanocomposites
Abstract
1. Introduction
2. Materials and Methods
2.1. Hydroxyapatite Preparation
2.2. Titanium Oxide Preparation
2.3. HAp/TiO2 Nanocomposite Preparation
2.4. Characterization
3. Results and Discussion
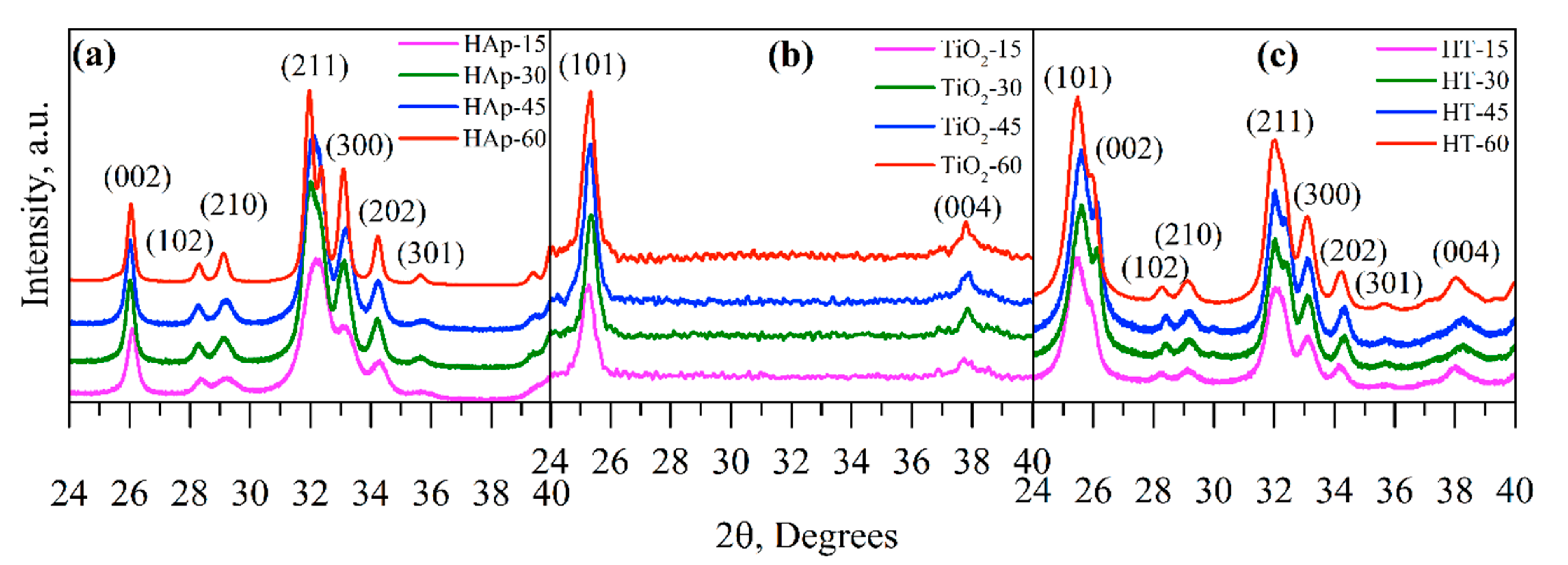
3.1. X-ray Diffraction
3.2. Raman Spectroscopy
3.3. Morphological Analysis
3.4. Compositional Analysis
4. Conclusions
Author Contributions
Funding
Acknowledgments
Conflicts of Interest
References
- Von Euw, S.; Wang, Y.; Laurent, G.; Drouet, C.; Babonneau, F.; Nassif, N.; Azaïs, T. Bone mineral: New insights into its chemical composition. Sci. Rep. 2019, 9, 1–11. [Google Scholar] [CrossRef] [PubMed]
- Koutsopoulos, S. Synthesis and characterization of hydroxyapatite crystals: A review study on the analytical methods. Willie Period. Inc. 2002, 62, 31–34. [Google Scholar] [CrossRef] [PubMed]
- Hench, L.L. Bioceramics. J. Am. Ceram. Soc. 1998, 28, 1705–1728. [Google Scholar] [CrossRef]
- Aminzare, M.; Eskandari, A.; Baroonian, M.H.; Berenov, A.; Razavi Hesabi, Z.; Taheri, M.; Sadrnezhaad, S.K. Hydroxyapatite nanocomposites: Synthesis, sintering and mechanical properties. Ceram. Int. 2013, 39, 2197–2206. [Google Scholar] [CrossRef]
- Salarian, M.; Xu, W.Z.; Wang, Z.; Sham, T.K.; Charpentier, P.A. Hydroxyapatite-TiO2-based Nanocomposites Synthesized in Supercritical CO2 for Bone Tissue Engineering: Physical and Mechanical Properties. ACS Appl. Mater. Interfaces 2014, 6, 16918–16931. [Google Scholar] [CrossRef]
- Joseph Nathanael, A.; Mangalaraj, D.; Chen, P.C.; Ponpandian, N. Mechanical and photocatalytic properties of hydroxyapatite/titania nanocomposites prepared by combined high gravity and hydrothermal process. Compos. Sci. Technol. 2010, 70, 419–426. [Google Scholar] [CrossRef]
- Enayati-Jazi, M.; Solati-Hashjin, M.; Nemati, A.; Bakhshi, F. Synthesis and characterization of hydroxyapatite/titania nanocomposites using in situ precipitation technique. Superlattices Microstruct. 2012, 51, 877–885. [Google Scholar] [CrossRef]
- Lee, B.-H.; Koshizaki, N. Nanostructured hydroxyapatite/TiO2 composite coating applied to commercially pure titanium by a co-sputtering technique. Nanotechnology 2008, 19, 415303. [Google Scholar] [CrossRef]
- Oktar, F.N. Hydroxyapatite-TiO2 composites. Mater. Lett. 2006, 60, 2207–2210. [Google Scholar] [CrossRef]
- Li, Z.; Yang, X.; Guo, H.; Yang, X.; Sun, L.; Dong, S. Hydroxyapatite additive influenced the bioactivity of bioactive nano-titania ceramics and new bone-forming capacity. J. Nanoparticle Res. 2012, 14. [Google Scholar] [CrossRef]
- Martinez, C.; Krieke, G.; Ločs, J.; Bērziņa-Cimdiņa, L.; Garrido, L.; Gilabert, U.; Ozols, A. Natural Hydroxyapatite-Ti-Dioxide Bone Substitutes. Procedia Mater. Sci. 2015, 8, 324–331. [Google Scholar] [CrossRef][Green Version]
- Kumar, A.; Biswas, K.; Basu, B. Hydroxyapatite-titanium bulk composites for bone tissue engineering applications. J. Biomed. Mater. Res. Part A 2015, 103, 791–806. [Google Scholar] [CrossRef] [PubMed]
- Sidane, D.; Rammal, H.; Beljebbar, A.; Gangloff, S.C.; Chicot, D.; Velard, F.; Khireddine, H.; Montagne, A.; Kerdjoudj, H. Biocompatibility of sol-gel hydroxyapatite-titania composite and bilayer coatings. Mater. Sci. Eng. C 2017. [Google Scholar] [CrossRef] [PubMed]
- Reyes-Coronado, D.; Rodríguez-Gattorno, G.; Espinosa-Pesqueira, M.E.; Cab, C.; De Coss, R.; Oskam, G. Phase-pure TiO2 nanoparticles: Anatase, brookite and rutile. Nanotechnology 2008, 19. [Google Scholar] [CrossRef]
- Pushpakanth, S.; Srinivasan, B.; Sreedhar, B.; Sastry, T.P. An in situ approach to prepare nanorods of titania-hydroxyapatite (TiO2-HAp) nanocomposite by microwave hydrothermal technique. Mater. Chem. Phys. 2008, 107, 492–498. [Google Scholar] [CrossRef]
- Mohamed, R.M.; Baeissa, E.S. Preparation and characterisation of Pd-TiO2-hydroxyapatite nanoparticles for the photocatalytic degradation of cyanide under visible light. Appl. Catal. A Gen. 2013, 464–465, 218–224. [Google Scholar] [CrossRef]
- Márquez Brazón, E.; Piccirillo, C.; Moreira, I.S.; Castro, P.M.L. Photodegradation of pharmaceutical persistent pollutants using hydroxyapatite-based materials. J. Environ. Manage. 2016, 182, 486–495. [Google Scholar] [CrossRef]
- Khamova, T.V.; Frank-Kamenetskaya, O.V.; Shilova, O.A.; Chelibanov, V.P.; Marugin, A.M.; Yasenko, E.A.; Kuz’mina, M.A.; Baranchikov, A.E.; Ivanov, V.K. Hydroxyapatite/Anatase Photocatalytic Core–Shell Composite Prepared by Sol‒Gel Processing. Crystallogr. Reports 2018, 63, 254–260. [Google Scholar] [CrossRef]
- Murgolo, S.; Moreira, I.S.; Piccirillo, C.; Castro, P.M.L.; Ventrella, G.; Cocozza, C.; Mascolo, G. Photocatalytic degradation of diclofenac by hydroxyapatite-TiO2 composite material: Identification of transformation products and assessment of toxicity. Materials 2018, 11, 1779. [Google Scholar] [CrossRef]
- Bystrov, V.S.; Piccirillo, C.; Tobaldi, D.M.; Castro, P.M.L.; Coutinho, J.; Kopyl, S.; Pullar, R.C. Oxygen vacancies, the optical band gap (Eg) and photocatalysis of hydroxyapatite: Comparing modelling with measured data. Appl. Catal. B Environ. 2016, 196, 100–107. [Google Scholar] [CrossRef]
- Pramanik, S.; Agarwal, A.K.; Rai, K.N.; Garg, A. Development of high strength hydroxyapatite by solid-state-sintering process. Ceram. Int. 2007, 33, 419–426. [Google Scholar] [CrossRef]
- Monmaturapoj, N.; Thepsuwan, W.; Mai-Ngam, K.; Ngernpimai, S.; Klinsukhon, W.; Prahsarn, C. Preparation and properties of hydroxyapatite/titania composite for microbial filtration application. Adv. Appl. Ceram. 2014. [Google Scholar] [CrossRef]
- Zakeri, M.; Hasani, E.; Tamizifar, M. Mechanical properties of TiO2-hydroxyapatite nanostructured coatings on Ti-6Al-4V substrates by APS method. Int. J. Miner. Metall. Mater. 2013, 20, 397–402. [Google Scholar] [CrossRef]
- Ono, Y.; Rachi, T.; Okuda, T.; Yokouchi, M.; Kamimoto, Y.; Ono, H.; Nakajima, A.; Okada, K. An aqueous synthesis of photocatalyst by selective dissolution of titanium oxide/hydroxyapatite composite. Ceram. Int. 2011, 37, 1563–1568. [Google Scholar] [CrossRef]
- Li, P. Bioactive Ca10(PO4)6(OH)2-TiO2 Composite Coating Prepared by Sol-Gel Process. J. Sol-Gel Sci. Technol. 1996, 7, 27–34. [Google Scholar] [CrossRef]
- Rouhani, P.; Taghavinia, N.; Rouhani, S. Rapid growth of hydroxyapatite nanoparticles using ultrasonic irradiation. Ultrason. Sonochem. 2010, 17, 853–856. [Google Scholar] [CrossRef]
- Fidancevska, E.; Ruseska, G.; Bossert, J.; Lin, Y.M.; Boccaccini, A.R. Fabrication and characterization of porous bioceramic composites based on hydroxyapatite and titania. Mater. Chem. Phys. 2007, 103, 95–100. [Google Scholar] [CrossRef]
- Dodds, J.; Espitalier, F.; Louisnard, O.; Grossier, R.; David, R.; Hassoun, M.; Baillon, F.; Gatumel, C.; Lyczko, N. The effect of ultrasound on crystallisation-precipitation processes: Some examples and a new segregation model. Part. Part. Syst. Charact. 2007. [Google Scholar] [CrossRef]
- Mettin, R.; Cairós, C.; Troia, A. Sonochemistry and bubble dynamics. Ultrason. Sonochem. 2015, 25, 24–30. [Google Scholar] [CrossRef]
- Gedanken, A. Using sonochemistry for the fabrication of nanomaterials. Ultrason. Sonochem. 2004, 11, 47–55. [Google Scholar] [CrossRef]
- Nimmy, E.; Wilson, P. Investigations on sonofragmentation of hydroxyapatite crystals as a function of strontium incorporation. Ultrason. Sonochem. 2019, 50, 188–199. [Google Scholar] [CrossRef]
- Mason, T.J. Some neglected or rejected paths in sonochemistry—A very personal view. Ultrason. Sonochem. 2015, 25, 89–93. [Google Scholar] [CrossRef] [PubMed]
- Arami, H.; Mazloumi, M.; Khalifehzadeh, R.; Sadrnezhaad, S.K. Sonochemical preparation of TiO2 nanoparticles. Mater. Lett. 2007. [Google Scholar] [CrossRef]
- Fang, Y.; Agrawal, D.K.; Roy, D.M.; Roy, R.; Brown, P.W. Ultrasonically accelerated synthesis of hydroxyapatite. J. Mater. Res. 1992, 7, 2294–2298. [Google Scholar] [CrossRef]
- Oh, C.W.; Seong, G.D.L.; Park, S.; Ju, C.S.; Hong, S.S. Synthesis of nanosized TiO2 particles via ultrasonic irradiation and their photocatalytic activity. React. Kinet. Catal. Lett. 2005. [Google Scholar] [CrossRef]
- Sassoni, E.; D’Amen, E.; Roveri, N.; Scherer, G.W.; Franzoni, E. Photocatalytic hydroxyapatite-titania nanocomposites for preventive conservation of marble. IOP Conf. Ser. Mater. Sci. Eng. 2018, 364, 012073. [Google Scholar] [CrossRef]
- Nathanael, A.J.; Mangalaraj, D.; Ponpandian, N. Controlled growth and investigations on the morphology and mechanical properties of hydroxyapatite/titania nanocomposite thin films. Compos. Sci. Technol. 2010, 70, 1645–1651. [Google Scholar] [CrossRef]
- Grigorieva, T.F.; Barinova, A.P.; Lyakhov, N.Z. Mechanosynthesis of Nanocomposites. J. Nanoparticle Res. 2003, 5, 439–453. [Google Scholar] [CrossRef]
- Kabekkodu, S.N.; Faber, J.; Fawcett, T. New Powder Diffraction File (PDF-4) in relational database format: Advantages and data-mining capabilities. Acta Crystallogr. Sect. B Struct. Sci. 2002, 58, 333–337. [Google Scholar] [CrossRef]
- Hannora, A.E.; Ataya, S. Structure and compression strength of hydroxyapatite/titania nanocomposites formed by high energy ball milling. J. Alloys Compd. 2016, 658, 222–233. [Google Scholar] [CrossRef]
- Horiuchi, N.; Madokoro, K.; Nozaki, K.; Nakamura, M.; Katayama, K.; Nagai, A.; Yamashita, K. Electrical conductivity of polycrystalline hydroxyapatite and its application to electret formation. Solid State Ionics 2018, 315, 19–25. [Google Scholar] [CrossRef]
- Poinern, G.E.; Brundavanam, R.K.; Mondinos, N.; Jiang, Z.T. Synthesis and characterisation of nanohydroxyapatite using an ultrasound assisted method. Ultrason. Sonochem. 2009, 16, 469–474. [Google Scholar] [CrossRef] [PubMed]
- Nikolaev, A.L.; Gopin, A.V.; Severin, A.V.; Rudin, V.N.; Mironov, M.A.; Dezhkunov, N.V. Ultrasonic synthesis of hydroxyapatite in non-cavitation and cavitation modes. Ultrason. Sonochem. 2018, 44, 390–397. [Google Scholar] [CrossRef] [PubMed]
- Nie, J.; Zhou, J.; Huang, X.; Wang, L.; Liu, G.; Cheng, J. Effect of TiO2 doping on densification and mechanical properties of hydroxyapatite by microwave sintering. Ceram. Int. 2019, 45, 13647–13655. [Google Scholar] [CrossRef]
- Giardina, M.A.; Fanovich, M.A. Synthesis of nanocrystalline hydroxyapatite from Ca(OH)2 and H3PO4 assisted by ultrasonic irradiation. Ceram. Int. 2010, 36, 1961–1969. [Google Scholar] [CrossRef]
- Jordens, J.; Canini, E.; Gielen, B.; Van Gerven, T.; Braeken, L. Ultrasound assisted particle size control by continuous seed generation and batch growth. Crystals 2017, 7, 195. [Google Scholar] [CrossRef]
- Kim, H.N.; Suslick, K.S. The effects of ultrasound on crystals: Sonocrystallization and sonofragmentation. Crystals 2018, 8, 280. [Google Scholar] [CrossRef]
- Slepko, A.; Demkov, A.A. Hydroxyapatite: Vibrational spectra and monoclinic to hexagonal phase transition. J. Appl. Phys. 2016, 074701. [Google Scholar] [CrossRef]
- Anwar, A.; Akbar, S. Continuous microwave assisted flow synthesis and characterization of calcium deficient hydroxyapatite nanorods. Adv. Powder Technol. 2018, 29, 1493–1498. [Google Scholar] [CrossRef]
- Blakeslee, K.C.; Condrate, R.A., Sr. Vibrational Spectra of Hydrothermally Prepared Hydroxyapatites. J. Am. Ceram. Soc. 1971, 54, 559–563. [Google Scholar] [CrossRef]
- Rempel, S.V.; Eselevich, D.A.; Valeeva, A.A.; Rempel, A.A. Structure of a HAp/TiOy Nanocomposite Studied by Vibrational Spectroscopy Techniques. Inorg. Mater. 2018, 54, 898–903. [Google Scholar] [CrossRef]
- Swain, S.K.; Sarkar, D. A comparative study: Hydroxyapatite spherical nanopowders and elongated nanorods. Ceram. Int. 2011, 37, 2927–2930. [Google Scholar] [CrossRef]
- Zhang, C.; Yang, J.; Quan, Z.; Yang, P.; Li, C.; Hou, Z.; Lin, J. Hydroxyapatite nano- and microcrystals with multiform morphologies: Controllable synthesis and luminescence properties. Cryst. Growth Des. 2009, 9, 2725–2733. [Google Scholar] [CrossRef]
- Mary, I.R.; Sonia, S.; Viji, S.; Mangalaraj, D.; Viswanathan, C.; Ponpandian, N. Novel multiform morphologies of hydroxyapatite: Synthesis and growth mechanism. Appl. Surf. Sci. 2016, 361, 25–32. [Google Scholar] [CrossRef]
- Nathanael, A.J.; Lee, J.H.; Mangalaraj, D.; Hong, S.I.; Rhee, Y.H. Multifunctional properties of hydroxyapatite/titania bio-nano-composites: Bioactivity and antimicrobial studies. Powder Technol. 2012, 228, 410–415. [Google Scholar] [CrossRef]
- Lin, K.; Wu, C.; Chang, J. Advances in synthesis of calcium phosphate crystals with controlled size and shape. Acta Biomater. 2014, 10, 4071–4102. [Google Scholar] [CrossRef] [PubMed]
- McConnell, D. Crystal chemistry of hydroxyapatite. Its relation to bone mineral. Arch. Oral Biol. 1965. [Google Scholar] [CrossRef]






| Sample | Phases, % | Relevant Parameters of the Monoclinic and Anatase Phases | ||||||
|---|---|---|---|---|---|---|---|---|
| Hexagonal | Monoclinic | Anatase | a, Å | b, Å | c, Å | V, 106 pm3 | Rwp, % | |
| HAp-15 | 16.1 | 83.9 | ---- | 9.3887(5) | 6.8858(2) | 18.8142(5) | 1057.207 | 4.97 |
| HAp-30 | 15.3 | 84.7 | ---- | 9.4022 (1) | 6.8931 (2) | 18.8303 (1) | 1059.162 | 10.60 |
| HAp-45 | 13.8 | 86.2 | ---- | 9.3989 (3) | 6.8908 (5) | 18.7288 (5) | 1054.407 | 5.24 |
| HAp-60 | 11.5 | 88.5 | ---- | 9.4480 (1) | 6.8818 (1) | 18.835 (1) | 1056.522 | 3.16 |
| TIO2-15 | ---- | ---- | 100 | 3.7845 (4) | 3.7845 (4) | 9.5050 (8) | 136.139 | 11.90 |
| TIO2-30 | ---- | ---- | 100 | 3.7837 (1) | 3.7837 (1) | 9.4860 (1) | 136.139 | 12.43 |
| TIO2-45 | ---- | ---- | 100 | 3.7852 (3) | 3.7852 (3) | 9.4863 (1) | 135.920 | 4.35 |
| TIO2-60 | ---- | ---- | 100 | 3.7862 (5) | 3.7862 (5) | 9.5035 (1) | 136.236 | 4.22 |
| HT-15 | 6.9 | 53.8 | 39.3 | 9.4005 (5) | 6.8871 (2) | 18.7590 (8) | 1055.405 | 3.88 |
| HT-30 | 6.1 | 51.4 | 42.5 | 9.4057 (1) | 6.8901 (6) | 18.7761 (6) | 1057.170 | 4.07 |
| HT-45 | 7.4 | 48.4 | 44.2 | 9.3983 (4) | 6.8925 (9) | 18.7315 (1) | 1054.809 | 4.13 |
| HT-60 | 5.8 | 43.5 | 50.7 | 9.3846 (8) | 6.8882 (6) | 18.8184 (7) | 1056.924 | 4.08 |
| Composition, wt.% | |||||
|---|---|---|---|---|---|
| Sample | Ca | P | CH2 | Ti | Other Traces, ppm |
| HAp-15 | 24.8 | 9.71 | 65 | ------ | O, Cl |
| HAp-30 | 26.0 | 12.30 | 61 | ----- | Cl, Si, O |
| HAp-45 | 26.4 | 9.26 | 65 | ------ | Si, O |
| HAp-60 | 25.0 | 10.4 | 64 | ------ | Cl, Si, O |
| TiO2-15 | ----- | ----- | ----- | 26.9 | S, Ca, O |
| TiO2-30 | ----- | ----- | ----- | 27.8 | S, Ca, Nb, O |
| TiO2-45 | ----- | ----- | ----- | 27.2 | S, Nb, O |
| TiO2-60 | ----- | ----- | ----- | 28.5 | Nb, Ca, O |
| HT-15 | 33.30 | 11.6 | ----- | 29.8 | Si, O |
| HT-30 | 35.9 | 9.46 | ----- | 24.6 | Nb, S, Si, O |
| HT-45 | 29.4 | 11.3 | ----- | 35.0 | S, Nb, O, Cl |
| HT-60 | 31.6 | 11.6 | ----- | 32.5 | S, Cl, Nb, O |
Publisher’s Note: MDPI stays neutral with regard to jurisdictional claims in published maps and institutional affiliations. |
© 2020 by the authors. Licensee MDPI, Basel, Switzerland. This article is an open access article distributed under the terms and conditions of the Creative Commons Attribution (CC BY) license (http://creativecommons.org/licenses/by/4.0/).
Share and Cite
Sánchez-Hernández, A.K.; Martínez-Juárez, J.; Gervacio-Arciniega, J.J.; Silva-González, R.; Robles-Águila, M.J. Effect of Ultrasound Irradiation on the Synthesis of Hydroxyapatite/Titanium Oxide Nanocomposites. Crystals 2020, 10, 959. https://doi.org/10.3390/cryst10110959
Sánchez-Hernández AK, Martínez-Juárez J, Gervacio-Arciniega JJ, Silva-González R, Robles-Águila MJ. Effect of Ultrasound Irradiation on the Synthesis of Hydroxyapatite/Titanium Oxide Nanocomposites. Crystals. 2020; 10(11):959. https://doi.org/10.3390/cryst10110959
Chicago/Turabian StyleSánchez-Hernández, A. K., J. Martínez-Juárez, J. J. Gervacio-Arciniega, R. Silva-González, and M. J. Robles-Águila. 2020. "Effect of Ultrasound Irradiation on the Synthesis of Hydroxyapatite/Titanium Oxide Nanocomposites" Crystals 10, no. 11: 959. https://doi.org/10.3390/cryst10110959
APA StyleSánchez-Hernández, A. K., Martínez-Juárez, J., Gervacio-Arciniega, J. J., Silva-González, R., & Robles-Águila, M. J. (2020). Effect of Ultrasound Irradiation on the Synthesis of Hydroxyapatite/Titanium Oxide Nanocomposites. Crystals, 10(11), 959. https://doi.org/10.3390/cryst10110959

