Overcoming Stability Problems in Microwave-Assisted Heterogeneous Catalytic Processes Affected by Catalyst Coking
Abstract
1. Introduction
2. Results and Discussion
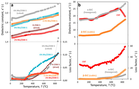
2.1. Dielectric Properties of Selected Materials
2.2. MW-Heating Tests on Different Catalyst Configurations
2.3. Reactor Configuration Assessments for Gas–Solid Catalysis in Monomodal MW-Cavities
2.4. Scaling-Up Assessments on MW-Assisted Heterogeneous Catalytic Processes
3. Materials and Methods
3.1. Lab-Scale MW-Cavity Set-Up
3.2. Scaled MW-Cavity Set-Up
3.3. Structured Catalysts Preparation
3.4. Dielectric Properties Measurements
3.5. Simulation of the Electromagnetic Field Distribution in Monomodal Cavities
4. Conclusions
Author Contributions
Funding
Acknowledgments
Conflicts of Interest
References
- Menéndez, J.A.; Arenillas, A.; Fidalgo, B.; Fernández, Y.; Zubizarreta, L.; Calvo, E.; Bermudez, J. Microwave heating processes involving carbon materials. Fuel Process. Technol. 2010, 91, 1–8. [Google Scholar] [CrossRef]
- Mutyala, S.; Fairbridge, C.; Pare, J.R.J.; Belanger, J.M.R.; Ng, S.; Hawkins, R. Microwave applications to oil sands and petroleum: A review. Fuel Proc. Technol. 2010, 91, 127–135. [Google Scholar] [CrossRef]
- Van Geem, K.M.; Galvita, V.V.; Marin, G.B. Making chemicals with electricity. Science 2019, 364, 734–735. [Google Scholar] [CrossRef] [PubMed]
- Horikoshi, S.; Serpone, N. Role of microwaves in heterogeneous catalytic systems. Catal. Sci. Technol. 2014, 4, 1197–1210. [Google Scholar] [CrossRef]
- Zhang, X.; Hayward, D.O. Applications of microwave dielectric heating in environment-related heterogeneous gas-phase catalytic systems. Inorg. Chim. Acta 2006, 359, 3421–3433. [Google Scholar] [CrossRef]
- Stefanidis, G.D.; Muñoz, A.N.; Sturm, G.S.; Stankiewicz, A. A helicopter view of microwave application to chemical processes: Reactions, separations, and equipment concepts. Rev. Chem. Eng. 2014, 30, 233–259. [Google Scholar] [CrossRef]
- Durka, T.; van Gerven, T.; Stankiewicz, A. Microwaves in Heterogeneous Gas-Phase Catalysis: Experimental and Numerical Approaches. Chem. Eng. Technol. 2009, 32, 1301–1312. [Google Scholar] [CrossRef]
- Kappe, C.O. My Twenty Years in Microwave Chemistry: From Kitchen Ovens to Microwaves that aren’t Microwaves. Chem. Rec. 2019, 19, 15–39. [Google Scholar] [CrossRef]
- Ramirez, A.; Hueso, J.L.; Abian, M.; Alzueta, M.U.; Mallada, R.; Santamaria, J. Escaping undesired gas-phase chemistry: Microwave-driven selectivity enhancement in heterogeneous catalytic reactors. Sci. Adv. 2019, 5, eaau9000. [Google Scholar] [CrossRef]
- Julian, I.; Ramirez, H.; Hueso, J.L.; Mallada, R.; Santamaria, J. Non-oxidative methane conversion in microwave-assisted structured reactors. Chem. Eng. J. 2019, 377, 119764. [Google Scholar] [CrossRef]
- Ramirez, A.; Hueso, J.L.; Mallada, R.; Santamaria, J. In situ temperature measurements in microwave-heated gas-solid catalytic systems. Detection of hot spots and solid-fluid temperature gradients in the ethylene epoxidation reaction. Chem. Eng. J. 2017, 316, 50–60. [Google Scholar] [CrossRef]
- Thomas, J.M.; Raja, R.; Lewis, D.W. Single-site heterogeneous catalysis. Angew. Chem. Int. Ed. 2005, 44, 6456. [Google Scholar] [CrossRef] [PubMed]
- Procopio, A.; Cravotto, G.; Oliverio, M.; Constanzo, P.; Nardi, M.; Paonessa, R. An eco-sustainable Erbium (III)-catalysed method for formation/cleavage of o-tert-butoxy carbonates. Green Chem. 2011, 13, 436–443. [Google Scholar] [CrossRef]
- Procopio, A.; de Luca, G.; Nardi, M.; Oliverio, M.; Paonessa, R. General MW-assisted grafting of MCM-41: Study of the dependence on time dielectric heating and solvent. Green Chem. 2009, 11, 770–773. [Google Scholar] [CrossRef]
- Liu, B.; Slocombe, D.R.; Wang, J.; Aldawsari, A.; Gonzalez-Cortes, S.; Arden, J.; Kuznetsov, V.L.; AlMegren, H.; AlKinany, M.; Xiao, T.; et al. Microwaves effectively examine the extent and type of coking over acid zeolite catalysts. Nat. Commun. 2017, 8, 514. [Google Scholar] [CrossRef]
- Gallagher, J. Microwaving coke. Nat. Energ. 2017, 2, 766. [Google Scholar] [CrossRef]
- Heintze, M.; Magureanu, M. Methane Conversion into Aromatics in a Direct Plasma-Catalytic Process. J. Catal. 2002, 20, 91–97. [Google Scholar] [CrossRef]
- Wan, J.; Chen, Y.; Lee, Y.; Depew, M. Highly effective methane conversion to aromatic hydrocarbons by means of microwave and rf-induced catalysis. Res. Chem. Interm. 2000, 26, 599–619. [Google Scholar] [CrossRef]
- Bai, X.; Robinson, B.; Killmer, C.; Wang, Y.; Li, L.; Hu, J. Microwave catalytic reactor for upgrading stranded shale gas to aromatics. Fuel 2019, 243, 485–492. [Google Scholar] [CrossRef]
- Gui, J.; Liu, D.; Zhang, X.; Song, L.; Sun, Z. Aromatization of n-Hexane Under Microwave Irradiation. Petrol. Sci. Technol. 2008, 26, 506–513. [Google Scholar] [CrossRef]
- Gangurde, L.S.; Sturm, G.S.J.; Valero-Romero, M.J.; Mallada, R.; Santamaria, J.; Stankiewicz, A.I.; Stefanidis, G.D. Synthesis, characterization, and application of ruthenium-doped SrTiO3 perovskite catalysts for microwave-assisted methane dry reforming. Chem. Eng. Process 2018, 127, 178–190. [Google Scholar] [CrossRef]
- Gracia, J.; Escuin, M.; Mallada, R.; Navascues, N.; Santamaria, J. Heating of Zeolites under Microwave Irradiation: A Density Functional Theory Approach to the Ion Movements Responsible of the Dielectric Loss in Na, K, and Ca A-Zeolites. J. Phys. Chem. C 2013, 117, 15659–15666. [Google Scholar] [CrossRef]
- Nigar, H.; Sturm, G.S.J.; Garcia-Banos, B.; Penaranda-Foix, F.L.; Catala-Civera, J.M.; Mallada, R.; Stankiewicz, A.; Santamaria, J. Numerical analysis of microwave heating cavity: Combining electromagnetic energy, heat transfer and fluid dynamics for a NaY zeolite fixed-bed. Appl. Therm. Eng. 2019, 155, 226–238. [Google Scholar] [CrossRef]
- Gracia, J.; Escuin, M.; Mallada, R.; Navascues, N.; Santamaria, J. Nano-heaters: New insights on the outstanding deposition of dielectric energy on perovskite nanoparticles. Nano Energ. 2016, 20, 20–28. [Google Scholar] [CrossRef]
- Julian, I.; Hueso, J.L.; Lara, N.; Sole-Daura, A.; Poblet, J.M.; Mitchell, S.; Mallada, R.; Santamaria, J. Polyoxometalates as alternative Mo precursors for methane dehydroaromatization on Mo/ZSM-5 and Mo/MCM-22 catalysts. Catal. Sci. Technol. 2019, in press. [Google Scholar] [CrossRef]
- Julian, I.; Roedern, M.B.; Hueso, J.L.; Irusta, S.; Mallada, R.; Davis, Z.; Santamaria, J. Supercritical solvothermal synthesis under reducing conditions to increase stability and durability of Mo/ZSM-5 catalysts in methane dehydroaromatization. Appl. Catal. B Environ. 2019. submitted. [Google Scholar]
- Legras, B.; Polaert, I.; Estel, L.; Thomas, M. Mechanisms Responsible for Dielectric Properties of Various Faujasites and Linde Type A Zeolites in the Microwave Frequency Range. J. Phys. Chem. C 2011, 115, 3090–3098. [Google Scholar] [CrossRef]
- Vollmer, I.; Mondal, A.; Yarulina, I.; Abou-Hamad, E.; Kapteijn, F.; Gascon, J. Quantifying the impact of dispersion, acidity and porosity of Mo/HZSM-5 on the performance in methane dehydroaromatization. Appl. Catal. A-Gen. 2019, 574, 144–150. [Google Scholar] [CrossRef]
- Tan, P. The catalytic performance of Mo-impregnated HZSM-5 zeolite in CH4 aromatization: Strong influence of Mo loading and pretreatment conditions. Catal. Commun. 2018, 103, 101–104. [Google Scholar] [CrossRef]
- Velebna, K.; Hornacek, M.; Jorik, V.; Hudec, P.; Caplovicova, M.; Caplovic, L. The influence of molybdenum loading on activity of ZSM-5 zeolite in dehydroaromatization of methane. Microporous Mesoporous Mater. 2015, 212, 146–155. [Google Scholar] [CrossRef]
- Kosinov, N.; Wijpkema, A.S.G.; Uslamin, E.; Rohling, R.; Coumans, F.J.A.G.; Mezari, B.; Parastaev, A.; Poryvaev, A.S.; Fedin, M.V.; Pidko, E.A.; et al. Confined Carbon Mediating Dehydroaromatization of Methane over Mo/ZSM-5. Angew. Chem.-Int. Ed. 2018, 57, 1016–1020. [Google Scholar] [CrossRef] [PubMed]
- Kosinov, N.; Coumans, F.J.A.G.; Uslamin, E.A.; Wijpkema, A.S.G.; Mezari, B.; Hensen, E.J.M. Methane Dehydroaromatization by Mo/HZSM-5: Mono- or Bifunctional Catalysis? ACS Catal. 2017, 7, 520–529. [Google Scholar] [CrossRef]
- Vollmer, I.; Li, G.; Yarulina, I.; Kosinov, N.; Hensen, E.J.; Houben, K.; Mance, D.; Baldus, M.; Gascon, J.; Kapteijn, F. Relevance of the Mo-precursor state in H-ZSM-5 for methane dehydroaromatization. Catal. Sci. Technol. 2018, 8, 916–922. [Google Scholar] [CrossRef]
- Ding, W.; Li, S.; Meitzner, G.; Iglesia, E. Methane conversion to aromatics on Mo/H-ZSM5: Structure of molybdenum species in working catalysts. J. Phys. Chem. B 2001, 105, 506–513. [Google Scholar] [CrossRef]
- Catala-Civera, J.M.; Canos, A.J.; Plaza-Gonzalez, P.; Gutierrez, J.D.; Garcia-Banos, B.; Penaranda-Foix, F.L. Dynamic Measurement of Dielectric Properties of Materials at High Temperature During Microwave Heating in a Dual Mode Cylindrical Cavity. IEEE Trans. Microw. Theor. Tech. 2015, 63, 2905–2914. [Google Scholar] [CrossRef]
- Ramirez, A.; Hueso, J.L.; Mallada, R.; Santamaria, J. Ethylene epoxidation in microwave heated structured reactors. Catal.Today 2016, 273, 99–105. [Google Scholar] [CrossRef]
- Latrasse, L.; Radoiu, M.; Jacomino, J.M.; Grandemenge, A. Facility for Microwave Treatment of a Load. U.S. Patent WO 2012/146870, 1 November 2012. [Google Scholar]
- Wang, D.; Lunsford, J.H.; Rosynek, M.P. Characterization of a Mo/ZSM-5 Catalyst for the Conversion of Methane to Benzene. J. Catal. 1997, 169, 347–358. [Google Scholar] [CrossRef]
- Eleta, A.; Navarro, P.; Costa, L.; Montes, M. Deposition of zeolitic coatings onto Fecralloy microchannels: Washcoating vs. in situ growing. Microporous Mesoporous Mater. 2009, 123, 113–122. [Google Scholar] [CrossRef]




© 2019 by the authors. Licensee MDPI, Basel, Switzerland. This article is an open access article distributed under the terms and conditions of the Creative Commons Attribution (CC BY) license (http://creativecommons.org/licenses/by/4.0/).
Share and Cite
Julian, I.; Pedersen, C.M.; Achkasov, K.; Hueso, J.L.; Hellstern, H.L.; Silva, H.; Mallada, R.; Davis, Z.J.; Santamaria, J. Overcoming Stability Problems in Microwave-Assisted Heterogeneous Catalytic Processes Affected by Catalyst Coking. Catalysts 2019, 9, 867. https://doi.org/10.3390/catal9100867
Julian I, Pedersen CM, Achkasov K, Hueso JL, Hellstern HL, Silva H, Mallada R, Davis ZJ, Santamaria J. Overcoming Stability Problems in Microwave-Assisted Heterogeneous Catalytic Processes Affected by Catalyst Coking. Catalysts. 2019; 9(10):867. https://doi.org/10.3390/catal9100867
Chicago/Turabian StyleJulian, Ignacio, Christoffer M. Pedersen, Kostiantyn Achkasov, Jose L. Hueso, Henrik L. Hellstern, Hugo Silva, Reyes Mallada, Zachary J. Davis, and Jesus Santamaria. 2019. "Overcoming Stability Problems in Microwave-Assisted Heterogeneous Catalytic Processes Affected by Catalyst Coking" Catalysts 9, no. 10: 867. https://doi.org/10.3390/catal9100867
APA StyleJulian, I., Pedersen, C. M., Achkasov, K., Hueso, J. L., Hellstern, H. L., Silva, H., Mallada, R., Davis, Z. J., & Santamaria, J. (2019). Overcoming Stability Problems in Microwave-Assisted Heterogeneous Catalytic Processes Affected by Catalyst Coking. Catalysts, 9(10), 867. https://doi.org/10.3390/catal9100867

