Abstract
In the last ten years, the combination of Lewis acid with N-heterocyclic carbene (NHC) catalysis has emerged as a powerful strategy in a variety of important asymmetric synthesis, due to the ready availability of starting materials, operational simplicity and mild reaction conditions. Recent findings illustrate that Lewis acid could largely enhance the efficiency and enantioselectivity, reverse the diastereoselectivity, and even influence the pathway of the same reaction partners. Herein, this review aims to reveal the recent advances in NHC-Lewis acid synergistically promoted enantioselective reactions for the expeditious assembly of versatile biologically important chiral pharmaceuticals and natural products.
1. Introduction
N-heterocyclic carbenes (NHCs) are roughly categorized into three sections in accordance with their properties and applications: (i) excellent ligands for transition metals; (ii) coordination to p-block elements and (iii) organocatalysts [1,2,3,4,5,6,7]. The first N-heterocyclic carbene stabilized by two bulky adamantyl substituents was isolated and characterized by the Arduengo group in 1991 [8], which opened up an intriguing class of organic compounds for investigation. So far, a variety of novel carbenes have been revealed and synthesized, for instance, the dominant thiazolium-, imidazolium- and triazolium-based carbenes [9,10,11,12]. As powerful and efficient organocatalysts, they have been employed successfully for the synthesis of highly complex molecular architectures [13,14,15,16,17,18]. However, the stereoselectivities and/or regioselectivities of assembled products were limited for the single mode of activation during NHC catalyzed processes. Inspired by the importance and advantages of the cooperative catalysis strategy [19,20,21,22,23,24,25], which could activate the starting materials simultaneously with satisfying enantio- and stereoselectivities, N-heterocyclic carbenes as an important class of Lewis bases can cooperate with various Lewis acids to enhance yield and reverse selectivity or regioselectivity [26]. This strategy has emerged as a powerful approach for the direct access to various carbocyclic and heterocyclic compounds [27,28,29,30,31,32].
The recent developments in NHC/Lewis acid cooperative catalysis for the synthesis of some important enantioenriched molecules will be discussed in this review. They are categorized into several sections according to the species of the Lewis acid, including LiCl, Mg(Ot-Bu)2, Sc(OTf)3, La(OTf)3, Ti(Oi-Pr)4, etc. Due to the unique umpolung capacity, NHCs are widely applied in a variety of asymmetric transformations, resulting in the construction of versatile active acyl anions, enolates, homoenolates and α,β-unsaturated acylazolium equivalents from the corresponding carbonyl compounds (Scheme 1) [33,34,35,36,37,38,39,40,41], while Lewis acids as co-catalysts improve the reactivities or activate inactive electrophiles. The related exciting discoveries involving NHCs/Lewis acid cooperative catalysis are presented herein.
Scheme 1.
Carbonyl compounds and corresponding N-heterocyclic carbene (NHC)-bound intermediates.
2. Cooperative NHC/Mg Catalysis
Though NHCs have been proved to be good ligands for many transition metals on account of their strong donor properties, the Scheidt group reported a pioneering investigation and made an important breakthrough, which defies conventional wisdom with respect to the potential incompatibility of Lewis acids and bases. γ-lactam derivatives 2 with high enantioselectivities and diastereoselectivities were obtained by a formal [3 + 2] cycloaddition of N-acyl hydrazones 1 and cinnamaldehyde (Scheme 2). The results indicated that the employment of Mg(Ot-Bu)2 could increase the yield of γ-lactam distinctly from 31% to 78% and enhance the enantioselectivity slightly in the presence of 5 mol% of NHC catalyst. Subsequently, the substrates scope was surveyed and a broad range of functionalities turned out to be well accommodated. In these processes, carbene precursor A was deprotonated by the base 1,5,7-triazabicyclo[4.4.0]dec-5-ene (TBD) followed by addition to α,β-unsaturated aldehyde to produce homoenolate equivalent 4 by raising the HOMO energy. Simultaneously, magnesium (II) di-tert-butoxide was selected as the optimal Lewis acid to activate N-acyl hydrazones by lowering the LUMO energy. Further kinetic studies indicated that the reaction initial-rate emerged an inverse first-order relation for Mg (II) concentration [42].
Scheme 2.
NHC/Mg(Ot-Bu)2 strategy for the stereoselective synthesis of γ-lactams.
The Zhao group reported the pioneering work on the kinetic resolution of tertiary alcohols 6 by NHC-catalyzed esterification under oxidative conditions (Scheme 3). The presence of Mg(OTf)2 and NaBF4 in this catalytic system turned out to be efficient to improve both selectivity and reaction rate. A broad range of substrates was investigated and displayed the practicability of this protocol. In most cases, the unreacted starting tertiary alcohols 8 were recovered in high to excellent enantioselectivities. The proposed mechanism revealed that the Lewis acid Mg(OTf)2 may activate the substrate in a cooperative way to benefit the presumable attack of tertiary alcohol on acyl azolium intermediate from the opposite side of the catalyst’s chiral backbone. However, the oxindole structure was proved to be critical for this system to work smoothly [43].
Scheme 3.
Kinetic resolution of tertiary alcohols by NHC and Lewis acid.
In 2018, Wang and co-workers disclosed a [3 + 3] atroposelective annulation of alkynyl acyl azoliums 15 with 1,3-dicarbonyls 12 (Scheme 4). 3,3′,5,5′-tetratert-butyldiphenoquinone (DQ) as an external oxidant, acted as a two-electron acceptor to deliver the Breslow intermediate 14 to alkynyl acyl azolium 15. This approach accessed an array of axially chiral pyranones 13 in a good to excellent level of enantioselectivities. The Lewis acid Mg(OTf)2 was proved to be critical to promote the ketoenolate’s ‘C’ attack to alkynyl acyl azolium instead of the direct ‘O’ attack. Further transformation of the axially chiral pyranone-aryls successfully afforded the commonly used axial biaryls via Diels-Alder reaction. It is worth mentioning that the key intermediate alkynyl acyl azoliums 15 derived from ynals were discovered for the first time in NHC catalysis [44]. Encouraged by the initial exploration of the alkynyl acylazolium intermediates, they reported another formal [3 + 3] annulation of ynals with amidines to afford a series of functionalized 1,2,6-trisubstituted pyrimidin-4-ones under mild reaction conditions. Notably, the chemical yields of pyrimidin-4-ones were increased significantly with the addition of Mg(OTf)2, which activated the N-substituted amidines and alkynyl acyl azolium intermediates simultaneously [45].
Scheme 4.
Enantioselective [3 + 3] atroposelective annulation catalyzed by N-heterocyclic carbenes.
3. Cooperative NHC/Ti Catalysis
The Scheidt group found that an appropriate Lewis acid could reverse the diastereoselectivity in NHC-catalyzed enals with chalcones 20 through preorganization of the reactants (Scheme 5) [46]. Though the Bode group previously reported that NHC-catalyzed reactions of chalcone derivatives and enals provided trans-cyclopentene products, cis-cyclopentenes 21 were also obtained only using (E)-ethyl 4-oxo-2-butenoate as the partner of substrates. Optically active cis 1,3,4-trisubstituted cyclopentenes were observed when employing titanium tetraisopropoxide as the Lewis acid and involving homoenolates 22 generated by NHC catalysis. While other Lewis acids such as magnesium, zinc or scandium triflate completely inhibited homoenolate addition, the usage of Mg(Ot-Bu)2 afforded predominately the trans cyclopentenes in moderate yield. It is noteworthy that the catalytic amounts of isopropyl alcohol could improve both the yield and the rate by separating the titanium catalyst from the intermediate easily. In the exploration of mechanism, Scheidt proposed that the titanium Lewis acid promotes the generation of homoenolate equivalents 22, and then activates the chalcone to coordinate with the homoenolate-titanium intermediate 23. Subsequently, two successive C–C bond formation, acylation and decarboxylation provides the cyclopentene. Density functional theory (DFT) studies by Domingo illustrated that the titanium complex could not only accelerate the annulation reaction by lowing the Gibbs free energy, but also favor pre-organizing the spatial alignment of homoenolate and chalcone, in line with the proposed reaction pathway [47].
Scheme 5.
NHC/Ti(Oi-Pr)4 strategy for the synthesis of optically active cis cyclopentenes.
To extend the scope of substrates, Scheidt et al. developed the enantioselective dimerization of enals using cooperative catalysis NHC/Ti(Oi-Pr)4 (Scheme 6). The NHC/titanium-mediated 1,4-addition of homoenolate equivalents to enals was favored over the traditional 1,2-addition, resulting in the formation of γ-lactones [48].
Scheme 6.
NHC-catalyzed enantioselective enal dimerization.
Meanwhile, the Scheidt group uncovered the β,γ-unsaturated α-ketoesters 28 as a suitable class of homoenolate acceptors with enals to give the highly functionalized cyclopentanes 29 (Scheme 7) [49]. Importantly, the Lewis acid Ti(Oi-Pr)4 played a crucial role in the initial coordination to the enals, which promoted the formation of extended Breslow intermediate 30 and subsequent coordination to another enal or the β,γ-unsaturated α-ketoester. The high enantiopure products were received through the C–C bond formation, protonation/tautomerization, intramolecular aldol reaction and then acylation/elimination or transesterification. In addition, no reaction happened drastically without the titanium (IV) iso-propoxide, which confirmed the significance of the Lewis acid during the process.
Scheme 7.
NHC-catalyzed addition of homoenolates to β,γ-unsaturated α-ketoesters.
In 2013, Snyder group disclosed a one-step cooperative NHC/Lewis acid catalysis to forge the entire tricyclic butenolide cores, which belong to securinega alkaloids and exhibit various intriguing biological activities (Scheme 8). A linear enynal 35 was selected as the appropriate precursor for the in-situ generated homoenolate equivalent, which underwent an intramolecular addition to ketone and followed by lactonization to afford the desired product. The reaction conditions were optimized by investigating different NHC catalyst structures, species of Lewis acid or the concentration of solutions. Eventually, the tricyclic butenolide 36 product was isolated by slowly adding starting material into a suspension of catalyst and Ti(Oi-Pr)4 in toluene with the concentration of 0.03 M. Surprisingly, an exogenous base was not necessary, probably due to the Ti(Oi-Pr)4 was basic enough to facilitate the generation of the active carbene. In this dual catalysis strategy, ynals were used as nucleophilic homoenolate precursors to synthesize securinega alkaloids in only nine steps from commercial materials, which could provide opportunities for the further development of NHC-catalyzed reactions in total synthesis of fused bicyclic butenolide domains [50].
Scheme 8.
NHC/Ti(Oi-Pr)4 strategy for the synthesis of securinega alkaloids.
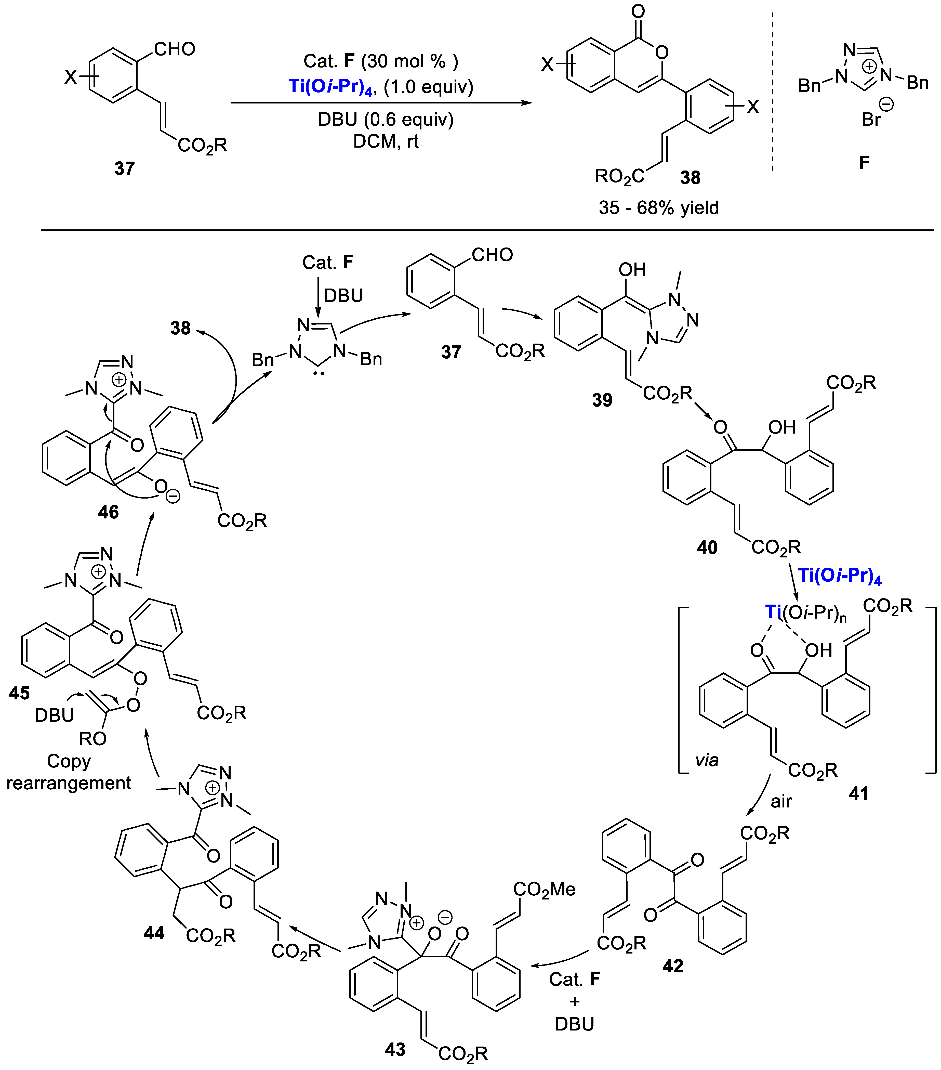
Later on, Cheng group reported the NHC/Ti(Oi-Pr)4 co-catalyzed dimerization of 2-formylcinnamates 37 for the access to isochromenone derivatives 38 via an unexpected pathway. However, a mixture of two diastereoisomers with cis- and trans-isochromeno[4,3-c]isochromene-6,12-diacetates were isolated in the absence of Ti(Oi-Pr)4 (Scheme 9). The combination of NHC and Ti(Oi-Pr)4 changed the reaction pathway of the dimerization completely [51]. The proposed mechanism revealed that the Breslow intermediate 39 was firstly generated via the deprotonation, nucleophilic addition and proton transfer. It then underwent the second nucleophilic addition to 2-formylcinnamates to generate α-hydroxyl ketones 40, which was activated by titanium(IV) and underwent the aerobic oxidation to afford the 1,2-diketone 42. Intriguingly, the nucleophilic addition of NHC to the carbonyl of 1,2-diketone, the following intramolecular rearrangement and copy rearrangement produced the peroxide intermediates 45. 1,8-Diazabicyclo[5.4.0]undec-7-ene (DBU) as a powerful nucleophile attacked the peroxide intermediate to facilitate the cleavage of O–O bond and elimination of the acetate moiety resulting in the formation of the enolates 46. At last, the intramolecular lactonization and release of the NHC delivered the isochromenone derivatives 38. In this case, the Lewis acid changed the reaction pathway and provided opportunities for the application of NHC/Lewis acid cooperative catalysis.
Scheme 9.
Dimerization of 2-formylcinnamates by NHC/Lewis acid cooperative catalysis.
Moreover, the Cheng group has systematically studied the chiral N-heterocyclic carbene/Lewis acid co-catalyzed intermolecular dimerization of 2-aroylvinylcinnamaldehydes, 2-aroylvinylcinnamaldehydes 47 with aromatic aldehydes 48 and 2-(aroylvinyl)benzaldehydes 51 with enals (Scheme 10). A variety of synthetically unavailable functionalized chiral indeno[1,2-c]furan-1-ones 49, tetrahydroindeno[1,2-c]furan-1-ones 50, 4,5-dihydro-1,4-methanobenzo[c]oxepin-3-ones 52 and 2,8-dihydrocyclopenta[a]indenes 53 were synthesized with good yields, excellent enantioselectivities and high diastereoselectivities. The Lewis acid Ti(Oi-Pr)4 as a co-catalyst has been exemplified by activating the reaction partners simultaneously and then inducing the stereoselectivities preferentially [52,53,54].
Scheme 10.
The reactions of 2-aroylvinylcinnamaldehydes or 2-(aroylvinyl)benzaldehydes involved in NHC/Ti(Oi-Pr)4 cooperate catalysis.
Zhao and co-workers developed a divergent annulation reaction of heterocyclic enones 64 with enals to synthesis ε-lactones 65 or spiro-heterocycles (Scheme 11). Ti(Oi-Pr)4 as the optimal Lewis acid was surveyed to enhance the conversion of the catalytic system and deliver the [3 + 4] annulation product ε-lactones 65 in good yield and excellent chemo- and stereo-selectivities [55]. Surprisingly, the indole-based enones afforded the indole-fused ε-lactones as a single diastereomer, potentially due to the control of chiral catalyst. This work displayed the catalyst-controlled chemoselective process in NHC catalysis and extended the capability of NHC/Lewis acid cooperative catalysis.
Scheme 11.
Stereoselective synthesis of ε-lactones by NHC-catalyzed annulation.
4. Cooperative NHC/Li Catalysis
Since the combination of NHC catalysis with Lewis acids demonstrated high efficiency to facilitate synthetic transformations, the Scheidt group has made a number of pioneer works and reported the first cooperative catalytic system consisting of achiral NHC and LiCl to promote an intermolecular conjugate addition of primary and secondary alcohols with activated alkenes (Scheme 12). The impact of lithium cation was probed that the addition of 1.0 equivalent of 12-crown-4 leaded a decreased yield. Therefore, LiCl was added to generate the desired β-alkoxy ketone 68 in 95% yield. Unfortunately, the enantioselective versions with the chiral NHC/LiCl co-catalysis were carried out resulting in racemic products or low ee values even if high yields. The mechanism investigation illustrated that the free N-heterocyclic carbene derived from IMes acted as a Brønsted base and accessed the NHC-alcohol complex 69 as a crucial intermediate. Remarkably, no oligomerization products were observed presumably because the lithium chloride as a Lewis acid activated the enones toward the 1,4-additon of the alcohols. Ultimately, the overall yield was improved [56].
Scheme 12.
NHC-catalyzed conjugate additions of alcohols.
Subsequently, Scheidt and coworkers reported an enantioselective annulation of isatins 71 with enals for accessing spirooxindole lactones 72 in good yields and high enantioselectivities (Scheme 13) [57]. Soon later, Sunoj and coworkers focused on the mechanism and origin of stereoselectivity in the chiral NHC/Lewis acid co-catalyzed synthesis of spirooxindole lactones. The addition of chiral NHC to α, β-unsaturated aldehydes generates the homoenolate equivalent as nucleophilic species and then inducts the enantioselectivity of the annulation process. On the other hand, the lithium counterion interacts with both the 1,2-dicarbonyl of the isatin and the NHC-bound homoenolate, resulting in an enantioselective addition of the re face with the enhancement on the level of enantioselectivity, in line with the experimental observations [58]. At last, this approach was successfully applied into the concise synthesis of maremycin B, which contains a 3-hydroxy indole structure scaffold and exhibits the excellent anticancer activity [57].
Scheme 13.
NHC/LiCl strategy for the stereoselective synthesis of spirooxindole lactones.
The appropriate Lewis acid has a significant influence on the NHC-catalyzed umpolung reactions. In 2013, the She group reported an elegant work that the NHC/Lewis acid catalytic system mediated the [3 + 2] annulation of alkynyl aldehydes 73 with β,γ-unsaturated α-ketoester 74 (Scheme 14). No desired product was observed in initial studies employing only NHC-catalyst in the absence of the Lewis acid. Notably, the yields of butenolides were enhanced and the starting materials were consumed completely in a short time in the presence of LiCl. In addition, the enantioselective studies of this methodology were carried out by screening several available chiral carbenes to realize the asymmetric version of this formal [3 + 2] cyclization. Although a moderate enantioselectivity was observed, this result prompted further exploration on the NHC/Lewis acid mediated enantioselective reactions [59]. Shortly thereafter, Scheidt and co-workers further explored a chiral NHC-catalyzed cascade reaction of α,β-alkynals with α-ketoesters by using the same cooperative catalysis strategy. The enantioselectivity of this formal [3 + 2] annulation reaction was induced by a saturated imidazolium J (SImes·Cl) and chiral phosphoric acid. Remarkably, the introduction of lithium cation organized the transition state by means of activating the phosphate and α-ketoesters simultaneously [60]. Du and Lu group reported another formal [3 + 2] annulations of alkynyl aldehydes with isatins. A variety of spirooxindole butenolides and spirooxindole furan-3(2H)-ones were formed by the NHC/LiCl co-catalyzed transformation via the a3-d3 umpolung of alkynyl aldehydes and a1-d1 umpolung process respectively. The asymmetric version of this formal [3 + 2] cyclization reaction has also been realized using the chiral carbene precursor I as catalyst, and the spirooxindole butenolide as a single regioisomer was afforded in 78% yield and 73% ee value [61]. In short, the common nature of these elegant studies is the umpolung of the β-position of alkynyl aldehydes by N-heterocyclic carbenes to afford a unique “allenolate” nucleophile, whilst LiCl as the optimal Lewis acid activates the carbonyl of various electrophilic reagents.
Scheme 14.
NHC-catalyzed/Lewis acid mediated conjugate umpolung of alkynyl aldehydes.
Studer et al. reported the cooperative NHC/LiCl catalyzed the conjugate additions of tertiary prochiral C-nucleophiles to α,β-unsaturated acyl azolium in situ generated from the oxidation of the Breslow intermediate (Scheme 15). β-diketones, β-ketoesters, and malonates 76 bearing a β-oxyalkyl substituent at the α position reacted smoothly with enals to afford highly substituted cyclopentanes 77 in high yields and excellent diastereo- and enantioselectivities. The proposed mechanism revealed that this organic cascade process consisted of the deprotonation of NHC precursor K, Michael addition and subsequent asynchronous formal [2 + 2] aldol lactonization with the regeneration of the NHC catalyst to give the desired highly substituted β-lactones [62].
Scheme 15.
Asymmetric synthesis of highly substituted β-lactones through oxidative carbene catalysis with LiCl as cooperative Lewis acid.
In 2015, Studer and Ye reported the similar results that the cooperative oxidative NHC/Lewis acid enantioselective catalysis gave highly substituted δ-lactones 79 through the reactions of enals with ε-oxo-γ,δ-malonates 78 containing two Michael acceptors (Scheme 16). The suggested mechanism of these two cascade reaction demonstrated that the oxidation of vinyl Breslow intermediate afforded the α,β-unsaturated acyl azolium intermediate, which was then attacked by the deprotonated malonates to give the enolate intermediate. Subsequently, the second intramolecular Michael-type cyclization and lactonization afforded the cyclopentane- and cyclohexane-fused δ-lactones with the release of the catalyst. Meanwhile, the LiCl was likely to coordinate with the enolate of malonates and the oxygen atom of the α,β-unsaturated acylazolium intermediate by lowering the LUMO energy. Therefore, LiCl turned out to be essential for facilitating the formation of new C–C bond and the outcome of high yields and excellent stereoselectivities [63,64].
Scheme 16.
Enantioselective synthesis of bicyclic δ-lactones via NHC-catalyzed cascade reaction.
In 2016, Zhong reported an enantioselective annulation of α,β-unsaturated aldehydes with 1,3-dicarbonyl compounds 80 by cooperative N-heterocyclic carbene/Lewis acid catalysis strategy (Scheme 17). LiCl and 4Å molecular sieves were found to be the best in the optimization studies. The ee value of the desired dihydropyranone 81 was improved distinctly from 60% to 87% in the presence of LiCl. It was noteworthy that the ambient air acted as the sole oxidant in this asymmetric annulation reaction. Some control experiments were carried out to illustrate that the molecular O2 indeed could promote the oxidation of homoenolate equivalent to the α,β-unsaturated acyl triazolium. In this regards, the aerobic oxidative NHC/Lewis acid catalyzed enantioselective annulations provided an efficient, concise and green version in asymmetric synthesis [65]. Then, Du and Zheng independently reported the formal NHC/Lewis acid catalyzed [3 + 3] annulation of 1,3-dicarbonyl compounds with isatin-derived 2-bromoenals and β-cyano-substituted α,β-unsaturated aldehydes, respectively [66]. Compared with the isatin-derived enals, which was unstable under air and always difficult to separate from the Z/E mixtures, the isatin-derived 2-bromoenals were proved to be more stable under air and reacted well with 1,3-dicarbonyl compounds under NHC/base conditions. However, it was still ambiguous that whether the β-cyano-substituted α,β-unsaturated aldehydes could be attacked by the NHC catalyst or not. The enantioselective annulations of β-cyano-substituted α,β-unsaturated aldehydes with malonates were investigated under NHC-catalyzed oxidative conditions. In these two reactions, the addition of LiCl enhanced the reaction yields and stereoselectivities significantly to give the desired spirooxindole δ-lactones and dihydropyran-4-carbonitrile compounds [67]. Then, Dong, Du and colleagues reported the first application of esters as alkynyl acyl azolium precursors that have been utilized to undergo a formal [2 + 3] annulation with amidomalonates through dimethylaminopyridine (DMAP)/LiCl and NHC/LiCl cooperative catalysis. A wide range of (Z)-5-amino-3-furanones was synthesized with moderate to high yields (41%–99% yield) and high regioselectivities [68].
Scheme 17.
NHC/Lewis acid catalyzed enantioselective aerobic annulation of α,β-unsaturated aldehydes with 1,3-dicarbonyl compounds.
Compared with enals, the carboxylic acids are more readily available and stable. They could be easily activated and in situ converted to the key NHC-bound intermediates with the assist of an array of coupling reagents, such as carbonyldiimidazole (CDI), 2-(7-aza-1H-benhexafluorophoszotriazole-1-yl)-1,1,3,3-tetramethyluroniumphate (HATU), and pivaloyl chloride. Yao and co-workers reported that α,β-unsaturated carboxylic acids could be transformed into α,β-unsaturated acyl azolium in the presence of HATU via the in situ activation strategy. Moreover, the introduction of LiCl could improve the enantioselectivities of dihydropyranone products [69]. In 2017, the Biju group demonstrated an intramolecular NHC-catalyzed aldol-lactonization of ketoacids 82 using the dynamic kinetic resolution (DKR) strategy (Scheme 18). The kinetics study indicated that the reaction proceeded via DKR process because more than 50% β-lactones were obtained in 6 h. Further transformation of the cyclopentane-fused β-lactone products 83 with primary amines resulted in succinimide derivatives containing four contiguous stereocenters in excellent yields and diastereoselectivities and good enantiopurities [70].
Scheme 18.
NHC-catalyzed aldol-lactonization of ketoacids via dynamic kinetic resolution.
In 2017, Huang and Fu Group reported an oxidative amidation of aldimine 84 by NHC catalysis with LiCl as cooperative Lewis acid under ambient air (Scheme 19). The proposed reaction pathway indicated that the NHC-bounded aldimine intermediate was produced firstly by the umpolung of aldimine under NHC catalysis with the assistance of the LiCl, and the structure of the intermediate was confirmed by X-ray diffraction analysis. Then the intermediate underwent dearomatization and deprotonation process to form an imine-derived Breslow intermediate, which then added to dioxygen from the air and cleaved the O–O bond under basic condition to afford amides 85 with the expulsion of the free carbene. Overall, an economical and efficient methodology was developed for the synthesis of some biological molecules by the cooperative catalysis with ambient air or O2 as the sole oxidant [71].
Scheme 19.
Access to amide from aldimine via aerobic oxidative carbene catalysis and LiCl as cooperative Lewis acid.
Later, the same authors employed potassium 2-oxo-3-enoates 86 as outstanding and practical surrogates for α,β-unsaturated aldehydes in NHC-catalyzed asymmetric reactions. These salts could be prepared at scale and purified to undergo NHC-catalyzed reactions with enones 87, isatins 89, and 1,3-dicarbonyl compounds 91 respectively, affording various corresponding cyclopentenes 88, spirooxindole lactones 90 and lactones 92 with broad substrate scopes and good to excellent enantioselectivities [72]. In 2019, this group further developed a novel NHC-catalyzed [3 + 3] annulation of potassium 2-oxo-3-enoates 86 with 2-ethylidene 1,3-indandione 93 to give 2,2-diacyl spirocyclohexanones 94 in good to excellent yields. Lewis acid LiCl was added in these reactions to activate the potassium 2-oxo-3-enoates via the collaborative strategy (Scheme 20) [73].
Scheme 20.
Potassium 2-oxo-3-enoates as effective and versatile surrogates for α,β-unsaturated aldehydes in NHC-catalyzed asymmetric reactions.
In 2018, the Enders group reported a new NHC-catalyzed domino process of enals with reactive malonates 98 (Scheme 21). The huge challenge of this cascade reaction was how to control the reactivities of multifold nucleophilic and electrophilic of the substrates [74]. Hence the malonates bearing an ortho-hydroxy phenyl group and enals were selected as starting materials to validate the feasibility of the domino processes. Gratifyingly, the desired cyclopenta[c]-fused chromenones 99 were isolated in an acceptable yields and high enantioselectivities with the assistance of LiCl as a cooperative Lewis acid. Since there are two possible mechanisms to illuminate the reaction pathway, DFT calculations and control experiments were carried out to verify that the reaction has been subjected to the domino Michael/aldol/lactonization/dehydration process. Notably, low chemical yields and ee values were obtained in the absence of LiCl. This domino reaction clearly showed the power of NHC/Lewis acid cooperative catalysis involving reactive reagents.
Scheme 21.
NHC-catalyzed quadruple domino reactions: asymmetric synthesis of cyclopenta[c]chromenones.
Recently, Naumann, Buchmeiser and co-workers established an NHC/LiCl cooperative catalysis for the synthesis of linear poly(oxazolidin-2-one)s (POxa) 102 (Scheme 22). Diepoxides 101, aromatic as well as aliphatic diisocyanates 100, and NHC-CO2 adducts were employed in the polymerization reaction. More importantly, the Lewis acid LiCl was selected as cocatalyst to secure high-molecular-weight POxa and control the polymerization in a reasonable degree [75].
Scheme 22.
Synthesis of linear poly(oxazolidin-2-one)s by cooperative catalysis based on NHC/LiCl.
5. Cooperative NHC/Sc Catalysis
In 2012, the scandium-based Lewis acid was first applied in the cooperative NHC catalysis by the Chi group [76]. The authors successfully circumvented the difficulties in improving the reactivity and enantioselectivity of the remote γ-carbon of enals (Scheme 23). β-phenyl substituted butenal was chosen as the starting material to avoid the competing pathway of the NHC-mediated enal reactions. The combination of Sc(OTf)3 and Mg(OTf)2 offered a small but consistent additional ee enhancement. Remarkably, only 5%–23% ee were observed in all cases when the reactions were conducted without Sc(OTf)3, which demonstrated that the potential coordination of Sc(OTf)3 played a critical role in the chiral induction.
Scheme 23.
Oxidative γ-addition of enals to trifluoromethyl ketones by NHC/Sc(OTf)3 cooperative catalysis.
Inspired by these results, Wang and co-workers reported an enantioselective intermolecular dynamic kinetic resolution (DKR) catalyzed by an N-heterocyclic carbene and a Lewis acid cooperatively (Scheme 24) [77]. The enantiomerically pure DKR products σ-lactones 106 were isolated from the reaction of β-phenyl substituted butenal and β-halo-α-ketoesters 105 under oxidative conditions with excellent enantio- and diastereocontrol. The postulated reaction pathway was illustrated that the key intermediate vinyl enolate 109 arose from the γ-deprotonation of the oxidatively generated unsaturated acyl azolium intermediate 108. Then, this intermediate underwent the nucleophilic addition to activate ketones, resulting in the regioselective γ-addition and construction of the cyclization products. The Lewis acid Sc(OTf)3 or Mg(OTf)2 were known to exhibit good affinities for carbonyl oxygen and carboxylates, and potentially involved in the multisite coordination to bring the ketone electrophile into close proximity with vinyl enolate intermediate. In general, the effect of this coordination may amplify the otherwise weak chiral induction by the chiral NHC catalyst.
Scheme 24.
Intermolecular dynamic kinetic resolution cooperatively catalyzed by an N-heterocyclic carbene and a Lewis acid.
6. Miscellaneous
In 2014, Yao and coworkers reported a novel Lewis acid La(OTf)3 as a co-catalyst in the NHC-catalyzed [4 + 2] annulation of 2-bromo-2-enals with isatin derivatives 112 (Scheme 25). This dual catalysis process was initiated by the addition of the NHC to 2-bromo-2-enals to give the Breslow intermediate, which then underwent a3 to d3 umpolung and debromination to generate α,β-unsaturated acyl azolium intermediate without the addition of external oxidant. The α,β-unsaturated acyl azolium was then deprotonated at the γ-position to provide the vinyl enolate intermediate. Subsequently, the nucleophilic addition and intramolecular lactonization occurred between the vinyl enolate and isatin 112. Spirocyclic oxindole-dihydropyranones 113 were prepared in good yields and with excellent enantioselectivities. Similar to Chi’s and Wang’s report (vide supra), only 19–41% ee were observed in all cases in the absence of Lewis acid La(OTf)3 as a co-catalyst [78].
Scheme 25.
NHC/La(OTf)3 strategy for the stereoselective synthesis of spirocyclic oxindole-dihydropyranones.
Ye and colleagues investigated the reactions of α,β-unsaturated carboxylic acids with isatin-derived ketamines under NHC catalysis. Initially, the desired spirocyclic oxindolodihydropyridinone product was isolated in low yield with only 7% ee in the absence of Lewis acid. Notably, the Lewis acid La(OTf)3 performed well to improve the yield and enantioselectivity [79]. In 2017, Huang and co-workers presented an enantioselective β-protonation of enals via a shuttling strategy (Scheme 26). A variety of Lewis acids have been screened and displayed a strong impact on the enantioselectivity. Finally, Cu(OTf)2 resulted in the highest yield and ee value. The Lewis acid could coordinate with enals and mercaptans 114 through not only stabilizing a homoenolate intermediate but also facilitating protonation by increasing the acidity of the thiol. In a word, the combination of a chiral N-heterocyclic carbene (NHC) catalyst and a strong Brønsted/Lewis acid cocatalyst solved the longstanding challenge of enantioselective remote β-protonation of homoenolates with excellent reactivity and enantioselectivity [80].
Scheme 26.
Enantioselective β-protonation of enals via a shuttling strategy.
7. Conclusions
In this review, a number of catalytic applications have demonstrated that the combination of NHC catalysis with Lewis acid is a unique and efficient strategy for access to a wide range of highly functionalized complex and enantiomerically enriched structural motifs. The use of a Lewis acid in combination with a NHC catalyst enable us to (1) increase the yield and enantioselectivity, (2) reverse diastereo- and regioselectivity, (3) change the reaction pathway and (4) activate a previous inactive electrophile in NHC-generated processes. Overall, the dual catalytic approaches would expand the utility of NHC/Lewis acid methodology and construct other synthetically useful products with diverse particularly important skeletons. Further development of the cooperative catalysis in the total synthesis of natural products and pharmaceuticals will be the target of future studies.
Author Contributions
Q.J. and Q.R. wrote the manuscript. Y.L. (Yaqiong Li) and Y.L. (Yinhe Lin) contributed to discussions and edited the manuscript.
Funding
The project is funded by the National Natural Science Foundation of China (No. 21602179) and Science Foundation of Yangtze Normal University (No. 2017KYQD123, 2018QNRC17).
Conflicts of Interest
The authors declare no conflict of interest.
References
- Doddi, A.; Peters, M.; Tamm, M. N-Heterocyclic Carbene Adducts of Main Group Elements and Their Use as Ligands in Transition Metal Chemistry. Chem. Rev. 2019, 119, 6994–7112. [Google Scholar] [CrossRef] [PubMed]
- Hopkinson, M.N.; Richter, C.; Schedler, M.; Glorius, F. An overview of N-heterocyclic carbenes. Nature 2014, 510, 485–496. [Google Scholar] [CrossRef] [PubMed]
- Díez-González, S.; Marion, N.; Nolan, S.P. N-Heterocyclic Carbenes in Late Transition Metal Catalysis. Chem. Rev. 2009, 109, 3612–3676. [Google Scholar] [CrossRef] [PubMed]
- Herrmann, W.A.; Elison, M.; Fischer, J.; Ko¨cher, C.; Artus, G.R.J. Metal Complexes of N-Heterocyclic Carbenes-a New Structural Principle for Catalysts in Homogeneous Catalysis. Angew. Chem. Int. Ed. Engl. 1995, 34, 2371–2374. [Google Scholar] [CrossRef]
- Hahn, F.E.; Jahnke, M.C. Heterocyclic Carbenes: Synthesis and Coordination Chemistry. Angew. Chem. Int. Ed. 2008, 47, 3122–3172. [Google Scholar] [CrossRef]
- Enders, D.; Niemeier, O.; Henseler, A. Organocatalysis by N-Heterocyclic Carbenes. Chem. Rev. 2007, 107, 5606–5655. [Google Scholar] [CrossRef]
- Marion, N.; Nolan, S.P.; Diez-Gonzales, S.; Diez-Gonzales, S. N-Heterocyclic Carbenes as Organocatalysts. Angew. Chem. Int. Ed. 2007, 38, 2988–3000. [Google Scholar] [CrossRef]
- Arduengo, A.J., III; Harlow, R.L.; Kline, M. A Stable Crystalline Carbene. J. Am. Chem. Soc. 1991, 113, 361–363. [Google Scholar] [CrossRef]
- Lebeuf, R.; Hirano, K.; Glorius, F. Palladium-Catalyzed C-Allylation of Benzoins and an NHC-Catalyzed Three Component Coupling Derived Thereof: Compatibility of NHC- and Pd-Catalysts. Org. Lett. 2008, 10, 4243–4246. [Google Scholar] [CrossRef]
- Kamijo, S.; Yamamoto, Y. Recent Progress in the Catalytic Synthesis of Imidazoles. Chem. Asian J. 2007, 38, 568–578. [Google Scholar] [CrossRef]
- Kerr, M.S.; De Alaniz, J.R.; Rovis, T. An Efficient Synthesis of Achiral and Chiral 1,2,4-Triazolium Salts: Bench Stable Precursors for N-Heterocyclic Carbenes. J. Org. Chem. 2005, 70, 5725–5728. [Google Scholar] [CrossRef] [PubMed]
- Vora, H.U.; Lathrop, S.P.; Reynolds, N.T.; Kerr, M.S.; De Alaniz, J.R.; Rovis, T. Preparation of Chiral and Achiral Triazolium Salts: Carbene Precursors with Demonstrated Synthetic Utility. Org. Synth. 2010, 87, 350–361. [Google Scholar]
- Hovey, M.T.; Jaworski, A.A.; Scheidt, K.A. N-Heterocyclic Carbene Catalysis in Natural Product and Complex Target Synthesis. N-Heterocycl. Carbenes Organocatal. 2019, 345–404. [Google Scholar]
- Izquierdo, J.; Hutson, G.E.; Cohen, D.T.; Scheidt, K.A. A continuum of progress: Applications of N-hetereocyclic carbene catalysis in total synthesis. Angew. Chem. Int. Ed. 2012, 51, 11686–11698. [Google Scholar] [CrossRef] [PubMed]
- Bugaut, X.; Glorius, F. Organocatalytic umpolung: N-heterocyclic carbenes and beyond. Chem. Soc. Rev. 2012, 41, 3511. [Google Scholar] [CrossRef]
- Flanigan, D.M.; Romanov-Michailidis, F.; White, N.A.; Rovis, T. Organocatalytic Reactions Enabled by N-Heterocyclic Carbenes. Chem. Rev. 2015, 115, 9307–9387. [Google Scholar] [CrossRef]
- Zhao, M.; Zhang, Y.T.; Chen, J.; Zhou, L. Enantioselective Reactions Catalyzed by N-Heterocyclic Carbenes. Asian J. Org. Chem. 2018, 7, 54–69. [Google Scholar] [CrossRef]
- Zhang, J.; Shi, M. N-Heterocyclic Carbenes Catalyzed Cycloadditions. Organocatalyt. Cycloaddit. Synth. Carbo-Heterocycles 2018, 237–307. [Google Scholar] [CrossRef]
- Zhao, X.; DiRocco, D.A.; Rovis, T. N-Heterocyclic carbene and Brønsted acid cooperative catalysis: Asymmetric synthesis of trans-γ-lactams. J. Am. Chem. Soc. 2011, 133, 12466–12469. [Google Scholar]
- Guo, C.; Fleige, M.; Janssen-Müller, D.; Daniliuc, C.G.; Glorius, F. Cooperative N-Heterocyclic Carbene/Palladium-Catalyzed Enantioselective Umpolung Annulations. J. Am. Chem. Soc. 2016, 138, 7840–7843. [Google Scholar] [CrossRef]
- Liu, G.; Wilkerson, P.D.; Toth, C.A.; Xu, H. ChemInform Abstract: Highly Enantioselective Cyclizations of Conjugated Trienes with Low Catalyst Loadings: A Robust Chiral N-Heterocyclic Carbene Enabled by Acetic Acid Cocatalyst. Org. Lett. 2012, 14, 858–861. [Google Scholar] [CrossRef] [PubMed]
- DiRocco, D.A.; Rovis, T. Catalytic asymmetric intermolecular Stetter reaction of enals with nitroalkenes: Enhancement of catalytic efficiency through bifunctional additives. J. Am. Chem. Soc. 2011, 133, 10402–10405. [Google Scholar] [CrossRef] [PubMed]
- Zhao, J.; Mück-Lichtenfeld, C.; Studer, A.; Mück-Lichtenfeld, C. Cooperative N-Heterocyclic Carbene (NHC) and Ruthenium Redox Catalysis: Oxidative Esterification of Aldehydes with Air as the Terminal Oxidant. Adv. Synth. Catal. 2013, 355, 1098–1106. [Google Scholar] [CrossRef]
- Jin, Z.; Xu, J.; Yang, S.; Song, B.-A.; Chi, Y.R. Enantioselective Sulfonation of Enones with Sulfonyl Imines by Cooperative N-Heterocyclic-Carbene/Thiourea/Tertiary-Amine Multicatalysis. Angew. Chem. 2013, 125, 12580–12584. [Google Scholar] [CrossRef]
- Fu, Z.; Sun, H.; Chen, S.; Tiwari, B.; Li, G.; Chi, Y.R. Controlled β-protonation and [4 + 2] Cycloaddition of Enals and Chalcones via N-heterocyclic Carbene/acid Catalysis: Toward Substrate Independent Reaction Control. Chem. Commun. 2013, 49, 261–263. [Google Scholar] [CrossRef]
- Cohen, D.T.; Scheidt K, A. Cooperative Lewis acid/N-heterocyclic carbene catalysis. Chem. Sci. 2012, 3, 53–57. [Google Scholar] [CrossRef]
- Chen, X.-Y.; Li, S.; Vetica, F.; Kumar, M.; Enders, D. N-Heterocyclic-Carbene-Catalyzed Domino Reactions via Two or More Activation Modes. IScience 2018, 2, 1–26. [Google Scholar] [CrossRef]
- Hirano, K.; Piel, I.; Glorius, F. Dual Activation in N-Heterocyclic Carbene-organocatalysis. Chem. Lett. 2011, 40, 786–791. [Google Scholar] [CrossRef]
- Grossmann, A.; Enders, D. N-Heterocyclic Carbene Catalyzed Domino Reactions. Angew. Chem. Int. Ed. 2012, 51, 314–325. [Google Scholar] [CrossRef]
- Wang, M.H.; Scheidt, K.A. Cooperative Catalysis and Activation with N-Heterocyclic Carbenes. Angew. Chem. Int. Ed. 2016, 55, 14912–14922. [Google Scholar] [CrossRef]
- Ding, Q.; Fan, X.; Wu, J. Recent Developments for the Synthesis of Heterocycles Catalyzed by N-Heterocyclic Carbene. Curr. Org. Chem. 2014, 18, 700–718. [Google Scholar] [CrossRef]
- Ren, Q.; Li, M.; Yuan, L.; Wang, J. Recent advances in N-heterocyclic carbene catalyzed achiral synthesis. Org. Biomol. Chem. 2017, 15, 4731–4749. [Google Scholar] [CrossRef] [PubMed]
- Ryan, S.J.; Candish, L.; Lupton, D.W. Acyl anion free N-heterocyclic carbene organocatalysis. Chem. Soc. Rev. 2013, 42, 4906. [Google Scholar] [CrossRef] [PubMed]
- Vora, H.U.; Rovis, T. Asymmetric N-Heterocyclic Carbene (NHC) Catalyzed Acyl Anion Reactivity. Aldrichim. Acta 2011, 44, 3–11. [Google Scholar]
- Johnson J, S. Catalyzed Reactions of Acyl Anion Equivalents. Angew. Chem. Int. Ed. 2004, 43, 1326–1328. [Google Scholar] [CrossRef]
- Ryan, S.J.; Candish, L.; Lupton, D.W. N-Heterocyclic Carbene-Catalyzed Generation of α,β-Unsaturated Acyl Imidazoliums: Synthesis of Dihydropyranones by their Reaction with Enolates. J. Am. Chem. Soc. 2009, 131, 14176–14177. [Google Scholar] [CrossRef]
- Menon, R.S.; Biju, A.T.; Nair, V. Recent Advances in Employing Homoenolates Generated by N-Heterocyclic Carbene (NHC) Catalysis in Carbon-carbon Bond-forming Rreactions. Chem. Soc. Rev. 2015, 44, 5040–5052. [Google Scholar] [CrossRef]
- Zhang, C.; Hooper, J.F.; Lupton, D.W. N-Heterocyclic Carbene Catalysis via the α,β-Unsaturated Acyl Azolium. ACS Catal. 2017, 7, 2583–2596. [Google Scholar] [CrossRef]
- Mondal, S.; Yetra, S.R.; Mukherjee, S.; Biju, A.T. NHC-Catalyzed Generation of α,β-Unsaturated Acylazoliums for the Enantioselective Synthesis of Heterocycles and Carbocycles. Acc. Chem. Res. 2019, 52, 425–436. [Google Scholar] [CrossRef]
- Dzieszkowski, K.; Rafiński, Z. N-Heterocyclic Carbene Catalysis under Oxidizing Conditions. Catalysts 2018, 8, 549. [Google Scholar] [CrossRef]
- Albanese, D.; Gaggero, N. An Overview on the N-Heterocyclic Carbene-Catalyzed Aza-Benzoin Condensation Reaction. Catalysts 2018, 8, 181. [Google Scholar] [CrossRef]
- Raup, D.E.; Cardinal-David, B.; Holte, D.; Scheidt, K.A. Cooperative Catalysis by Carbenes and Lewis Acids in a Highly Stereoselective Route to γ-Lactams. Nat. Chem. 2010, 2, 766. [Google Scholar] [CrossRef] [PubMed]
- Lu, S.; Poh, S.B.; Siau, W.-Y.; Zhao, Y. Kinetic Resolution of Tertiary Alcohols: Highly Enantioselective Access to 3-Hydroxy-3-Substituted Oxindoles. Angew. Chem. 2013, 125, 1775–1778. [Google Scholar] [CrossRef]
- Zhao, C.; Guo, D.; Munkerup, K.; Huang, K.W.; Li, F.; Wang, J. Enantioselective [3 + 3] atroposelective annulation catalyzed by N-heterocyclic carbenes. Nat. Commun. 2018, 9, 611. [Google Scholar] [CrossRef] [PubMed]
- Xie, Y.; Wang, J. N-Heterocyclic carbene-catalyzed annulation of ynals with amidines: Access to 1,2,6-trisubstituted pyrimidin-4-ones. Chem. Commun. 2018, 54, 4597–4600. [Google Scholar] [CrossRef] [PubMed]
- Cardinal-David, B.; Raup, D.E.A.; Scheidt, K.A. Cooperative N-Heterocyclic Carbene/Lewis Acid Catalysis for Highly Stereoselective Annulation Reactions with Homoenolates. J. Am. Chem. Soc. 2010, 132, 5345–5347. [Google Scholar] [CrossRef]
- Domingo, L.R.; Zaragozá, R.J.; Arnó, M. Understanding the Cooperative NHC/LA Catalysis for Stereoselective Annulation Reactions with Homoenolates. A DFT Study. Org. Biomol. Chem. 2011, 9, 6616–6622. [Google Scholar] [CrossRef]
- Cohen, D.T.; Cardinal-David, B.; Roberts, J.M.; Sarjeant, A.A.; Scheidt, K.A. NHC-Catalyzed/Titanium(IV)−Mediated Highly Diastereo- and Enantioselective Dimerization of Enals. Org. Lett. 2011, 13, 1068–1071. [Google Scholar] [CrossRef]
- Cohen, D.T.; Cardinal-David, B.; Scheidt, K.A. Lewis acid activated synthesis of highly substituted cyclopentanes by the N-heterocyclic carbene catalyzed addition of homoenolate equivalents to unsaturated ketoesters. Angew. Chem. Int. Ed. 2011, 50, 1678–1682. [Google Scholar] [CrossRef]
- ElSohly, A.M.; Wespe, D.A.; Poore, T.J.; Snyder, S.A. An Efficient Approach to the Securinega Alkaloids Empowered by Cooperative N-Heterocyclic Carbene/Lewis Acid Catalysis. Angew. Chem. 2013, 125, 5901–5906. [Google Scholar] [CrossRef]
- Dang, H.-Y.; Wang, Z.-T.; Cheng, Y. Changing Reaction Pathways of the Dimerization of 2-Formylcinnamates by N-Heterocyclic Carbene/Lewis Acid Cooperative Catalysis: An Unusual Cleavage of the Carbon–Carbon Bond. Org. Lett. 2014, 16, 5520–5523. [Google Scholar] [CrossRef] [PubMed]
- Wang, Z.-Y.; Ding, Y.-L.; Wang, G.; Cheng, Y. Chiral N-heterocyclic carbene/Lewis acid cooperative catalysis of the reaction of 2-aroylvinylcinnamaldehydes: A switch of the reaction pathway by Lewis acid activation. Chem. Commun. 2016, 52, 788–791. [Google Scholar] [CrossRef] [PubMed]
- Wang, G.; Wang, Z.-Y.; Niu, S.-S.; Rao, Y.; Cheng, Y. The Reaction of 2-Aroylvinylcinnamaldehydes with Aromatic Aldehydes by Dual Catalysis with a Chiral N-Heterocyclic Carbene and a Lewis Acid: Enantioselective Construction of Tetrahydroindeno[1,2-c]furan-1-ones. J. Org. Chem. 2016, 81, 8276–8286. [Google Scholar] [CrossRef] [PubMed]
- Wang, Z.-Y.; Ding, Y.-L.; Li, S.-N.; Cheng, Y. N-Heterocyclic Carbene/Lewis Acid Dual Catalysis for the Divergent Construction of Enantiopure Bridged Lactones and Fused Indenes. J. Org. Chem. 2016, 81, 11871–11881. [Google Scholar] [CrossRef] [PubMed]
- Wang, M.; Rong, Z.-Q.; Zhao, Y. Stereoselective synthesis of ε-lactones or spiro-heterocycles through NHC-catalyzed annulation: Divergent reactivity by catalyst control. Chem. Commun. 2014, 50, 15309–15312. [Google Scholar] [CrossRef]
- Phillips, E.M.; Riedrich, M.; Scheidt, K.A. N-Heterocyclic Carbene-Catalyzed Conjugate Additions of Alcohols. J. Am. Chem. Soc. 2010, 132, 13179–13181. [Google Scholar] [CrossRef]
- Dugal-Tessier, J.; O’Bryan, E.A.; Schroeder, T.B.H.; Cohen, D.T.; Scheidt, K.A. An N-heterocyclic carbene/Lewis acid strategy for the stereoselective synthesis of spirooxindole lactones. Angew. Chem. Int. Ed. 2012, 51, 4963–4967. [Google Scholar] [CrossRef]
- Reddi, Y.; Sunoj, R.B. Origin of Stereoselectivity in Cooperative Asymmetric Catalysis Involving N-Heterocyclic Carbenes and Lewis Acids toward the Synthesis of Spirooxindole Lactone. ACS Catal. 2016, 7, 530–537. [Google Scholar] [CrossRef]
- Qi, J.; Xie, X.; Han, R.; Ma, D.; Yang, J.; She, X. N-Heterocyclic Carbene (NHC)-Catalyzed/Lewis Acid Mediated Conjugate Umpolung of Alkynyl Aldehydes for the Synthesis of Butenolides: A Formal [3 + 2] Annulation. Chem. Eur. J. 2013, 19, 4146–4150. [Google Scholar] [CrossRef]
- Lee, A.; Scheidt, K.A. A Cooperative N-Heterocyclic Carbene/Chiral Phosphate Catalysis System for Allenolate Annulations. Angew. Chem. 2014, 126, 7724–7728. [Google Scholar] [CrossRef]
- Zhang, Y.; Lu, Y.; Tang, W.; Lu, T.; Du, D. Cooperative N-Heterocyclic Carbene (NHC)-Lewis Acid-mediated Regioselective Umpolung Formal [3 + 2] Annulations of Alkynyl Aldehydes with Isatins. Org. Biomol. Chem. 2014, 12, 3009–3015. [Google Scholar] [CrossRef] [PubMed]
- Bera, S.; Samanta, R.C.; Daniliuc, C.G.; Studer, A. Berichtigung: Asymmetric Synthesis of Highly Substituted β-Lactones through Oxidative Carbene Catalysis with LiCl as Cooperative Lewis Acid. Angew. Chem. 2014, 126, 12199. [Google Scholar] [CrossRef]
- Bera, S.; Daniliuc, C.G.; Studer, A. Enantioselective Synthesis of Substituted δ-Lactones by Cooperative Oxidative N-Heterocyclic Carbene and Lewis Aacid Catalysis. Org. Lett. 2015, 17, 4940–4943. [Google Scholar] [CrossRef] [PubMed]
- Liang, Z.-Q.; Wang, D.-L.; Zhang, H.-M.; Ye, S. Enantioselective Synthesis of Bicyclic δ-Lactones via N-Heterocyclic Carbene-Catalyzed Cascade Reaction. Org. Lett. 2015, 17, 5140–5143. [Google Scholar] [CrossRef] [PubMed]
- Xie, D.; Shen, D.; Chen, Q.; Zhou, J.; Zeng, X.; Zhong, G. N-Heterocyclic Carbene/Lewis Acid Catalyzed Enantioselective Aerobic Annulation of α,β-Unsaturated Aldehydes with 1,3-Dicarbonyl Compounds. J. Org. Chem. 2016, 81, 6136–6141. [Google Scholar] [CrossRef] [PubMed]
- Xu, J.; Zhang, W.; Liu, Y.; Zhu, S.; Liu, M.; Hua, X.; Chen, S.; Lu, T.; Du, D. Formal [3 + 3] Annulation of Isatin-derived 2-Bromoenals with 1,3-Dicarbonyl Compounds Enabled by Lewis Acid/N-Heterocyclic Carbene Cooperative Catalysis. RSC Adv. 2016, 6, 18601–18606. [Google Scholar] [CrossRef]
- Wu, Q.; Li, C.; Wang, W.; Wang, H.; Pan, D.; Zheng, P. NHC-catalyzed enantioselective synthesis of dihydropyran-4-carbonitriles bearing all-carbon quaternary centers. Org. Chem. Front. 2017, 4, 2323–2326. [Google Scholar] [CrossRef]
- Cao, J.; Sun, K.; Dong, S.; Lu, T.; Dong, Y.; Du, D. Esters as Alkynyl Acyl Ammonium and Azolium Precursors: A Formal [2 + 3] Annulation with Amidomalonates via Lewis Base/Lewis Acid Cooperative Catalysis. Org. Lett. 2017, 19, 6724–6727. [Google Scholar] [CrossRef]
- Que, Y.; Lu, Y.; Wang, W.; Wang, Y.; Wang, H.; Yu, C.; Li, T.; Wang, X.-S.; Shen, S.; Yao, C. An Enantioselective Assembly of Dihydropyranones through an NHC/LiCl-Mediated in situ Activation of α,β-Unsaturated Carboxylic Acids. Chem. Asian J. 2016, 11, 678–681. [Google Scholar] [CrossRef]
- Mondal, S.; Mukherjee, S.; Das, T.K.; Gonnade, R.; Biju, A.T. N-Heterocyclic Carbene-Catalyzed Aldol-Lactonization of Ketoacids via Dynamic Kinetic Resolution. ACS Catal. 2017, 7, 3995–3999. [Google Scholar] [CrossRef]
- Wang, G.; Fu, Z.; Huang, W. Access to Amide from Aldimine via Aerobic Oxidative Carbene Catalysis and LiCl as Cooperative Lewis Acid. Org. Lett. 2017, 19, 3362–3365. [Google Scholar] [CrossRef] [PubMed]
- Gao, Y.; Ma, Y.; Xu, C.; Li, L.; Yang, T.; Sima, G.; Fu, Z.Q.; Huang, W. Potassium 2-oxo-3-enoates as Effective and Versatile Surrogates for α,β-Unsaturated Aldehydes in NHC-Catalyzed Asymmetric Reactions. Adv. Synth. Catal. 2018, 360, 479–484. [Google Scholar] [CrossRef]
- Gao, Y.; Liu, D.; Fu, Z.; Huang, W. Facile Synthesis of 2, 2-Diacyl Spirocyclohexanones via an N-Heterocyclic Carbene-Catalyzed Formal [3C + 3C] Annulation. Org. Lett. 2019, 21, 926–930. [Google Scholar] [CrossRef] [PubMed]
- Liu, Q.; Chen, X.-Y.; Puttreddy, R.; Rissanen, K.; Enders, D. N-Heterocyclic Carbene Catalyzed Quadruple Domino Reactions: Asymmetric Synthesis of Cyclopenta[c]chromenones. Angew. Chem. Int. Ed. 2018, 57, 17100–17103. [Google Scholar] [CrossRef]
- Altmann, H.J.; Clauss, M.; König, S.; Frick-Delaittre, E.; Koopmans, C.; Wolf, A.; Guertler, C.; Naumann, S.; Buchmeiser, M.R. Synthesis of Linear Poly(oxazolidin-2-one)s by Cooperative Catalysis Based on N-Heterocyclic Carbenes and Simple Lewis Acids. Macromolecules 2019, 52, 487–494. [Google Scholar] [CrossRef]
- Mo, J.; Chen, X.; Chi, Y.R. Oxidative γ-Addition of Enals to Trifluoromethyl Ketones: Enantioselectivity Control via Lewis Acid/N-Heterocyclic Carbene Cooperative Catalysis. J. Am. Chem. Soc. 2012, 134, 8810–8813. [Google Scholar] [CrossRef]
- Wu, Z.; Li, F.; Wang, J. ChemInform Abstract: Intermolecular Dynamic Kinetic Resolution Cooperatively Catalyzed by an N-Heterocyclic Carbene and a Lewis Acid. Angew. Chem. Int. Ed. 2015, 54, 1629–1633. [Google Scholar] [CrossRef]
- Xiao, Z.; Yu, C.; Li, T.; Wang, X.-S.; Yao, C. N-Heterocyclic Carbene/Lewis Acid Strategy for the Stereoselective Synthesis of Spirocyclic Oxindole-Dihydropyranones. Org. Lett. 2014, 16, 3632–3635. [Google Scholar] [CrossRef]
- Jia, W.Q.; Zhang, H.M.; Zhang, C.L.; Gao, Z.H.; Ye, S. N-Heterocyclic carbene-catalyzed [4 + 2] annulation of α,β-unsaturated carboxylic acids: Enantioselective synthesis of dihydropyridinones and spirocyclic oxindolodihydropyridinones. Org. Chem. Front. 2016, 3, 77–81. [Google Scholar] [CrossRef]
- Chen, J.; Yuan, P.; Wang, L.; Huang, Y. Enantioselective β-Protonation of Enals via a Shuttling Strategy. J. Am. Chem. Soc. 2017, 139, 7045–7051. [Google Scholar] [CrossRef]
© 2019 by the authors. Licensee MDPI, Basel, Switzerland. This article is an open access article distributed under the terms and conditions of the Creative Commons Attribution (CC BY) license (http://creativecommons.org/licenses/by/4.0/).

























