Abstract
α-, β-, and ω-Hydroxy acids, amino acids, and lactones represent common building blocks and intermediates for various target molecules. This review summarizes artificial cascades published during the last 10 years leading to these products. Renewables as well as compounds originating from fossil resources have been employed as starting material. The review provides an inspiration for new cascade designs and may be the basis to design variations of these cascades starting either from alternative substrates or extending them to even more sophisticated products.
1. Introduction
Artificial cascades involving biocatalysts have received increased attention recently [1,2,3,4,5,6,7,8,9,10,11,12,13,14,15,16,17,18,19,20,21,22,23,24,25,26,27,28,29], also in combination of enzymes with metal catalysis [30,31,32,33,34,35,36,37]. In this context, a cascade is defined as the combination of a minimum of two chemical reaction steps in a single reaction vessel without isolation of the intermediate(s) [38]. Linear cascade means that the product of one step in the cascade is the substrate of a second subsequent step (Scheme 1) [1ac].
Scheme 1.
Linear cascade comprising n steps (n ≥ 2).
In this review, the focus is on biocatalytic cascades of the last 10 years, whereby all steps are performed simultaneously, leading to hydroxy acids, lactones, and α- and β-amino carboxylic acids as final products.
2. Hydroxy Acids
Hydroxy acids play an important role in chemical industry: α-Hydroxycarboxylic acids are part of numerous natural products, such as depsipeptides or aeruginosins, as well as of various pharmaceuticals [39,40,41]. Their ω-hydroxy counterparts, on the other hand, are used in the production of a variety of chemical products and intermediates such as polyesters, resins, lubricants, plasticizers, and perfumes [42,43]. Hence, efficient synthetic entries to these compounds are highly desired.
2.1. Preparation of ω-Hydroxycarboxylic Acids from Fatty Acids
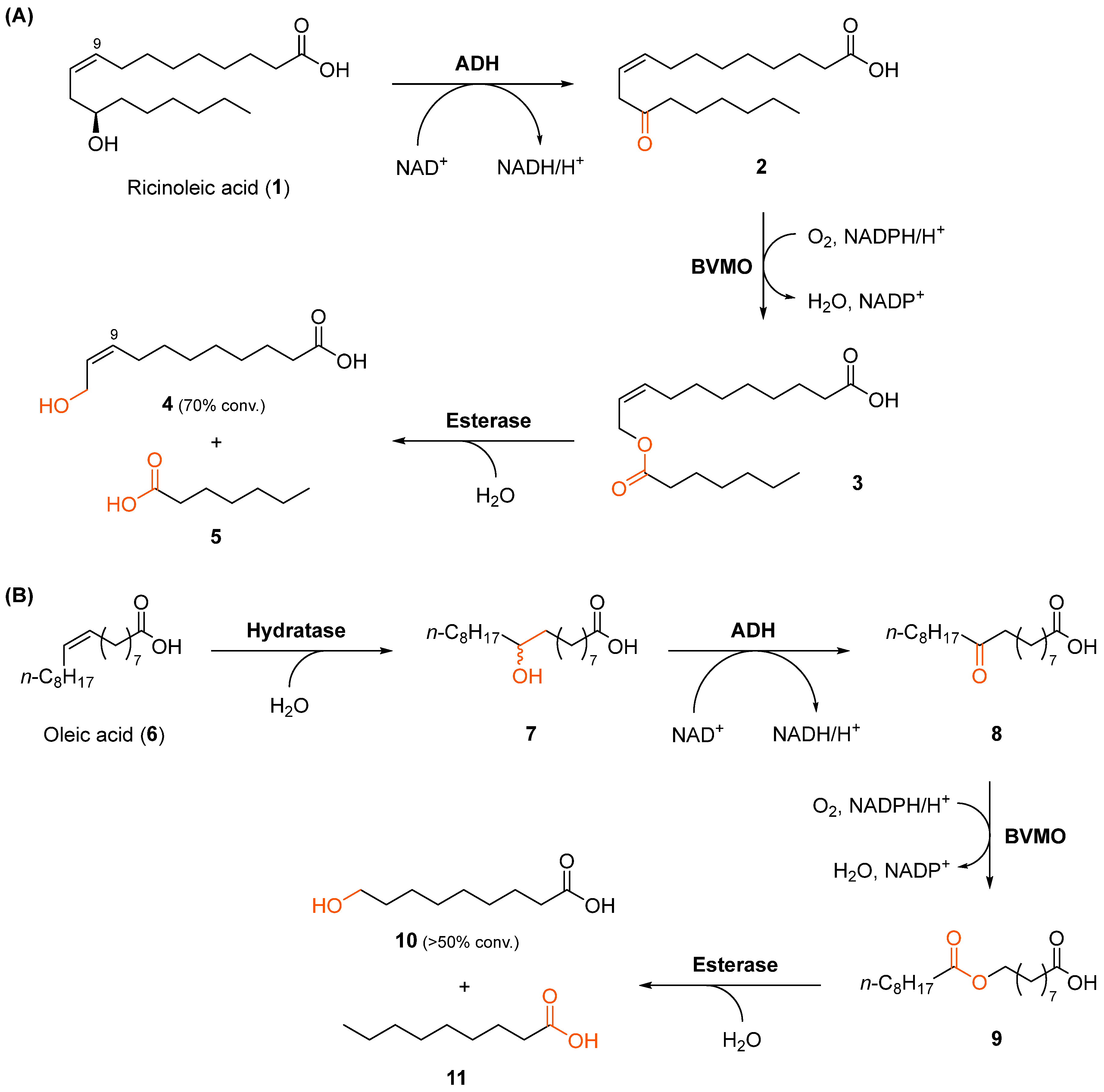
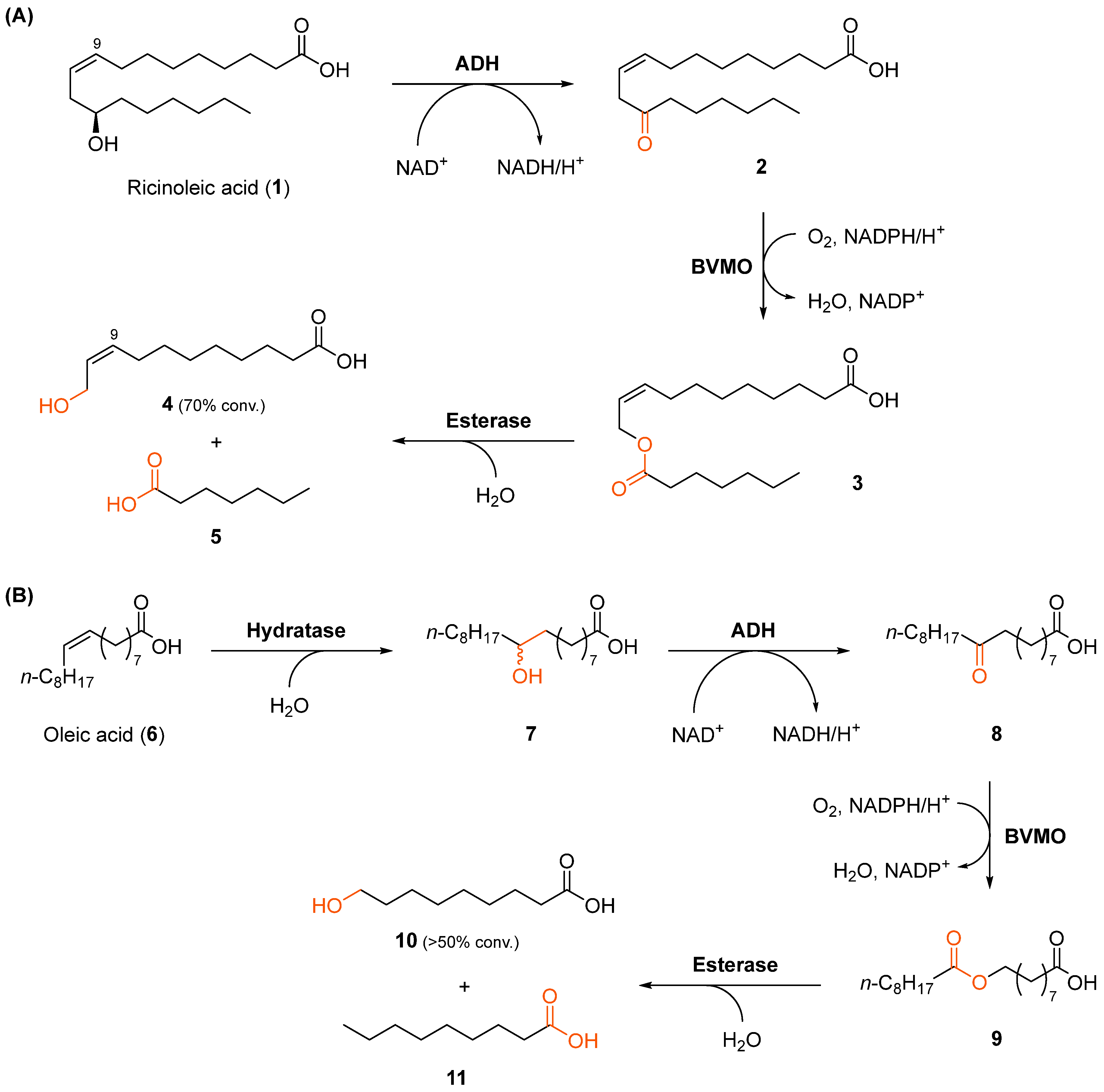
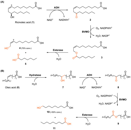
The biocatalytic synthesis of ω-hydroxycarboxylic acids has recently been realised starting from ricinoleic acid or oleic acid in a three- or four-step cascade (Scheme 1) [44].
Biotransformations producing the desired hydroxy acids were performed with a conversion ranging from 60% to 70% at 1 mM substrate concentration employing E. coli cells co-expressing all the necessary enzymes. Several other fatty acids, such as 5-hydroxydecanoic acid, linoleic acid, and lesquerolic acid, were transformed by this cascade leading to a similar range of conversion. Treating 5 gram per litre olive oil with lipase generated a product mixture containing 11.3 mM oleic acid and 1.2 mM palmitic acid. The subsequent biotransformation was performed as outlined in Scheme 2B, yielding 9-hydroxynonanoic acid (10) with 60% conversion.
Scheme 2.
Cascades to ω-hydroxycarboxylic acids. (A) Biotransformation starting from ricinoleic acid (1) to yield n-heptanoic acid (5) and 11-hydroxyundec-9-enoic acid (4); (B) Four-step cascade starting from oleic acid (6) producing n-nonanoic acid (11) and 9-hydroxynonanoic acid (10). Enzyme abbreviations: ADH, alcohol dehydrogenase; BVMO, Baeyer–Villiger monooxygenase.
In a follow-up study [45], the biotransformation conditions and expression protocol were optimised for the preparation of 11-hydroxyundec-9-enoic acid (4), which may have potential as an antifungal agent [46]. Employing increased concentrations of ricinoleic acid (1; 10 mM) and the biocatalyst (>10 g cell dry-weight per litre), a final concentration of 4.0 g/L 11-hydroxyundec-9-enoic acid (4) was achieved.
2.2. Conversion of α-Amino Acids into α-Hydroxy Acids
The synthesis of (R)- and (S)-α-hydroxy acids has been described starting from the corresponding l-amino acids, applying an l-amino acid deaminase (l-AAD) from Proteus myxofaciens, followed by the asymmetric reduction mediated by either l- or d-hydroxyisocaproate dehydrogenases (HicDHs), derived from Lactobacillus confusus DSM 20196 and Lactobacillus paracasei DSM 20008, respectively (Scheme 3) [47].
Scheme 3.
Transformation of l-amino acids into the corresponding α-hydroxy acids in a two-step cascade. Enzyme abbreviations: l-AAD, l-amino acid deaminase; HicDH, α-hydroxyisocaproate dehydrogenase.
The transformation of all tested amino acids allowed conversions of 97–99% (73–85% isolated yield) within 7 h, even with high substrate loadings (up to 200 mM; see Table 1), furnishing the α-hydroxy acids 14 in optically pure form (>99% ee).
Table 1.
Transformation of α-amino acids 12 into α-hydroxy acids 14 via a two-step cascade (Scheme 3) a.
l-Tyrosine (12f) was also transformed at high substrate concentrations (200 mM) and on a 100 mg scale to afford the α-hydroxy acid (S)-14f in 80% isolated yield and >99% ee (Scheme 4). The product 14f is an important building block for various biologically active compounds, such as Saroglitazar (15), which is used as a treatment for diabetes Type II [48].
Scheme 4.
Multi-enzyme cascade synthesis of (S)-14f, a building block for the preparation of the antidiabetic drug Saroglitazar (15). Enzyme abbreviations: l-AAD, l-amino acid deaminase; HicDH, α-hydroxyisocaproate dehydrogenase; FDH, formate dehydrogenase.
In a subsequent study, an extended version of the cascade was published to access α-hydroxy acids starting from phenol derivatives and pyruvate (Scheme 5) [49].
Scheme 5.
Biocatalytic cascade for the synthesis of α-hydroxy acids 18 starting from phenol derivatives 16 and pyruvate. Enzyme abbreviations: TPL, l-tyrosine phenol lyase; l-AAD, l-amino acid deaminase; HicDH, α-hydroxyisocaproate dehydrogenase.
As an additional step in this new reaction setup, the amino acid is formed within the cascade employing a tyrosine phenol lyase (TPL) from Citrobacter freundii, which performs a C–C coupling between substituted phenols 16 and pyruvate. The oxidative deamination and subsequent reduction are done by the same enzymes as described before. However, by introducing the additional TPL into the cascade, it has to be performed in sequential mode since small amounts of product 18 cause an inhibition of step one.
The model compound phenol (16a, R = H) was converted in a range of 23–46 mM with high conversions (93–97%) and ee (>99%) for both enantiomers. Related phenol substrates were accepted at concentrations up to 92 mM reaching conversions up to >99% and perfect ee (>97% by HPLC; Table 2). A preparative reaction transforming 56.6 mg of substrate 16a afforded the optically pure hydroxy acid (S)-18a with 97% conversion in 77% isolated yield (ee > 97%).
Table 2.
Results of cascade transforming phenols to p-hydroxyphenyl lactic acids 18 (Scheme 5) a.
Starting from l-phenylalanine, (S)-mandelic acid was produced via a six-step cascade involving ammonia elimination, decarboxylation, epoxidation, epoxide hydrolysis, and oxidation of the primary alcohol to the carboxylic acid (Scheme 6) [50]. Performing the reaction with 120 mM of l-phenylalanine to (S)-mandelic acid with E. coli cells co-expressing all enzymes in a single strain afforded 83% conversion within 10 h and 92% conversion within 24 h and a perfect ee of 99%.
Scheme 6.
Cascade transforming l-phenylalanine to (S)-mandelic acid. Enzyme abbreviations: PAL, phenylalanine ammonia lyase; PAD, phenylacrylic acid decarboxylase; SMO, styrene monooxygenase; EH, epoxide hydrolase; ADH, FAD-dependent alcohol dehydrogenase AlkJ from Pseudomonas putida; AlDH, aldehyde dehydrogenase.
2.3. Deracemization of α-Hydroxy Acids
Following previous reports on deracemization [1n-t], selected α-hydroxy acids were deracemized in an enantioselective oxidation–stereoselective reduction sequence (Scheme 7, Table 3) [51]. Oxidation was achieved using a flavin-mononucleotide-dependent (S)-2-hydroxy acid dehydrogenase [(S)-2-HADH] from Pseudomonas aeruginosa. For the asymmetric reduction of the intermediate α-keto acid, an NADH-dependent ketoreductase from Leuconostoc mesenteroides, was employed, whereby the cofactor was regenerated via GDH (glucose dehydrogenase) from Exiguobacterium sibiricum. For the substrates investigated at 20 mM concentration, the ee values obtained ranged between 60% and >99%, whereby in most cases optically pure product was obtained with up to 98% conversion.
Scheme 7.
Deracemization of α-hydroxy acids by enantioselective oxidation and stereoselective reduction. Enzyme abbreviations: (S)-2-HADH, (S)-2-hydroxy acid dehydrogenase; (R)-2-KAR, (R)-2-keto acid reductase.
Table 3.
Deracemization of α-hydroxy acids by enantioselective oxidation and stereoselective reduction (Scheme 7).
2.4. Styrenes to α-Hydroxy Acids
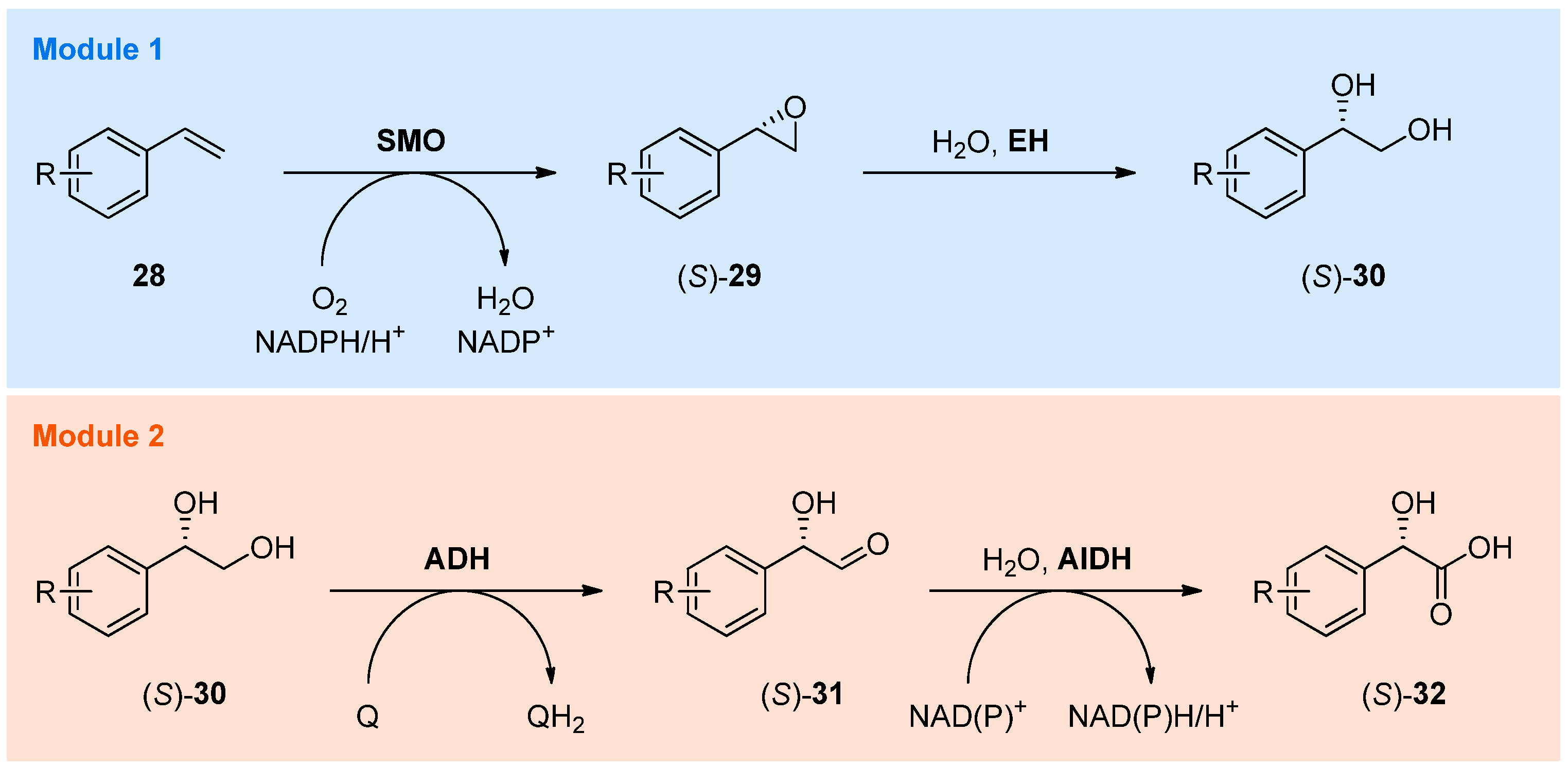
An alternative route to α-hydroxycarboxylic acids has recently been developed as a modular multi-enzyme system for the functionalisation of styrene derivatives (Scheme 8) [52]. In this approach, aryl-substituted styrenes 28 were converted into vicinal diols (S)-30 using the enzymes of Module 1, styrene monooxygenase and epoxide hydrolase. Selective oxidation of the primary alcohol moiety to the carboxylic acid was then realised by a second bi-enzymatic module, comprising the membrane-associated alcohol dehydrogenase AlkJ from Pseudomonas putida as well as phenylacetaldehyde dehydrogenase from E. coli. Eleven different mandelic acid derivatives (S)-32 were thus produced with 69–99% overall conversion and ee values ranging from 96% to >99%.
Scheme 8.
Modularised multi-enzyme system for the production of 1,2-diols (S)-30 or α-hydroxy acids (S)-32 from styrene derivatives 28. Abbreviations: SMO, styrene monooxygenase; EH, epoxide hydrolase; ADH, FAD-dependent alcohol dehydrogenase AlkJ from Pseudomonas putida; AlDH, aldehyde dehydrogenase; Q, ubiquinone.
2.5. Access to α β-Hydroxy Dicarboxylic Acid Derivative Ethyl (R)-3-Hydroxyglutarate
The biocatalytic synthesis of ethyl (R)-3-hydroxyglutarate (36), a key intermediate in the preparation of the cholesterol-lowering drug rosuvastatin, was achieved in a three-step cascade with two enzymes [53]. Ethyl (S)-4-chloro-3-hydroxybutyrate (33) was employed as starting material, which was converted to the corresponding epoxide by a halohydrin dehalogenase (HHDH) from Agrobacterium radiobacter AD1, followed by a ring opening and subsequent hydrolysis to the product, using a nitrilase from Arabidopsis thaliana (Scheme 9).
Scheme 9.
Biocatalytic transformation of ethyl (S)-4-chloro-3-hydroxybutyrate (33) into the pharmacologically important ethyl (R)-3-hydroxyglutarate (36). Enzyme abbreviation: HHDH, halohydrin dehalogenase.
Using E. coli cells co-expressing the two required enzymes, up to 300 mM substrate were transformed within 1.5 h. However, at a substrate loading of 600 mM unfortunately only about 20% of the target hydroxy acid was detected after 5 h reaction time while intermediate 35 accumulated. Studying the inhibitory effect of the substrate 33 on the nitrilase, it was shown that above 300 mM a significant decrease in activity was observed. In order to access high product titres, the cascade was performed in a fed-batch mode; thus, 300 mM of substrate was added twice over a period of 2 h. By using this approach, the reaction went to completion within 6 h. Adding 300 mM substrate for a third time, 35% of intermediate 35 remained in the reaction mixture while 33 was completely consumed. Poorly balanced activity levels of the two co-expressed enzymes were identified as the reason for this accumulation of the reaction intermediate as the nitrilase was expressed in significantly lower amounts than the HHDH. Consequently, whole-cell preparations expressing the enzymes individually were used and the ratio of the amount of different cells was adjusted to obtain comparable activity levels for the two enzymes. By employing this setup, 900 mM of compound 33 were completely converted into the final product within 6 h, and (R)-36 was isolated in 84% yield.
3. α- and β-Amino Acids
Natural and non-natural amino acids and their derivatives are pivotal building blocks for agrochemicals, bioactive polypeptide drugs, pharmaceuticals, and polymers [54,55,56,57]. Hence, the efficient synthesis of these compounds has received tremendous interest
The synthesis of the non-natural α-amino acid l-phenylglycine and its derivatives has been described using a three-enzyme cascade, starting from racemic mandelic acid. While in an older study only mandelic acid was transformed [58], other mandelic acid derivatives have been investigated more recently [59]. In this redox-neutral cascade that proceeds via ‘hydrogen borrowing’, an engineered mandelate racemase (MRM) from Pseudomonas putida, a d-mandelate dehydrogenase (d-MDH) from Lactobacillus brevis, and an l-leucine dehydrogenase (LeuDH) from Exiguobacterium sibiricum were selected to produce l-phenyl glycine derivatives 38 in a one-pot simultaneous fashion (Scheme 10).
Scheme 10.
Three-step cascade for the conversion of racemic phenyllactic acid derivatives 32 into optically active phenylglycine derivatives 38. Enzyme abbreviations: MRM, mandelate racemase; d-MDH, d-mandelate dehydrogenase; LeuDH, l-leucine dehydrogenase.
Under optimized conditions, 50 mM of substrate 32a (R = H) were transformed into the desired product with 97% conversion and a perfect ee of >99% after 24 h. When the substrate loading was increased to up to 200 mM, good conversions of more than 95% were observed, whereas at even higher concentrations (500 mM) the conversion was reduced to 63%. To prove the applicability of this cascade, 30.4 g (200 mM) of rac-mandelic acid were transformed at a 1 L scale reaction, leading to >96% conversion and an isolated product yield of 86.5%.
Further, mandelic acid derivatives were converted to the corresponding phenylglycine products as well, showing moderate to good conversions (Table 4). Of special interest is product 38b (R = o-Cl), which is a building block for Clopidogrel, an antiplatelet drug.
Table 4.
Conversion of mandelic acid derivatives 32 into phenyl glycine derivatives 38 (Scheme 10).
An analogous transformation of mandelic acid derivatives into phenylglycine derivatives has been developed as an extension of the above-mentioned modular multi-enzyme system for the functionalisation of ring-substituted styrenes (Scheme 8) [52]. The (S)-mandelic acid derivatives 32, which were ultimately derived from styrenes 28, were oxidised to oxoacids 37 using hydroxymandelate oxidase from Streptomyces coelicolor. Reductive amination of 37 by the branched-chain aminoacid transaminase from E. coli using l-glutamate as amino donor and l-glutamate dehydrogenase for regeneration of the latter afforded the l-phenylglycine derivatives 38 (cf. Scheme 8 and Scheme 10). The overall synthesis sequence starting from styrenes 28 involved eight enzymes (six in a linear sequence) arranged in three modules (each expressed in a separate E. coli host) and provided products l-38 in 16–86% overall yield and excellent optical purity (91% to >99% ee).
l-phenylglycine (38a) was also obtained in an eight-step cascade starting from l-phenylalanine (19), which was transformed to (S)-mandelic acid (25) as shown in Scheme 6, followed by further conversion into 38a by the sequence described in the previous paragraph [50]. Transformation of 40 mM of (S)-l-phenylalanine with E. coli cells co-expressing all required enzymes afforded l-phenylglycine with 85% conversion and 99% ee within 24 h. The challenging eight-step biocatalytic cascade was successfully achieved with a single recombinant strain co-expressing 10 enzymes.
To access l-tyrosine and its derivatives substituted on the aromatic ring, a two-step-one-pot cascade was designed consisting of the P450 monooxygenase BM3 from Bacillus megaterium and a tyrosine phenyl lyase (TPL) from the microorganism Citrobacter freundii (Scheme 11) [60].
Scheme 11.
Two-step-one-pot biosynthesis of l-tyrosine derivatives 41 starting from arenes 39. Enzyme abbreviations: P450-BM3, cytochrome P450 monooxygenase from Bacillus megaterium; TPL, l-tyrosine phenol lyase.
Under non-optimized conditions the model substrate 39c (R = OMe) yielded ~5% of the amino acid product with the majority of intermediate 40c remaining, proving that both steps can be performed simultaneously. An inhibition study of the cascade revealed that the amount of NADP+ and of the P450 have a substantial effect on the productivity of the TPL enzyme; however, the most critical parameter was found to be the pH drop due to the release of gluconic acid during NADPH regeneration. Furthermore, small amounts (<5%) of the p-phenolic side product as well as the p-hydroquinone were detected. By changing the buffer to Tris-HCl to maintain a slightly alkaline pH, an improvement in product formation by the factor 1.7 was observed. To investigate the substrate scope of the cascade, six different arenes (39a–f) were subjected to the biotransformation, showing large variations in conversion and selectivity. The best result in terms of productivity was obtained with substrate 39c, showing 68% conversion, and with compound 39d being the best one regarding the selectivity of the reaction (Table 5). p-Hydroquinone formation was particularly high for the halogenated substrates, due to the lower pKa value and therefore better solubility and accessibility in the aqueous phase.
Table 5.
Results of the cascade producing l-tyrosine derivatives 41a–f (Scheme 11) a.
Besides α-amino acids, their β-counterparts have attracted attention since they might be applied in the synthesis of bioactive compounds as well as in the design of hybrid peptides [61,62,63,64]. A biosynthetic route accessing various aromatic β-amino acids has been reported using a two-step-one-pot cascade starting from β-keto esters. The first step involves the hydrolysis of the ester by a lipase originating from Candida rugosa, followed by the amination of the keto acid by an ω-transaminase (ω-TA) from Polaromonas sp. JS666 (Scheme 12) [65].
Scheme 12.
Biocatalytic synthesis of β-amino acids 44 starting from β-keto esters 42 using a lipase and a transaminase (TA).
The cascade was optimized with respect to the use of co-solvent, amine donor, and lipase concentration; substrate 42a was converted under improved conditions with a conversion of 89% and a perfect ee of >99% for the (R)-enantiomer. Several further β-keto esters were transformed into their corresponding amino acids with conversions ranging between 26 and 99% with excellent ee values in all cases (Table 6).
Table 6.
Transformation of β-keto esters 42 into β-amino acids 44 (Scheme 12) a.
Phenylalanine and derivatives thereof were deracemized by a combination of E. coli whole cells expressing an l-amino acid deaminase and an engineered d-amino acid dehydrogenase to prepare optically pure d-phenylalanines (Scheme 13) [66]. Alternatively, instead of starting from the racemate, optically pure l-enantiomers were used as substrate leading to inversion of the absolute configuration. Various substituted derivatives of the d-amino acids were isolated with good yields (69–83%) and excellent optical purities (95% to >99% ee).
Scheme 13.
Deracemization cascade for the preparation of d-amino acids 45. Enzyme abbreviations: l-AAD, l-amino acid deaminase; MDPD, meso-diaminopimelate dehydrogenase.
4. Lactones
Lactones—and particularly γ- and δ-lactones—are important flavour and fragrance compounds that are found in various fruits, juices, wines, and spirits [67]. Furthermore, substituted γ-butyrolactones occur as a central motif in many natural products, for instance nephrosteranic acid or arctigenin [68]. ɛ-Caprolactone, on the other hand, is a valuable chemical for the preparation of biodegradable polymers, such as polycaprolactone [69] and a precursor for ɛ-caprolactam.
The chemical synthesis of these compounds usually involves a large number of steps, low overall yields, toxic or otherwise hazardous reagents, and impractical reaction conditions, which makes them neither “green” nor atom-economic [70,71,72,73]. Hence, biocatalytic cascade transformations have become a useful tool in the preparation of lactones, as they avoid the necessity of time-consuming and yield-reducing isolation and purification of intermediates and reduce waste generation to a minimum.
In most of these multi-enzyme sequences, the lactone is formed in the final step through oxidation of a cyclic ketone by a Baeyer–Villiger monooxygenase (BVMO). However, systems that derive the lactone from an acyclic precursor have also been reported.
4.1. Formation of Lactones by Baeyer–Villiger Monooxygenases in Cascade Systems
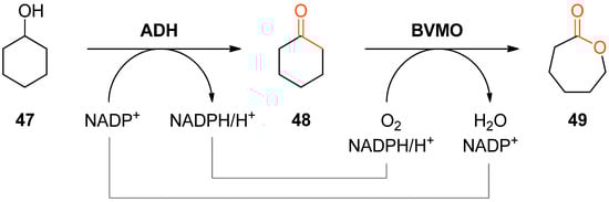
The combination of alcohol oxidation by an alcohol dehydrogenase (ADH) and Baeyer–Villiger oxidation of the resulting ketone by a BVMO represents perhaps the simplest biocatalytic cascade system for lactone production. Although this bi-enzymatic reaction represents a double oxidation, it is redox-neutral with respect to the required nicotinamide cofactor, since the Baeyer–Villiger monooxygenase requires NAD(P)H for reducing one oxygen atom of O2 to water while the other one is incorporated into the substrate. Hence, molecular oxygen is the only stoichiometric co-substrate in the overall process.
The conversion of cyclohexanol (47) into ɛ-caprolactone (49) using this cascade concept has been independently reported by two research groups in 2013 (Scheme 14) [74,75].
Scheme 14.
Transformation of cyclohexanol (47) to ɛ-caprolactone (49) using an alcohol dehydrogenase (ADH) and a Baeyer–Villiger monooxygenase (BVMO).
Both studies show that an efficient transformation of cyclohexanol into ɛ-caprolactone is feasible (94% conversion of 60 mM 47, 80% conversion of 10 mM 47); however, both also observed reduced conversions at elevated substrate concentrations which was attributed to inhibition and deactivation of the Baeyer–Villiger monooxygenase. This issue was addressed in subsequent studies carried out as a joint effort of the two involved research groups: [76,77] The ɛ-caprolactone formed underwent in situ ring-opening oligomerisation enabled by lipase A from Candida antarctica (CAL-A), which alleviated product inhibition and produced oligo-ϵ-caprolactone displaying an average molecular weight of 375 g/mol. It is worth noting that no hydrolysis of 49 to the hydroxycarboxylic acid was observed. In an additional optimisation approach, the authors chose to use a stabilised variant of cyclohexanone monooxygenase (CHMO variant C376L/M400I) [78] and to employ the ADH and the monooxygenase as separate E. coli whole-cell preparations. Moreover, despite the theoretical redox-neutral nature of the sequence, acetone and d-glucose (1 equivalent each) were added to improve cofactor regeneration. These reaction conditions enabled the conversion of 200 mM cyclohexanol (47) within 48 h going to completion thereby affording a mixture of 75% oligo-ɛ-caprolactone and 25% of monomeric 49. Recently, the co-expression of CHMO and ADH in E. coli using a Duet™ vector allowed higher conversion values of the substrate 47 in whole-cell biocatalysis compared to an expression of both enzymes from two separate plasmids [79]. Alternatively, fusion of the alcohol dehydrogenase and the BMVO also allowed to engineer the reaction [80]. The same cascade could also be achieved using whole cells of Geotrichum candidum CCT 1205 [81].
The cascade mentioned above has also been extended by a rhodium-catalyzed hydrogenation step that converts phenol into cyclohexanol (47), which is then employed in the biocatalytic cascade without purification [82].
The formation and in situ oligomerisation of a chiral lactone, (S)-4-methyl-ɛ-caprolactone (51), from 4-methylcyclohexanol (used as a mixture of cis and trans isomers) via the same biocatalytic cascade was also demonstrated (Scheme 15) [83].
Scheme 15.
Conversion of 4-methylcyclohexanol (50) into oligo-(S)-4-methyl-ɛ-caprolactone (52) using an alcohol dehydrogenase (ADH), a Baeyer–Villiger monooxygenase (BVMO), and a lipase.
When the alcohol-to-lactone cascade system is extended upstream by a hydroxylation step, lactones can be obtained directly from cycloalkanes. The formation of ɛ-caprolactone (49), ζ-enantholactone (55a, n = 2) and η-caprylolactone (55b, n = 3) from cyclohexane, cycloheptane, and cyclooctane, respectively, according to this concept has been demonstrated using a variant of the P450 monooxygenase BM3 from Bacillus megaterium for introducing the alcohol functionality in the first step (Scheme 16) [84]. The subsequent oxidation to the ketone was performed by an ADH from either a Thermus sp. or from Thermoanaerobacter ethanolicus, whereby the latter gave the better results in terms of conversion. The final oxidation to the desired lactone was achieved using a stabilised variant of cyclohexanone monooxygenase from Acinetobacter sp. NCIMB 9871.
Scheme 16.
Biocatalytic synthesis of lactones from cycloalkanes using a P450 monooxygenase (P450), an alcohol dehydrogenase (ADH), and a Baeyer–Villiger monooxygenase (BVMO).
Although the use of a “designer cell” co-expressing all three enzymes did allow production of the desired lactones, yields were generally low (less than 1 mM from 149–185 mM cycloalkane). Therefore, a cascade was tested instead in which the biocatalysts were added as separate cell-free extracts and in which cofactor regeneration was realised by endogenous E. coli enzymes and the simple addition of d-glucose and glycerol. Using this reaction setup, 3.2 mM of ζ-enantholactone (55b) were formed from cycloheptane within 20 h. The addition of an external cofactor recycling system, consisting of sodium formate and a formate dehydrogenase (FDH), increased the final concentration of 55b to 10.6 mM, and raising the biocatalyst amounts by a factor of 3.75 resulted in the formation of 23.3 mM 55b. Table 7 summarizes the results obtained with all three investigated substrates.
Table 7.
Results of the biocatalytic synthesis of lactones from cycloalkanes (Scheme 16) a.
Interestingly, alcohol dehydrogenases and BVMOs have been combined for lactone synthesis also in a second, entirely different way: The Baeyer–Villiger oxidation of cyclohexanone (48) to ɛ-caprolactone (49) catalysed by cyclohexanone monooxygenase has been coupled with the double oxidation of hexane-1,6-diol (56) to 49 (via the intermediate lactol 57) catalysed by the ADH from Thermoanaerobacter ethanolicus [85]. The resulting convergent cascade system is redox-neutral with respect to the nicotinamide cofactor and theoretically produces three molecules of ɛ-caprolactone (49) from two molecules of 48 and one molecule of 56 (Scheme 17).
Scheme 17.
Convergent cascade synthesis of ɛ-caprolactone (49) from 1,6-hexanediol (56) and cyclohexanone (48). Enzyme abbreviations: ADH, alcohol dehydrogenase; BVMO, Baeyer–Villiger monooxygenase.
However, in practice the formation of three equivalents of ɛ-caprolactone (49) was never observed despite complete depletion of the starting materials due to undesired hydrolysis and oligomerisation of 49 under the reaction conditions. Nevertheless, up to 18.3 mM of 49 were formed from 20 mM of 48 and 10 mM of 56 within a reaction time of 72 h, corresponding to an analytical yield of 61%.
When the asymmetric reduction of prochiral α,β-unsaturated ketones catalysed by ene-reductases is combined with the oxidation by a Baeyer–Villiger monooxygenase catalysed by BVMOs, chiral lactones are obtained. This concept has first been put into practice in a biocatalytic synthesis of 5-alkyl-substituted δ-valerolactones 60 (Scheme 18), which are flavour and fragrance compounds [86].
Scheme 18.
Preparation of (R)-δ-valerolactones 60 starting from 2-alkylidenecyclopentanones 58. Enzyme abbreviations: ERED, ene-reductase; BVMO, Baeyer–Villiger monooxygenase; GDH, d-glucose dehydrogenase.
In this study, Acinetobacter sp. RS1 was shown to be the best organism for the C=C-reduction step regarding activity, growth and enantioselectivity by screening 200 alkane-, toluene- or benzene- degrading microbial strains. Already after 2 h, the reaction reached >99% conversion, producing (R)-59a and (R)-59b with 87% and 92% ee, respectively. For the following Baeyer–Villiger oxidation, resting cells of Escherichia coli containing a cyclohexanone monooxygenase (CHMO) and a glucose dehydrogenase (GDH) were employed. In initial experiments, an undesired oxidation activity on substrates 58 was observed; consequently, the one-pot cascade was carried out in a sequential fashion, producing (R)-60a and (R)-60b with 83% and 66% conversion and 98% and 97% ee, respectively. The improved enantiomeric excess of the products 60 compared to the intermediates 59 was shown to be a consequence of the hydrolysis of the lactone catalysed by the Acinetobacter cells. Thereby the (S)-enantiomers of lactones 60 were preferentially converted (E = 8–11). Hence, the optical purity of the desired products increased over time due to removal of the minor enantiomer. As a final proof of concept, preparative-scale transformations with 58a and 58b (40 mg) were performed and the lactones 60a and 60b were isolated in 56% and 41% yield (98% and 97% ee), respectively.
A similar combination of ene-reductases and Baeyer–Villiger monooxygenases, extended by an ADH-catalysed step, has been investigated for the preparation of ε-caprolactone derivatives 64 from cyclohexenol derivatives 61 (Scheme 19) [87,88]. This particular cascade was termed an “artificial metabolic mini pathway” by the authors, meaning that all the required enzymes were co-expressed in E. coli, while in nature they are not connected in a single organism in a metabolic context.
Scheme 19.
“Artificial metabolic mini pathway” for the synthesis of ε-caprolactone derivatives 64. Enzyme abbreviations: ADH, alcohol dehydrogenase; ERED, ene-reductase; BVMO, Baeyer–Villiger monooxygenase.
Suitable enzyme candidates for each individual step of the cascade were identified whereby the ADH from Lactobacillus kefir, the ene-reductase XenB from Pseudomonas sp., and the well-known cyclohexanone monooxygenase from Acinetobacter sp. performed best for most of the tested substrates. Cofactor regeneration was performed via the metabolism of the E. coli host. Table 8 summarises the results of the substrates tested.
Table 8.
Overview of results of the “artificial metabolic mini pathway” for the synthesis of ε-caprolactone derivatives 64 (Scheme 19) a.
Interestingly, substrate rac-61d was oxidized by ADH from Lactobacillus kefir with 100% conversion, but the ene-reductase from Pseudomonas sp. did not accept intermediate 62d, although it was active on the regioisomeric 62c. Therefore, an additional ERED was investigated, namely old yellow enzyme 1 (OYE1) from Saccharomyces carlsbergensis, which yielded optically pure (S)-63d, which was then further oxidized to lactone (S)-64d.
Preparative-scale biotransformations with substrates rac-61d and (1S,5S)-61e (100 mg) afforded the products (S)-64d and (3R,6R)-64e in 55% and 60% isolated yield, respectively, and in >99% ee/de.
In a subsequent study, three ene-reductases from Pseudomonas putida were used in a very similar cascade, in this case implemented using isolated enzymes (purified enzymes and crude cell-free extracts) [89]. Cyclohexenol, cyclohexanone, and cyclopentenone were investigated, leading to δ-valerolactone or ɛ-caprolactone as products. Conversions between 19% and 99% were obtained at a substrate concentration of 3 mM within 1 h.
4.2. Formation of Lactones from Acyclic Precursors
The formation of lactones form acyclic precursors is not only a common strategy in organic synthesis, but also takes place in the biosynthesis of many naturally occurring lactones, for instance macrolides. These molecules are produced by polyketide synthases (PKSs)—large multi-enzyme complexes—from acyclic precursors that are assembled by consecutive Claisen condensations while bound to an acyl-carrier protein and are finally cyclised by a thioesterase domain of the PKS [90,91].
The exploitation of this biocatalytic machinery for polyketide synthesis in vitro has proven challenging, but recently researchers have succeeded in producing triketide lactones via multi-enzyme reactions that combine functional domains from several polyketide synthases [92]. The authors used the malonyl-CoA ligase from Streptomyces coelicolor for producing the extender unit 67 from methylmalonic acid (66) and N-acetylcysteamine (65) at the expense of stoichiometric amounts of ATP (Scheme 20). In parallel, an asymmetric reduction of β-keto-thioesters 68 by isolated ketoreductase domains of bacterial PKSs was performed to furnish the starter units for the PKS-catalysed Claisen condensation. The crude reaction mixtures obtained from the two biotransformations were then combined and supplemented with the terminal PKS module (consisting of acyl carrier protein, acyl transferase, ketoreductase, and ketosynthase domains) fused to the thioesterase of the erythromycin PKS from Saccharopolyspora erythraea. This “minimal PKS” catalysed the Claisen condensation of 67 and 69 as well as the reduction of the resulting ketone and the final cyclization to the product lactone 70. Although the isolated yields of the overall sequence did not exceed 13%, this method allowed the preparation of substantial amounts of the triketide lactones 70 (3.4–77 mg) as single stereoisomers. The corresponding 3-ketolactones could also be accessed by isolating intermediate 69 and performing the final biotransformation in the absence of an NADPH regeneration system.
Scheme 20.
Synthesis of triketide lactones 70 via coupling of enzymatically prepared precursors 67 and 69 by a polyketide synthase (PKS).
Another study aimed at the synthesis of chiral lactones from acyclic precursors relied on spontaneous ring closure and used ene-reductase YqjM from Bacillus subtilis and alcohol dehydrogenases from different microbial sources for controlling the formation of up to three contiguous stereogenic centres (Scheme 21) [93].
Scheme 21.
Two-step cascade leading to substituted γ-butyrolactones (74) using an ene-reductase (ERED) and an alcohol dehydrogenase (ADH) for controlling up to three adjacent stereogenic centres.
In the first step of the synthetic sequence, (E)- or (Z)-oxo-esters 71 were reduced by YqjM—a reaction that proceeded with varying stereochemical outcomes: While both double bond isomers of substrate 71a (R1 = H, R2 = Me, R3 = Et) afforded the same product (R)-72a and only the (E)-isomer of substrate 71c (R1, R2 = Me, R3 = Et) was converted, substrate 71b (R1 = Me, R2 = H, R3 = Et) displayed an E/Z-dependent switch in selectivity. The (E)-isomer was reduced to (S)-72b, while the (Z)-isomer gave the (R)-enantiomer, and in both cases optically pure products (ee > 99%) were obtained. The subsequent reduction of intermediates 72 catalysed by alcohol dehydrogenases from Lactobacillus kefir (Lk-ADH), Lactobacillus brevis (Lb-ADH), Thermoanaerobacter sp. (ADH-T), or from a commercial supplier (evocatal, evo-1.1.030) was more predictable, proceeding with the expected selectivity in all cases. The ethyl esters 73a–c underwent spontaneous cyclisation to the desired lactones 74a–c, while the reaction employing a tert-butyl ester stopped at the hydroxyacid stage (73d). All products were easily isolated by extraction and purified by column chromatography. The isolated yields and optical purities are summarised in Table 9.
Table 9.
Results of the two-step biocatalytic synthesis of substituted γ-butyrolactones (74; Scheme 21) a.
In a later study, the cascade was extended, starting from allylic cyclic alcohols using fusion proteins; however, conversions did not exceed 34% [94].
5. Conclusions
Cascade reactions possess the advantage of circumventing the need of isolation of reaction intermediates, which saves resources, reagents, and time. They may also minimize the risk of undesired side reactions of unstable intermediates. Furthermore, the cascade approach is expected to lead to higher yields compared to a classical sequence of single-step transformations and at the same time can increase the synthetic efficiency by reducing operational work-up steps and resources. Consequently, cascades enable to reduce the amount of waste, due to minimization of the amount of chemicals used (e.g., by circumventing work-up).
The cascades discussed in this review represent a fraction of possible artificial biocatalytic cascades [1ac], of which the number will significantly increase during the next years. This will be a result of (novel) enzymes becoming more easily available, improved expression tools, as well as improved enzyme engineering methods.
This review shows that artificial cascades may can use different feedstocks as substrates: either from renewables such as amino acids but also from fossil resources, such as phenol or styrenes, etc. The target compounds discussed in the review, namely hydroxy acids, amino acids, and lactones represent important building blocks and intermediates. The cascades shown enabled the successful preparation of these compounds within 2–10 artificially combined steps.
A number of cascades have already been described to be performed at elevated substrate concentration, e.g., reaching in the best case e.g., 600 mM as reported in this review and are therefore ideally suited for preparative transformations and applications; however, in other cases the substrate concentration is as low as 1 mM, which is due to the limitation of the most sensitive enzyme in the cascade. Thus, a cascade can only be as good in terms of efficiency (space time yield) as is given by the “weakest” enzyme. Limiting reactions are still hydroxylation transformations of C–H bonds but also cross-inhibition by products/substrates of various steps may force to keep concentrations low. Therefore, there is still a need for further improved enzymes. Another point which would be desirable is that co-expression constructs for various cascades may be deposited and made broadly available for subsequent studies. This may allow to generate the possibility to design rather fast novel complex networks including the now designed and optimized cascades.
Acknowledgments
We gratefully acknowledge the Federal Ministry for Digital and Economic Affairs (bmwd), the Federal Ministry for Transport, Innovation and Technology (bmvit), the Styrian Business Promotion Agency SFG, the Standortagentur Tirol, Government of Lower Austria and ZIT—Technology Agency of the City of Vienna through the COMET-Funding Program managed by the Austrian Research Promotion Agency FFG.
Conflicts of Interest
The authors declare no conflict of interest.
References
- Sigrist, R.; da Costa, B.Z.; Marsaioli, A.J.; de Oliveira, L.G. Nature-inspired enzymatic cascades to build valuable compounds. Biotechnol. Adv. 2015, 33, 394–411. [Google Scholar] [CrossRef] [PubMed]
- Bisogno, F.R.; Lavandera, I.; Gotor, V. Biocatalytic Concurrent Processes. In Kirk-Othmer Encyclopedia of Chemical Technology; Wiley: New York, NY, USA, 2011; pp. 1–20. [Google Scholar]
- Köhler, V.; Turner, N.J. Artificial concurrent catalytic processes involving enzymes. Chem. Commun. 2015, 51, 450–464. [Google Scholar] [CrossRef] [PubMed]
- Muschiol, J.; Peters, C.; Oberleitner, N.; Mihovilovic, M.D.; Bornscheuer, U.T.; Rudroff, F. Cascade catalysis–strategies and challenges en route to preparative synthetic biology. Chem. Commun. 2015, 51, 5798–5811. [Google Scholar] [CrossRef] [PubMed]
- García-Junceda, E.; Lavandera, I.; Rother, D.; Schrittwieser, J.H. (Chemo) enzymatic cascades—Nature’s synthetic strategy transferred to the laboratory. J. Mol. Catal. B Enzym. 2015, 114, 1–6. [Google Scholar] [CrossRef]
- Otte, K.B.; Hauer, B. Enzyme engineering in the context of novel pathways and products. Curr. Opin. Biotechnol. 2015, 35, 16–22. [Google Scholar] [CrossRef] [PubMed]
- Oroz-Guinea, I.; García-Junceda, E. Enzyme catalysed tandem reactions. Curr. Opin. Chem. Biol. 2013, 17, 236–249. [Google Scholar] [CrossRef] [PubMed]
- Ricca, E.; Brucher, B.; Schrittwieser, J.H. Multi-enzymatic cascade reactions: Overview and perspectives. Adv. Synth. Catal. 2011, 353, 2239–2262. [Google Scholar] [CrossRef]
- Schrittwieser, J.H.; Sattler, J.; Resch, V.; Mutti, F.G.; Kroutil, W. Recent biocatalytic oxidation–reduction cascades. Curr. Opin. Chem. Biol. 2011, 15, 249–256. [Google Scholar] [CrossRef] [PubMed]
- Li, Z.; Wu, S.; Liu, J. Organic synthesis via oxidative cascade biocatalysis. Synlett 2016, 27, 2644–2658. [Google Scholar] [CrossRef]
- Woodley, J.M. Biocatalytic Cascades for API Synthesis. In Green Biocatalysis; Patel, R.N., Ed.; John Wiley & Sons, Inc.: Hoboken, NJ, USA, 2016; pp. 503–518. [Google Scholar]
- Santacoloma, P.A.; Sin, G.; Gernaey, K.V.; Woodley, J.M. Organic synthesis via oxidative cascade biocatalysis. Org. Process Res. Dev. 2011, 15, 203–212. [Google Scholar] [CrossRef]
- France, S.P.; Hepworth, L.J.; Turner, N.J.; Flitsch, S.L. Constructing biocatalytic cascades: In Vitro and in vivo approaches to de novo multi-enzyme pathways. ACS Catal. 2016, 7, 710–724. [Google Scholar] [CrossRef]
- Díaz-Rodríguez, A.; Lavandera, I.; Gotor, V. Why leave a job half done? Recent progress in enzymatic deracemizations. Curr. Green Chem. 2015, 2, 192–211. [Google Scholar] [CrossRef]
- Birolli, W.G.; Ferreira, I.M.; Alvarenga, N.; Santos, D.D.A.; de Matos, I.L.; Comasseto, J.V.; Porto, A.L.M. Biocatalysis and biotransformation in Brazil: An overview. Biotechnol. Adv. 2015, 33, 481–510. [Google Scholar] [CrossRef] [PubMed]
- Turner, N.J. Enantioselective oxidation of C–O and C–N bonds using oxidases. Chem. Rev. 2011, 111, 4073–4087. [Google Scholar] [CrossRef] [PubMed]
- Turner, N.J. Deracemisation methods. Curr. Opin. Chem. Biol. 2010, 14, 115–121. [Google Scholar] [CrossRef] [PubMed]
- Kroutil, W.; Voss, C.; Gruber, C. Deracemisation of secondary alcohols via biocatalytic stereoinversion. Synlett 2010, 2010, 991–998. [Google Scholar] [CrossRef]
- Servi, S.; Tessaro, D.; Pedrocchi-Fantoni, G. Chemo-enzymatic deracemization methods for the preparation of enantiopure non-natural α-amino acids. Coord. Chem. Rev. 2008, 252, 715–726. [Google Scholar] [CrossRef]
- Gruber, C.C.; Lavandera, I.; Faber, K.; Kroutil, W. From a racemate to a single enantiomer: Deracemization by stereoinversion. Adv. Synth. Catal. 2006, 348, 1789–1805. [Google Scholar] [CrossRef]
- O'Reilly, E.; Turner, N.J. Enzymatic cascades for the regio- and stereoselective synthesis of chiral amines. Perspect. Sci. 2015, 4, 55–61. [Google Scholar] [CrossRef][Green Version]
- Brenna, E.; Crotti, M.; Gatti, F.G.; Parmeggiani, F.; Pugliese, A.; Santangelo, S. Multi-Enzymatic Cascade Procedures for the Synthesis of Chiral Odorous Molecules. In Importance of Chirality to Flavor Compounds; Engel, K.-H., Takeoka, G., Eds.; American Chemical Society: Washington, DC, USA, 2016; pp. 59–75. [Google Scholar]
- Seo, J.-H.; Lee, S.-M.; Lee, J.; Park, J.-B. Adding value to plant oils and fatty acids: Biological transformation of fatty acids into ω-hydroxycarboxylic, α, ω-dicarboxylic, and ω-aminocarboxylic acids. J. Biotechnol. 2015, 216, 158–166. [Google Scholar] [CrossRef] [PubMed]
- Simon, R.C.; Richter, N.; Busto, E.; Kroutil, W. Recent developments of cascade reactions involving ω-transaminases. ACS Catal. 2014, 4, 129–143. [Google Scholar] [CrossRef]
- Rudroff, F.; Mihovilovic, M.D.; Gröger, H.; Snajdrova, R.; Iding, H.; Bornscheuer, U.T. Opportunities and challenges for combining chemo- and biocatalysis. Nat. Catal. 2018, 1, 12–22. [Google Scholar] [CrossRef]
- Girhard, M.; Ricklefs, E.; Urlacher, V.B. Multienzymatische Kaskaden zur Synthese von Feinchemikalien und Polymervorstufen. BIOspektrum 2017, 23, 712–715. [Google Scholar] [CrossRef]
- Gruber, P.; Marques, M.P.C.; O’Sullivan, B.; Baganz, F.; Wohlgemuth, R.; Szita, N. Conscious coupling: The challenges and opportunities of cascading enzymatic microreactors. Biotechnol. J. 2017, 12, 1700030. [Google Scholar] [CrossRef] [PubMed]
- Morgado, G.; Gerngross, D.; Roberts, T.M.; Panke, S. Synthetic biology for cell-free biosynthesis: Fundamentals of designing novel in vitro multi-enzyme reaction networks. Adv. Biochem. Eng. Biotechnol. 2018, 162, 117–146. [Google Scholar] [PubMed]
- Schrittwieser, J.H.; Velikogne, S.; Hall, M.; Kroutil, W. Artificial biocatalytic linear cascades for preparation of organic molecules. Chem. Rev. 2018, 118, 270–348. [Google Scholar] [CrossRef] [PubMed]
- Denard, C.A.; Hartwig, J.F.; Zhao, H. Multistep one-pot reactions combining biocatalysts and chemical catalysts for asymmetric synthesis. ACS Catal. 2013, 3, 2856–2864. [Google Scholar] [CrossRef]
- Gröger, H.; Hummel, W. Combining the “two worlds” of chemocatalysis and biocatalysis towards multi-step one-pot processes in aqueous media. Curr. Opin. Chem. Biol. 2014, 19, 171–179. [Google Scholar] [CrossRef] [PubMed]
- Marr, A.C.; Liu, S. Combining bio-and chemo-catalysis: From enzymes to cells, from petroleum to biomass. Trends Biotechnol. 2011, 29, 199–204. [Google Scholar] [CrossRef] [PubMed]
- Wallace, S.; Balskus, E.P. Opportunities for merging chemical and biological synthesis. Curr. Opin. Biotechnol. 2014, 30, 1–8. [Google Scholar] [CrossRef] [PubMed]
- Gröger, H.; Hummel, W. Chemoenzymatic Multistep One-Pot Processes. In Cascade Biocatalysis: Integrating Stereoselective and Environmentally Friendly Reactions; Riva, S., Fessner, W.-D., Eds.; Wiley-VCH: Weinheim, Germany, 2014; pp. 427–456. [Google Scholar]
- Rosencrantz, R.R.; Lange, B.; Elling, L. Chemo-Enzymatic Cascade Reactions for the Synthesis of Glycoconjugates. In Cascade Biocatalysis: Integrating Stereoselective and Environmentally Friendly Reactions; Riva, S., Fessner, W.-D., Eds.; Wiley-VCH: Weinheim, Germany, 2014; pp. 133–160. [Google Scholar]
- Martin-Matute, B.; Backvall, J.E. Dynamic kinetic resolution catalyzed by enzymes and metals. Curr. Opin. Chem. Biol. 2007, 11, 226–232. [Google Scholar] [CrossRef] [PubMed]
- Pamies, O.; Backvall, J.E. Combination of enzymes and metal catalysts. A powerful approach in asymmetric catalysis. Chem. Rev. 2003, 103, 3247–3261. [Google Scholar] [CrossRef] [PubMed]
- Kroutil, W.; Rueping, M. Introduction to ACS Catalysis virtual special issue on cascade catalysis. ACS Catal. 2014, 4, 2086–2087. [Google Scholar] [CrossRef]
- Coppola, G.M.; Schuster, H.F. Hydroxy Acids in Enantioselective Synthesis; Wiley-VCH: Weinheim, Germany, 1997. [Google Scholar]
- Kaiser, M.; Stolze, S. Challenges in the syntheses of peptidic natural products. Synthesis 2012, 44, 1755–1777. [Google Scholar] [CrossRef]
- Ersmark, K.; Del Valle, J.R.; Hanessian, S. Chemistry and biology of the aeruginosin family of serine protease inhibitors. Angew. Chem. Int. Ed. 2008, 47, 1202–1223. [Google Scholar] [CrossRef] [PubMed]
- Köckritz, A.; Martin, A. Synthesis of azelaic acid from vegetable oil-based feedstocks. Eur. J. Lipid Sci. Technol. 2011, 113, 83–91. [Google Scholar] [CrossRef]
- Zhang, F.; Huang, C.; Xu, T. Production of sebacic acid using two-phase bipolar membrane electrodialysis. Ind. Eng. Chem. Res. 2009, 48, 7482–7488. [Google Scholar] [CrossRef]
- Song, J.W.; Jeon, E.Y.; Song, D.H.; Jang, H.Y.; Bornscheuer, U.T.; Oh, D.K.; Park, J.B. Multistep enzymatic synthesis of long-chain α, ω-dicarboxylic and ω-hydroxycarboxylic acids from renewable fatty acids and plant oils. Angew. Chem. Int. Ed. 2013, 52, 2534–2537. [Google Scholar] [CrossRef] [PubMed]
- Jang, H.-Y.; Jeon, E.-Y.; Baek, A.H.; Lee, S.-M.; Park, J.-B. Production of ω-hydroxyundec-9-enoic acid and n-heptanoic acid from ricinoleic acid by recombinant Escherichia coli-based biocatalyst. Process Biochem. 2014, 49, 617–622. [Google Scholar] [CrossRef]
- Suzuki, Y.; Kurita, O.; Kano, Y.; Hyakutake, H.; Sakurai, A. Structure of a New Antifungal C11-Hydroxyfatty Acid Isolated from Leaves of Wild Rice (Oryza officinalis). Biosci. Biotechnol. Biochem. 2014, 59, 2049–2051. [Google Scholar] [CrossRef]
- Busto, E.; Richter, N.; Grischek, B.; Kroutil, W. Biocontrolled formal inversion or retention of l-α-amino acids to enantiopure (R)-or (S)-hydroxyacids. Chem. Eur. J. 2014, 20, 11225–11228. [Google Scholar] [CrossRef] [PubMed]
- Agrawal, R. The first approved agent in the Glitazar's class: Saroglitazar. Curr. Drug Targets 2014, 15, 151–155. [Google Scholar] [CrossRef] [PubMed]
- Busto, E.; Simon, R.C.; Richter, N.; Kroutil, W. One-pot, two-module three-step cascade to transform phenol derivatives to enantiomerically pure (R)- or (S)-p-hydroxyphenyl lactic acids. ACS Catal. 2016, 6, 2393–2397. [Google Scholar] [CrossRef]
- Zhou, Y.; Wu, S.; Li, Z. Cascade biocatalysis for sustainable asymmetric synthesis: From biobased l-phenylalanine to high-value chiral chemicals. Angew. Chem. Int. Ed. 2016, 55, 11647–11650. [Google Scholar] [CrossRef] [PubMed]
- Xue, Y.-P.; Zeng, H.; Jin, X.-L.; Liu, Z.-Q.; Zheng, Y.-G. Enantioselective cascade biocatalysis for deracemization of 2-hydroxy acids using a three-enzyme system. Microb. Cell Fact. 2016, 15, 162. [Google Scholar] [CrossRef] [PubMed]
- Wu, S.; Zhou, Y.; Wang, T.; Too, H.-P.; Wang, D.I.C.; Li, Z. Highly regio-and enantioselective multiple oxy-and amino-functionalizations of alkenes by modular cascade biocatalysis. Nat. Commun. 2016, 7, 11917. [Google Scholar] [CrossRef] [PubMed]
- Yao, P.; Wang, L.; Yuan, J.; Cheng, L.; Jia, R.; Xie, M.; Feng, J.; Wang, M.; Wu, Q.; Zhu, D. Efficient biosynthesis of ethyl (R)-3-hydroxyglutarate through a one-pot bienzymatic cascade of halohydrin dehalogenase and nitrilase. ChemCatChem 2015, 7, 1438–1444. [Google Scholar] [CrossRef]
- Wandrey, C.; Liese, A.; Kihumbu, D. Industrial biocatalysis: Past, present, and future. Org. Process Res. Dev. 2000, 4, 286–290. [Google Scholar] [CrossRef]
- Wang, L.; Schultz, P.G. Expanding the genetic code. Angew. Chem. Int. Ed. 2004, 44, 34–66. [Google Scholar] [CrossRef] [PubMed]
- Zuend, S.J.; Coughlin, M.P.; Lalonde, M.P.; Jacobsen, E.N. Scaleable catalytic asymmetric Strecker syntheses of unnatural α-amino acids. Nature 2009, 461, 968–970. [Google Scholar] [CrossRef] [PubMed]
- Altenbuchner, J.; Siemann-Herzberg, M.; Syldatk, C. Hydantoinases and related enzymes as biocatalysts for the synthesis of unnatural chiral amino acids. Curr. Opin. Biotechnol. 2001, 12, 559–563. [Google Scholar] [CrossRef]
- Resch, V.; Fabian, W.M.F.; Kroutil, W. Deracemisation of mandelic acid to optically pure non-natural l-phenylglycine via a redox-neutral biocatalytic cascade. Adv. Synth. Catal. 2010, 352, 993–997. [Google Scholar] [CrossRef]
- Fan, C.W.; Xu, G.C.; Ma, B.D.; Bai, Y.P.; Zhang, J.; Xu, J.H. A novel d-mandelate dehydrogenase used in three-enzyme cascade reaction for highly efficient synthesis of non-natural chiral amino acids. J. Biotechnol. 2015, 195, 67–71. [Google Scholar] [CrossRef] [PubMed]
- Dennig, A.; Busto, E.; Kroutil, W.; Faber, K. Biocatalytic one-pot synthesis of l-tyrosine derivatives from monosubstituted benzenes, pyruvate, and ammonia. ACS Catal. 2015, 5, 7503–7506. [Google Scholar] [CrossRef]
- Seebach, D.; Beck, A.K.; Bierbaum, D.J. The world of β-and γ-peptides comprised of homologated proteinogenic amino acids and other components. Chem. Biodivers. 2004, 1, 1111–1239. [Google Scholar] [CrossRef] [PubMed]
- Steer, D.L.; Lew, R.A.; Perlmutter, P.; Smith, I.A.; Aguilar, M.-I. β-Amino acids: Versatile peptidomimetics. Curr. Med. Chem. 2002, 9, 811–822. [Google Scholar] [CrossRef] [PubMed]
- Kuhl, A.; Hahn, G.M.; Dumić, M.; Mittendorf, J. Alicyclic β-amino acids in medicinal chemistry. Amino Acids 2005, 29, 89–100. [Google Scholar] [CrossRef] [PubMed]
- Fülöp, F.; Martinek, T.A.; Tóth, G.K. Application of alicyclic β-amino acids in peptide chemistry. Chem. Soc. Rev. 2006, 35, 323–334. [Google Scholar] [CrossRef] [PubMed]
- Mathew, S.; Jeong, S.-S.; Chung, T.; Lee, S.-H.; Yun, H. Asymmetric synthesis of aromatic β-amino acids using ω-transaminase: Optimizing the lipase concentration to obtain thermodynamically unstable β-keto acids. Biotechnol. J. 2016, 11, 185–190. [Google Scholar] [CrossRef] [PubMed]
- Parmeggiani, F.; Ahmed, S.T.; Thompson, M.P.; Weise, N.J.; Galman, J.L.; Gahloth, D.; Dunstan, M.S.; Leys, D.; Turner, N.J. Single-biocatalyst synthesis of enantiopure d-arylalanines exploiting an engineered d-amino acid dehydrogenase. Adv. Synth. Catal. 2016, 358, 3298–3306. [Google Scholar] [CrossRef]
- Marchelli, R. The potential of enantioselective analysis as a quality control tool. Trends Food Sci. Technol. 1996, 7, 113–119. [Google Scholar] [CrossRef]
- Hoffmann, H.M.R.; Rabe, J. Synthese und biologische Aktivität von α-Methylen-γ-butyrolactonen. Angew. Chem. 1985, 97, 96–112. [Google Scholar] [CrossRef]
- Labet, M.; Thielemans, W. Synthesis of polycaprolactone: A review. Chem. Soc. Rev. 2009, 38, 3484–3504. [Google Scholar] [CrossRef] [PubMed]
- Mattes, H.; Hamada, K.; Benezra, C. Stereospecificity in allergic contact dermatitis to simple substituted methylene lactones derivatives. J. Med. Chem. 1987, 30, 1948–1951. [Google Scholar] [CrossRef] [PubMed]
- Moslandl, A.; Günther, C. Stereoisomeric flavor compounds. 20. Structure and properties of γ-lactone enantiomers. J. Agric. Food Chem. 1989, 37, 413–418. [Google Scholar] [CrossRef]
- Carreno, M.C.; Sanz-Cuesta, M.J. Conjugate additions of Me2CuLi to enantiopure γ-hydroxy-δ-sulfinyl and sulfonyl pentenoates. J. Org. Chem. 2005, 70, 10036–10045. [Google Scholar] [CrossRef] [PubMed]
- Brown, E.; Deroye, C.; Touet, J. Synthesis of versatile chiral intermediates by enantioselective conjugate addition of alkenyl Grignard reagents to enamides deriving from (R)-(−)- or (S)-(+)-2-aminobutan-1-ol. Tetrahedron Asymmetry 1998, 9, 1605–1614. [Google Scholar] [CrossRef]
- Staudt, S.; Bornscheuer, U.T.; Menyes, U.; Hummel, W.; Gröger, H. Direct biocatalytic one-pot-transformation of cyclohexanol with molecular oxygen into ɛ-caprolactone. Enzyme Microb. Technol. 2013, 53, 288–292. [Google Scholar] [CrossRef] [PubMed]
- Mallin, H.; Wulf, H.; Bornscheuer, U.T. A self-sufficient Baeyer–Villiger biocatalysis system for the synthesis of ɛ-caprolactone from cyclohexanol. Enzyme Microb. Technol. 2013, 53, 283–287. [Google Scholar] [CrossRef] [PubMed]
- Schmidt, S.; Scherkus, C.; Muschiol, J.; Menyes, U.; Winkler, T.; Hummel, W.; Gröger, H.; Liese, A.; Herz, H.G.; Bornscheuer, U.T. An enzyme cascade synthesis of ε-caprolactone and its oligomers. Angew. Chem. Int. Ed. 2015, 54, 2784–2787. [Google Scholar] [CrossRef] [PubMed]
- Scherkus, C.; Schmidt, S.; Bornscheuer, U.T.; Gröger, H.; Kara, S.; Liese, A. Kinetic insights into ϵ-caprolactone synthesis: Improvement of an enzymatic cascade reaction. Biotechnol. Bioeng. 2017, 114, 1215–1221. [Google Scholar] [CrossRef] [PubMed]
- Opperman, D.J.; Reetz, M.T. Towards practical Baeyer–Villiger-monooxygenases: Design of cyclohexanone monooxygenase mutants with enhanced oxidative stability. ChemBioChem 2010, 11, 2589–2596. [Google Scholar] [CrossRef] [PubMed]
- Kohl, A.; Srinivasamurthy, V.; Böttcher, D.; Kabisch, J.; Bornscheuer, U.T. Co-expression of an alcohol dehydrogenase and a cyclohexanone monooxygenase for cascade reactions facilitates the regeneration of the NADPH cofactor. Enzyme Microb. Technol. 2018, 108, 53–58. [Google Scholar] [CrossRef] [PubMed]
- Aalbers, F.S.; Fraaije, M.W. Coupled reactions by coupled enzymes: Alcohol to lactone cascade with alcohol dehydrogenase–cyclohexanone monooxygenase fusions. Appl. Microbiol. Biotechnol. 2017, 101, 7557–7565. [Google Scholar] [CrossRef] [PubMed]
- Silva, A.L.P.; Batista, P.K.; Filho, A.D.; Junior, C.S.D.N.; Rebouças, J.S.; Vale, J.A. Rapid conversion of cyclohexenone, cyclohexanone and cyclohexanol to ε-caprolactone by whole cells of Geotrichum candidum CCT 1205. Biocatal. Biotransform. 2017, 35, 185–190. [Google Scholar] [CrossRef]
- Wedde, S.; Rommelmann, P.; Scherkus, C.; Schmidt, S.; Bornscheuer, U.T.; Liese, A.; Gröger, H. An alternative approach towards poly-ε-caprolactone through a chemoenzymatic synthesis: Combined hydrogenation, bio-oxidations and polymerization without the isolation of intermediates. Green Chem. 2017, 19, 1286–1290. [Google Scholar] [CrossRef]
- Schmidt, S.; Büchsenschütz, H.C.; Scherkus, C.; Liese, A.; Gröger, H.; Bornscheuer, U.T. Biocatalytic access to chiral polyesters by an artificial enzyme cascade synthesis. ChemCatChem 2015, 7, 3951–3955. [Google Scholar] [CrossRef]
- Pennec, A.; Hollmann, F.; Smit, M.S.; Opperman, D.J. One-pot conversion of cycloalkanes to lactones. ChemCatChem 2015, 7, 236–239. [Google Scholar] [CrossRef]
- Bornadel, A.; Hatti-Kaul, R.; Hollmann, F.; Kara, S. A bi-enzymatic convergent cascade for ε-caprolactone synthesis employing 1,6-hexanediol as a double-smart cosubstrate. ChemCatChem 2015, 7, 2442–2445. [Google Scholar] [CrossRef]
- Liu, J.; Li, Z. Cascade Biotransformations via enantioselective reduction, oxidation, and hydrolysis: Preparation of (R)-δ-lactones from 2-alkylidenecyclopentanones. ACS Catal. 2013, 3, 908–911. [Google Scholar] [CrossRef]
- Oberleitner, N.; Peters, C.; Muschiol, J.; Kadow, M.; Saß, S.; Bayer, T.; Schaaf, P.; Iqbal, N.; Rudroff, F.; Mihovilovic, M.D.; et al. An enzymatic toolbox for cascade reactions: A showcase for an in vivo redox sequence in asymmetric synthesis. ChemCatChem 2013, 5, 3524–3528. [Google Scholar] [CrossRef]
- Oberleitner, N.; Peters, C.; Rudroff, F.; Bornscheuer, U.T.; Mihovilovic, M.D. In vitro characterization of an enzymatic redox cascade composed of an alcohol dehydrogenase, an enoate reductases and a Baeyer–Villiger monooxygenase. J. Biotechnol. 2014, 192, 393–399. [Google Scholar] [CrossRef] [PubMed]
- Peters, C.; Kölzsch, R.; Kadow, M.; Skalden, L.; Rudroff, F.; Mihovilovic, M.D.; Bornscheuer, U.T. Identification, characterization, and application of three enoate reductases from Pseudomonas putida in in vitro enzyme cascade reactions. ChemCatChem 2014, 6, 1021–1027. [Google Scholar] [CrossRef]
- Hertweck, C. The biosynthetic logic of polyketide diversity. Angew. Chem. Int. Ed. 2009, 48, 4688–4716. [Google Scholar] [CrossRef] [PubMed]
- Fischbach, M.A.; Walsh, C.T. Assembly-line enzymology for polyketide and nonribosomal peptide antibiotics: Logic, machinery, and mechanisms. Chem. Rev. 2006, 106, 3468–3496. [Google Scholar] [CrossRef] [PubMed]
- Harper, A.D.; Bailey, C.B.; Edwards, A.D.; Detelich, J.F.; Keatinge-Clay, A.T. Preparative, in vitro biocatalysis of triketide lactone chiral building blocks. ChemBioChem 2012, 13, 2200–2203. [Google Scholar] [CrossRef] [PubMed]
- Classen, T.; Korpak, M.; Schölzel, M.; Pietruszka, J. Stereoselective enzyme cascades: An efficient synthesis of chiral γ-butyrolactones. ACS Catal. 2014, 4, 1321–1331. [Google Scholar] [CrossRef]
- Peters, C.; Rudroff, F.; Mihovilovic, M.D.; Bornscheuer, U.T. Fusion proteins of an enoate reductase and a Baeyer-Villiger monooxygenase facilitate the synthesis of chiral lactones. Biol. Chem. 2017, 398, 31–37. [Google Scholar] [CrossRef] [PubMed]
© 2018 by the authors. Licensee MDPI, Basel, Switzerland. This article is an open access article distributed under the terms and conditions of the Creative Commons Attribution (CC BY) license (http://creativecommons.org/licenses/by/4.0/).






















































