RETRACTED: The Influence of Texture on Co/SBA–15 Catalyst Performance for Fischer–Tropsch Synthesis
Abstract
1. Introduction
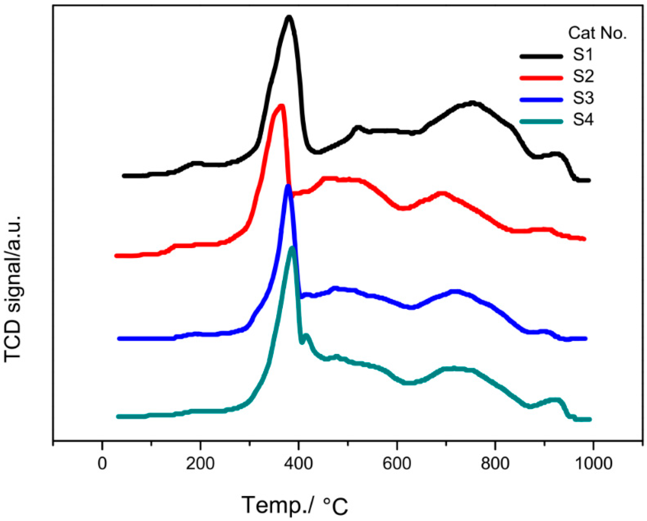
2. Results and Discussion
3. Experimental
3.1. Catalyst Preparation
3.2. Catalyst Characterization
3.3. Fischer–Tropsch Test
4. Conclusions
Author Contributions
Funding
Conflicts of Interest
References
- Han, J.; Liang, Y.; Hu, J.; Qin, L.; Street, J.; Lu, Y.; Yu, F. Modeling downdraft biomass gasification process by restricting chemical reaction equilibrium with aspen plus. Energy Convers. Manag. 2017, 153, 641–648. [Google Scholar] [CrossRef]
- Han, J.; Zhang, L.; Lu, Y.; Hu, J.; Cao, B.; Yu, F. The effect of syngas composition on the fischer tropsch synthesis over three-dimensionally ordered macro-porous iron based catalyst. Mol. Catal. 2017, 440, 175–183. [Google Scholar] [CrossRef]
- Han, J.; Zhang, L.; Kim, H.J.; Kasadani, Y.; Li, L.; Shimizu, T. Fast pyrolysis and combustion characteristic of three different brown coals. Fuel Process. Technol. 2018, 176, 15–20. [Google Scholar] [CrossRef]
- Han, J.; Li, W.; Liu, D.; Qin, L.; Chen, W.; Xing, F. Pyrolysis characteristic and mechanism of waste tyre: A thermogravimetry-mass spectrometry analysis. J. Anal. Appl. Pyrolysis 2018, 129, 1–5. [Google Scholar] [CrossRef]
- Saheli, S.; Rezvani, A.R.; Malekzadeh, A. Study of structural and catalytic properties of Ni catalysts prepared from inorganic complex precursor for Fischer-Tropsch synthesis. J. Mol. Struct. 2017, 1144, 166–172. [Google Scholar] [CrossRef]
- Roe, D.P.; Xu, R.; Roberts, C.B. Influence of a carbon nanotube support and supercritical fluid reaction medium on Fe-catalyzed Fischer-Tropsch synthesis. Appl. Catal. A Gen. 2017, 543, 141–149. [Google Scholar] [CrossRef]
- Huang, J.; Qian, W.; Zhang, H.; Ying, W. Influences of ordered mesoporous silica on product distribution over Nb-promoted Cobalt catalyst for Fischer-Tropsch synthesis. Fuel 2018, 216, 843–851. [Google Scholar] [CrossRef]
- Yang, X.; Wang, W.; Wu, L.; Li, X.; Wang, T.; Liao, S. Effect of confinement of TiO2 nanotubes over the Ru nanoparticles on Fischer-Tropsch synthesis. Appl. Catal. A Gen. 2016, 526, 45–52. [Google Scholar] [CrossRef]
- Luque, R.; Osa, A.R.D.L.; Campelo, J.M.; Romero, A.A.; Valverde, J.L.; Sanchez, P. Design and development of catalysts for biomass-to-liquid-fischer-tropsch (BTL-FT) processes for biofuels production. Energy Environ. Sci. 2012, 5, 5186–5202. [Google Scholar] [CrossRef]
- Phaahlamohlaka, T.N.; Dlamini, M.W.; Mogodi, M.W.; Kumi, D.O.; Jewell, L.L.; Billing, D.G.; Coville, N.J. A sinter resistant CO Fischer-Tropsch catalyst promoted with Ru and supported on titania encapsulated by mesoporous silica. Appl. Catal. A Gen. 2018, 552, 129–137. [Google Scholar] [CrossRef]
- Li, Z.; Wu, J.; Yu, J.; Han, D.; Wu, L.; Li, J. Effect of incorporation manner of zr on the Co/SBA-15 catalyst for the Fischer–Tropsch synthesis. J. Mol. Catal. A Chem. 2016, 424, 384–392. [Google Scholar] [CrossRef]
- Liu, Y.; Jia, L.; Hou, B.; Sun, D.; Li, D. Cobalt aluminate-modified alumina as a carrier for cobalt in fischer–tropsch synthesis. Appl. Catal. A Gen. 2017, 530, 30–36. [Google Scholar] [CrossRef]
- Intarasiri, S.; Ratana, T.; Sornchamni, T.; Phongaksorn, M.; Tungkamani, S. Effect of pore size diameter of Cobalt supported catalyst on gasoline-diesel selectivity. Energy Procedia 2017, 138, 1035–1040. [Google Scholar] [CrossRef]
- Rytter, E.; Holmen, A. On the support in Cobalt Fischer–Tropsch synthesis—Emphasis on alumina and aluminates. Catal. Today 2016, 275, 11–19. [Google Scholar] [CrossRef]
- Liu, J.; Yu, L.; Zhao, Z.; Chen, Y.; Zhu, P.; Wang, C.; Luo, Y.; Xu, C.; Duan, A.; Jiang, G. Potassium-modified molybdenum-containing sba-15 catalysts for highly efficient production of acetaldehyde and ethylene by the selective oxidation of ethane. J. Catal. 2012, 285, 134–144. [Google Scholar] [CrossRef]
- Osakoo, N.; Henkel, R.; Loiha, S.; Roessner, F.; Wittayakun, J. Effect of support morphology and pd promoter on Co/SBA-15 for fischer–tropsch synthesis. Catal. Commun. 2014, 56, 168–173. [Google Scholar] [CrossRef]
- Cai, Q.; Li, J. Catalytic properties of the ru promoted Co/SBA-15 catalysts for fischer–tropsch synthesis. Catal. Commun. 2008, 9, 2003–2006. [Google Scholar] [CrossRef]
- Wang, Y.; Jiang, Y.; Huang, J.; Liang, J.; Wang, H.; Li, Z.; Wu, J.; Li, M.; Zhao, Y.; Niu, J. Effect of hierarchical crystal structures on the properties of cobalt catalysts for Fischer–Tropsch synthesis. Fuel 2016, 174, 17–24. [Google Scholar] [CrossRef]
- Wu, L.; Li, Z.; Han, D.; Wu, J.; Zhang, D. A preliminary evaluation of ZSM-5/SBA-15 composite supported Co catalysts for Fischer–Tropsch synthesis. Fuel Process. Technol. 2015, 134, 449–455. [Google Scholar] [CrossRef]
- Prieto, G.; Martínez, A.; Murciano, R.; Arribas, M.A. Cobalt supported on morphologically tailored SBA-15 mesostructures: The impact of pore length on metal dispersion and catalytic activity in the Fischer–Tropsch synthesis. Appl. Catal. A Gen. 2009, 367, 146–156. [Google Scholar] [CrossRef]
- Sevimli, F.; Yılmaz, A. Surface functionalization of SBA-15 particles for amoxicillin delivery. Microporous Mesoporous Mater. 2012, 158, 281–291. [Google Scholar] [CrossRef]
- Xiong, H.; Zhang, Y.; Liew, K.; Li, J. Ruthenium promotion of Co/SBA-15 catalysts with high cobalt loading for Fischer–Tropsch synthesis. Fuel Process. Technol. 2009, 90, 237–246. [Google Scholar] [CrossRef]
- Carrero, A.; Vizcaíno, A.J.; Calles, J.A.; García-Moreno, L. Hydrogen production through glycerol steam reforming using Co catalysts supported on SBA-15 doped with Zr, Ce and La. J. Energy Chem. 2017, 26, 42–48. [Google Scholar] [CrossRef]
- Zhu, J.; Yang, J.; Miao, R.; Yao, Z.; Zhuang, X.; Feng, X. Nitrogen-enriched, ordered mesoporous carbons for potential electrochemical energy storage. J. Mater. Chem. A 2016, 4, 2286–2292. [Google Scholar] [CrossRef]
- Han, J.; Zhang, L.; Zhao, B.; Qin, L.; Wang, Y.; Xing, F. The N-doped activated carbon derived from sugarcane bagasse for CO2 adsorption. Ind. Crop. Prod. 2019, 128, 290–297. [Google Scholar] [CrossRef]
- Vizcaíno, A.J.; Carrero, A.; Calles, J.A. Comparison of ethanol steam reforming using co and ni catalysts supported on SBA-15 modified by Ca and Mg. Fuel Process. Technol. 2016, 146, 99–109. [Google Scholar] [CrossRef]
- Xiong, K.; Zhang, Y.; Li, J.; Liew, K. Catalytic properties of Ru nanoparticles embedded on ordered mesoporous carbon with different pore size in Fischer-Tropsch synthesis. J. Energy Chem. 2013, 22, 560–566. [Google Scholar] [CrossRef]
- Zhuo, L.; Wu, L.; Han, D.; Wu, J. Characterizations and product distribution of Co-based Fischer-Tropsch catalysts: A comparison of the incorporation manner. Fuel 2018, 220, 257–263. [Google Scholar]
- Kang, J.; Wang, X.; Peng, X.; Yang, Y.; Cheng, K.; Zhang, Q. Mesoporous zeolite Y-supported Co nanoparticles as efficient Fischer–Tropsch catalysts for selective synthesis of diesel fuel. Ind. Eng. Chem. Res. 2016, 55, 13008–13019. [Google Scholar] [CrossRef]











| Sample | Surface Area (m2/g) | Pore Diameter (nm) | Pore Volume (cm3/g) | Average Pore Length 1 (μm) |
|---|---|---|---|---|
| S1 | 457.5 | 4.9 | 0.719 | 1.6 |
| S2 | 455.6 | 6.5 | 0.802 | 1.90 |
| S3 | 395.9 | 7.9 | 0.853 | 1.80 |
| S4 | 353.7 | 9.7 | 0.900 | 1.70 |
| Sample | Pore Size (nm) | DCo3O4 (nm) | DCo (nm) |
|---|---|---|---|
| S1 | 4.9 | 10.5 | 7.9 |
| S2 | 6.5 | 13.8 | 10.4 |
| S3 | 7.9 | 15 | 11.3 |
| S4 | 9.7 | 16 | 12.0 |
| Sample | Aging Time/h | Aging Temp./°C |
|---|---|---|
| S1 | 24 | 100 |
| S2 | 48 | 100 |
| S3 | 24 | 120 |
| S4 | 48 | 120 |
© 2018 by the authors. Licensee MDPI, Basel, Switzerland. This article is an open access article distributed under the terms and conditions of the Creative Commons Attribution (CC BY) license (http://creativecommons.org/licenses/by/4.0/).
Share and Cite
Han, J.; Xiong, Z.; Zhang, Z.; Zhang, H.; Zhou, P.; Yu, F. RETRACTED: The Influence of Texture on Co/SBA–15 Catalyst Performance for Fischer–Tropsch Synthesis. Catalysts 2018, 8, 661. https://doi.org/10.3390/catal8120661
Han J, Xiong Z, Zhang Z, Zhang H, Zhou P, Yu F. RETRACTED: The Influence of Texture on Co/SBA–15 Catalyst Performance for Fischer–Tropsch Synthesis. Catalysts. 2018; 8(12):661. https://doi.org/10.3390/catal8120661
Chicago/Turabian StyleHan, Jun, Zijiang Xiong, Zelin Zhang, Hongjie Zhang, Peng Zhou, and Fei Yu. 2018. "RETRACTED: The Influence of Texture on Co/SBA–15 Catalyst Performance for Fischer–Tropsch Synthesis" Catalysts 8, no. 12: 661. https://doi.org/10.3390/catal8120661
APA StyleHan, J., Xiong, Z., Zhang, Z., Zhang, H., Zhou, P., & Yu, F. (2018). RETRACTED: The Influence of Texture on Co/SBA–15 Catalyst Performance for Fischer–Tropsch Synthesis. Catalysts, 8(12), 661. https://doi.org/10.3390/catal8120661

