Functionalized Ordered Mesoporous Silicas (MCM-41): Synthesis and Applications in Catalysis
Abstract
1. Introduction
2. General Synthesis of Mesoporous Silicas (MCM-41) and Applications in Catalysis
3. Superficially Functionalized MCM-41
3.1. MCM-41 for Basic and Acid Catalyst
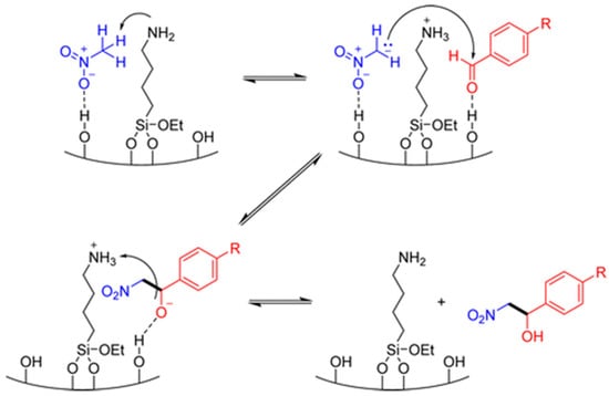
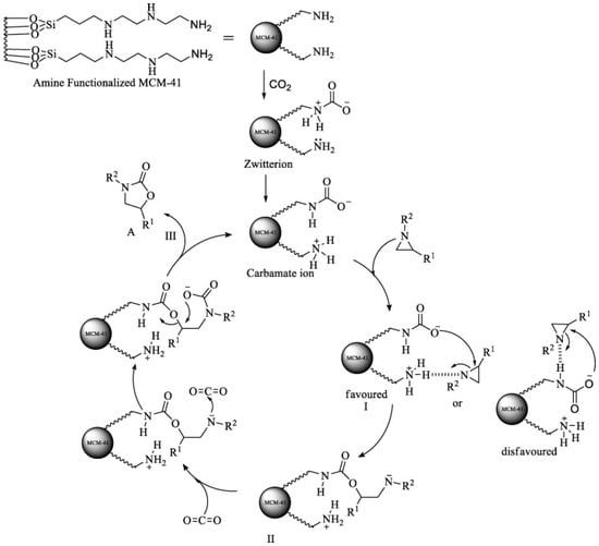
3.1.1. Amino Functionalization: NH2-MCM-41
3.1.2. Acid-Derivatized MCM-41
3.1.3. Difunctionalized MCM-41
3.2. Metallic Complexes
3.3. MCM-41 Functionalized with Metallic Complexes for Enzyme Entrapment
4. MCM-41 as Support for Immobilization Heteropolyacids
5. MCM-41 for the Incorporation of Metal Nanoparticles (MNP)
5.1. Palladium Nanoparticles Supported on MCM-41
5.2. Gold Nanoparticles Supported on MCM-41
5.3. Nickel Nanoparticles Supported on MCM-41
5.4. Ruthenium Nanoparticles Supported on MCM-41
5.5. Titanium Nanoparticles Supported on MCM-41
6. Magnetic Core Shell Nanoparticles
6.1. General Synthesis of Magnetic MCM-41
6.2. Magnetic MCM-41 for Basic and Acid Catalysis
6.3. Magnetic MCM-41 to Embed Ionic Liquids
6.4. Magnetic MCM-41 Decorated with Metallic Complexes
6.5. Magnetic MCM-41 to Incorporate Metal Nanoparticles
6.6. Magnetic MCM-41 to Immobilize Enzymes
7. Concluding Remarks
Funding
Conflicts of Interest
References
- Llinas, M.C.; Sánchez, D. Nanopartículas de sílice: Preparación y aplicaciones en biomedicina. Affinidad 2014, LXXI, 20–31. [Google Scholar]
- Huang, Y. Functionalization of mesoporous silica nanoparticles and their applications in organo-, metallic and organometallic catalysis. Ph.D. Thesis, Iowa State University, Ames, IA, USA, 2009. [Google Scholar]
- Popat, A.; Hartono, S.B.; Stahr, F.; Liu, J.; Qiao, S.Z.; Qing Lu, G. Mesoporous silica nanoparticles for bioadsorption, enzyme immobilisation, and delivery carriers. Nanoscale 2011, 3, 2801–2818. [Google Scholar] [CrossRef] [PubMed]
- Sun, X. Mesoporous Silica Nanoparticles for Aplications in Drug Delivery and Catalysis. Ph.D. Thesis, Iowa State University, Ames, IA, USA, 2012. [Google Scholar]
- Hoffmann, F.; Cornelius, M.; Morell, J.; Fröba, M. Silica-based mesoporous organic-inorganic hybrid materials. Angew. Chem. Int. Ed. 2006, 45, 3216–3251. [Google Scholar] [CrossRef] [PubMed]
- Slowing, I.I.; Vivero-Escoto, J.L.; Trewyn, B.G.; Lin, V.S.Y. Mesoporous silica nanoparticles: Structural design and applications. J. Mater. Chem. 2010, 20, 7924–7937. [Google Scholar] [CrossRef]
- Mirza-Aghayan, M.; Nazmdeh, S.; Boukherroub, R.; Rahimifard, M.; Tarlani, A.A.; Abolghasemi-Malakshah, M. Convenient and efficient one-pot method for the synthesis of 2-amino-tetrahydro-4H-chromenes and 2-amino-4H-benzo[h]-chromenes using catalytic amount of amino-functionalized MCM-41 in aqueous media. Synth. Commun. 2013, 43, 1499–1507. [Google Scholar] [CrossRef]
- Nale, D.B.; Rana, S.; Parida, K.; Bhanage, B.M. Amine functionalized MCM-41: An efficient heterogeneous recyclable catalyst for the synthesis of quinazoline-2,4(1H,3H)-diones from carbon dioxide and 2-aminobenzonitriles in water. Catal. Sci. Technol. 2014, 4, 1608–1614. [Google Scholar] [CrossRef]
- Nale, D.B.; Rana, S.; Parida, K.; Bhanage, B.M. Amine functionalized MCM-41 as a green, efficient, and heterogeneous catalyst for the regioselective synthesis of 5-aryl-2-oxazolidinones, from CO2 and aziridines. Appl. Catal. A Gen. 2014, 469, 340–349. [Google Scholar] [CrossRef]
- Choudary, B.M.; Kantam, M.L.; Sreekanth, P.; Bandopadhyay, T.; Figueras, F.; Tuel, A. Knoevenagel and aldol condensations catalyzed by a new diamino-functionalized mesoporous material. J. Mol. Catal. A Chem. 1999, 142, 361–365. [Google Scholar] [CrossRef]
- Wu, N.; Li, B.; Liu, J.; Zuo, S.; Zhao, Y. Preparation and catalytic performance of a novel highly dispersed bifunctional catalyst Pt@Fe-MCM-41. RSC Adv. 2016, 6, 13461–13468. [Google Scholar] [CrossRef]
- Borodina, E.; Karpov, S.I.; Selemenev, V.F.; Schwieger, W.; Maracke, S.; Fröba, M.; Rößner, F. Surface and texture properties of mesoporous silica materials modified by silicon-organic compounds containing quaternary amino groups for their application in base-catalyzed reactions. Microporous Mesoporous Mater. 2015, 203, 224–231. [Google Scholar] [CrossRef]
- Trisunaryanti, W.; Dwi Putri, A.; Lutfiana, A.; Dewi, K. Transesterification of Waste Cooking Oil Using NH2/MCM-41 Base Catalyst: Effect of Methanol/Oil Mole Ratio And Catalyst/Oil Weight Ratio towards Conversion of Ester. Asian J. Chem. 2018, 30, 953–957. [Google Scholar] [CrossRef]
- Vekariya, R.H.; Prajapati, N.P.; Patel, H.D. MCM-41-anchored sulfonic acid (MCM-41-SO3H): An efficient heterogeneous catalyst for green organic synthesis. Synth. Commun. 2016, 46, 1713–1734. [Google Scholar] [CrossRef]
- Luštická, I.; Vrbková, E.; Vyskočilová, E.; Paterová, I.; Červený, L. Acid functionalized MCM-41 as a catalyst for the synthesis of benzal-1,1-diacetate. React. Kinet. Mech. Catal. 2013, 108, 205–212. [Google Scholar] [CrossRef]
- Alinasab Amiri, A.; Javanshir, S.; Dolatkhah, Z.; Dekamin, M.G. SO3H-functionalized mesoporous silica materials as solid acid catalyst for facile and solvent-free synthesis of 2H-indazolo[2,1-b]phthalazine-1,6,11-trione derivatives. New J. Chem. 2015, 39, 9665–9671. [Google Scholar] [CrossRef]
- Safaei, S.; Mohammadpoor-Baltork, I.; Khosropour, A.R.; Moghadam, M.; Tangestaninejad, S.; Mirkhani, V. SO3H-functionalized MCM-41 as an efficient catalyst for the combinatorial synthesis of 1H-pyrazolo-[3,4-b]pyridines and spiro-pyrazolo-[3,4-b]pyridines. J. Iran. Chem. Soc. 2017, 14, 1583–1589. [Google Scholar] [CrossRef]
- Kaiprommarat, S.; Kongparakul, S.; Reubroycharoen, P.; Guan, G.; Samart, C. Highly efficient sulfonic MCM-41 catalyst for furfural production: Furan-based biofuel agent. Fuel 2016, 174, 189–196. [Google Scholar] [CrossRef]
- Karnjanakom, S.; Kongparakul, S.; Chaiya, C.; Reubroycharoen, P.; Guan, G.; Samart, C. Biodiesel production from Hevea brasiliensis oil using SO3H-MCM-41 catalyst. J. Environ. Chem. Eng. 2016, 4, 47–55. [Google Scholar] [CrossRef]
- Sarrafi, Y.; Mehrasbi, E.; Mashalchi, S.Z. MCM-41-SO3H: An efficient, reusable, heterogeneous catalyst for the one-pot, three-component synthesis of pyrano[3,2-b]pyrans. In Research on Chemical Intermediates; Springer: Dordrecht, The Netherlands, 2015; pp. 1–13. [Google Scholar]
- Appaturi, J.N.; Selvaraj, M.; Abdul Hamid, S.B.; Bin Johan, M.R. Synthesis of 3-(2-furylmethylene)-2,4-pentanedione using DL-Alanine functionalized MCM-41 catalyst via Knoevenagel condensation reaction. Microporous Mesoporous Mater. 2018, 260, 260–269. [Google Scholar] [CrossRef]
- Vrbková, E.; Vyskočilová, E.; Červený, L. Functionalized MCM-41 as a catalyst for the aldol condensation of 4-isopropylbenzaldehyde and propanal. React. Kinet. Mech. Catal. 2015, 114, 675–684. [Google Scholar] [CrossRef]
- Sharma, K.K.; Asefa, T. Efficient bifunctional nanocatalysts by simple postgrafting of spatially isolated catalytic groups on mesoporous materials. Angew. Chem. Int. Ed. 2007, 46, 2879–2882. [Google Scholar] [CrossRef]
- Collier, V.E.; Ellebracht, N.C.; Lindy, G.I.; Moschetta, E.G.; Jones, C.W. Kinetic and Mechanistic Examination of Acid-Base Bifunctional Aminosilica Catalysts in Aldol and Nitroaldol Condensations. ACS Catal. 2016, 6, 460–468. [Google Scholar] [CrossRef]
- Ray, S.; Das, P.; Banerjee, B.; Bhaumik, A.; Mukhopadhyay, C. Piperazinylpyrimidine modified MCM-41 for the ecofriendly synthesis of benzothiazoles by the simple cleavage of disulfide in the presence of molecular O2. RSC Adv. 2015, 5, 72745–72754. [Google Scholar] [CrossRef]
- Huang, Y.; Xu, S.; Lin, V.S.Y. Bifunctionalized Mesoporous Materials with Site-Separated Brønsted Acids and Bases: Catalyst for a Two-Step Reaction Sequence. Angew. Chem. Int. Ed. Engl. 2011, 50, 661–664. [Google Scholar] [CrossRef] [PubMed]
- Dickschat, A.T.; Behrends, F.; Buehner, M.; Ren, J.; Weiss, M.; Eckert, H.; Studer, A. Preparation of Bifunctional Mesoporous Silica Nanoparticles by Orthogonal Click Reactions and Their Application in Cooperative Catalysis. Chem. Eur. J. 2012, 18, 16689–16697. [Google Scholar] [CrossRef] [PubMed]
- Dickschat, A.T.; Behrends, F.; Surmiak, S.; Weiß, M.; Eckert, H.; Studer, A. Bifunctional mesoporous silica nanoparticles as cooperative catalysts for the Tsuji-Trost reaction-tuning the reactivity of silica nanoparticles. Chem. Commun. 2013, 49, 2195–2197. [Google Scholar] [CrossRef]
- Tsai, C.-H.; Chen, H.-T.; Althaus, S.M.; Mao, K.; Kobayashi, T.; Pruski, M.; Lin, V.S.Y. Rational Catalyst Design: A Multifunctional Mesoporous Silica Catalyst for Shifting the Reaction Equilibrium by Removal of Byproduct. ACS Catal. 2011, 1, 729–732. [Google Scholar] [CrossRef]
- Jabbari, A.; Mahdavi, H.; Nikoorazm, M.; Ghorbani-Choghamarani, A. Salen copper(II) complex heterogenized on mesoporous MCM-41 as nanoreactor catalyst for the selective oxidation of sulfides using urea hydrogen peroxide (UHP). Res. Chem. Intermed. 2015, 41, 5649–5663. [Google Scholar] [CrossRef]
- Tamoradi, T.; Ghadermazi, M.; Ghorbani-Choghamarani, A. Synthesis of Polyhydroquinoline, 2,3-Dihydroquinazolin-4(1H)-one, Sulfide and Sulfoxide Derivatives Catalyzed by New Copper Complex Supported on MCM-41. Catal. Lett. 2018, 148, 857–872. [Google Scholar] [CrossRef]
- Hajipour, A.R.; Hosseini, S.M.; Jajarmi, S. Cu(II)-Et-S@MCM-41: A Green and Cost-Effective Catalytic System for S-arylation of Aryl Halides Using Thiourea and Benzyl Bromide. ChemistrySelect 2017, 2, 2388–2394. [Google Scholar] [CrossRef]
- Lin, Y.; Cai, M.; Fang, Z.; Zhao, H. MCM-41-immobilized 1,10-phenanthroline-copper(I) complex: A highly efficient and recyclable catalyst for the coupling of aryl iodides with aliphatic alcohols. RSC Adv. 2016, 6, 85186–85193. [Google Scholar] [CrossRef]
- Liu, C.-C.; Janmanchi, D.; Wen, D.-R.; Oung, J.-N.; Mou, C.-Y.; Yu, S.S.F.; Chan, S.I. Catalytic Oxidation of Light Alkanes Mediated at Room Temperature by a Tricopper Cluster Complex Immobilized in Mesoporous Silica Nanoparticles. ACS Sustain. Chem. Eng. 2018, 6, 5431–5440. [Google Scholar] [CrossRef]
- Zendehdel, M.; Zamani, F. MCM-41-supported NNO type Schiff base complexes: A highly selective heterogeneous nanocatalyst for esterification, Diels–Alder and aldol condensation. J. Porous Mater. 2017, 24, 1263–1277. [Google Scholar] [CrossRef]
- Moorthy, M.; Kannan, B.; Madheswaran, B.; Rangappan, R. Tethering of Cu(II) Schiff base metal complex on mesoporous material MCM-41: Catalyst for Ullmann-type coupling reactions. J. Porous Mater. 2016, 23, 977–986. [Google Scholar] [CrossRef]
- Nejat, R.; Mahjoub, A.R.; Hekmatian, Z.; Azadbakht, T. Pd-functionalized MCM-41 nanoporous silica as an efficient and reusable catalyst for promoting organic reactions. RSC Adv. 2015, 5, 16029–16035. [Google Scholar] [CrossRef]
- Das, T.; Uyama, H.; Nandi, M. Pronounced effect of pore dimension of silica support on Pd-catalyzed Suzuki coupling reaction under ambient conditions. New J. Chem. 2018, 42, 6416–6426. [Google Scholar] [CrossRef]
- Adam, F.; Abbas, S.H. The imprinted MCM-41 palladium(II) salen complex: Its synthesis, characterisation and catalytic activity for the suzuki-miyaura reaction. J. Phys. Sci. 2016, 27, 15–38. [Google Scholar]
- Lin, B.-N.; Huang, S.-H.; Wu, W.-Y.; Mou, C.-Y.; Tsai, F.-Y. Sonogashira reaction of aryl and heteroaryl halides with terminal alkynes catalyzed by a highly efficient and recyclable nanosized MCM-41 anchored palladium bipyridyl complex. Molecules 2010, 15, 9157–9173. [Google Scholar] [CrossRef]
- Chen, J.-Y.; Lin, T.-C.; Chen, S.-C.; Chen, A.-J.; Mou, C.-Y.; Tsai, F.-Y. Highly-efficient and recyclable nanosized MCM-41 anchored palladium bipyridyl complex-catalyzed coupling of acyl chlorides and terminal alkynes for the formation of ynones. Tetrahedron 2009, 65, 10134–10141. [Google Scholar] [CrossRef]
- Yousefi, S.; Kiasat, A.R. MCM-41 bound dibenzo-18-crown-6 ether: A recoverable phase-transfer nano catalyst for smooth and regioselective conversion of oxiranes to β-azidohydrins and β-cyanohydrins in water. RSC Adv. 2015, 5, 92387–92393. [Google Scholar] [CrossRef]
- Nikoorazm, M.; Ghorbani-Choghamarani, A.; Ghobadi, M.; Massahi, S. Pd-SBT@MCM-41: As an efficient, stable and recyclable organometallic catalyst for C-C coupling reactions and synthesis of 5-substituted tetrazoles. Appl. Organomet. Chem. 2017, 31. [Google Scholar] [CrossRef]
- Fadhli, M.; Khedher, I.; Fraile, J.M. Modified Ti/MCM-41 catalysts for enantioselective epoxidation of styrene. J. Mol. Catal. A Chem. 2016, 420, 282–289. [Google Scholar] [CrossRef]
- Zhou, W.; He, D. Anchoring RhCl(CO)(PPh3)2 to -PrPPh2 Modified MCM-41 as Effective Catalyst for 1-Octene Hydroformylation. Catal. Lett. 2009, 127, 437–443. [Google Scholar] [CrossRef]
- Havasi, F.; Ghorbani-Choghamarani, A.; Nikpour, F. Synthesis and characterization of nickel complex anchored onto MCM-41 as a novel and reusable nanocatalyst for the efficient synthesis of 2,3-dihydroquinazolin-4(1H)-ones. Microporous Mesoporous Mater. 2016, 224, 26–35. [Google Scholar] [CrossRef]
- Xie, Y.; Yuan, W.; Huang, Y.; Wu, C.; Wang, H.; Xia, Y.; Liu, X. Zirconyl schiff base complex-functionalized MCM-41 catalyzes dehydration of fructose into 5-hydroxymethylfurfural in organic solvents. Chin. Chem. Lett. 2018. [Google Scholar] [CrossRef]
- Vasconcellos Dias, M.; Saraiva, M.S.; Ferreira, P.; Calhorda, M.J. Catalytic activity of molybdenum(II) complexes in homogeneous and heterogeneous conditions. Organometallics 2015, 34, 1465–1478. [Google Scholar] [CrossRef]
- Noori, N.; Nikoorazm, M.; Ghorbani-Choghamarani, A. Synthesis and characterization of Co (II) and Fe (III) Schiff base complexes grafted onto mesoporous MCM-41: A heterogeneous and recyclable nanocatalysts for the selective oxidation of sulfides and oxidative coupling of thiols. Phosphorus Sulfur Silicon Relat. Elem. 2016, 191, 1388–1395. [Google Scholar] [CrossRef]
- Noori, N.; Nikoorazm, M.; Ghorbani-Choghamarani, A. Synthesis and characterization of Ni and Zn Schiff base complexes supported on modified MCM-41 as reusable catalysts for various oxidation reactions. J. Porous Mater. 2015, 22, 1607–1615. [Google Scholar] [CrossRef]
- Muthusami, R.; Moorthy, M.; Kostova, I.; Anbarasu, G.; Manickam, C.; Rangappan, R. Designing a biomimetic catalyst for phenoxazinone synthase activity using mesoporous Schiff base Copper complex with a novel double-helix morphology. New J. Chem. 2018. [Google Scholar] [CrossRef]
- Bania, K.K.; Karunakar, G.V.; Satyanarayana, L. Oxidative coupling of 2-naphthol to (R)/(S)-BINOL by MCM-41 supported Mn-chiral Schiff base complexes. RSC Adv. 2015, 5, 33185–33198. [Google Scholar] [CrossRef]
- Yang, F.; Gao, S.; Xiong, C.; Wang, H.; Chen, J.; Kong, Y. Coordination of manganese porphyrins on amino-functionalized MCM-41 for heterogeneous catalysis of naphthalene hydroxylation. Cuihua Xuebao/Chinese J. Catal. 2015, 36, 1035–1041. [Google Scholar] [CrossRef]
- González, D.M.; Quijada, R.; Yazdani-Pedram, M.; Lourenço, J.P.; Ribeiro, M.R. Preparation of polypropylene-based nanocomposites using nanosized MCM-41 as support and in situ polymerization. Polym. Int. 2016, 65, 320–326. [Google Scholar] [CrossRef]
- Moritz, M.; Geszke-Moritz, M. Mesoporous materials as multifunctional tools in biosciences: Principles and applications. Mater. Sci. Eng. C 2015, 49, 114–151. [Google Scholar] [CrossRef] [PubMed]
- Carlsson, N.; Gustafsson, H.; Thörn, C.; Olsson, L.; Holmberg, K.; Åkerman, B. Enzymes immobilized in mesoporous silica: A physical–chemical perspective. Adv. Colloid Interface Sci. 2014, 205, 339–360. [Google Scholar] [CrossRef] [PubMed]
- Dang, P.T.; Le, H.G.; Hoang, V.-T.; Tran, H.T.H.; Dao, C.D.; Nguyen, K.T.; Le, G.H.; Nguyen, Q.K.; Nguyen, T.V.; Vu, T.A. Immobilization of D-Amino Acid Oxidase (DAAO) Enzyme on Hybrid Mesoporous MCF, SBA-15 and MCM-41 Nanomaterials. J. Nanosci. Nanotechnol. 2017, 17, 947–953. [Google Scholar] [CrossRef] [PubMed]
- Jia, F.; Narasimhan, B.; Mallapragada, S. Materials-based strategies for multi-enzyme immobilization and co-localization: A review. Biotechnol. Bioeng. 2014, 111, 209–222. [Google Scholar] [CrossRef] [PubMed]
- Díaz, J.F.; Balkus, K.J. Enzyme immobilization in MCM-41 molecular sieve. J. Mol. Catal. B Enzym. 1996, 2, 115–126. [Google Scholar] [CrossRef]
- Sadighi, A.; Motevalizadeh, S.F.; Hosseini, M.; Ramazani, A.; Gorgannezhad, L.; Nadri, H.; Deiham, B.; Ganjali, M.R.; Shafiee, A.; Faramarzi, M.A.; et al. Metal-Chelate Immobilization of Lipase onto Polyethylenimine Coated MCM-41 for Apple Flavor Synthesis. Appl. Biochem. Biotechnol. 2017, 182, 1371–1389. [Google Scholar] [CrossRef]
- Timofeeva, M. Acid catalysis by heteropoly acids. Appl. Catal. A Gen. 2003, 256, 19–35. [Google Scholar] [CrossRef]
- Patel, A.; Narkhede, N.; Singh, S.; Pathan, S. Keggin-type lacunary and transition metal substituted polyoxometalates as heterogeneous catalysts: A recent progress. Catal. Rev. 2016, 58, 337–370. [Google Scholar] [CrossRef]
- Kozhevinikov, I. Heteropoly Acids and Related Compounds as Catalysts for Fine Chemical Synthesis. Catal. Rev. 1995, 37, 311–352. [Google Scholar] [CrossRef]
- Coronel, N.C.; da Silva, M.J. Lacunar Keggin Heteropolyacid Salts: Soluble, Solid and Solid-Supported Catalysts. J. Clust. Sci. 2018, 29, 195–205. [Google Scholar] [CrossRef]
- Taguchi, A.; Schüth, F. Ordered mesoporous materials in catalysis. Microporous Mesoporous Mater. 2005, 77, 1–45. [Google Scholar] [CrossRef]
- Enferadi-Kerenkan, A.; Do, T.-O.; Kaliaguine, S. Heterogeneous catalysis by tungsten-based heteropoly compounds. Catal. Sci. Technol. 2018, 8, 2257–2284. [Google Scholar] [CrossRef]
- Ding, J.; Ma, T.; Yun, Z.; Shao, R. Heteropolyacid (H3PW12O40) supported MCM-41: An effective solid acid catalyst for the dehydration of glycerol to acrolein. J. Wuhan Univ. Technol.-Mater. Sci. Ed. 2017, 32, 1511–1516. [Google Scholar] [CrossRef]
- Kong, S.I.; Matei, D.; Cursaru, D.; Matei, V.; Ciuparu, D. Characterization and stability of heteropolyacid catalysts supported on MCM-41 materials synthesized by ultrasonic irradiation. Rev. Chim. 2017, 68, 101–107. [Google Scholar]
- Kocaman, E.; Akarçay, Ö.; Bağlar, N.; Çelebi, S.; Uzun, A. Isobutene oligomerization on MCM-41-supported tungstophosphoric acid. Mol. Catal. 2018, 457, 41–50. [Google Scholar] [CrossRef]
- Chen, Y.; Chen, X.; Dong, B.-B.; Wang, G.-H.; Zheng, X.-C. Facile synthesis and characterization of 12-tungstophosphoric acid anchoring MCM-41 mesoporous materials. Mater. Lett. 2014, 114, 72–75. [Google Scholar] [CrossRef]
- Liu, A.; Zhang, Z.; Fang, Z.; Liu, B.; Huang, K. Synthesis of 5-ethoxymethylfurfural from 5-hydroxymethylfurfural and fructose in ethanol catalyzed by MCM-41 supported phosphotungstic acid. J. Ind. Eng. Chem. 2014, 20, 1977–1984. [Google Scholar] [CrossRef]
- Chen, Y.; Zhang, X.; Dong, M.; Wu, Y.; Zheng, G.; Huang, J.; Guan, X.; Zheng, X. MCM-41 immobilized 12-silicotungstic acid mesoporous materials: Structural and catalytic properties for esterification of levulinic acid and oleic acid. J. Taiwan Inst. Chem. Eng. 2016, 61, 147–155. [Google Scholar] [CrossRef]
- Ma, T.; Ding, J.; Shao, R.; Xu, W.; Yun, Z. Dehydration of glycerol to acrolein over Wells–Dawson and Keggin type phosphotungstic acids supported on MCM-41 catalysts. Chem. Eng. J. 2017, 316, 797–806. [Google Scholar] [CrossRef]
- Ding, J.; Cui, M.; Ma, T.; Shao, R.; Xu, W.; Wang, P. Catalytic amination of glycerol with dimethylamine over different type of heteropolyacid/Zr-MCM-41 catalysts. Mol. Catal. 2018, 457, 51–58. [Google Scholar] [CrossRef]
- Dias, A.S.; Pillinger, M.; Valente, A.A. Mesoporous silica-supported 12-tungstophosphoric acid catalysts for the liquid phase dehydration of d-xylose. Microporous Mesoporous Mater. 2006, 94, 214–225. [Google Scholar] [CrossRef]
- Luo, G.; Kang, L.; Zhu, M.; Dai, B. Highly active phosphotungstic acid immobilized on amino functionalized MCM-41 for the oxidesulfurization of dibenzothiophene. Fuel Process. Technol. 2014, 118, 20–27. [Google Scholar] [CrossRef]
- Ding, J.; Ma, T.; Shao, R.; Xu, W.; Wang, P.; Song, X.; Guan, R.; Yeung, K.; Han, W. Gas phase dehydration of glycerol to acrolein on an amino siloxane-functionalized MCM-41 supported Wells–Dawson type H6P2W18O62 catalyst. New J. Chem. 2018, 42, 14271–14280. [Google Scholar] [CrossRef]
- Dong, X.; Wang, D.; Li, K.; Zhen, Y.; Hu, H.; Xue, G. Vanadium-substituted heteropolyacids immobilized on amine- functionalized mesoporous MCM-41: A recyclable catalyst for selective oxidation of alcohols with H2O2. Mater. Res. Bull. 2014, 57, 210–220. [Google Scholar] [CrossRef]
- Popa, A.; Sasca, V.; Verdes, O.; Ianasi, C.; Banica, R. Heteropolyacids anchored on amino-functionalized MCM-41 and SBA-15 and its application to the ethanol conversion reaction. J. Therm. Anal. Calorim. 2017, 127, 319–334. [Google Scholar] [CrossRef]
- Thompson, D.J.; Zhang, Y.; Ren, T. Polyoxometalate [γ-SiW10O34(H2O)2]4− on MCM-41 as catalysts for sulfide oxygenation with hydrogen peroxide. J. Mol. Catal. A Chem. 2014, 392, 188–193. [Google Scholar] [CrossRef]
- Tayebee, R.; Amini, M.M.; Akbari, M.; Aliakbari, A. A novel inorganic–organic nanohybrid material H4SiW12O40/pyridino-MCM-41 as efficient catalyst for the preparation of 1-amidoalkyl-2-naphthols under solvent-free conditions. Dalton Trans. 2015, 44, 9596–9609. [Google Scholar] [CrossRef]
- Wang, S.; McGuirk, C.M.; D’Aquino, A.; Mason, J.A.; Mirkin, C.A. Metal-Organic Framework Nanoparticles. Adv. Mater. 2018, 30, 1800202. [Google Scholar] [CrossRef]
- Du, D.-Y.; Qin, J.-S.; Li, S.-L.; Su, Z.-M.; Lan, Y.-Q. Recent advances in porous polyoxometalate-based metal–organic framework materials. Chem. Soc. Rev. 2014, 43, 4615–4632. [Google Scholar] [CrossRef]
- Li, S.-W.; Gao, R.-M.; Zhang, R.-L.; Zhao, J. Template method for a hybrid catalyst material POM@MOF-199 anchored on MCM-41: Highly oxidative desulfurization of DBT under molecular oxygen. Fuel 2016, 184, 18–27. [Google Scholar] [CrossRef]
- Li, S.W.; Li, J.R.; Jin, Q.P.; Yang, Z.; Zhang, R.L.; Gao, R.M.; Zhao, J.S. Preparation of mesoporous Cs-POM@MOF-199@MCM-41 under two different synthetic methods for a highly oxidesulfurization of dibenzothiophene. J. Hazard. Mater. 2017, 337, 208–216. [Google Scholar] [CrossRef] [PubMed]
- Li, S.-W.; Yang, Z.; Gao, R.-M.; Zhang, G.; Zhao, J. Direct synthesis of mesoporous SRL-POM@MOF-199@MCM-41 and its highly catalytic performance for the oxidesulfurization of DBT. Appl. Catal. B Environ. 2018, 221, 574–583. [Google Scholar] [CrossRef]
- Oliveira, R.D.S.; Camilo, F.F.; Bizeto, M.A. Evaluation of the influence of sulfur-based functional groups on the embedding of silver nanoparticles into the pores of MCM-41. J. Solid State Chem. 2016, 235, 125–131. [Google Scholar] [CrossRef]
- Lin, X.-J.; Zhong, A.-Z.; Sun, Y.-B.; Zhang, X.; Song, W.-G.; Lu, R.-W.; Cao, A.-M.; Wan, L.-J. In situ encapsulation of Pd inside the MCM-41 channel. Chem. Commun. 2015, 51, 7482–7485. [Google Scholar] [CrossRef] [PubMed]
- Wu, N.; Zhang, W.; Li, B.; Han, C. Nickel nanoparticles highly dispersed with an ordered distribution in MCM-41 matrix as an efficient catalyst for hydrodechlorination of chlorobenzene. Microporous Mesoporous Mater. 2014, 185, 130–136. [Google Scholar] [CrossRef]
- Mori, K.; Yamaguchi, T.; Ikurumi, S.; Yamashita, H. Positive Effect of the Residual Templates within the MCM-41 Mesoporous Silica Channels in the Metal-Catalyzed Catalytic Reactions. Optoelectron. Adv. Mater. Rapid Commun. 2010, 4, 1166–1169. [Google Scholar]
- Feiz, A.; Bazgir, A. Gold nanoparticles supported on mercaptoethanol directly bonded to MCM-41: An efficient catalyst for the synthesis of propargylamines. Catal. Commun. 2016, 73, 88–92. [Google Scholar] [CrossRef]
- Dai, B.; Wen, B.; Zhu, M.; Kang, L.; Yu, F. Nickel catalysts supported on amino-functionalized MCM-41 for syngas methanation. RSC Adv. 2016, 6, 66957–66962. [Google Scholar] [CrossRef]
- Liao, H.; Ouyang, D.; Zhang, J.; Xiao, Y.; Liu, P.; Hao, F.; You, K.; Luo, H. Benzene hydrogenation over oxide-modified MCM-41 supported ruthenium-lanthanum catalyst: The influence of zirconia crystal form and surface hydrophilicity. Chem. Eng. J. 2014, 243, 207–216. [Google Scholar] [CrossRef]
- Azaroon, M.; Kiasat, A.R. An efficient and new protocol for the Heck reaction using palladium nanoparticle-engineered dibenzo-18-crown-6-ether/MCM-41 nanocomposite in water. Appl. Organomet. Chem. 2018, 32. n/a. [Google Scholar] [CrossRef]
- Demel, J.; Cejka, J.; Stepnicka, P. The use of palladium nanoparticles supported on MCM-41 mesoporous molecular sieves in the Heck reaction: A comparison of basic and neutral supports. J. Mol. Catal. A Chem. 2007, 274, 127–132. [Google Scholar] [CrossRef]
- Demel, J.; Park, S.-E.; Cejka, J.; Stepnicka, P. The use of palladium nanoparticles supported with MCM-41 and basic (Al)MCM-41 mesoporous sieves in microwave-assisted Heck reaction. Catal. Today 2008, 132, 63–67. [Google Scholar] [CrossRef]
- Chatterjee, M.; Ishizaka, T.; Suzuki, T.; Suzuki, A.; Kawanami, H. In situ synthesized Pd nanoparticles supported on B-MCM-41: An efficient catalyst for hydrogenation of nitroaromatics in supercritical carbon dioxide. Green Chem. 2012, 14, 3415–3422. [Google Scholar] [CrossRef]
- Chatterjee, M.; Ishizaka, T.; Kawanami, H. Preparation and characterization of PdO nanoparticles on trivalent metal (B, Al and Ga) substituted MCM-41: Excellent catalytic activity in supercritical carbon dioxide. J. Colloid Interface Sci. 2014, 420, 15–26. [Google Scholar] [CrossRef] [PubMed]
- Yan, K.; Lafleur, T.; Jarvis, C.; Wu, G. Clean and selective production of γ-valerolactone from biomass-derived levulinic acid catalyzed by recyclable Pd nanoparticle catalyst. J. Clean. Prod. 2014, 72, 230–232. [Google Scholar] [CrossRef]
- Wang, A.; Lu, Y.; Yi, Z.; Ejaz, A.; Hu, K.; Zhang, L.; Yan, K. Selective Production of g -Valerolactone and Valeric Acid in One-Pot Bifunctional Metal Catalysts. ChemistrySelect 2018, 1097–1101. [Google Scholar] [CrossRef]
- Ivashchenko, N.A.; Gac, W.; Tertykh, V.A.; Yanishpolskii, V.V.; Khainakov, S.A.; Dikhtiarenko, A.V.; Pasieczna-Patkowska, S.; Zawadzki, W. Preparation, characterization and catalytic activity of palladium nanoparticles embedded in the mesoporous silica matrices. World J. Nano Sci. Eng. 2012, 2, 117–125. [Google Scholar] [CrossRef]
- Chu, X.; Wang, C.; Guo, L.; Chi, Y.; Gao, X.; Yang, X. Mesoporous silica supported Au nanoparticles with controlled size as efficient heterogeneous catalyst for aerobic oxidation of alcohols. J. Chem. 2015, 2015. [Google Scholar] [CrossRef]
- Xu, J.; Qu, Z.; Wang, Y.; Huang, B. HCHO oxidation over highly dispersed Au nanoparticles supported on mesoporous silica with superior activity and stability. Catal. Today 2018. [Google Scholar] [CrossRef]
- Finashina, E.D.; Tkachenko, O.P.; Startseva, A.Y.; Redina, E.A.; Krasovsky, V.G.; Kustov, L.M.; Beletskaya, I.P. Intramolecular hydroamination of 2-(2-phenylethynyl)aniline catalyzed by gold nanoparticles. Russ. Chem. Bull. 2015, 64, 2821–2829. [Google Scholar] [CrossRef]
- Mukherjee, P.; Patra, C.R.; Kumar, R.; Sastry, M. Entrapment and catalytic activity of gold nanoparticles in amine-functionalized MCM-41 matrices synthesized by spontaneous reduction of aqueous chloroaurate ions. PhysChemComm 2001, 4, 24–25. [Google Scholar] [CrossRef]
- Patra, C.R.; Ghosh, A.; Mukherjee, P.; Sastry, M.; Kumar, R. Formation and stabilization of gold nanoparticles in organo-functionalized MCM-41 mesoporous materials and their catalytic applications. Stud. Surf. Sci. Catal. 2002, 141, 641–646. [Google Scholar]
- Joseph, T.; Kumar, K.V.; Ramaswamy, A.V.; Halligudi, S.B. Au-Pt nanoparticles in amine functionalized MCM-41: Catalytic evaluation in hydrogenation reactions. Catal. Commun. 2007, 8, 629–634. [Google Scholar] [CrossRef]
- Chilukuri, S.; Joseph, T.; Malwadkar, S.; Damle, C.; Halligudi, S.B.; Rao, B.S.; Sastry, M.; Ratnasamy, P. Au and Au-Pt bimetallic nanoparticles in MCM-41 materials: Applications in CO preferential oxidation. Stud. Surface Sci. Catal. 2002, 146, 573–576. [Google Scholar] [CrossRef]
- Yen, C.W.; Lin, M.L.; Wang, A.; Chen, S.A.; Chen, J.M.; Mou, C.Y. CO oxidation catalyzed by Au-Ag bimetallic nanoparticles supported in mesoporous silica. J. Phys. Chem. C 2009, 113, 17831–17839. [Google Scholar] [CrossRef]
- Wang, A.; Hsieh, Y.P.; Chen, Y.F.; Mou, C.Y. Au-Ag alloy nanoparticle as catalyst for CO oxidation: Effect of Si/Al ratio of mesoporous support. J. Catal. 2006, 237, 197–206. [Google Scholar] [CrossRef]
- Wang, A.Q.; Chang, C.M.; Mou, C.Y. Evolution of catalytic activity of Au-Ag bimetallic nanoparticles on mesoporous support for CO oxidation. J. Phys. Chem. B 2005, 109, 18860–18867. [Google Scholar] [CrossRef]
- Torres, C.C.; Alderete, J.B.; Pecchi, G.; Campos, C.H.; Reyes, P.; Pawelec, B.; Vaschetto, E.G.; Eimer, G.A. Heterogeneous hydrogenation of nitroaromatic compounds on gold catalysts: Influence of titanium substitution in MCM-41 mesoporous supports. Appl. Catal. A Gen. 2016, 517, 110–119. [Google Scholar] [CrossRef]
- Mori, K.; Araki, T.; Shironita, S.; Sonoda, J.; Yamashita, H. Supported Pd and PdAu nanoparticles on Ti-MCM-41 prepared by a photo-assisted deposition method as efficient catalysts for direct synthesis of H2O2 from H2 and O2. Catal. Lett. 2009, 131, 337–343. [Google Scholar] [CrossRef]
- Tang, Z.; Fiorilli, S.L.; Heeres, H.J.; Pescarmona, P.P. Multifunctional Heterogeneous Catalysts for the Selective Conversion of Glycerol into Methyl Lactate. ACS Sustain. Chem. Eng. 2018, 6, 10923–10933. [Google Scholar] [CrossRef] [PubMed]
- Ye, M.; Tao, Y.; Jin, F.; Ling, H.; Wu, C.; Williams, P.T.; Huang, J. Enhancing hydrogen production from the pyrolysis-gasification of biomass by size-confined Ni catalysts on acidic MCM-41 supports. Catal. Today 2018, 307, 154–161. [Google Scholar] [CrossRef]
- Moussa, S.; Arribas, M.A.; Concepcion, P.; Martinez, A. Heterogeneous oligomerization of ethylene to liquids on bifunctional Ni-based catalysts: The influence of support properties on nickel speciation and catalytic performance. Catal. Today 2016, 277, 78–88. [Google Scholar] [CrossRef]
- Al-Fatesh, A.; Ibrahim, A.; Abu-Dahrieh, J.; Al-Awadi, A.; El-Toni, A.; Fakeeha, A.; Abasaeed, A. Gallium-Promoted Ni Catalyst Supported on MCM-41 for Dry Reforming of Methane. Catalysts 2018, 8, 229. [Google Scholar] [CrossRef]
- Wang, X.; Zhu, L.; Liu, Y.; Wang, S. CO2 methanation on the catalyst of Ni/MCM-41 promoted with CeO2. Sci. Total Environ. 2018, 625, 686–695. [Google Scholar] [CrossRef] [PubMed]
- Pirouzmand, M.; Asadi, M.; Mohammadi, A. The remarkable activity of template-containing Mg/MCM-41 and Ni/MCM-41 in CO2 sequestration. Greenh. Gases Sci. Technol. 2018, 8, 462–468. [Google Scholar] [CrossRef]
- Ning, X.; Lu, Y.; Fu, H.; Wan, H.; Xu, Z.; Zheng, S. Template-Mediated Ni(II) Dispersion in Mesoporous SiO2 for Preparation of Highly Dispersed Ni Catalysts: Influence of Template Type. ACS Appl. Mater. Interfaces 2017, 9, 19335–19344. [Google Scholar] [CrossRef]
- Carrillo, A.I.; Schmidt, L.C.; Marin, M.L.; Scaiano, J.C. Mild synthesis of mesoporous silica supported ruthenium nanoparticles as heterogeneous catalysts in oxidative Wittig coupling reactions. Catal. Sci. Technol. 2014, 4, 435–440. [Google Scholar] [CrossRef]
- Mondal, D.K.; Mondal, C.; Roy, S. Catalytic wet air oxidation of aqueous solution of phenol in a fixed bed reactor over Ru catalysts supported on ceria promoted MCM-41. RSC Adv. 2016, 6, 114383–114395. [Google Scholar] [CrossRef]
- Zarrabi, M.; Entezari, M.H.; Goharshadi, E.K. Photocatalytic oxidative desulfurization of dibenzothiophene by C/TiO2@MCM-41 nanoparticles under visible light and mild conditions. RSC Adv. 2015, 5, 34652–34662. [Google Scholar] [CrossRef]
- Magatani, Y.; Kuwahara, Y.; Nishizawa, K.; Yamashita, H. Dramatically Enhanced Phenol Degradation on Alkali Cation-Anchored TiO2/SiO2 Hybrids: Effect of Cation-π Interaction as a Diffusion-Controlling Tool in Heterogeneous Catalysis. ChemistrySelect 2017, 2, 4332–4337. [Google Scholar] [CrossRef]
- Lin, K.; Pescarmona, P.P.; Houthoofd, K.; Liang, D.; Van Tendeloo, G.; Jacobs, P.A. Direct room-temperature synthesis of methyl-functionalized Ti-MCM-41 nanoparticles and their catalytic performance in epoxidation. J. Catal. 2009, 263, 75–82. [Google Scholar] [CrossRef]
- Astruc, D.; Lu, F.; Aranzaes, J.R. Nanoparticles as Recyclable Catalysts: The Frontier between Homogeneous and Heterogeneous Catalysis. Angew. Chem. Int. Ed. 2005, 44, 7852–7872. [Google Scholar] [CrossRef]
- Sharma, R.K.; Yadav, M.; Gawande, M.B. Silica-Coated Magnetic Nano-Particles: Application in Catalysis. In Ferrites and Ferrates: Chemistry and Applications in Sustainable Energy and Envirnomental Remediation; American Chemical Society: Washington, DC, USA, 2016; pp. 1–38. [Google Scholar]
- Rossi, L.M.; Costa, N.J.S.; Silva, F.P.; Wojcieszak, R. Magnetic nanomaterials in catalysis: Advanced catalysts for magnetic separation and beyond. Green Chem. 2014, 16, 2906–2933. [Google Scholar] [CrossRef]
- Gawande, M.B.; Monga, Y.; Zboril, R.; Sharma, R.K. Silica-decorated magnetic nanocomposites for catalytic applications. Coord. Chem. Rev. 2015, 288, 118–143. [Google Scholar] [CrossRef]
- Zhu, K.; Ju, Y.; Xu, J.; Yang, Z.; Gao, S.; Hou, Y. Magnetic Nanomaterials: Chemical Design, Synthesis, and Potential Applications. Acc. Chem. Res. 2018, 51, 404–413. [Google Scholar] [CrossRef] [PubMed]
- Kudr, J.; Haddad, Y.; Richtera, L.; Heger, Z.; Cernak, M.; Adam, V.; Zitka, O. Magnetic Nanoparticles: From Design and Synthesis to Real World Applications. Nanomaterials 2017, 7, 243. [Google Scholar] [CrossRef]
- Ali, A.; Zafar, H.; Zia, M.; ul Haq, I.; Phull, A.R.; Ali, J.S.; Hussain, A. Synthesis, characterization, applications, and challenges of iron oxide nanoparticles. Nanotechnol. Sci. Appl. 2016, 9, 49–67. [Google Scholar] [CrossRef]
- Gotić, M.; Jurkin, T.; Musić, S. Factors that may influence the micro-emulsion synthesis of nanosize magnetite particles. Colloid Polym. Sci. 2007, 285, 793–800. [Google Scholar] [CrossRef]
- Zhou, Z.H.; Wang, J.; Liu, X.; Chan, H.S.O. Synthesis of Fe3O4 nanoparticles from emulsions. J. Mater. Chem. 2001, 11, 1704–1709. [Google Scholar] [CrossRef]
- Yu, W.W.; Falkner, J.C.; Yavuz, C.T.; Colvin, V.L. Synthesis of monodisperse iron oxide nanocrystals by thermal decomposition of iron carboxylate salts. Chem. Commun. 2004, 20, 2306–2307. [Google Scholar] [CrossRef] [PubMed]
- Nedkov, I.; Merodiiska, T.; Slavov, L.; Vandenberghe, R.E.; Kusano, Y.; Takada, J. Surface oxidation, size and shape of nano-sized magnetite obtained by co-precipitation. J. Magn. Magn. Mater. 2006, 300, 358–367. [Google Scholar] [CrossRef]
- Utkan, G.G.; Sayar, F.; Batat, P.; Ide, S.; Kriechbaum, M.; Pişkin, E. Synthesis and characterization of nanomagnetite particles and their polymer coated forms. J. Colloid Interface Sci. 2011, 353, 372–379. [Google Scholar] [CrossRef] [PubMed]
- Mizutani, N.; Iwasaki, T.; Watano, S.; Yanagida, T.; Tanaka, H.; Kawai, T. Effect of ferrous/ferric ions molar ratio on reaction mechanism for hydrothermal synthesis of magnetite nanoparticles. Bull. Mater. Sci. 2008, 31, 713–717. [Google Scholar] [CrossRef]
- Daou, T.J.; Pourroy, G.; Bégin-Colin, S.; Grenèche, J.M.; Ulhaq-Bouillet, C.; Legaré, P.; Bernhardt, P.; Leuvrey, C.; Rogez, G. Hydrothermal Synthesis of Monodisperse Magnetite Nanoparticles. Chem. Mater. 2006, 18, 4399–4404. [Google Scholar] [CrossRef]
- Zhang, H.; Zhong, X.; Xu, J.-J.; Chen, H.-Y. Fe3O4/Polypyrrole/Au Nanocomposites with Core/Shell/Shell Structure: Synthesis, Characterization, and Their Electrochemical Properties. Langmuir 2008, 24, 13748–13752. [Google Scholar] [CrossRef] [PubMed]
- Bourlinos, A.B.; Simopoulos, A.; Boukos, N.; Petridis, D. Magnetic modification of the external surfaces in the MCM-41 porous silica: Synthesis, characterization, and functionalization. J. Phys. Chem. B 2001, 105, 7432–7437. [Google Scholar] [CrossRef]
- Arruebo, M.; Ho, W.Y.; Lam, K.F.; Chen, X.; Arbiol, J.; Santamaría, J.; Yeung, K.L. Preparation of Magnetic Nanoparticles Encapsulated by an Ultrathin Silica Shell via Transformation of Magnetic Fe-MCM-41. Chem. Mater. 2008, 20, 486–493. [Google Scholar] [CrossRef]
- Zhang, L.; Papaefthymiou, G.C.; Ying, J.Y. Synthesis and Properties of γ-Fe2O3 Nanoclusters within Mesoporous Aluminosilicate Matrices. J. Phys. Chem. B 2001, 105, 7414–7423. [Google Scholar] [CrossRef]
- Shokouhimehr, M.; Piao, Y.; Kim, J.; Jang, Y.; Hyeon, T. A Magnetically Recyclable Nanocomposite Catalyst for Olefin Epoxidation. Angew. Chem. 2007, 119, 7169–7173. [Google Scholar] [CrossRef]
- MacLachlan, M.J.; Ginzburg, M.; Coombs, N.; Raju, N.P.; Greedan, J.E.; Ozin, G.A.; Manners, I. Superparamagnetic Ceramic Nanocomposites: Synthesis and Pyrolysis of Ring-Opened Poly(ferrocenylsilanes) inside Periodic Mesoporous Silica. J. Am. Chem. Soc. 2000, 122, 3878–3891. [Google Scholar] [CrossRef]
- Mori, K.; Kondo, Y.; Morimoto, S.; Yamashita, H. Synthesis and Multifunctional Properties of Superparamagnetic Iron Oxide Nanoparticles Coated with Mesoporous Silica Involving Single-Site Ti−Oxide Moiety. J. Phys. Chem. C 2008, 112, 397–404. [Google Scholar] [CrossRef]
- Alvaro, M.; Aprile, C.; Garcia, H.; Gómez-García, C.J. Synthesis of a Hydrothermally Stable, Periodic Mesoporous Material Containing Magnetite Nanoparticles, and the Preparation of Oriented Films. Adv. Funct. Mater. 2006, 16, 1543–1548. [Google Scholar] [CrossRef]
- Chen, X.; Lam, K.F.; Zhang, Q.; Pan, B.; Arruebo, M.; Yeung, K.L. Synthesis of Highly Selective Magnetic Mesoporous Adsorbent. J. Phys. Chem. C 2009, 113, 9804–9813. [Google Scholar] [CrossRef]
- Zanardi, F.B.; Barbosa, I.A.; de Sousa Filho, P.C.; Zanatta, L.D.; da Silva, D.L.; Serra, O.A.; Iamamoto, Y. Manganese porphyrin functionalized on Fe3O4@n SiO2@MCM-41 magnetic composite: Structural characterization and catalytic activity as cytochrome P450 model. Microporous Mesoporous Mater. 2016, 219, 161–171. [Google Scholar] [CrossRef]
- Shadjou, N.; Hasanzadeh, M. Amino functionalized mesoporous silica decorated with iron oxide nanoparticles as a magnetically recoverable nanoreactor for the synthesis of a new series of 2,4-diphenylpyrido[4,3-d]pyrimidines. RSC Adv. 2014, 4, 18117–18126. [Google Scholar] [CrossRef]
- Rostamizadeh, S.; Shadjou, N.; Isapoor, E.; Hasanzadeh, M. Catalytic activity of (Fe2O3)-MCM-41-nPrNH2 magnetically recoverable nanocatalyst for the synthesis of phenylpyrido[4,3-d]pyrimidins. J. Nanosci. Nanotechnol. 2013, 13, 4925–4933. [Google Scholar] [CrossRef]
- Khorshidi, A.; Shariati, S. Sulfuric acid functionalized MCM-41 coated on magnetite nanoparticles as a recyclable core-shell solid acid catalyst for three-component condensation of indoles, aldehydes and thiols. RSC Adv. 2014, 4, 41469–41475. [Google Scholar] [CrossRef]
- Rostamizadeh, S.; Azad, M.; Shadjou, N.; Hasanzadeh, M. (α-Fe2O3)-MCM-41-SO3H as a novel magnetic nanocatalyst for the synthesis of N-aryl-2-amino-1,6-naphthyridine derivatives. Catal. Commun. 2012, 25, 83–91. [Google Scholar] [CrossRef]
- Saadatjoo, N.; Golshekan, M.; Shariati, S.; Kefayati, H.; Azizi, P. Organic/inorganic MCM-41 magnetite nanocomposite as a solid acid catalyst for synthesis of benzo[α]xanthenone derivatives. J. Mol. Catal. A Chem. 2013, 377, 173–179. [Google Scholar] [CrossRef]
- Cai, Z.; Shu, C.; Peng, Y. Magnetically recoverable nano-sized mesoporous solid acid. Effective catalysts for the synthesis of 1-amidoalkyl-2-naphthols. Monatsh. Chem. 2014, 145, 1681–1687. [Google Scholar] [CrossRef]
- Campisciano, V.; Giacalone, F.; Gruttadauria, M. Supported Ionic Liquids: A Versatile and Useful Class of Materials. Chem. Rec. 2017, 17, 918–938. [Google Scholar] [CrossRef] [PubMed]
- Riisagera, A.; Fehrmanna, R.; Haumannb, M.; Wasserscheidb, P. Supported ionic liquids: Versatile reaction and separation media. Top. Catal. 2006, 40, 91–102. [Google Scholar] [CrossRef]
- Valkenberg, M.H.; DeCastro, C.; Hölderich, W.F. Immobilisation of ionic liquids on solid supports. Green Chem. 2002, 4, 88–93. [Google Scholar] [CrossRef]
- Kefayati, H.; Kohankar, A.M.; Ramzanzadeh, N.; Shariati, S.; Bazargard, S.J. Synthesis of spiro[benzochromeno[2,3-d]pyrimidin-indolines] using Fe3O4@MCM-41-SO3H@[HMIm][HSO4] as a magnetically separable nanocatalyst. J. Mol. Liq. 2015, 209, 617–624. [Google Scholar] [CrossRef]
- Rostamizadeh, S.; Zekri, N. An efficient, one-pot synthesis of 2-amino-4H-chromenes catalyzed by (α-Fe2O3)-MCM-41-supported dual acidic ionic liquid as a novel and recyclable magnetic nanocatalyst. Res. Chem. Intermed. 2016, 42, 2329–2341. [Google Scholar] [CrossRef]
- Nakagaki, S.; Ferreira, G.; Marcalb, A.; Ciuffi, K. Metalloporphyrins Immobilized on Silica and Modified Silica as Catalysts in Heterogeneous Processes. Curr. Org. Synth. 2014, 11, 67–88. [Google Scholar] [CrossRef]
- Hajian, R.; Ehsanikhah, A. Manganese porphyrin immobilized on magnetic MCM-41 nanoparticles as an efficient and reusable catalyst for alkene oxidations with sodium periodate. Chem. Phys. Lett. 2018, 691, 146–154. [Google Scholar] [CrossRef]
- Rayati, S.; Abdolalian, P. Heterogenization of a molybdenum Schiff base complex as a magnetic nanocatalyst: An eco-friendly, efficient, selective and recyclable nanocatalyst for the oxidation of alkenes. C. R. Chim. 2013, 16, 814–820. [Google Scholar] [CrossRef]
- Fernandes, C.I.; Stenning, G.B.; Taylor, J.D.; Nunes, C.D.; D. Vaz, P. Helical Channel Mesoporous Materials with Embedded Magnetic Iron Nanoparticles: Chiral Recognition and Implications in Asymmetric Olefin Epoxidation. Adv. Synth. Catal. 2015, 357, 3127–3140. [Google Scholar] [CrossRef]
- Nikoorazm, M.; Ghorbani, F.; Ghorbani-Choghamarani, A.; Erfani, Z. Synthesis and characterization of a Pd(0) Schiff base complex anchored on magnetic nanoporous MCM-41 as a novel and recyclable catalyst for Suzuki and Heck reactions under green conditions. Chin. J. Catal. 2017, 38, 1413–1422. [Google Scholar] [CrossRef]
- Nikoorazm, M.; Ghorbani, F.; Ghorbani-Choghamarani, A.; Erfani, Z. Pd(0)-S-propyl-2-aminobenzothioate immobilized onto functionalized magnetic nanoporous MCM-41 as efficient and recyclable nanocatalyst for the Suzuki, Stille and Heck cross coupling reactions. Appl. Organomet. Chem. 2018, 32. n/a. [Google Scholar] [CrossRef]
- Chen, H.; Zhang, P.; Tan, W.; Jiang, F.; Tang, R. Palladium supported on amino functionalized magnetic MCM-41 for catalytic hydrogenation of aqueous bromate. RSC Adv. 2014, 4, 38743–38749. [Google Scholar] [CrossRef]
- Rostamizadeh, S.; Estiri, H.; Azad, M. Au anchored to (α-Fe2O3)-MCM-41-HS as a novel magnetic nanocatalyst for water-medium and solvent-free alkyne hydration. Catal. Commun. 2014, 57, 29–35. [Google Scholar] [CrossRef]
- Rostamizadeh, S.; Estiri, H.; Azad, M. Ullmann homocoupling of aryl iodides catalyzed by gold nanoparticles stabilized on magnetic mesoporous silica. J. Iran. Chem. Soc. 2017, 14, 1005–1010. [Google Scholar] [CrossRef]
- Bian, J.; Zhang, Q.; Zhang, P.; Feng, L.; Li, C. Supported Fe2O3 nanoparticles for catalytic upgrading of microalgae hydrothermal liquefaction derived bio-oil. Catal. Today 2017, 293–294, 159–166. [Google Scholar] [CrossRef]
- Miguel-Sancho, N.; Martinez, G.; Sebastian, V.; Malumbres, A.; Florea, I.; Arenal, R.; Ortega-Liebana, M.C.; Hueso, J.L.; Santamaria, J. Pumping Metallic Nanoparticles with Spatial Precision within Magnetic Mesoporous Platforms: 3D Characterization and Catalytic Application. ACS Appl. Mater. Interfaces 2017, 9, 41529–41536. [Google Scholar] [CrossRef]
- Shao, Y.B.; Jing, T.; Tian, J.Z.; Zheng, Y.J.; Shang, M.H. Characterization and optimization of mesoporous magnetic nanoparticles for immobilization and enhanced performance of porcine pancreatic lipase. Chem. Pap. 2015, 69, 1298–1311. [Google Scholar] [CrossRef]
- Xie, W.; Zang, X. Immobilized lipase on core–shell structured Fe3O4–MCM-41 nanocomposites as a magnetically recyclable biocatalyst for interesterification of soybean oil and lard. Food Chem. 2016, 194, 1283–1292. [Google Scholar] [CrossRef]
- Ulu, A.; Noma, S.A.A.; Koytepe, S.; Ates, B. Chloro-Modified Magnetic Fe3O4@MCM-41 Core–Shell Nanoparticles for L-Asparaginase Immobilization with Improved Catalytic Activity, Reusability, and Storage Stability. Appl. Biochem. Biotechnol. 2018. Ahead of Print. [Google Scholar] [CrossRef]
- Ulu, A.; Ozcan, I.; Koytepe, S.; Ates, B. Design of epoxy-functionalized Fe3O4@MCM-41 core–shell nanoparticles for enzyme immobilization. Int. J. Biol. Macromol. 2018, 115, 1122–1130. [Google Scholar] [CrossRef] [PubMed]
- Ulu, A.; Noma, S.A.A.; Koytepe, S.; Ates, B. Magnetic Fe3O4@MCM-41 core–shell nanoparticles functionalized with thiol silane for efficient l-asparaginase immobilization. Artif. Cells Nanomed. Biotechnol. 2018, 1–11. [Google Scholar] [CrossRef] [PubMed]





































































© 2018 by the authors. Licensee MDPI, Basel, Switzerland. This article is an open access article distributed under the terms and conditions of the Creative Commons Attribution (CC BY) license (http://creativecommons.org/licenses/by/4.0/).
Share and Cite
Martínez-Edo, G.; Balmori, A.; Pontón, I.; Martí del Rio, A.; Sánchez-García, D. Functionalized Ordered Mesoporous Silicas (MCM-41): Synthesis and Applications in Catalysis. Catalysts 2018, 8, 617. https://doi.org/10.3390/catal8120617
Martínez-Edo G, Balmori A, Pontón I, Martí del Rio A, Sánchez-García D. Functionalized Ordered Mesoporous Silicas (MCM-41): Synthesis and Applications in Catalysis. Catalysts. 2018; 8(12):617. https://doi.org/10.3390/catal8120617
Chicago/Turabian StyleMartínez-Edo, Gabriel, Alba Balmori, Iris Pontón, Andrea Martí del Rio, and David Sánchez-García. 2018. "Functionalized Ordered Mesoporous Silicas (MCM-41): Synthesis and Applications in Catalysis" Catalysts 8, no. 12: 617. https://doi.org/10.3390/catal8120617
APA StyleMartínez-Edo, G., Balmori, A., Pontón, I., Martí del Rio, A., & Sánchez-García, D. (2018). Functionalized Ordered Mesoporous Silicas (MCM-41): Synthesis and Applications in Catalysis. Catalysts, 8(12), 617. https://doi.org/10.3390/catal8120617

