Novel Fe‐W‐Ce Mixed Oxide for the Selective Catalytic Reduction of NOx with NH3 at Low Temperatures
Abstract
:1. Introduction
2. Results
2.1. Activity Measurement
2.2. BET and XRD
2.3. Raman Characterization
2.4. UV-Vis Diffuse Reflectance Spectroscopy
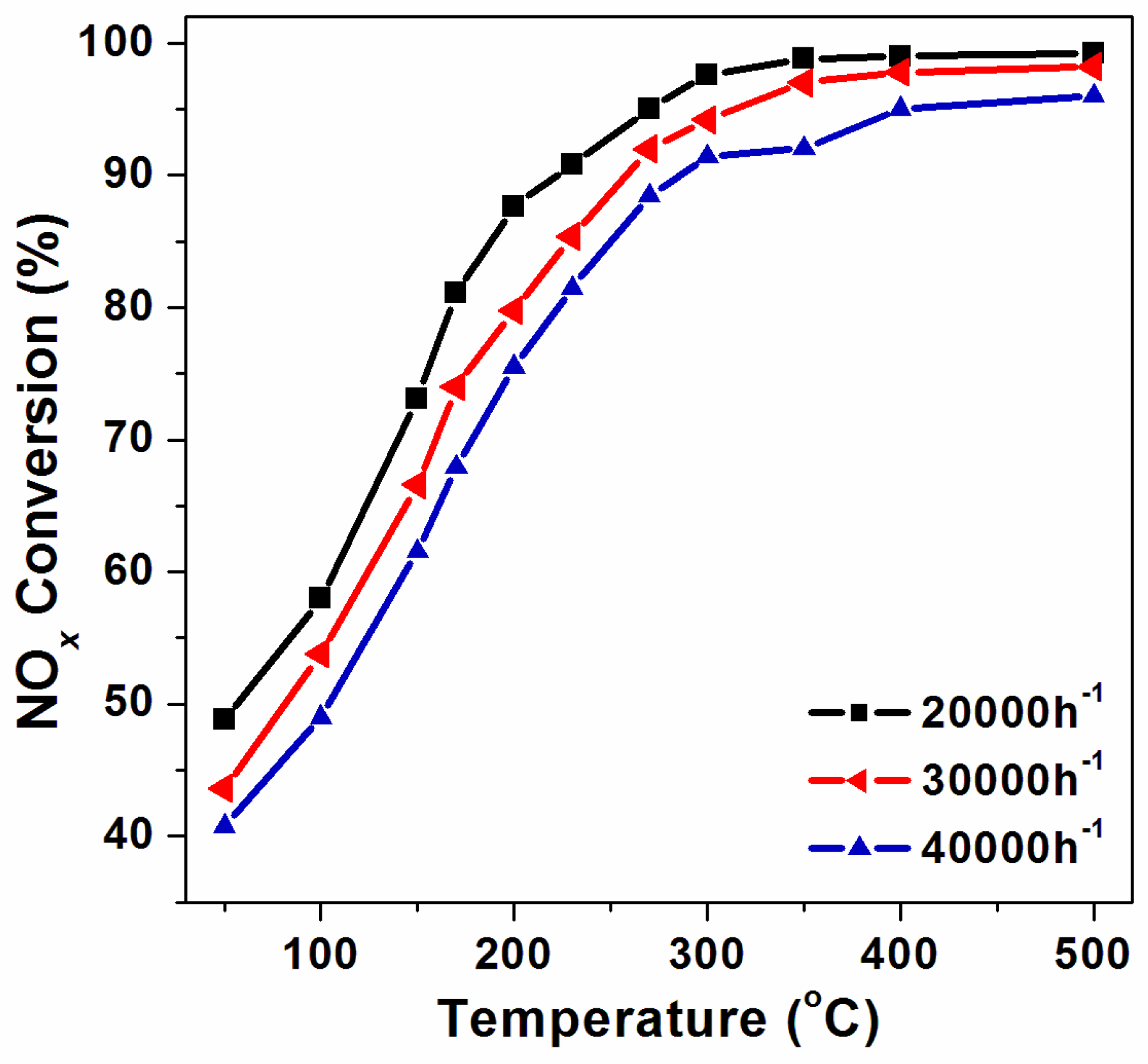
2.5. Influence of GHSV and NH3/NO Ratio
2.6. Influence of SO2 and H2O
3. Discussion
4. Materials and Methods
4.1. Catalyst Preparation
4.2. Catalyst Characterization
4.3. Activity Measurement
5. Conclusions
Supplementary Materials
Acknowledgments
Author Contributions
Conflicts of Interest
References
- Parvulescu, V.; Grange, P.; Delmon, B. Catalytic removal of NO. Catal. Today 1998, 46, 233–316. [Google Scholar] [CrossRef]
- Qi, G.; Yang, R. Low-temperature selective catalytic reduction of NO with NH3 over iron and manganese oxides supported on titania. Appl. Catal. B 2003, 44, 217–225. [Google Scholar] [CrossRef]
- Alemany, J.; Lietti, L.; Ferlazzo, N.; Forzatti, P.; Busca, G.; Ramis, G.; Giamello, E.; Bregani, F. Reactivity and physicochemical characterisation of V2O5-WO3/TiO2 De-NOx catalysts. J. Catal. 1995, 155, 117–130. [Google Scholar] [CrossRef]
- Kamata, H.; Takahashi, K.; Odenbrand, C. The role of K2O in the selective reduction of NO with NH3 over a V2O5(WO3)/TiO2 commercial selective catalytic reduction catalyst. J. Mol. Catal. A 1999, 139, 189–198. [Google Scholar] [CrossRef]
- Lee, S.; Park, K.; Kim, S.; Kwon, D.; Hong, S. Effect of the Mn oxidation state and lattice oxygen in Mn-based TiO2 catalysts on the low-temperature selective catalytic reduction of NO by NH3. J. Air Waste Manag. Assoc. 2012, 62, 1085–1092. [Google Scholar] [CrossRef] [PubMed]
- Eigenmann, F.; Maciejewski, M.; Baiker, A. Selective reduction of NO by NH3 over manganese-cerium mixed oxides: Relation between adsorption, redox and catalytic behavior. Appl. Catal. B 2006, 62, 311–318. [Google Scholar] [CrossRef]
- Shu, Y.; Tanana, A.; Quan, X.; Chen, S.; Yu, H.T. Selective catalytic reaction of NOx with NH3 over Ce-Fe/TiO2-loaded wire-mesh honeycomb: Resistance to SO2 poisoning. Appl. Catal. B 2014, 150–151, 630–635. [Google Scholar] [CrossRef]
- Guo, R.T.; Zhen, W.L.; Pan, W.G.; Zhou, Y.; Hong, J.N.; Xu, H.J.; Jin, Q.; Ding, C.G.; Guo, S.Y. Effect of Cu doping on the SCR activity of CeO2 catalyst prepared by citric acid method. J. Ind. Eng. Chem. 2014, 20, 1577–1580. [Google Scholar] [CrossRef]
- Qu, R.; Gao, X.; Cen, K.; Li, J. Relationship between structure and performance of a novel cerium-niobium binary oxide catalyst for selective catalytic reduction of NO with NH3. Appl. Catal. B 2013, 142–143, 290–297. [Google Scholar] [CrossRef]
- Mousavi, S.; Niaei, A.; Gómez, M.; Salari, D.; Panahi, P.; Abaladejo-Fuentes, V. Characterization and activity of alkaline earth metals loaded CeO2-MOx (M = Mn, Fe) mixed oxides in catalytic reduction of NO. Mater. Chem. Phys. 2014, 3, 921–928. [Google Scholar] [CrossRef]
- Li, X.; Li, Y.; Deng, S.; Rong, T. A Ce-Sn-Ox catalyst for the selective catalytic reduction of NOx with NH3. Catal. Commun. 2013, 40, 47–50. [Google Scholar] [CrossRef]
- Zhang, T.; Qu, R.; Su, W.; Li, J. A novel Ce-Ta mixed oxide catalyst for the selective catalytic reduction of NOx with NH3. Appl. Catal. B 2015, 176–177, 338–346. [Google Scholar] [CrossRef]
- Wang, X.; Gui, K. Fe2O3 particles as superior catalysts for low temperature selective catalytic reduction of NO with NH3. J. Environ. Sci. 2013, 12, 2469–2475. [Google Scholar] [CrossRef]
- Shen, B.; Liu, T.; Zhao, N.; Yang, X.; Deng, L. Iron-doped Mn-Ce/TiO2 catalyst for low temperature selective catalytic reduction of NO with NH3. J. Environ. Sci. 2010, 9, 1447–1454. [Google Scholar] [CrossRef]
- Liu, C.; Chen, L.; Li, J.; Ma, L.; Arandiyan, H.; Du, Y.; Xu, J.; Hao, J. Enhancement of activity and sulfur resistance of CeO2 supported on TiO2-SiO2 for the selective catalytic reduction of NO by NH3. Environ. Sci. Technol. 2012, 11, 6182–6189. [Google Scholar] [CrossRef] [PubMed]
- Liu, J.; Li, Y.; Ke, J.; Wang, Z.; Xiao, H.N. Synergically improving light harvesting and charge transportation of TiO2 nanobelts by deposition of MoS2 for enhanced photocatalytic removal of Cr(VI). Catalysts 2017, 7, 30. [Google Scholar] [CrossRef]
- Shan, W.; Liu, F.; He, H.; Shi, X.; Zhang, C. Novel cerium-tungsten mixed oxide catalyst for the selective catalytic reduction of NOx with NH3. Chem. Commun. 2011, 47, 8046–8048. [Google Scholar] [CrossRef] [PubMed]
- Nie, J.; Wu, X.; Ma, Z.; Xu, T.; Si, Z.; Chen, L.; Weng, D. Tailored temperature window of MnOx-CeO2 SCR catalyst by addition of acidic metal oxides. Chin. J. Catal. 2014, 35, 1281–1288. [Google Scholar] [CrossRef]
- Kwon, D.; Nam, K.; Hong, S. Influence of tungsten on the activity of a Mn/Ce/W/Ti catalyst for the selective catalytic reduction of NO with NH3 at low temperatures. Appl. Catal. A 2015, 497, 160–166. [Google Scholar] [CrossRef]
- Jiang, Y.; Xing, Z.; Wang, X.; Huang, S.; Wang, X.; Liu, Q. Activity and characterization of a Ce-W-Ti oxide catalyst prepared by a single step sol-gel method for selective catalytic reduction of NO with NH3. Fuel 2015, 151, 124–129. [Google Scholar] [CrossRef]
- Li, P.; Xin, Y.; Li, Q.; Wang, Z.; Zhang, Z.; Zheng, L. Ce-Ti amorphous oxides for selective catalytic reduction of NO with NH3: Confirmation of Ce-O-Ti active sites. Environ. Sci. Technol. 2012, 17, 9600–9605. [Google Scholar] [CrossRef] [PubMed]
- Ke, J.; Liu, J.; Sun, H.Q.; Zhang, H.Y.; Duan, X.G.; Liang, P.; Li, X.Y.; Moses, O.T.; Liu, S.M.; Wang, S.B. Facile assembly of Bi2O3/Bi2S3/MoS2n-p heterojunction with layered n-Bi2O3 and p-MoS2 for enhanced photocatalytic water oxidation and pollutant degradation. Appl. Catal. B 2017, 200, 47–55. [Google Scholar] [CrossRef]
- Xing, W.; Qian, K.; Dao, L. Catalytic combustion of chlorobenzene over MnOx-CeO2 mixed oxide catalysts. Appl. Catal. B 2009, 86, 166–175. [Google Scholar] [CrossRef]
- Liu, F.; He, H.; Zhang, C.; Feng, Z.; Zheng, L.; Xie, Y.; Hu, T. Selective catalytic reduction of NO with NH3 over iron titanate catalyst: Catalytic performance and characterization. Appl. Catal. B 2010, 96, 408–420. [Google Scholar] [CrossRef]
- Liu, F.; He, H.; Ding, Y.; Zhang, C. Effect of manganese substitution on the structure and activity of iron titanate catalyst for the selective catalytic reduction of NO with NH3. Appl. Catal. B 2009, 93, 194–204. [Google Scholar] [CrossRef]
- Peña, D.; Uphade, B.; Smirniotis, P. TiO2-supported metal oxide catalysts for low-temperature selective catalytic reduction of NO with NH3. I. Evaluation and characterization of first row transition metals. J. Catal. 2004, 221, 421–431. [Google Scholar] [CrossRef]
- Wang, Z.; Qu, Z.P.; Quan, X.; Wang, H. Selective catalytic oxidation of ammonia to nitrogen over ceria-zirconia mixed oxides. Appl. Catal. A 2012, 411–412, 131–138. [Google Scholar] [CrossRef]
- Xu, J.; Li, P.; Song, X.; He, C.; Yu, J.; Han, Y. Operando Raman spectroscopy for determining the active phase in one-dimensional Mn1−xCexO2±y nanorod catalysts during methane combustion. J. Phys. Chem. Lett. 2010, 1, 1648–1654. [Google Scholar] [CrossRef]
- Bensalem, A.; Verduraz, F.B.; Delamar, M.; Bugli, G. Preparation and characterization of highly dispersed silica-supported ceria. Appl. Catal. A 1995, 121, 81–93. [Google Scholar] [CrossRef]
- Reddy, B.M.; Rao, K.N.; Bharali, P. Copper promoted cobalt and nickel catalysts supported on ceria-alumina mixed oxide: Structural characterization and CO oxidation activity. Ind. Eng. Chem. Res. 2009, 48, 8478–8486. [Google Scholar] [CrossRef]
- Liu, L.; Yao, Z.; Deng, Y.; Gao, F.; Liu, B.; Dong, L. Morphology and crystal-plane effects of nanoscale ceria on the activity of CuO/CeO2 for NO reduction by CO. ChemCatChem 2011, 3, 978–989. [Google Scholar] [CrossRef]
- Si, Z.; Wu, X.; Weng, D.; Ma, Z.; Ma, J. Tailored temperature window of CuOx/WOx-ZrO2 for NOx reduction via adjusting the calcination temperature of WOx-ZrO2. Mater. Chem. Phys. 2013, 138, 399–404. [Google Scholar] [CrossRef]
- Ma, Z.; Weng, D.; Wu, X.; Si, Z. Effects of WOx modification on the activity, adsorption and redox properties of CeO2 catalyst for NOx reduction with ammonia. J. Environ. Sci. 2012, 7, 1305–1316. [Google Scholar] [CrossRef]
- Hong, W.J.; Ueda, M.; Iwamoto, S.; Hosokawa, S.; Wada, K.; Kanai, H.; Deguchi, H.; Inoue, M. Effect of Fe content on physical properties of BaO-CeOx-FeOy catalysts for direct NO decomposition. Appl. Catal. B 2011, 106, 142–148. [Google Scholar] [CrossRef]
- Wang, C.; Yang, S.; Chang, H.; Peng, Y.; Li, J. Structural effects of iron spinel oxides doped with Mn, Co, Ni and Zn on selective catalytic reduction of NO with NH3. J. Mol. Catal. A 2013, 376, 13–21. [Google Scholar] [CrossRef]
- Yang, J.; Ma, H.; Yamamoto, Y.; Yu, J.; Xu, G.; Zhang, Z.; Suzuki, Y. SCR catalyst coated on low-cost monolith support for flue gas denitration of industrial furnaces. Chem. Eng. J. 2013, 230, 513–521. [Google Scholar] [CrossRef]
- Chen, L.; Li, J.; Ge, M. Promotional effect of Ce-doped V2O5-WO3/TiO2 with low vanadium loadings for selective catalytic reduction of NOx by NH3. J. Phys. Chem. C 2009, 113, 21177–21184. [Google Scholar] [CrossRef]
- Yu, M.; Li, C.; Zeng, G.; Zhou, Y.; Zhang, X.; Xie, Y. The selective catalytic reduction of NO with NH3 over a novel Ce-Sn-Ti mixed oxides catalyst: Promotional effect of SnO2. Appl. Surf. Sci. 2015, 342, 174–182. [Google Scholar] [CrossRef]
- Lee, S.; Park, K.; Hong, S. MnOx/CeO2-TiO2 mixed oxide catalysts for the selective catalytic reduction of NO with NH3 at low temperature. Chem. Eng. J. 2012, 195–196, 323–331. [Google Scholar] [CrossRef]
- Ma, Z.; Wu, X.; Feng, Y.; Si, Z.; Weng, D. Effects of WO3 doping on stability and N2O escape of MnOx-CeO2 mixed oxides as a low-temperature SCR catalyst. Catal. Commun. 2015, 69, 188–192. [Google Scholar] [CrossRef]
- Chen, L.; Si, Z.; Wu, X.; Weng, D.; Ran, R.; Yu, J. Rare earth containing catalysts for selective catalytic reduction of NOx with ammonia: A review. J. Rare Earths 2014, 10, 907–917. [Google Scholar] [CrossRef]
- Peng, Y.; Liu, Z.; Niu, X.; Zhou, L.; Fu, C.; Zhang, H.; Li, J.; Han, W. Manganese doped CeO2-WO3 catalysts for the selective catalytic reduction of NOx with NH3: An experimental and theoretical study. Catal. Commun. 2012, 19, 127–131. [Google Scholar] [CrossRef]
- Liu, C.; Chen, L.; Chang, H.; Ma, L.; Peng, Y.; Arandiyan, H.; Li, J. Characterization of CeO2-WO3 catalysts prepared by different methods for selective catalytic reduction of NOx with NH3. Catal. Commun. 2013, 40, 145–148. [Google Scholar] [CrossRef]








| Samples | BET Surface Area (m2/g) | Crystallite Size (nm) | Fe/W/Ce Molar Ratio a |
|---|---|---|---|
| W-Ce | 24.8 | 10.5 | 1.09:0.96 |
| Fe0.5-W-Ce | 39.4 | 5.4 | 0.61:1.03:1.06 |
| Fe1-W-Ce | 53.2 | 7.3 | 1.08:0.95:1.03 |
| Fe2-W-Ce | 77.0 | 12.8 | 2.12:1.03:1.10 |
| Samples | Reaction Conditions | Temperature (°C) | NOx Conversion (%) | References |
|---|---|---|---|---|
| Fe2O3 | 500 ppm NO, 500 ppm NH3, 3% O2, and balance N2 | 150 | 90 | [13] |
| Fe-Mn-Ce/TiO2 | 0.06 vol % NO, 0.06 vol % NH3, 3 vol % O2 and pure N2 in balance | 180 | 96 | [14] |
| Ce-W | 500 ppm NO, 500 ppm NH3, 5 vol % O2, balance N2 | 215 | 90 | [17] |
| WO3/CeO2 | 500 ppm NO, 500 ppm NH3, 5% O2 and N2 in balance | 190 | 90 | [33] |
| Co/Fe2O3 | [NO] = 500 ppm, [NH3] = 500 ppm, [O2] = 2 vol %, balance gas: N2 | 350 | 90 | [35] |
| Mn-CeO2-WO3 | 0.05% NO, 0.05% NH3, 3% O2, and in a N2 stream. | 185 | 90 | [42] |
| CeO2-WO3 | 500 ppm NO, 500 ppm NH3, 3 vol % O2 and balance in N2 | 290 | 90 | [43] |
© 2017 by the authors. Licensee MDPI, Basel, Switzerland. This article is an open access article distributed under the terms and conditions of the Creative Commons Attribution (CC BY) license ( http://creativecommons.org/licenses/by/4.0/).
Share and Cite
Stahl, A.; Wang, Z.; Schwämmle, T.; Ke, J.; Li, X. Novel Fe‐W‐Ce Mixed Oxide for the Selective Catalytic Reduction of NOx with NH3 at Low Temperatures. Catalysts 2017, 7, 71. https://doi.org/10.3390/catal7020071
Stahl A, Wang Z, Schwämmle T, Ke J, Li X. Novel Fe‐W‐Ce Mixed Oxide for the Selective Catalytic Reduction of NOx with NH3 at Low Temperatures. Catalysts. 2017; 7(2):71. https://doi.org/10.3390/catal7020071
Chicago/Turabian StyleStahl, Anna, Zhong Wang, Tobias Schwämmle, Jun Ke, and Xuebing Li. 2017. "Novel Fe‐W‐Ce Mixed Oxide for the Selective Catalytic Reduction of NOx with NH3 at Low Temperatures" Catalysts 7, no. 2: 71. https://doi.org/10.3390/catal7020071
APA StyleStahl, A., Wang, Z., Schwämmle, T., Ke, J., & Li, X. (2017). Novel Fe‐W‐Ce Mixed Oxide for the Selective Catalytic Reduction of NOx with NH3 at Low Temperatures. Catalysts, 7(2), 71. https://doi.org/10.3390/catal7020071
