Abstract
The use of catalytic ozonation processes (COPs) for the advanced treatment of recalcitrant petroleum refinery wastewater (RPRW) is rapidly expanding. In this study, magnesium (Mg), cerium (Ce), and Mg-Ce oxide-loaded alumina (Al2O3) were developed as cost efficient catalysts for ozonation treatment of RPRW, having performance metrics that meet new discharge standards. Interactions between the metal oxides and the Al2O3 support influence the catalytic properties, as well as the efficiency and mechanism. Mg-Ce/Al2O3 (Mg-Ce/Al2O3-COP) reduced the chemical oxygen demand by 4.7%, 4.1%, 6.0%, and 17.5% relative to Mg/Al2O3-COP, Ce/Al2O3-COP, Al2O3-COP, and single ozonation, respectively. The loaded composite metal oxides significantly increased the hydroxyl radical-mediated oxidation. Surface hydroxyl groups (–OHs) are the dominant catalytic active sites on Al2O3. These active surface –OHs along with the deposited metal oxides (Mg2+ and/or Ce4+) increased the catalytic activity. The Mg-Ce/Al2O3 catalyst can be economically produced, has high efficiency, and is stable under acidic and alkaline conditions.
1. Introduction
Petroleum refinery wastewater (PRW) contains high levels of oil and petroleum-derived chemicals [1]. Treatment of PRW prior to discharge is needed to minimize adverse impacts on human and environmental health. After physico-chemical and biological treatments, PRW effluents from treatment plants previously met the Wastewater Discharge Standard of China (GB 8978-1996). However, due to increased regulations, they currently do not meet the recently revised Emission Standard of Pollutants for the Petroleum Refining Industry of China (GB 31570-2015), and they now require additional treatments. Biological treatment strategies are not applicable toward PRW reclamation, as the chemicals of concern are often present in low concentration and are recalcitrant [2,3].
Catalytic ozonation processes (COPs) have been identified as efficient methods for the removal of recalcitrant chemicals [4,5]. A wide variety of catalysts are used during COPs for this purpose. However, synthesis and preparation are cost-intensive, limiting industrial applications. As economical supports, activated carbon (AC) and alumina (Al2O3) have good adsorption and catalytic performances [6,7,8,9]. Active components loaded onto AC and Al2O3 can further enhance the catalytic efficiency and result in better affordability. Metal oxides including manganese (Mn) [10], iron (Fe) [11], magnesium (Mg) [12], and cerium (Ce) [7,13] were found to significantly enhance chemical removal in wastewaters when deposited onto AC. The use of low-cost reclaimed carbon-containing wastes such as sewage sludge [14] and plastics [15] can make AC catalyst use cost-efficient. However, AC catalysts lack durability, strength, and stability, which reduce their application potential.
Al2O3 catalysts have shown excellent mechanical properties and catalytic efficiency [16,17]. The loading of metal oxides including Mn [18], Fe [19,20], nickel [21], and ruthenium [22] on Al2O3 has significantly increased the efficiency of ozonation for the treatment of recalcitrant compounds including pharmaceuticals, dimethyl phthalate, 4-dichlorophenoxy, propionic acid, nitrobenzene, and oxalic acid. Composite metal oxides loaded onto Al2O3 can also enhance catalytic activity relative to single metal oxides [23,24]. The use of Al-containing wastes such as red mud [25] and spent catalysts [26] as raw materials, and the development of efficient metallic catalysts can further increase cost efficiency. Ce oxides are widely used in COPs owing to their biological and chemical inertness, strong oxidation power, and cyclic usability [13,27]. Ce oxides doped or loaded on AC [13], red mud [25], SBA-15 [28], and MCM-41 [29] zeolites were effective at reducing pharmaceutical compounds, bezafibrate, dimethyl phthalate, and p-chlorobenzoic. MgO nanocrystals [30] and MgO-loaded granular AC [12] have also shown potential use for ozonation treatment and are effective for the treatment of azo dyes and catechol. However, Mg and/or Ce oxide-loaded Al2O3 as catalysts have not been previously reported for COP treatment of recalcitrant compounds. Furthermore, few studies have actually applied COPs toward the treatment of real recalcitrant PRW (RPRW) samples. Natural manganese sand ore was economical, but had low efficiency (35.7% removal of chemical oxygen demand (COD) for 90 min) [31]. The spent fluid catalytic cracking catalyst was cost-efficient, but it was difficult to maintain the catalytically active components [26].
Catalytic ozonation often involves a variety of oxidation mechanisms. Decomposition of ozone to more active hydroxyl radical (•OH) species and/or adsorbing chemicals to proximally react with dissolved ozone is the predominant catalytic mechanism that has the greatest impact [16,32]. Protonated surface hydroxyl groups (–OHs) on MnOx/SBA-15 promote •OHs generation, and thus enhance the ozonation of norfloxacin [33]. The formation of surface complexes such as cobalt(II)-carboxylic acid accelerates the removal of p-chlorobenzoic in cobalt(II) oxide-aided ozonation [34]. Lewis acid sites on β-FeOOH/Al2O3 are reactive centers for the ozonation of pharmaceuticals [35]. The surface basic groups on MgO enhance the transformation rate of ozone to •OHs during the ozonation of 4-chlorophenol [36]. TiO2/Al2O3 promotes the ozonation of oxalic acid by adsorbing oxalic acid and allowing it to directly react with ozone in solution in contrast to •OH-mediated oxidation [37]. Studies of COPs have currently been focused on model compounds. Few studies have used actual RPRW.
In this study, Mg, Ce, and Mg-Ce oxides loaded onto Al2O3 (Mg/Al2O3, Ce/Al2O3, and Mg-Ce/Al2O3, respectively) catalysts were prepared and characterized. The catalytic efficiency, mechanism, and potential of the prepared catalysts for COP treatment of RPRW were investigated.
2. Results and Discussion
2.1. Characteristics of Catalysts
X-ray diffraction (XRD) patterns for Al2O3, Mg/Al2O3, Ce/Al2O3, Mg-Ce/Al2O3 (I), and Mg-Ce/Al2O3 (II) all showed similar peak characteristics that are associated with Al2O3 at about 38°, 46° and 67° (Figure 1). Obvious XRD diffraction peaks of metal oxides were not observed due to the high dispersion and low concentration of the metal oxides.
Figure 1.
XRD patterns of Al2O3 and metal oxide-loaded Al2O3 catalysts.
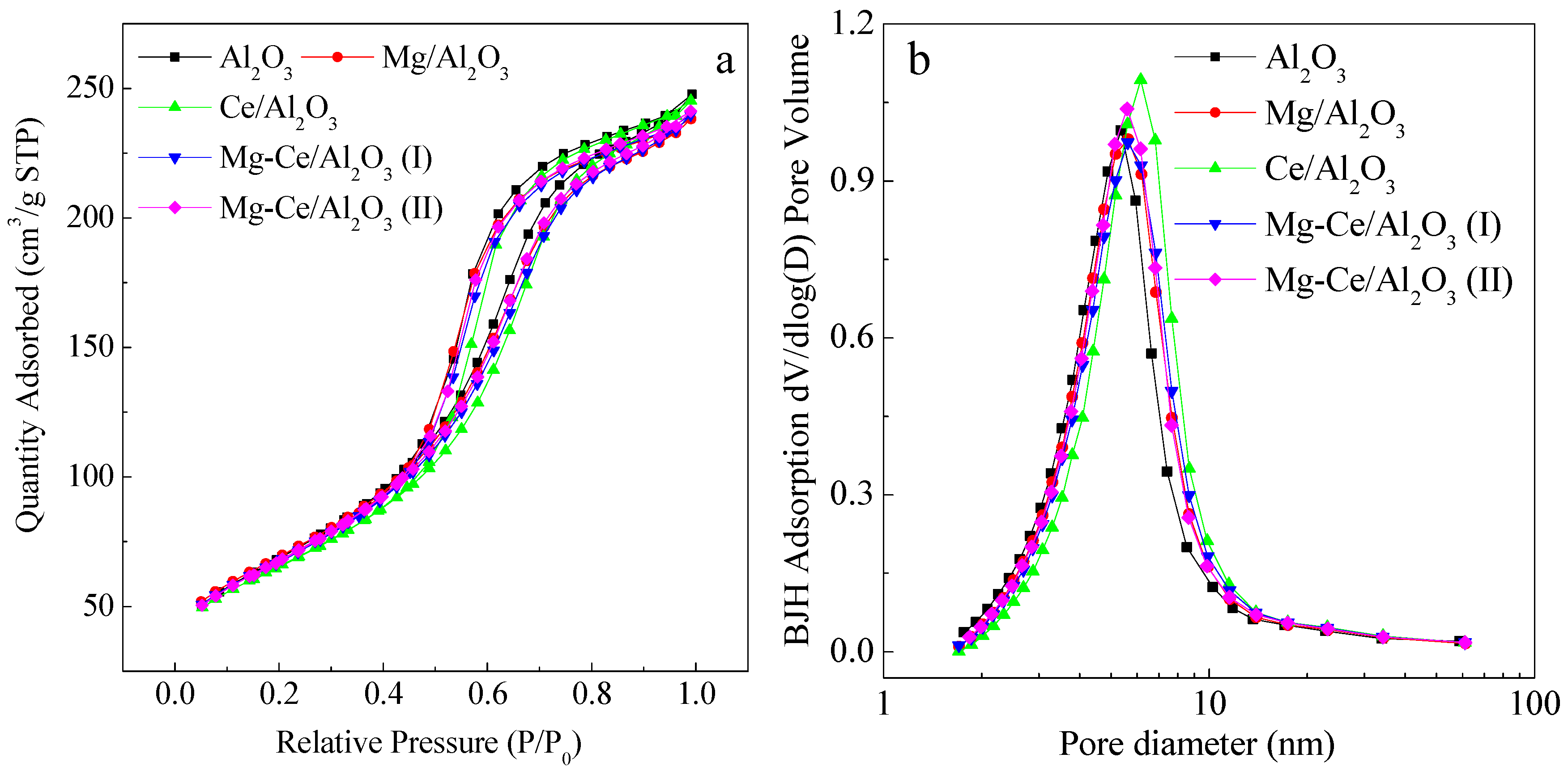
Deposited Mg and/or Ce oxides formed micro-agglomerates in irregular shapes and sizes (Figure 2). The adsorption-desorption isotherms (Figure 3a) and pore distributions (Figure 3b) varied slightly among the different examined catalysts. According to the International Union of Pure and Applied Chemistry (IUPAC) classification, the isotherms suggest the presence of a typical type IV mesopore structure [38]. The surface areas (SBET), pore volumes (VP), and average pore sizes (Da) were in the range of 245–250 m2/g, 0.36–0.38 m3/g, and 5.9–6.1 nm, respectively (Table 1). The contents of MgO and CeO2 in Mg/Al2O3 or Ce/Al2O3 were 0.3 wt %. The contents of MgO and CeO2 in Mg-Ce/Al2O3 (I) were both 0.3 wt % and those in Mg-Ce/Al2O3 (II) were both 0.9 wt % (Table 1). The low loadings of Mg and/or Ce oxides decreased the intensity of the functional surface groups (Figure 4a). The point zero charges (pHpzc) of unloaded and loaded Al2O3 had only small differences, ranging from 8.1 to 8.3 (Figure 4b).
Figure 2.
Scanning electron microscope (SEM) image of Al2O3 substrate (a) and transmission electron microscope micrographs of loaded Al2O3 with inset SEM images: (b) Mg/Al2O3; (c) Ce/Al2O3; (d) Mg-Ce/Al2O3 (I); (e) Mg-Ce/Al2O3 (II).
Figure 3.
Isotherms (a) and pore distribution curves (b) using N2 adsorption-desorption of Al2O3 and metal oxide-loaded Al2O3 catalysts.
Table 1.
Surface areas, pore structures, and metal oxide contents of Al2O3 and metal oxide-loaded Al2O3 catalysts.
Figure 4.
Infrared (IR) spectra (a) and pHpzc values (b) of Al2O3 and metal oxide-loaded Al2O3 catalysts.
Figure 5 illustrates the UV-vis spectra for the prepared catalysts. Al2O3 showed an absorption peak at around 260 nm. Mg/Al2O3 exhibited a strong absorption centered at 200 nm and a wider low-intensity absorption profile at 220–380 nm. The large initial absorption peak is associated with micro-aggregates from highly dispersed Mg2+ on the Al2O3 surface and the lower broad profile due to the Al2O3 substrate [12]. Ce/Al2O3 had a broad 200–380 nm absorption profile with a peak at 260 nm, which can be associated with overlapping transitional charge transfers that occur between O2− → Ce4+ [39]. Mg-Ce/Al2O3 (I) and Mg-Ce/Al2O3 (II) both exhibited stronger absorption profiles between 200 and 380 nm and had a similar peak at 260 nm, which can be attributed to increased concentrations of deposited metal oxides and also to the interactions between them.
Figure 5.
UV-vis patterns of Al2O3 and metal oxide-loaded Al2O3 catalysts.
Figure 6a presents the Mg1s spectra of catalysts based on X-ray photoelectron spectroscopy (XPS). The binding energy of Mg1s from Mg2+ oxides was centered at 1303 eV [40]. The asymmetrical distribution of the Mg1s peak for Mg/Al2O3 was likely due to strong interactions between Mg and the Al2O3 support. For Mg/Al2O3, the surface content of MgO (0.71 wt %) was greater than the bulk content (0.30 wt %), suggesting surface enrichment. Mg-Ce/Al2O3 (I) displayed a similar Mg1s peak compared to Mg/Al2O3, having only a slight influence of Mg and Al2O3 interactions. The increased intensity of the Mg1s peak for Mg-Ce/Al2O3 (I) suggests that the surface distribution of Mg was enhanced through the introduction of Ce. The surface content of MgO (0.78 wt %) for Mg-Ce/Al2O3 (I) was higher than that (0.71 wt %) for Mg/Al2O3. Mg-Ce/Al2O3 (II) showed a symmetrical distribution of the Mg1s peak relative to Mg/Al2O3 and Mg-Ce/Al2O3 (I), suggesting a reduction of the Mg and Al2O3 interaction. The surface content of MgO for Mg-Ce/Al2O3 (II) was 0.75 wt %, similar to those of Mg/Al2O3 (0.71 wt %) and Mg-Ce/Al2O3 (I) (0.78 wt %), although the loading of MgO of the former was three-fold of the latter. This demonstrates that greater concentrations of MgO exist in bulk rather than being highly dispersed on the surface of Mg-Ce/Al2O3 (II).
Figure 6.
X-ray photoelectron spectroscopy (XPS) spectra of Mg1s (a) and Ce3d (b) of metal oxide-loaded Al2O3 catalysts.
The 3d XPS spectra for Ce are complex and usually exhibit 10 peaks having a range of binding energy between 880–920 eV: five spin-orbit split doublets corresponding to the 3d3/2 (high binding energy component) and 3d5/2 (low binding energy component) states. Figure 6b presents the 3d XPS spectra from Ce catalysts. The Ce/Al2O3 catalyst did not exhibit noticeable 3d peaks that are associated with CeO2, likely due to the low surface distribution. Mg-Ce/Al2O3 (I) and Mg-Ce/Al2O3 (II), however, exhibited well-developed 3d peaks from the Ce4+ oxides [41]. The surface content of CeO2 (0.67 wt %) on Mg-Ce/Al2O3 (I) was greater (0.40 wt %) relative to Ce/Al2O3 only (Table 2). The introduction of Mg further promoted the surface enrichment of Ce. This was also observed with Mg-Ce/Al2O3 (II). The surface content of CeO2 on Mg-Ce/Al2O3 (II) increased to 2.57 wt % after triple CeO2 loadings. The surface molar ratios (Mg1s + Ce3d/Al2p) of Mg-Ce/Al2O3 (I) and (II) were 0.012 and 0.0198, respectively, suggesting a highly disperse surface distribution of metal oxides, which is supported by the XRD results. The surface molar ratio of Ce3d to Mg1s of Mg-Ce/Al2O3 (II) (0.8) increased in comparison to Mg-Ce/Al2O3 (I) (0.2). The increases likely enhanced the interactions between the Ce and Mg oxides on the surface of Mg-Ce/Al2O3 (II), relative to Mg-Ce/Al2O3 (I).
Table 2.
Molar ratios of Mg and Ce to Al, and surface contents of MgO and CeO2 for catalysts by XPS analysis.
2.2. Efficiencies of Catalysts
The catalytic COD reduction efficiency of RPRW was investigated by measuring the effect of adsorption, single ozonation and COPs. Adsorption on these catalysts was found to reach saturation within 40 min. The catalysts only weakly adsorbed target chemicals in RPRW and increased COD removal by only 6.3%–8.5% after 40 min (Figure 7a). Due to similar surface areas and pore structures, no significant differences in adsorption capacity among catalysts were observed (Table 1). After 40 min, COD removal by single ozonation, Al2O3-catalyzed ozonation (Al2O3-COP), Mg/Al2O3-COP, Ce/Al2O3-COP, Mg-Ce/Al2O3 (I)-COP, and Mg-Ce/Al2O3 (II)-COP was 34.3%, 45.9%, 47.2%, 47.8%, 51.9%, and 52.7%, respectively (Figure 7b). These results further support the fact that the catalytic process is driven primarily by ozonation rather than simple adsorption. Different COP treatments increased COD removal by 18.4%–11.6% compared with single ozonation. These differences are the results of catalytic metal oxide-driven ozonation processes. Mg-Ce/Al2O3 (I) exhibited a better performance compared with Mg/Al2O3 and Ce/Al2O3, while greater loadings of Mg and Ce were only slightly more effective. The surface areas and pore structures were comparable for these catalysts and they had only negligible differences on the results. The enhanced catalytic activity of Mg-Ce/Al2O3 (I) was due to interactions between the metal oxides, and between the metal oxides and the Al2O3 support, as well as their environments. The limited enhancement of catalytic activity for Mg-Ce/Al2O3 (II) was likely related to the presence of more MgO in bulk, as well as the partial occupation of Al2O3 active surface sites by Mg and Ce oxides. No obvious leaching of Ce and Mg elements was detected in Mg-Ce/Al2O3 (I)-and (II)-COPs, suggesting good stability of the catalysts. COD removals of RPRW after 10 repeated uses of three COPs were monitored (Figure 7c). The Mg-Ce/Al2O3 (I)-COP (51.9%–50.7%) and Mg-Ce/Al2O3 (II)-COP (52.7%–49.6%) remained stable, suggesting high reusability and stability of the catalysts. The COD value from effluents after Mg-Ce/Al2O3 (I)-COP met the Emission Standard of Pollutants for the Petroleum Refining Industry of China (GB 31570-2015).
Figure 7.
COD removals for RPRW by adsorption (a); by single ozonation and COPs (b); and by 10 repeated uses of COPs (c) (note: 0.5 g catalyst, 5 mg/min ozone, and 30 °C).
2.3. Mechanisms of Catalytic Ozonation
Numerous reports have suggested that •OH generation induced by various catalysts can promote the removal of chemicals during COPs. In order to determine whether •OH generation was occurring during COP treatment, tert-butanol (tBA) and sodium bicarbonate (NaHCO3) were used as inhibitors during testing. The introduction of tBA and NaHCO3 decreased the COD reduction efficiency (Figure 8). The results suggest that COD removal occurred primarily via •OH-mediated oxidation. The decreased extent of COD removal by both tBA and NaHCO3 in Mg-Ce/Al2O3 (I)-COP and Mg-Ce/Al2O3 (II)-COP was greater than that of the other COPs. The results again suggest that the use of low concentrations of composite Mg and Ce deposited onto Al2O3 can further enhance •OH generation compared to Mg/Al2O3 and Ce/Al2O3. COD reduction still occurred in spite of the addition of •OH scavengers, and was a result of direct ozonation.
Figure 8.
Influence of •OH scavengers (1 g/L) on COD removals of RPRW over COPs (note: 0.5 g catalyst, 5 mg/min ozone, 30 °C and 40 min; 1g/L •OH scavengers).
It is believed that active catalytic surfaces can induce ozone to form •OH, accelerating chemical degradation. Surface –OHs on the catalytic surface are known to have an impact during this process [42,43,44]. Solution pH values near the pHpzc of a catalyst can result in accelerated •OH generation [45]. Initial pH values (about 4.06, 8.15, and 10.21) were examined and found to have a significant impact on COD removal efficiency during COP treatment (Figure 9).
Figure 9.
Influence of initial pH values on COD removals of RPRW over COPs (note: 0.5 g catalyst, 5 mg/min ozone, 30 °C and 40 min).
Low initial pH values around 4.06 resulted in low treatment efficiency, likely due to the direct oxidation of molecular ozone. Indirect oxidation was found to also occur at alkaline pH and was a result of the •OH produced during ozone decomposition. Efficient COD removal was, however, high for five of the COP treatments, having an initial pH value around 8.15. Increasing such a pH value from 8.15 to 10.21 resulted in a decreased COD reduction efficiency for Al2O3-COP, but it was increased for Mg/Al2O3-COP, Ce/Al2O3-COP, Mg-Ce/Al2O3 (I)-COP, and Mg-Ce/Al2O3 (II)-COP. The magnitudes of surface –OHs from the greatest to smallest for the catalysts were Al2O3 > Mg/Al2O3 ≈ Mg-Ce/Al2O3 (I) > Ce/Al2O3 > Mg-Ce/Al2O3 (II), according to the O1s XPS spectra (Figure 10) [46].
Figure 10.
XPS spectra of O1s of Al2O3 and metal oxide-loaded Al2O3 catalysts. (a) Al2O3; (b) Mg/Al2O3; (c) Ce/Al2O3; (d) Mg-Ce/Al2O3 (I); (e) Mg-Ce/Al2O3 (II).
Al2O3-COP was the most efficient at an initial pH value of 8.15, close to its pHpzc value (8.19), due to highly active surface –OHs. The other COPs were the most efficient at an initial pH value of 10.21, away from their pHpzc values (8.1~8.3). This suggests that the active sites on the catalysts were modified due to the introduction of Mg and/or oxides on Al2O3. Mg/Al2O3 and Ce/Al2O3 exhibited higher COD removal efficiency in comparison to Al2O3, despite the lower surface –OHs. This illustrates the increased effect due to an increase in the dispersion of Mg or Ce oxides on the surface. Ce/Al2O3 had lower surface –OHs compared to Mg/Al2O3. Furthermore, the surface molar ratio of Ce3d/Al2p (0.0012) on Ce/Al2O3 was lower than that of Mg1s/Al2p (0.009) on Mg/Al2O3. However, a small increase in efficiency for COD removal using Ce/Al2O3 was observed when compared with Mg/Al2O3, suggesting higher Ce oxide catalytic activity over Mg2+ oxide. The increased COD removal for Mg-Ce/Al2O3 (I) and (II) was due to an enhanced surface distribution of the metal oxides when compared to Mg/Al2O3 and Ce/Al2O3, despite the lower surface –OHs. For Mg/Al2O3, Ce/Al2O3, Mg-Ce/Al2O3 (I) and (II), dispersion of the Ce and/or Mg oxides increased available active sites and accelerated COD removal during the COP treatment. However, the activity contribution from surface –OHs is still important for the COP treatment, especially when the low surface loading of Ce and/or Mg oxides is considered. Therefore, the Ce and/or Mg oxides and surface –OHs likely have a co-functional activity on metal oxide-loaded Al2O3. At an initial pH value of 4.06, Mg-Ce/Al2O3 (II) exhibited low COD removal efficiency, suggesting poor acidic tolerance. For Mg-Ce/Al2O3 (II), interactions between MgO and the Al2O3 support are weak, causing the dissolution of MgO and nearby Ce4+ oxides under these acidic conditions. For Mg/Al2O3, Ce/Al2O3, and Mg-Ce/Al2O3 (I), interactions between the metal oxides and the Al2O3 support are strong, maintaining higher stability. The acid-resistant metal oxide-loaded Al2O3 catalysts exhibited higher COD removal efficiency compared to Al2O3 from an increase in direct oxidation. The metal oxide-loaded Al2O3 catalysts provided a platform for the adsorption of chemicals and/or ozone molecules, resulting in higher reactivities. These are strongly influenced by the surface metal oxide composition, the coordinated environmental distribution, and the interactions between the metal oxides and the Al2O3 support (Figure 11).
Figure 11.
Proposed ozonation mechanisms of chemicals in RPRW upon metal oxide-loaded Al2O3 catalysts.
3. Materials and Methods
3.1. Preparation of Catalysts
Commercial pseudo bohemite (65.6 wt % of Al2O3) was purchased from Chalco Shandong Co., Ltd., Zibo, China. Mg(NO3)2·6H2O (≥99.0 wt %) and Ce(NO3)3·6H2O (≥99.0 wt %) were obtained from Beijing Chemical Reagents Co., Beijing, China. The catalysts were prepared according to the incipient wetness impregnation method. Impregnation of 60.00 g boehmite with the mixture solution of 0.76 g Mg(NO3)2·6H2O and 0.33 g Ce(NO3)3·6H2O yielded Mg-Ce/Al2O3(I) catalyst. Tripled Mg(NO3)2·6H2O and Ce(NO3)3·6H2O yielded Mg-Ce/Al2O3(II) catalyst. Impregnation of 60.00 g boehmite with 0.76 g Mg(NO3)2·6H2O or 0.33 g Ce(NO3)3·6H2O yielded Mg/Al2O3 or Ce/Al2O3 catalysts, respectively. The impregnated samples were calcinated at 550 °C for 4 h in air after drying at 90 °C for 12 h. Al2O3 was prepared from pseudo bohemite by calcination at 550 °C for 4 h in air.
3.2. Characterization of Catalysts
XRD was performed with a XRD-6000 powder diffraction instrument (Shimadzu, Kyoto, Japan) with a 40.0 kV working voltage and 40.0 mA electric current. The surface area and pore volume were determined with an ASAP2000 accelerated surface area and porosimetry system (Micromeritics, Norcross, GA, USA). The composition was determined with a ZSX-100E X-ray fluorospectrometer (Rigaku, Tokyo, Japan). Surface element distribution was recorded with a PHI Quantera SXM X-ray photoelectron spectrometer (ULVACPHI, Chanhassen, MN, USA). The surface morphology was observed under a Quanta 200 F scanning electron microscope (FEI, Hillsboro, OR, USA) and a Tecnai G2 F20 transmission electron microscope (FEI). IR spectroscopy was determined on a MAGNA-IR560ESP FT-IR spectrometer (Nicolet, Madison, WI, USA). The diffuse reflectance spectra were recorded on a U-4100 UV-vis spectrophotometer (Hitachi, Tokyo, Japan). The pHpzc of catalysts was determined according to the pH-drift procedure [47]. The leaching of Ce and Mg elements was measured with an AAnalyst atomic absorption spectrometer (PerkinElmer, Waltham, MA, USA) using a nitrous oxide/oxygen-acetylene flames.
3.3. Ozonation of RPRW
The RPRW was collected directly from the effluent of a bio-treatment unit of a wastewater treatment plant in CNOOC Huizhou Refining & Chemical Co., Ltd, Huizhou, China. The pH value, electric conductivity at 25 °C, BOD5, and COD were 8.15, 3418 μs/cm, 20.24 mg/L, and 101.3 mg/L, respectively. The oils and biodegradable chemicals in RPRW have been removed after a long physicochemical and biological treatment. The chemical compositions in RPRW mainly were organic acids (27.42%), heterocyclic compounds (24.49%), alkanes (19.56%), esters (19.24%), and alcohols (4.79%) according to gas chromatography mass spectrometry analysis. Due to low biodegradability (BOD5/COD ratio at 0.2), the COP was determined as an efficient advanced treatment method for the RPRW.
The experimental system was consisted of an oxygen tank, RQ-02 ozone generator (Ruiqing, China), 200 mL quartz column reactor, flow meter, and an exhaust gas collector. An aliquot of 100 mL of RPRW and 0.5 g catalyst were added in the reactor at 30 °C. The gaseous ozone was then introduced through a porous diffuser at the bottom of the reactor with a flow rate of 5 mg/min. The experiments were carried out using varying initial pH values (adjusted with 1 N NaOH or HCl) and reaction times. After treatment, dried oxygen was blown into the RPRW at a rate of 3.0 L/min to quench the reaction and eliminate the residual ozone. The resulting suspension was filtered (Whatman Qualitative No. 5) to separate catalyst particles prior to a further analysis. The •OH quenching experiments were performed to study the oxidation mechanism. The •OH scavengers, tBA and NaHCO3 were added into RPRW (1.0 g/L) prior to experiments. All experiments were performed in triplicate.
The pH and electric conductivity were measured with a MP 220 pH meter (Mettler Toledo, Greifensee, Switzerland) and a CD400 electrical conductivity meter (Alalis, Shanghai, China), respectively. The BOD5 was measured with a BODTrak II BOD meter (HACH, Loveland, CO, USA). The COD was measured with a CTL-12 COD meter (HATO, Chengde, China). The COD removal was calculated using the flowing equation:
COD removal = ([COD]0 − [COD]1)/[COD]0
4. Conclusions
Metal oxide-loaded Al2O3 catalysts were prepared, characterized and successfully evaluated for ozonation treatment of RPRW. Interactions between metal oxides and between the metal oxides and the Al2O3 support greatly influenced the surface structures and catalytic properties. The surface –OHs and metal oxides both function as active catalytic sites that promote •OH generation. Composite metal oxide-loaded Al2O3 exhibited higher efficiencies compared with single metal oxides. Mg-Ce/Al2O3-COP enhanced the COD removal by 4.7%, 4.1%, 6.0%, and 17.5%, respectively, in comparison with Mg/Al2O3-COP, Ce/Al2O3-COP, Al2O3-COP, and single ozonation. Our results suggest that an Mg-Ce/Al2O3 catalyst is commercially feasible, has high stability and can be cost-effective for ozonation treatment of RPRW.
Acknowledgments
This project was supported in part by the National Science and Technology Major Project of China (No. 2016ZX05040-003) and the National Natural Science Foundation of China (No. 21576287 and No. 21306229).
Author Contributions
Qinghong Wang and Chunmao Chen conceived and designed the experiments; Yu Chen and Yuhao Du performed the experiments; Yu Chen, Qing X. Li, Yuxian Wang, and Brandon A. Yoza interpreted and analyzed the data; Lanping Yi and Shaohui Guo contributed reagents/materials/analysis tools; Brandon A. Yoza, Qing X. Li, and Chunmao Chen wrote the manuscript.
Conflicts of Interest
The authors declare no conflict of interest.
References
- Al Zarooni, M.; Elshorbagy, W. Characterization and assessment of Al Ruwais refinery wastewater. J. Hazard. Mater. 2006, 136, 398–405. [Google Scholar] [CrossRef] [PubMed]
- Guo, X.; Zhan, Y.; Chen, C.M.; Zhao, L.; Guo, S. The influence of microbial synergistic and antagonistic effects on the performance of refinery wastewater microbial fuel cells. J. Power Sources 2014, 251, 229–236. [Google Scholar] [CrossRef]
- EI-Naas, M.H.; Al-Zuhair, S.; Alhaija, M.A. Reduction of COD in refinery wastewater through adsorption on date-pit activate carbon. J. Hazard. Mater. 2009, 173, 750–757. [Google Scholar] [CrossRef] [PubMed]
- Wu, J.; Ma, L.; Chen, Y.; Cheng, Y.; Liu, Y.; Zha, X. Catalytic ozonation of organic pollutants from bio-treated dyeing and finishing wastewater using recycled waste iron shavings as a catalyst: Removal and pathways. Water Res. 2016, 92, 140–148. [Google Scholar] [CrossRef] [PubMed]
- Shahidi, D.; Roy, R.A. Advances in catalytic oxidation of organic pollutants—Prospects for thorough mineralization by natural clay catalysts. Appl. Catal. B 2015, 174–175, 277–292. [Google Scholar] [CrossRef]
- Ma, J.; Sui, M.; Zhang, T.; Guan, C. Effect of pH on MnOx/GAC catalyzed ozonation for degradation of nitrobenzene. Water Res. 2005, 39, 779–786. [Google Scholar] [CrossRef] [PubMed]
- Li, L.; Ye, W.; Zhang, Q.; Sun, F.; Lu, P.; Li, X. Catalytic ozonation of dimethyl phthalate over cerium supported on activated carbon. J. Hazard. Mater. 2009, 170, 411–416. [Google Scholar] [CrossRef] [PubMed]
- Qi, F.; Xu, B.; Chen, Z.; Ma, J.; Sun, D.; Zhang, L. Influence of aluminum oxides surface properties on catalyzed ozonation of 2,4,6-trichloroanisole. Sep. Purif. Technol. 2009, 66, 405–410. [Google Scholar] [CrossRef]
- Vittenet, J.; Aboussaoud, W.; Mendret, J.; Pic, J.; Debellefontaine, H.; Lesagee, N.; Faucher, K.; Manero, M.H.; Thibault-Starzyk, F.; Leclerc, H.; et al. Catalytic ozonation with γ-Al2O3 to enhance the degradation of refractory organics in water. Appl. Catal. A 2015, 504, 519–532. [Google Scholar] [CrossRef]
- Chen, C.; Wei, L.; Guo, X.; Guo, S.; Yan, G. Investigation of heavy oil refinery wastewater treatment by integrated ozone and activated carbon supported manganese oxides. Fuel Process. Technol. 2014, 124, 165–173. [Google Scholar] [CrossRef]
- Chen, C.; Chen, H.; Guo, X.; Guo, S.; Yan, G. Advanced ozone treatment of heavy oil refining wastewater by activated carbon supported iron oxide. J. Ind. Eng. Chem. 2014, 20, 2782–2791. [Google Scholar] [CrossRef]
- Moussavi, G.; Aghapour, A.A.; Yaghmaeian, K. The degradation and mineralization of catechol using ozonation catalyzed with MgO/GAC composite in a fluidized bed reactor. Chem. Eng. J. 2014, 249, 302–310. [Google Scholar] [CrossRef]
- Dai, Q.; Wang, J.; Chen, J.; Chen, J. Ozonation catalyzed by cerium supported on activated carbon for the degradation of typical pharmaceutical wastewater. Sep. Purif. Technol. 2014, 127, 112–120. [Google Scholar] [CrossRef]
- Zhuang, H.; Han, H.; Hou, B.; Jia, S.; Zhao, Q. Heterogeneous catalytic ozonation of biologically pretreated Lurgi coal gasification wastewater using sewage sludge based activated carbon supported manganese and ferric oxides as catalysts. Bioresource Technol. 2014, 166, 178–186. [Google Scholar] [CrossRef] [PubMed]
- Dias, J.M.; Alvim-Ferraz, M.C.M.; Almeida, M.F.; Rivera-Utrilla, J.; Sa´nchez-Polo, M. Waste materials for activated carbon preparation and its use in aqueous-phase treatment: A review. J. Environ. Manage. 2007, 85, 833–846. [Google Scholar] [CrossRef] [PubMed]
- Pocostales, P.; Álvarez, P.; Beltrán, F.J. Catalytic ozonation promoted by alumina-based catalysts for the removal of some pharmaceutical compounds from water. Chem. Eng. J. 2011, 168, 1289–1295. [Google Scholar] [CrossRef]
- Roshani, B.; McMaster, I.; Rezaei, E.; Soltan, J. Catalytic ozonation of benzotriazole over alumina supported transition metal oxide catalysts in water. Sep. Purif. Technol. 2014, 135, 158–164. [Google Scholar] [CrossRef]
- Yang, L.; Hu, C.; Nie, Y.; Qu, J. Catalytic ozonation of selected pharmaceuticals over mesoporous alumina-supported manganese oxide. Environ. Sci. Technol. 2009, 43, 2525–2529. [Google Scholar] [CrossRef] [PubMed]
- Nie, Y.; Li, N.; Hu, C. Enhanced inhibition of bromate formation in catalytic ozonation of organic pollutants over Fe-Al LDH/Al2O3. Sep. Purif. Technol. 2015, 151, 256–261. [Google Scholar] [CrossRef]
- Chen, K.C.; Wang, Y.H. The effects of Fe-Mn oxide and TiO2/α-Al2O3 on the formation of disinfection by-products in catalytic ozonation. Chem. Eng. J. 2014, 253, 84–92. [Google Scholar] [CrossRef]
- Avramescu, S.M.; Bradu, C.; Udrea, I.; Mihalache, N.; Ruta, F. Degradation of oxalic acid from aqueous solutions by ozonation in presence of Ni/Al2O3 catalysts. Catal. Commun. 2008, 9, 2386–2391. [Google Scholar] [CrossRef]
- Wang, J.; Cheng, J.; Wang, C.; Yang, S.; Zhu, W. Catalytic ozonation of dimethyl phthalate with RuO2/Al2O3 catalysts prepared by microwave irradiation. Catal. Commun. 2013, 41, 1–5. [Google Scholar] [CrossRef]
- Chen, C.; Yoza, B.A.; Wang, Y.; Wang, P.; Li, Q.X.; Guo, S.; Yan, G. Catalytic ozonation of petroleum refinery wastewater utilizing Mn-Fe-Cu/Al2O3 catalyst. Environ. Sci. Pollut. Res. 2015, 22, 5552–5562. [Google Scholar] [CrossRef] [PubMed]
- Tong, S.; Shi, R.; Zhang, H.; Ma, C. Catalytic performance of Fe3O4-CoO/Al2O3 catalyst in ozonation of 2-(2, 4-dichlorophenoxy) propionic acid, nitrobenzene and oxalic acid in water. J. Environ. Sci. 2010, 22, 1623–1628. [Google Scholar] [CrossRef]
- Xu, B.; Qi, F.; Sun, D.; Chen, Z.; Robert, D. Cerium doped red mud catalytic ozonation for bezafibrate degradation in wastewater: Efficiency, intermediates, and toxicity. Chemosphere 2016, 146, 22–31. [Google Scholar] [CrossRef] [PubMed]
- Chen, C.; Yu, J.; Yoza, B.A.; Li, Q.X.; Wang, G. A novel "wastes-treat-wastes" technology: role and potential of spent fluid catalytic cracking catalyst assisted ozonation of petrochemical wastewater. J. Environ. Manage. 2015, 152, 58–65. [Google Scholar] [CrossRef] [PubMed]
- Dai, Q.; Wang, J.; Yu, J.; Chen, J.; Chen, J. Catalytic ozonation for the degradation of acetylsalicylic acid in aqueous solution by magnetic CeO2 nanometer catalyst particles. Appl. Catal. B 2014, 144, 686–693. [Google Scholar] [CrossRef]
- Yan, H.; Lu, P.; Pan, Z.; Wang, X.; Zhang, Q.; Li, L. Ce/SBA-15 as a heterogeneous ozonation catalyst for efficient mineralization of dimethyl phthalate. J. Mol. Catal. A 2013, 377, 57–64. [Google Scholar] [CrossRef]
- Bing, J.; Wang, X.; Lan, B.; Liao, G.; Zhang, Q.; Li, L. Characterization and reactivity of cerium loaded MCM-41 for p-chlorobenzoic acid mineralization with ozone. Sep Purif. Technol. 2013, 118, 479–486. [Google Scholar] [CrossRef]
- Moussavi, G.; Mahmoudi, M. Removal of azo and anthraquinone reactive dyes from industrial wastewaters using MgO nanoparticles. J. Hazard. Mater. 2009, 168, 806–812. [Google Scholar] [CrossRef] [PubMed]
- Chen, C.; Yoza, B.A.; Chen, H.; Li, Q.X.; Guo, S. Manganese sand ore is an economical and effective catalyst for ozonation of organic contaminants in petrochemical wastewater. Water Air Soil Poll. 2015, 226, 182. [Google Scholar] [CrossRef]
- Nawrocki, J.; Kasprzyk-Hordern, B. The efficiency and mechanisms of catalytic ozonation. Appl. Catal. B 2010, 99, 27–42. [Google Scholar] [CrossRef]
- Chen, W.; Li, X.; Pan, Z.; Ma, S.; Li, L. Synthesis of MnOx/SBA-15 for Norfloxacin degradation by catalytic ozonation. Sep. Purif. Technol. 2017, 173, 99–104. [Google Scholar] [CrossRef]
- Pines, D.S.; Reckhow, D.A. Solid phase catalytic ozonation process for the destruction of a model pollutant. Ozone: Sci. Eng. 2003, 25, 25–39. [Google Scholar] [CrossRef]
- Yang, L.; Hu, C.; Nie, Y.; Qu, J. Surface acidity and reactivity of β-FeOOH/Al2O3 for pharmaceuticals degradation with ozone: In situ ATR-FTIR studies. Appl. Catal. B 2010, 97, 340–346. [Google Scholar] [CrossRef]
- Chen, J.; Tian, S.; Lu, J.; Xiong, Y. Catalytic performance of MgO with different exposed crystal facets towards the ozonation of 4-chlorophenol. Appl. Catal. A 2015, 506, 118–125. [Google Scholar] [CrossRef]
- Beltrán, F.J.; Rivas, F.J.; Montero-de-Espinosa, R. A TiO2/Al2O3 catalyst to improve the ozonation of oxalic acid in water. Appl. Catal. B 2004, 47, 101–109. [Google Scholar] [CrossRef]
- Xu, R.R.; Pang, W.Q.; Yu, J.H.; Huo, Q.S.; Chen, J.S. Chemistry Zeolites and Porous Materials, 1st ed.; Science Press: Beijing, China, 2004; pp. 145–149. (in Chinese) [Google Scholar]
- Rao, G.R.; Sahu, H.R. XRD and UV-Vis diffuse reflectance analysis of CeO2-ZrO2 solid solutions synthesized by combustion method. J. Chem. Sci. 2001, 113, 651–658. [Google Scholar]
- Mittal, V.K.; Bera, S.; Nithya, R.; Srinivasan, M.P.; Velmurugan, S.; Narasimhan, S.V. Solid state synthesis of Mg–Ni ferrite and characterization by XRD and XPS. J. Nucl. Mater. 2004, 335, 302–310. [Google Scholar] [CrossRef]
- Sheerin, E.; Reddy, G.K.; Smirniotis, P. Evaluation of Rh/CexTi1−xO2 catalysts for synthesis of oxygenates from syngas using XPS and TPR techniques. Catal. Today 2016, 263, 75–83. [Google Scholar] [CrossRef]
- Lu, X.; Huangfu, X.; Ma, J. Removal of trace mercury(II) from aqueous solution by in situ formed Mn-Fe (hydr) oxides. J. Hazard. Mater. 2014, 280, 71–78. [Google Scholar] [CrossRef] [PubMed]
- Zhang, G.; Qu, H.; Liu, R.; Wu, R. Preparation and evaluation of a novel Fe-Mn binary oxide adsorbent for effective arsenite removal. Water Res. 2007, 41, 1921–1928. [Google Scholar] [CrossRef] [PubMed]
- Zhang, L.; Ma, J.; Yu, M. The microtopography of manganese dioxide formed in situ and its adsorptive properties for organic micropollutants. Solid State Sci. 2008, 10, 148–153. [Google Scholar] [CrossRef]
- Qi, F.; Xu, B.; Zhao, L.; Chen, Z.; Zhang, L.; Sun, D.; Ma, J. Comparison of the efficiency and mechanism of catalytic ozonation of 2,4,6-trichloroanisole by iron and manganese modified bauxite. Appl. Catal. B 2012, 121–122, 171–181. [Google Scholar] [CrossRef]
- Miyakoshi, A.; Ueno, A.; Ichikawa, M. XPS and TPD characterization of manganese-substituted iron-potassium oxide catalysts which are selective for dehydrogenation of ethylbenzene into styrene. Appl. Catal. A 2001, 219, 249–258. [Google Scholar] [CrossRef]
- Altenor, S.; Carene, B.; Emmanuel, E.; Lambert, J.; Ehrhardt, J.; Gaspard, S. Adsorption studies of methylene blue and phenol onto vetiver roots activated carbon prepared by chemical activation. J. Hazard. Mater. 2009, 165, 1029–1039. [Google Scholar] [CrossRef] [PubMed]
© 2017 by the authors. Licensee MDPI, Basel, Switzerland. This article is an open access article distributed under the terms and conditions of the Creative Commons Attribution (CC BY) license ( http://creativecommons.org/licenses/by/4.0/).










