Part I: A Comparative Thermal Aging Study on the Regenerability of Rh/Al2O3 and Rh/CexOy-ZrO2 as Model Catalysts for Automotive Three Way Catalysts
Abstract
:1. Introduction



2. Results and Discussions
2.1. Thermodynamic Model for TWC Conversion at Simulated Engine Fuel Rich Condition
| Reaction # | Reaction Pathways | Reaction Type (Forward Direction) | ΔHr0 (298 K) (kJ/mol) |
|---|---|---|---|
| a | Propane steam reforming | +497.70 | |
| b | Propane steam reforming | +374.29 | |
| c | Water gas shift | −41.14 | |
| d | Methanation of CO2 | −165.02 | |
| e | Methane steam reforming | +206.16 |


2.2. Catalyst Deactivation and Regeneration


| Catalyst | T50 (°C) | ||||
|---|---|---|---|---|---|
| Fresh | After Aging in air for 5 min at Different temp. | After Regeneration * | |||
| 800 °C | 950 °C | 1050 °C | |||
| 0.5% Rh/Al2O3 | 375 | 415 | 460 | 470 | 375 |
| 0.5% Rh/CZO | 334 | 365 | 431 | 435 | 330 |
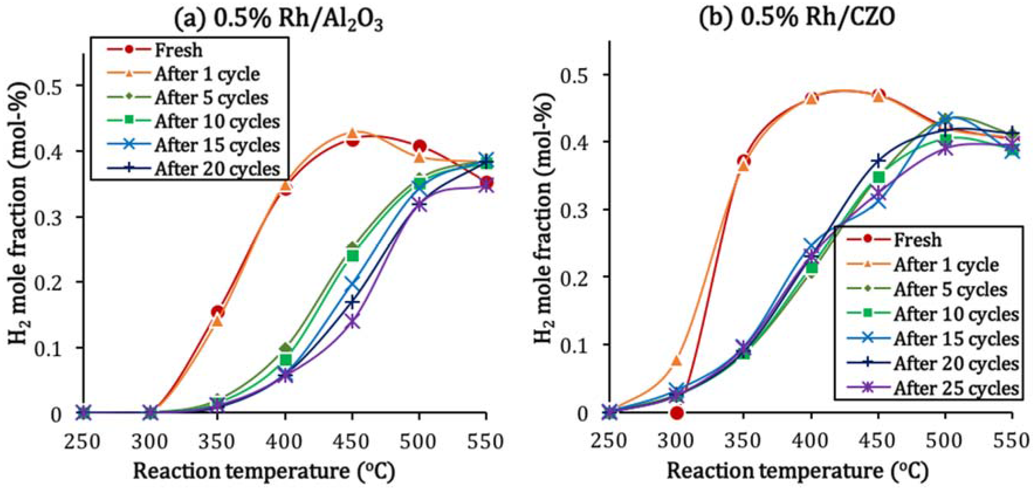
2.3. Catalyst Stability during Simulated Fuel Shutoff Aging-Fuel Rich Regeneration Cycle Tests


2.4. Catalyst Deactivation and Regeneration Mechanisms

| Catalyst | Metal Dispersion (%) | ||
|---|---|---|---|
| Fresh | Aged @ 800 °C | Aged @ 1050 °C | |
| 0.5%Rh/Al2O3 | 30.1 | 15.8 | 8.0 |
| 0.5%Rh/CZO | 80.7 | 40.2 | 27.9 |
| Catalyst | Active Particle Mean Size (nm) * | ||
|---|---|---|---|
| Fresh | After Air Aging @ 1050 °C | After Regeneration | |
| 0.5% Rh/Al2O3 | 4.4 | 5.7 | 5.4 |
| 0.5% Rh/CZO | 8.5 | 9.2 | 9.3 |

| Sample | TR (°C) | H2 Consumption (μmol H2/gcat) | N (H2)/N (Rh) |
|---|---|---|---|
| Fresh | 90 | 31.78 | 0.65 |
| Aged @ 800 °C for 5 min | 118 | 59.78 | 1.23 |
| Aged @ 800 °C for 1 h | 135 | 72.85 | 1.50 |
| Aged @ 950 °C for 5 min | 150 | 70.49 | 1.45 |
| Aged @ 1050 °C for 5 min | 162 | 71.57 | 1.47 |


| Catalyst | E (Rh 3d3/2), eV | E (Rh 3d5/2), eV | Rh3+/Rh0 (Rh3+/Rhδ+) b | |||
|---|---|---|---|---|---|---|
| Rh3+ | Rh0 | Rh3+ | Rh0 | |||
| 0.5% Rh/Al2O3 | Fresh | 314.10 | 311.69 | 309.18 | 307.46 | 1.29 |
| 800 °C aged for 5 min | 314.27 | 312.59 | 309.81 | 308.16 | 1.51 | |
| 950 °C aged for 5 min | 315.39 | 313.87 | 310.02 | 308.85 | 2.14 | |
| 1050 °C aged for 5 min | 315.55 | 314.03 | 310.55 | 309.13 | 3.21 | |
| Regenerated (I) c | 313.83 | 312.78 | 309.35 | 307.34 | 1.41 | |
| Regenerated (II) d | 314.87 | 313.12 | 309.55 | 308.89 | 2.18 | |
| 0.5% Rh/CZO | Fresh | 313.49 | 311.39 | 310.10 | 308.36 | 0.48 |
| 800 °C aged for 5 min | 313.64 | 311.79 | 310.23 | 308.89 | 0.75 | |
| 950 °C aged for 5 min | 313.74 | 311.90 | 311.02 | 309.10 | 0.81 | |
| 1050 °C aged for 5 min | 314.17 | 312.30 | 311.21 | 309.31 | 0.99 | |
| Regenerated (I) c | 313.35 | 311.40 | 310.29 | 308.11 | 0.64 | |
| Regenerated (II) d | 314.01 | 311.70 | 310.70 | 308.44 | 0.70 | |

3. Experimental Section
3.1. Catalyst Materials

3.2. Simulated Fuel Shutoff Aging and Fuel Rich Regeneration Processes

3.3. Catalyst Regenerability as Measured at Simulated Fuel Rich Condition
3.4. Catalyst Stability during Simulated Fuel Shutoff Aging-Fuel Rich Regeneration Cycle Tests

3.5. Data Analysis for Catalyst Activity Tests
3.6. Catalyst Characterization
4. Conclusions
Acknowledgments
Author Contributions
Conflicts of Interest
References
- Bartholomew, C.H.; Farrauto, R.J. Fundamentals of Industrial Catalytic Process, 2nd ed.; John Wiley & Sons: Iselin, NJ, USA, 2005; pp. 713–724. [Google Scholar]
- Heck, R.M.; Farrauto, R.J.; Gulati, S. Catalytic Air Pollution Control: Commercial Technology, 3rd ed.; John Wiley & Sons: Iselin, NJ, USA, 2009; pp. 103–176. [Google Scholar]
- Farrauto, R.J.; Heck, R.M. Catalytic converters: State of the art and perspectives. Catal. Today 1999, 51, 351–360. [Google Scholar] [CrossRef]
- Yamada, T.; Kayano, K.; Funabiki, M. The effectiveness of Pd for converting hydrocarbons in TWC catalysts. SAE Tech. Pap. 1993. [Google Scholar] [CrossRef]
- Liu, Y.; Dettling, J. Evolution of Pd/Rh TWC catalyst technology. SAE Tech. Pap. 1993. [Google Scholar] [CrossRef]
- Kaspar, J.; Fornasiero, P.; Hickey, N. Automotive catalytic converters: Current status and some perspectives. Catal. Today 2003, 77, 419–449. [Google Scholar] [CrossRef]
- Deganello, F.; Martorana, A. Phase analysis and oxygen storage capacity of Ceria-Lathana-based TWC promoters prepared by Sol-Gel routes. J. Solid State Chem. 2002, 163, 527–533. [Google Scholar] [CrossRef]
- Martorana, A.; Deganello, G.; Longo, A.; Prestianni, A.; Liotta, L.; Macaluso, A.; Pantaleo, G.; Balerna, A.; Mobilio, S. Structural evolution of Pt/ceria-zirconia TWC catalysts during the oxidation of carbon monoxide. J. Solid State Chem. 2004, 177, 1268–1275. [Google Scholar] [CrossRef]
- Hirasawa, Y.; Katoh, K.; Yamanda, T.; Kohara, A. Study on new characteristic CeO2-ZrO2 based material for advanced TWC. SAE Tech. Pap. 2009. [Google Scholar] [CrossRef]
- Farrauto, R.J.; Heck, R.M. Environmental catalysis into the 21st century. Catal. Today 2000, 55, 179–187. [Google Scholar] [CrossRef]
- Dettling, J.C. High Performance Thermally Stable Catalyst. U.S. Patent 5,212,142, 18 May 1993. [Google Scholar]
- Yamada, T.; Kobayashi, T.; Kayano, K.; Funabiki, M. Development of Zr containing TWC catalysts. SAE Tech. Pap. 1997. [Google Scholar] [CrossRef]
- Farra, R.; Garcia-Melchor, M.; Eichelbaum, M.; Hashagen, M.; Frandsen, W.; Allan, J.; Girgsdies, F.; Szentmiklosi, L.; Lopez, N.; Teschner, D. Promoted Ceria: A structural, catalytic, and computational study. ACS Catal. 2014, 3, 2256–2268. [Google Scholar] [CrossRef]
- Brehob, D.D.; Kappauf, T.A.; Anderson, R.W. Direct Injection Spark Ignition Engine having Deceleration Fuel Shutoff. U.S. Patent 5,941,211 A, 24 August 1999. [Google Scholar]
- Bidner, D.; Lopez, R.; Doering, J.; Manning, S. System and Method to Improve Drivability with Deceleration Fuel Shutoff. U.S. Patent 7,591,758 B2, 22 September 2009. [Google Scholar]
- Brinkmeier, C.; Schön, C.; Vent, G.; Enderle, C. Catalyst temperature rise rise during deceleration with fuel cut. SAE Tech. Pap. 2006. [Google Scholar] [CrossRef]
- Heck, R.M.; Farrauto, R.J. Automotive exhaust catalysts. Appl. Catal. A 2001, 221, 443–457. [Google Scholar] [CrossRef]
- Force, C.; Paniego, A.R.; Guil, J.M.; Gatica, J.M.; Lopez-Cartes, C.; Bernal, S.; Sanz, J. Metal sintering in Rh/Al2O3 catalysts followed by HREM, 1H NMR, and H2 chemisorption. Langmuir 2001, 17, 2720–2726. [Google Scholar] [CrossRef]
- Bernal, S.; Calvino, J.J.; Cauqui, M.A.; Perez Omil, J.A.; Pintado, J.M.; Rodriguez-Izquierdo, J.M. Image simulation and experimental HREM study of the metal dispersion in Rh/CeO2 catalysts. Influence of the reduction/reoxidation conditions. Appl. Catal. B 1998, 16, 127–138. [Google Scholar] [CrossRef]
- Kang, S.B.; Han, S.J.; Nam, S.B.; Nam, I.; Cho, B.K.; Kim, C.H.; Oh, S.H. Effect of aging atmosphere on thermal sintering of modern commercial TWCs. Top. Catal. 2013, 56, 298–305. [Google Scholar] [CrossRef]
- Gandhi, H.S.; Graham, G.W.; McCabe, R.W. Automotive exhaust catalysis. J. Catal. 2003, 216, 433–442. [Google Scholar] [CrossRef]
- Salazar-Villalpando, M.D.; Berry, D.A.; Gardner, T.H. Partial oxidation of methane over Rh/supported-ceria catalysts: Effect of catalyst reducibility and redox cycles. Int. J. Hydrogen Energy 2008, 33, 2695–2703. [Google Scholar] [CrossRef]
- Vedyagin, A.A.; Volodin, A.M.; Stoyanovskii, V.O.; Kenzhin, R.M.; Slavinskaya, E.M.; Mishakov, I.V.; Plyusnin, P.E.; Shubin, Y.V. Stabilization of active sites in alloyed Pd-Rh catalysts on γ-Al2O3 support. Catal. Today 2014, 238, 80–86. [Google Scholar] [CrossRef]
- Imamura, S.; Yamashita, T.; Hamada, R.; Saito, Y.; Nakao, Y.; Tsuda, N.; Kaito, C. Strong interaction between rhodium and ceria. J. Mol. Catal. 1998, 129, 249–256. [Google Scholar] [CrossRef]
- Bernal, S.; Botana, F.J.; Calvino, J.J.; Cauqui, M.A.; Cifredo, G.A.; Jobacho, A.; Pintado, J.M.; Rodrίguez-Izquierdo, J.M. Microstructural and chemical properties of ceria-supported rhodium catalysts reduced at 773 K. J. Phys. Chem. 1993, 97, 4118–4123. [Google Scholar] [CrossRef]
- Soria, J.; Martinez-Arias, A.; Conesa, J.C. Effect of oxidized rhodium on oxygen adsorption on cerium oxide. Vacuum 1992, 43, 437–440. [Google Scholar] [CrossRef]
- Bernal, S.; Botana, F.J.; Calvino, J.J.; Cifredo, G.A.; Perez-Omil, J.A.; Pintado, J.M. HREM study of the behavior of a Rh/CeO2 catalyst under high temperature reducing and oxidizing conditions. Catal. Today 1995, 23, 219–250. [Google Scholar] [CrossRef]
- Bernal, S.; Blanco, G.; Calvino, J.J.; Cifredo, G.A.; Omil, J.A.P.; Pintado, J.M.; Yaro, A. HRTEM and TPO study of the behavior under oxidizing conditions of some Rh/CeO2 catalysts. Stud. Surf. Sci. Catal. 1994, 82, 507–514. [Google Scholar]
- Trovarelli, A. Catalytic properties of ceria and CeO2-containing materials. Catal. Rev. Sci. Eng. 1996, 38, 439–520. [Google Scholar] [CrossRef]
- Padeste, C.; Cant, N.W.; Trimm, D.L. Reactions of ceria supported rhodium with hydrogen and nitric oxide studied with TPR/TPO and XPS techniques. Catal. Lett. 1994, 28, 301–331. [Google Scholar] [CrossRef]
- Williamson, W.B.; Lewis, D.; Perry, J.; Gandhi, H.S. Durability of palladium automotive catalysts: Effects of trace lead levels, exhaust composition, and misfueling. Ind. Eng. Chem. Prod. Res. Dev. 1984, 23, 531–536. [Google Scholar] [CrossRef]
- Otto, K.; Sulak, R.J. Effects of manganese deposits from MMT on automotive catalysts in the absence and presence of other fuel additives. Environ. Sci. Technol. 1978, 12, 181–184. [Google Scholar] [CrossRef]
- Sayle, T.X.T.; Parker, S.C.; Catlow, C.R.A. Surface segregation of metal ions in cerium dioxide. J. Phys. Chem. 1994, 98, 13625–13630. [Google Scholar] [CrossRef]
- Sanchez, M.G.; Gazquez, J.L. Oxygen vacancy model in strong metal-support interaction. J. Catal. 1987, 104, 120–135. [Google Scholar] [CrossRef]
- Heo, I.; Yoon, D.Y.; Cho, B.K.; Nam, I.; Choung, J.W.; Yoo, S. Activity and thermal stability of Rh-based catalytic system for an advanced modern TWC. Appl. Catal. B 2012, 121–122, 75–87. [Google Scholar] [CrossRef]
- Hochmuth, J.K. Engine Management Strategy to Improve the Ability of a Catalyst to Withstand Severe Operating Environments. U.S. Patent 6,021,638, 2 February 2000. [Google Scholar]
- Theis, J.R.; Kerns, J.M.; Uhrich, M.J.; Cavataio, G.; Leone, T.G.; Doering, J.A.; Rumpsa, T.A. NOx Control during Engine Idle-Stop Operation. U.S. Patent 0,039,781 A1, 6 Februray 2014. [Google Scholar]
- Gonzalez-Valasco, J.R.; Botas, J.A.; Ferret, R.; Gonzalez-Marcos, M.P.; Marc, J.L.; Gutierrez-Ortiz, M.A. Thermal aging of Pd/Pt/Rh automotive catalysts under a cycled oxidizing-reducing environment. Catal. Today 2000, 59, 395–402. [Google Scholar] [CrossRef]
- Campbell, B.; Farrington, R.; Inman, G.; Dinsdale, S. Improved Three Way Catalyst Performance Using an Active Bias Control Regeneration System. SAE Tech. Pap. 2000. [Google Scholar] [CrossRef]
- Leone, T.G.; Ulrey, J.N.; Dearth, M.A. Engine Control for Catalyst Regeneration. U.S. Patent 9,016,244 B2, 28 April 2015. [Google Scholar]
- Santillo, M.; Jankovic, M.J.; Magner, S.W.; Uhrich, M.J. Two-Stage Catalyst Regeneration. U.S. Patent 0,051,812 A1, 19 February 2015. [Google Scholar]
- Doering, J.; Bidner, D.; Elwart, S. System and Method to Reduce Stall during Deceleration Fuel Shutoff. U.S. Patent 7,998,027 B2, 16 August 2011. [Google Scholar]
- Shelef, M.; Graham, G.W. Why rhodium in automotive three-way catalysts. Catal. Rev. Sci. Eng. 1994, 36, 433–457. [Google Scholar] [CrossRef]
- Morikawa, A.; Tanabe, T.; Hatanaka, M.; Takahashi, N.; Sato, A.; Kuno, O.; Suzuki, H.; Shinjoh, H. Inhibition of Rh sintering and improved reducibility of Rh on ZrO2 nanocomposite with an Al2O3 diffusion barrier. Appl. Catal. A 2015, 493, 33–39. [Google Scholar] [CrossRef]
- Tauster, S. Base metal oxide promoters in TWC catalysts. SAE Tech. Pap. 1993. [Google Scholar] [CrossRef]
- Kolb, G.; Zapf, R.; Hessel, V.; Lowe, H. Propane steam reforming in micro-channels-results from catalyst screening and optimisation. Appl. Catal. A 2004, 277, 155–166. [Google Scholar] [CrossRef]
- Zheng, Q.; Janke, C.; Farrauto, R. Steam reforming of sulfur-containing dodecane on a Rh-Pt catalyst: Influence of process parameters on catalyst stability and coke structure. Appl. Catal. B 2014, 160–161, 525–533. [Google Scholar] [CrossRef]
- Barin, I. Thermochemical Data of Pure Substances; VCH: New York, NY, USA, 1989. [Google Scholar]
- Heck, R.; Hochmuth, J.; Detting, J. Effect of oxygen concentration on aging of TWC catalysts. SAE Tech. Pap. 1992. [Google Scholar] [CrossRef]
- Hwang, C.; Yeh, C.; Zhu, Q. Rhodium-oxide species formed on progressive oxidation of rhodium clusters dispersed on alumina. Catal. Today 1999, 51, 93–101. [Google Scholar] [CrossRef]
- Soria, J.; Martinez-Arias, A.; Coronado, J.M.; Conesa, J.C. Influence of the support on the metal dispersion in Rh/CeO2 catalysts. Appl. Surf. Sci. 1993, 70–71, 245–249. [Google Scholar] [CrossRef]
- Duarte, R.B.; Krumeich, F.; van Bokhoven, J.A. Structure, activity, and stability of atomically dispersed Rh in methane steam reforming. ACS Catal. 2014, 4, 1279–1286. [Google Scholar] [CrossRef]
- Barbier, J., Jr.; Duprez, D. Reactivity of steam in exhaust gas catalysis. Part II: Sintering and regeneration of Rh and PtRh catalysts in propane oxidation. Stud. Surf. Sci. Catal. 1995, 96, 73–84. [Google Scholar]
- Fallah, J.E.; Boujana, S.; Dexpert, H.; Kiennemann, A.; Majerus, J.; Touret, O.; Villain, F.; Normand, F.L. Redox processes on pure ceria and on Rh/CeO2 catalyst monitored by X-ray absorption (fast acquisition mode). J. Phys. Chem. 1994, 98, 5522–5533. [Google Scholar] [CrossRef]
- Trovarell, A.; Dolcetti, G.; Leitenburg, C.; Kaspar, J.; Finetti, P.; Santoni, A. Rh-CeO2 interaction induced by high-temperature reduction. Characterization and catalytic behavior in transient and continuous conditions. J. Chem. Soc. Faraday Trans. 1992, 88, 1311–1319. [Google Scholar] [CrossRef]
- Benseradj, F.; Sadi, F.; Chater, M. Hydrogen spillover studies on diluted Rh/Al2O3 catalyst. Appl. Catal. A 2002, 228, 135–144. [Google Scholar] [CrossRef]
- Hori, C.E.; Permana, H.; Ng, K.Y.S.; Brenner, A.; More, K.; Rahmoeller, K.M.; Belton, D. Thermal stability of oxygen storage properties in a mixed CeO2-ZrO2 system. Appl. Catal. B 1998, 16, 105–117. [Google Scholar] [CrossRef]
- Monte, R.D.; Kaspar, J. On the role of oxygen storage in three-way catalysis. Top. Catal. 2004, 28, 47–57. [Google Scholar] [CrossRef]
- Boaro, M.; Vicario, M.; Leitenburg, C.; Dolcetti, G.; Trovarelli, A. The use of temperature-programmed and dynamic/transient methods in catalysis: Characterization of ceria-based, model three-way catalysts. Catal. Today 2003, 77, 407–417. [Google Scholar] [CrossRef]
- Miyazawa, T.; Okumura, K.; Kunimori, K.; Tomishige, K. Promotion of oxidation and reduction of Rh species by interaction of Rh and CeO2 over Rh/CeO2/SiO2. J. Phys. Chem. C 2008, 112, 2574–2583. [Google Scholar] [CrossRef]
- Duarte, R.B.; Safonova, O.V.; Krumeich, F.; Makosch, M.; van Bokhoven, J.A. Oxidation state of Ce in CeO2 promoted Rh/Al2O3 catalysts during methane steam reforming: H2O activation and alumina stablization. ACS Catal. 2013, 3, 1956–1964. [Google Scholar] [CrossRef]
- Wang, R.; Xu, H.; Liu, X.; Ge, Q.; Li, W. Role of redox couples of Rh0/Rhδ+ and Ce4+/Ce3+ in CH4/CO2 reforming over Rh-CeO2/Al2O3 catalyst. Appl. Catal. A 2006, 305, 204–210. [Google Scholar] [CrossRef]
- Wu, X.; Xu, L.; Weng, D. The thermal stability and catalytic performance of Ce-Zr promoted Rh-Pd/γ-Al2O3 automotive catalysts. Appl. Surf. Sci. 2004, 221, 375–383. [Google Scholar] [CrossRef]
- Muraki, H.; Zhang, G. Design of advanced automotive exhaust catalysts. Catal. Today 2000, 63, 337–345. [Google Scholar] [CrossRef]
- Fornasiero, P.; Monte, R.D.; Rao, G.R.; Kaspar, J.; Meriani, S.; Trovarelli, A.; Graziani, M. Rh-loaded CeO2-ZrO2 solid-solutions as highly efficient oxygen exchangers: Dependence of the reduction behavior and the oxygen storage capacity on the structural properties. J. Catal. 1995, 151, 168–177. [Google Scholar] [CrossRef]
- Nunan, J.; Williamson, W.; Robota, H. Advanced TWC technologies using CeO2/ZrO2 solid solutions. SAE Tech. Pap. 1996. [Google Scholar] [CrossRef]
- Cuif, J.; Blanchard, G.; Touret, O.; Seigneurin, A.; Marczi, M.; Quemere, E. (Ce, Zr)O2 solid solutions for three-way catalysts. SAE Tech. Pap. 1997. [Google Scholar] [CrossRef]
- Vlaic, G.; Fornasiero, P.; Geremia, S.; Kaspar, J.; Graziani, M. Relationship between the zirconia-promoted reduction in the Rh-loaded Ce0.5Zr0.5O2 mixed oxide and the Zr–O local structure. J. Catal. 1997, 168, 386–392. [Google Scholar] [CrossRef]
- Diagne, C.; Idriss, H.; Kiennemann, A. Hydrogen production by ethanol reforming over Rh/CeO2-ZrO2 catalysts. Catal. Commun. 2002, 3, 565–571. [Google Scholar] [CrossRef]
- Salasc, S.; Perrichon, V.; Primet, M.; Mouaddib-Moral, N. Titration by oxygen of the spill-over hydrogen adsorbed on ceria-zirconia supported palladium-rhodium catalysts. J. Catal. 2002, 206, 82–90. [Google Scholar] [CrossRef]
- Rohart, E.; Verdier, S.; Demourgues, A.; Harle, V.; Pacaud, B.; Baylet, A.; Takemori, H.; Suda, E.; Allain, M. New CeO2-ZrO2 mixed oxides with improved redox properties for advanced TWC catalysts. SAE Tech. Pap. 2006. [Google Scholar] [CrossRef]
- Lambrou, P.S.; Costa, C.N.; Christou, S.Y.; Efstathiou, A.M. Dynamics of oxygen storage and release on commercial aged Pd-Rh three-way catalysts and their characterization by transient experiments. Appl. Catal. B 2004, 54, 237–250. [Google Scholar] [CrossRef]
- Larichev, Y.V.; Netskina, O.V.; Komova, O.V.; Simagina, V.I. Comparative XPS study of Rh/Al2O3 and Rh/TiO2 as catalysts for NaBH4 hydrolysis. Int. J. Hydrogen Energy 2010, 35, 6501–6507. [Google Scholar] [CrossRef]
- Wang, Y.; Song, Z.; Ma, D.; Luo, H.; Liang, D.; Bao, X. Characterization of Rh-based catalysts with EPR, TPR, IR, and XPS. J. Mol. Catal. A 1999, 149, 51–61. [Google Scholar] [CrossRef]
- Zimowska, M.; Wagner, J.B.; Dziedzic, J.; Camra, J.; Borzecka-Prokop, B.; Najbar, M. Some aspects of metal-support strong interactions in Rh/Al2O3 catalyst under oxidizing and reducing conditions. Chem. Phys. Lett. 2006, 417, 137–142. [Google Scholar] [CrossRef]
- DeCaluwe, S.C.; Grass, M.E.; Zhang, C.; Gabaly, F.E.; Bluhm, H.; Liu, Z.; Jackson, G.S.; McDaniel, A.H.; McCarty, K.F.; Farrow, R.L.; et al. In situ characterization of ceria oxidation states in high-temperature electrochemical cells with ambient pressure XPS. J. Phys. Chem. C 2010, 114, 19853–19861. [Google Scholar] [CrossRef]
- Brun, M.; Berthet, A.; Bertolin, J.C. XPS, AES and Auger parameter of Pd and PdO. J. Electron Microsc. 1999, 104, 55–60. [Google Scholar] [CrossRef]
- He, Q.L.; Lai, Y.H.; Lu, Y.; Law, K.T.; Sou, L.K. Surface reactivity enhancement on a Pd/Bi2Te3 heterostructure through robust topological surface states. Sci. Rep. 2013, 3. [Google Scholar] [CrossRef] [PubMed]
- Dohmae, K.; Nonaka, T.; Seno, Y. Local structure change of Rh on alumina after treatments in high-temperature oxidizing and reducing environments. Surf. Interface Anal. 2005, 37, 115–119. [Google Scholar] [CrossRef]
- Nagao, Y.; Nakahara, Y.; Sato, T.; Iwakura, H.; Takeshita, S.; Minami, S.; Yoshida, H.; Machida, M. Rh/ZrP2O7 as an efficient automotive catalyst for NOx reduction under slightly lean conditions. ACS Catal. 2015, 5, 1986–1994. [Google Scholar] [CrossRef]
- Delahay, G.; Duprez, D. Effects of dispersion and partial reduction on the catalytic properties of Rh/Al2O3 catalysts in the steam reforming of mono-and bicyclic aromatics. J. Catal. 1989, 115, 542–550. [Google Scholar] [CrossRef]
- Haneda, M.; Shinoda, K.; Nagane, A.; Houshito, O.; Takagi, H.; Nakahara, Y.; Hiroe, K.; Fujitani, T.; Hamada, H. Catalytic performance of rhodium supported on ceria-zirconia mixed oxides for reduction of NO by propane. J. Catal. 2008, 259, 223–231. [Google Scholar] [CrossRef]
- Fontaine-Gautrelet, C.; Krafft, J.; Djega-Mariadassou, G.; Thomas, C. Evidence for Rh electron deficient atoms (Rhδ+) as the catalytic species for CO oxidation when supported on Ce0.68Zr0.32O2. J. Catal. 2007, 247, 34–42. [Google Scholar] [CrossRef]
- Force, C.; Roman, E.; Guil, J.M.; Sanz, J. XPS and 1H NMR study of thermally stabilized Rh/CeO2 catalysts submitted to reduction/oxidation treatments. Langmuir 2007, 23, 4569–4574. [Google Scholar] [CrossRef] [PubMed]
- Suopanki, A.; Polvinen, R.; Valden, M.; Harkonen, M. Rh oxide reducibility and catalytic activity of model Pt-Rh catalysts. Catal. Today 2015, 100, 327–330. [Google Scholar] [CrossRef]
- Haneda, M.; Houshito, O.; Sato, T.; Takagi, H.; Shinoda, K.; Nakahara, Y.; Hiroe, K.; Hamada, H. Improved activity of Rh/CeO2-ZrO2 three-way catalyst by high temperature ageing. Catal. Commun. 2010, 11, 317–321. [Google Scholar] [CrossRef]
- Parres-Esclapez, S.; Illan-Gomez, M.J.; Lecea, C.S.; Bueno-Lopez, A. On the importance of the catalyst redox properties in the N2O decomposition over alumina and ceria supported Rh, Pd, and Pt. Appl. Catal. B 2010, 96, 370–378. [Google Scholar] [CrossRef]
- Bueno-Lopez, A.; Such-Basanez, I.; Lecca, C.S. Stabilization of active Rh2O3 species for catalytic decomposition of N2O on La-, Pr- doped CeO2. J. Catal. 2006, 244, 102–112. [Google Scholar] [CrossRef]
- He, H.; Dai, H.X.; Ng, L.H.; Wong, K.W.; Au, C.T. Pd-, Pt-, and Rh-doped Ce0.6Zr0.35Y0.05O2 three way catalysts: An investigation on performance and redox properties. J. Catal. 2002, 206, 1–13. [Google Scholar] [CrossRef]
- Hickey, N.; Fornasiero, P.; Kaspar, J.; Gatica, J.M.; Bernal, S. Effects of the nature of the reducing agent on the transient redox behavior of NM/Ce0.68Zr0.32O2 (NM = Pt, Pd, and Rh). J. Catal. 2001, 200, 181–193. [Google Scholar] [CrossRef]
- Liu, Y.; Ma, D.; Han, X.; Bao, X.; Frandsen, W.; Wang, D.; Su, D. Hydrothermal synthesis of microscale boehmite and gamma nanoleaves alumina. Mater. Lett. 2008, 62, 1297–1301. [Google Scholar] [CrossRef]
- Yao, M.H.; Baird, R.J.; Kunz, F.W.; Hoost, T.E. An XRD and TEM investigation of the structure of alumina-supported ceria-zirconia. J. Catal. 2007, 166, 67–74. [Google Scholar] [CrossRef]
- Riguetto, B.A.; Damyanova, S.; Gouliev, G.; Marques, C.M.P.; Petrov, L.; Bueno, J.M.C. Surface behavior of alumina-supported Pt catalyst modified with cerium as revealed by X-ray Diffraction, X-RAY Photoelectron Spectroscopy, and Fourier Transform Infrared Spectroscopy of CO Adsorption. J. Phys. Chem. B 2004, 108, 5349–5358. [Google Scholar] [CrossRef]
- Adams, K.M.; Gandhi, H.S. Palladium-tungsten catalysts for automotive exhaust treatment. Ind. Eng. Chem. Prod. Res. Dev. 1983, 22, 207–212. [Google Scholar] [CrossRef]
- Torncrona, A.; Skoglundh, M.; Thormahlen, P.; Fridell, E.; Jobson, E. Low temperature catalytic activity of cobalt oxide and ceria promoted Pt and Pd: -Influence of pretreatment and gas composition. Appl. Catal. B 1997, 14, 131–146. [Google Scholar] [CrossRef]
- Canton, P.; Fagherazzi, G.; Battagliarin, M.; Menegazzo, F.; Pinna, F.; Pernicone, N. Pd/CO average chemisorption stoichiometry in highly dispersed supported Pd/γ-Al2O3 catalysts. Langmuir 2002, 18, 6530–6535. [Google Scholar] [CrossRef]
© 2015 by the authors; licensee MDPI, Basel, Switzerland. This article is an open access article distributed under the terms and conditions of the Creative Commons Attribution license (http://creativecommons.org/licenses/by/4.0/).
Share and Cite
Zheng, Q.; Farrauto, R.; Deeba, M.; Valsamakis, I. Part I: A Comparative Thermal Aging Study on the Regenerability of Rh/Al2O3 and Rh/CexOy-ZrO2 as Model Catalysts for Automotive Three Way Catalysts. Catalysts 2015, 5, 1770-1796. https://doi.org/10.3390/catal5041770
Zheng Q, Farrauto R, Deeba M, Valsamakis I. Part I: A Comparative Thermal Aging Study on the Regenerability of Rh/Al2O3 and Rh/CexOy-ZrO2 as Model Catalysts for Automotive Three Way Catalysts. Catalysts. 2015; 5(4):1770-1796. https://doi.org/10.3390/catal5041770
Chicago/Turabian StyleZheng, Qinghe, Robert Farrauto, Michel Deeba, and Ioannis Valsamakis. 2015. "Part I: A Comparative Thermal Aging Study on the Regenerability of Rh/Al2O3 and Rh/CexOy-ZrO2 as Model Catalysts for Automotive Three Way Catalysts" Catalysts 5, no. 4: 1770-1796. https://doi.org/10.3390/catal5041770
APA StyleZheng, Q., Farrauto, R., Deeba, M., & Valsamakis, I. (2015). Part I: A Comparative Thermal Aging Study on the Regenerability of Rh/Al2O3 and Rh/CexOy-ZrO2 as Model Catalysts for Automotive Three Way Catalysts. Catalysts, 5(4), 1770-1796. https://doi.org/10.3390/catal5041770

