Abstract
In this review, we summarize recent progress from our group with regard to Pd-catalyzed oxidative amination of alkenes with amines. Intermolecular oxidative amination of alkenes with secondary anilines was induced using a palladium-complex catalyst combined with molybdovanadophosphate as a co-catalyst under dioxygen, leading to allylic amines and enamines in good yields with high selectivities. The reaction proceeded efficiently, using molecular oxygen as the terminal oxidant. In addition, palladium-catalyzed oxidative amination of alkenes with anilines as primary amines was achieved using molecular oxygen as the sole oxidant, producing (Z)-N-alkenyl-substituted anilines in high yields.
1. Introduction
Nitrogen-containing compounds are ubiquitous in nature, and many are important organic compounds with applications as medicines, dyes, and electroluminescent materials [1,2,3]. The development of synthetic methods for nitrogen-containing compounds is therefore an important topic.
Transition-metal-catalyzed oxidative coupling reactions of olefins through sp2 C–H bond activation is an important organic transformation and is currently used as an efficient method for introducing various functional groups directly connected to the C=C bonds of olefins [4,5,6,7,8,9]. Oxidative coupling for the formation of nitrogen-containing compounds such as enamines using metal-catalyzed oxidative amination of olefins by dioxygen, known as the aza-Wacker reaction, has been the subject of considerable research [10,11,12,13,14,15,16,17,18]. Although significant developments in aza-Wacker-type reactions have been achieved, the existing aza-Wacker process generally requires non-basic nitrogen nucleophiles such as carboxamides, carbamates, and sulfonamides as amination reagents, under relatively high oxygen pressures (4–10 atm.) or in the presence of an external oxidant source such as benzoquinone (BQ), PhBQ, PhI(OAc)2, or PhI(OPiv)2 [19,20,21,22,23,24,25,26,27,28,29,30,31,32,33]. In contrast, the oxidative amination of olefins using more basic, simple amines as substrates has been less explored, and is generally limited to intramolecular reactions [34,35,36,37,38], because of the strong coordination of amines to Pd, which results in catalyst deactivation.
The oxidative amination of olefins using primary amines was initially reported in 1981 by Hegedus; the reaction was carried out using an excess of reoxidant and salt [39]. Beller reported the oxidative amination of olefins with secondary amines using a Rh catalyst [40,41]. In this case, however, various by-products such as hydroamination and hydrogenation products of the olefins were formed along with the desired oxidative amination products.
The development of novel and selective catalytic protocols for intermolecular oxidative olefin amination using simple amines in the absence of stoichiometric, hazardous, toxic, external oxidants is therefore highly desirable. The achievement of oxidative amination using atmospheric molecular oxygen (1 atm. O2) is an attractive and practical synthetic method.
Pd(II)-catalyzed oxidative allylic amination by selective allylic C–H bond functionalization of alkenes with amines is an alternative efficient methodology for preparing nitrogen-containing unsaturated compounds [25,42,43]. However, there has been limited work on reactions using non-substituted simple alkenes. Recently, Pd(II)-sulfide/Cr(III)-catalyzed oxidative allylic amination of simple alkenes with tosylamides, affording allylamines, was reported [26,28,29]. However, these reactions required stoichiometric amounts of BQ or high O2 pressure (6 atm), and a reoxidant, to perform the reactions efficiently. The development of an innovative method for the intermolecular oxidative allylic amination of simple alkenes, using molecular oxygen as the oxidant, is therefore also an important research topic.
In previous attempts to use molecular oxygen as an alternative oxidant in oxidative amination and to develop the above-mentioned research topics, we found that molybdovanadophosphoric acid (H3+nPMo12-nVnO40 H2O: HPMoV) served as a good reoxidant of Pd(0) to Pd(II) in a homogeneous catalytic system using O2 as the terminal oxidant [44,45,46]. Our group showed that the Pd(II)/HPMoV/O2 system was an efficient catalyst for the oxidative alkenylation of coupling reactions of arenes (known as the direct Mizoroki–Heck reaction) through direct aromatic or alkenyl C–H bond activation [47,48,49,50,51]. In addition, we recently reported that the oxidative C–H alkenylation of aminobenzenes was achieved using a Pd/HPMoV/2,4,6-trimethylbenzoic acid catalytic system [52].
Alternatively, complexes of molybdovanadophosphate ((NH4)5H4PMo6V6O40 nH2O:NPMoV), in which ammonium cations partly replace the acidic groups in HPMoV, have also been used as efficient reoxidation co-catalysts for the Pd(II)-catalyzed oxidation of alkenes [53,54]; this is a better reoxidation catalyst for oxidative coupling with more basic amines. We reported that a Pd(II)/NPMoV/O2 or Pd(II)/NPMoV/HQ/O2 (HQ: hydroquinone) system showed effective catalytic activity for acetoxylation and acetalization of olefins under mild conditions [53,54]. The Pd(II)/NPMoV/O2 catalytic system has been extended to Wacker-type oxidations and carbomethoxylation of olefins [55,56].
The reactions reported in this review focused on Pd-complex-catalyzed intermolecular oxidative amination using simple anilines as substrates, and molecular oxygen was used as the terminal oxidant. The intermolecular aerobic oxidative amination of electron-deficient olefins with secondary aromatic anilines was successfully achieved using a Pd(II)/NPMoV/HQ-catalyzed reaction with dioxygen [57]. In addition, intermolecular aerobic oxidative allylic amination of simple alkenes with simple amines such as diphenylamine was induced by a Pd(OCOCF3)2/NPMoV catalytic system, leading to the corresponding (E)-allylamines in good yields and with good selectivities, through the formation of (η3-allyl)palladium(II) trifluoroacetate species as possible key intermediates [58]. Furthermore, the Pd-catalyzed oxidative amination of olefins with primary anilines has been achieved using molecular dioxygen as the sole oxidant. Here, the use of ortho-substituted primary anilines such as o-toluidine was the key development in this reaction, providing the corresponding N-alkenyl-substituted anilines in high yields and with high selectivities [59].
2. Results and Discussion
2.1. Oxidative Amination of Electron-Deficient Alkenes with Secondary Amines, Catalyzed by Pd(II)/NPMoV/O2 System
First, we focused on aza-Wacker type reactions of secondary amines with electron-deficient olefins, affording enamines as the products. We found that the PdCl2(PhCN)/NPMoV/O2 system combined with a catalytic amount of HQ had good catalytic activity in oxidative amination reactions, exclusively affording (E)-enamines in good yields. The reaction of diphenylamine (1) with ethyl acrylate (2) was chosen as a model reaction. When a mixture of 1 (2 mmol) and 2 (6 mmol) was reacted in the presence of PdCl2(PhCN)2 (0.1 mmol, 5 mol%) combined with (NH4)5H4PMo6V6O40 23H2O (NPMoV) (0.02 mmol, 1 mol%) and HQ (0.4 mmol, 20 mol%) in dimethylformamide (DMF) (2 mL), under atmospheric oxygen (1 atm, balloon) at 60 °C for 6 h, (E)-ethyl-3-(diphenylamino)propenoate (3) was obtained in 90% yield (Equation 1).
With regard to the Pd catalyst used in this reaction, PdCl2(PhCN)2 gave the best result (90% yield), whereas the use of Pd(OAc)2 and Pd(acac)2, which showed high activities in our previously reported Pd(II)/HPMoV/O2 [44,45,46,47,48,49,50,51,52] and Pd(II)/NPMoV/O2 [53,54,55,56] catalytic systems, gave only 7–14% of the desired products 3. Catalyst possessing less acidic counter ion such as PdCl2(PhCN)2 is preferable to avoid over-coordination of the aniline nitrogen to Pd center.
This reaction was successfully performed using NPMoV and HQ as co-catalysts. The removal of either NPMoV or HQ from the catalytic system resulted in a sluggish reaction and low yields of 3.
In addition, atmospheric oxygen served as the terminal oxidant and the reaction under air or Ar resulted in yields of 3 of less than 10%, because of the difficulty of regenerating Pd(II) from the reduced Pd(0) during the reaction.
With regard to the amine substrate, the oxidative amination reaction only proceeded with amines possessing aromatic rings under these conditions; the reaction of 2 with primary aliphatic amines such as hexylamine and secondary aliphatic amines such dibutylamine resulted in exclusive formation of conjugated addition products instead of the desired oxidative amination products.
The reactions of various olefins with amines were examined under the optimized reaction conditions (Scheme 1). The reactions of diphenylamine (1) with various electron-deficient olefins such as methyl acrylate, methyl vinyl ketone, acrylonitrile, and styrene proceeded smoothly to give the corresponding products in good yields. The reaction also tolerated secondary aromatic amines such as 3-methyldiphenylamine, 3-methoxydiphenylamine, and n-butylphenylamine, to afford the corresponding enamines in good yields
Scheme 1.
Oxidative amination of secondary aromatic amines (1) and electron-deficient olefins (2), catalyzed by Pd(II)/NPMoV/HQ system. Conditions: secondary aromatic amines (2 mmol) were allowed to react with electron-deficient olefins (6 mmol) in the presence of PdCl2(PhCN)2 (5 mol%) combined with NPMoV (1 mol%) and hydroquinone (HQ) (20 mol%) in dimethylformamide (DMF) (2 mL) at 60 °C for 6 h.
Scheme 1.
Oxidative amination of secondary aromatic amines (1) and electron-deficient olefins (2), catalyzed by Pd(II)/NPMoV/HQ system. Conditions: secondary aromatic amines (2 mmol) were allowed to react with electron-deficient olefins (6 mmol) in the presence of PdCl2(PhCN)2 (5 mol%) combined with NPMoV (1 mol%) and hydroquinone (HQ) (20 mol%) in dimethylformamide (DMF) (2 mL) at 60 °C for 6 h.

In this reaction, the choice of solvent and the substrate ratio (1:2) influenced the selectivity for 3. During screening the effect of the solvent on the reaction, we observed an unusual formation of 1-amino-2,4-dicarboxylate-substituted 1,3-dienes on changing the solvent in the catalytic system: when DMF was used as the solvent, enamines 3 were obtained exclusively, whereas the reactions in DME, PhCN, MeCN, and t-BuOH under these reaction conditions afforded 3 in low yields (34–66%), with concomitant formation of 1-amino-2,4-dicarboxylate-substituted 1,3-dienes and (2E,4E)-diethyl-4-[(diphenylamino)methylene]pent-2-enedioate (4), as by-products (8–28% yields).
To achieve selective formation of 4, we focused on further optimization of the reaction conditions and found that the use of an excess (5 equiv.) of 1 with respect to 2 in PhCN gave the maximum yield of 4 (57%) with 83% selectivity (Equation 2).
It was considered that 4 would be formed by sequential reaction of the resulting 3 with 2. The reaction of 3 with 2 under similar reaction conditions was performed, and, as we anticipated, 4 was obtained in 43% yield (Equation 3).
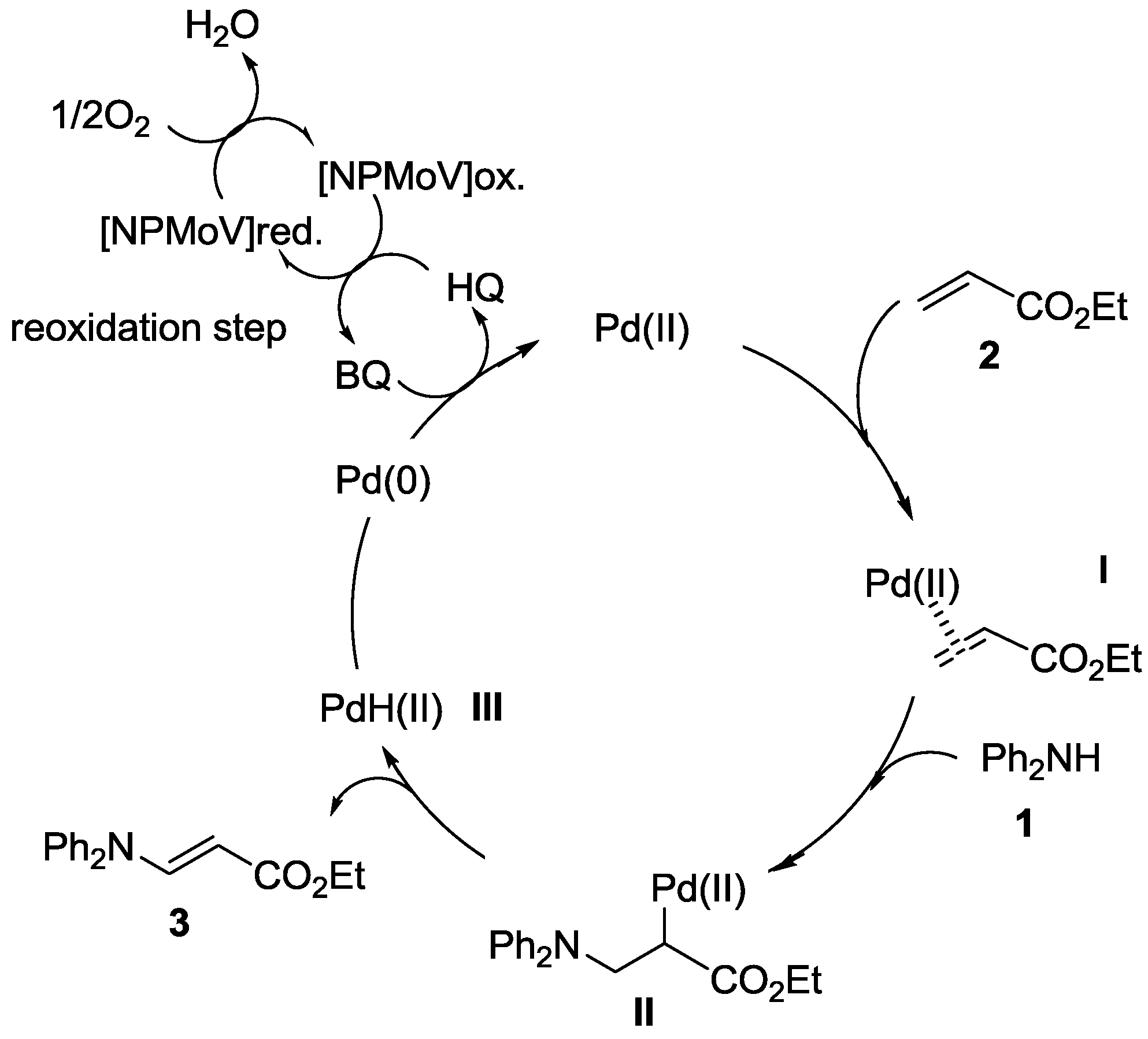
A plausible reaction pathway is an aza-Wacker-type route, as shown in Scheme 1. The coordination of olefin (2) to Pd(II) initiates the reaction to produce a Pd(II)–olefin complex (I). Nucleophilic attack of amine (1) on intermediate I then occurs, affording the aminopalladation intermediate II. Subsequent β-hydride elimination from the resulting intermediate II affords enamine 3 and an LnPdH(II) intermediate (III), which liberates HL (L = Cl or ligand) by reductive elimination to Pd(0) [53,60].
In the reoxidation of Pd(0) to Pd(II), as we previously reported [53,54], BQ functions as an efficient oxidizing agent for Pd(0), leading to disproportionation, affording Pd(II) and HQ. HQ is dehydrogenated to BQ by dioxygen and NPMoV (Scheme 2).
Scheme 2.
Plausible pathway for reaction of 1 with 2 to give 3, using Pd(II)/NPMoV/HQ/O2 system.
Scheme 2.
Plausible pathway for reaction of 1 with 2 to give 3, using Pd(II)/NPMoV/HQ/O2 system.

With regard to the reaction mechanism for the formation of 4, we propose that the formation of a zwitterionic intermediate IV, a resonance form of 3, serves as a carbon nucleophile for I (instead of amine 1) (Scheme 3). Subsequently, aminopalladation takes place by nucleophilic attack of IV on Pd(II)–olefin I, affording intermediate V, followed by β-hydride elimination, leading to 4 as a product, via intermediate VI, along with formation of Pd(II) through a similar reoxidation of Pd(0) by the NPMoV/HQ/O2 system (Scheme 3).
Scheme 3.
Plausible reaction pathway for formation of 4 from 3a, using 2.
Scheme 3.
Plausible reaction pathway for formation of 4 from 3a, using 2.

2.2. Oxidative Amination of Simple Alkenes with Secondary Amines, Catalyzed by Pd(II)/NPMoV/O2 System
We then focused on the less-explored intermolecular oxidative amination of amines with simple olefins. On screening the reaction conditions, we found that Pd(OCOCF3)2/NPMoV-catalyzed intermolecular aerobic oxidative allylic amination of simple aliphatic alkenes with secondary aromatic amines such as diphenylamine afforded (E)-allylamines in good yields with high regio- and stereo-selectivities.
The reaction of diphenylamine (1) with 1-decene (5) was chosen as a model reaction, and carried out under various conditions. When 1 (1 mmol) was reacted with 5 (7 mmol) in the presence of Pd(OCOCF3)2 (0.1 mmol) and (NH4)5H4PMo6V6O40 23H2O (NPMoV) (0.02 mmol) in trifluorotoluene (TFT) (1 mL) under O2 (1 atm) at 40 °C for 24 h, (E)-1-diphenylamino-2-decene (6) was obtained in 60% yield (Equation 4). In further screening of the reaction conditions, when the reaction was performed under 10 atm of air, the highest yield, 78%, was achieved (Equation 4). The reaction proceeded with high levels of stereo- and region-selectivity, and exclusive formation of the E isomer was obtained; no aza-Wacker-type products were detected under these conditions. The use of an excess (preferably 7 equiv.) of olefin (5) efficiently promoted the reaction. When the molar ratio of 1 to 5 was changed from 1:7 to 1:3, the yield of 6 decreased from 73% to 41%. In this reaction, the NPMoV catalyst efficiently serves in the reoxidation step with dioxygen, and the reaction in the absence of NPMoV from the catalytic system results in a sluggish reaction (15% yield).
In this reaction, dioxygen serves as a suitable oxidant for regenerating Pd(II) from the reduced Pd(0) during the reaction; the reaction under Ar resulted in only 15% of 6. The reaction proceeded under atmospheric oxygen (1 atm.), giving 3a in moderate yield (entry 5). It should be noted that the use of Pd(OCOCF3)2 as a catalyst is crucial for obtaining the highest catalytic activity. Other selected Pd(II) catalysts such as Pd(OAc)2 and Pd(acac)2, which were used in previously reported Pd(II)/NPMoV/O2-catalyzed aerobic oxidation reactions [53,54,55,56], were totally inactive as Pd catalysts in the present reaction (yields less than 4%). The yield of 6 decreased considerably (to 19%) when a more acidic HPMoV such as H4PMo11VO40 23H2O was used as the catalyst for the reoxidation of Pd(0), because of the formation of an amine salt of HPMoV with 1.
In this reaction, the choice of solvent also significantly influences the reactivity.
Among the solvents examined in this reaction, fluorine-containing solvents such as TFT, perfluorohexane, and FC-72 (perfluorohexanes,) were found to be most suitable for the formation of 6, and provided the desired product 6 in 73%, 73%, and 74% yields, respectively, whereas the use of conventional solvents such as toluene (55%), DMF (35%), DME (6%), and PhCN (7%) under these reaction conditions afforded 6 in low yields (yields are shown in parentheses).
Scheme 4.
Pd(OCOCF3)2/NPMoV/O2-catalyzed oxidative allylic amination of 1 with 5 to give allylamines (6). Conditions: amines (1 mmol) were allowed to react with olefins (7 mmol) in the presence of Pd(OCOCF3)2 (0.1 mmol) and NPMoV (0.02 mmol) in trifluorotoluene (TFT) (1 mL) under air (10 atm) at 40 °C for 24 h.
Scheme 4.
Pd(OCOCF3)2/NPMoV/O2-catalyzed oxidative allylic amination of 1 with 5 to give allylamines (6). Conditions: amines (1 mmol) were allowed to react with olefins (7 mmol) in the presence of Pd(OCOCF3)2 (0.1 mmol) and NPMoV (0.02 mmol) in trifluorotoluene (TFT) (1 mL) under air (10 atm) at 40 °C for 24 h.

Under the optimized conditions, the reactions of various diarylamines with aliphatic alkenes afforded the corresponding allylamine derivatives in good yields (Scheme 4). Simple alkenes such as 1-octene, 1-dodecene, allylcyclohexane, allylbenzene, and 4-phenyl-1-butene reacted smoothly with 1, affording the corresponding (E)-allyamines in good yields with high selectivities. The reaction also tolerated various secondary aromatic amines such as 3-methyldiphenylamine and 3-fluorodiphenylamine, and the reaction with 5 produced the corresponding allylic amines in moderate to good yields (Scheme 4). However, the reactions with aliphatic amines such as hexylamine and dibutylamine were sluggish, because strong coordination of these more basic amines to the Pd center deactivates the Pd and NPMoV species.
With regard to the reaction mechanism, it is known that η3-allylpalladium intermediates are formed by the reaction of alkenes with Pd(II) through allylic C–H bond activation [26,27,29]. To confirm the participation of the η3-allylpalladium intermediate as the key in the catalytic cycle, and in order to obtain further insights into the specific role of the Pd(OCOCF3)2 catalyst in this reaction, the (η3-cinnamyl)palladium trifluoroacetate dimer (7) and (η3-cinnamyl)palladium acetate dimer (8) were synthesized independently as model intermediates, according to the literature methods [61,62]. Stoichiometric reactions with diphenylamine (1) were carried out under the conditions shown in Equation 5, using the complexes 7 and 8. The stoichiometric reaction of the trifluoroacetate-substituted η3-allylpalladium 6 with 1 produced the desired allylic amine 9 in substantial yield, but almost no coupling product was obtained in the reaction with the acetate-substituted η3-allylpalladium 7. These results indicate that the formation of η3-allylpalladium species is an important factor in the present catalytic cycle, and the more electrophilic η3-allylpalladium trifluoroacetate is a suitable intermediate for further transformations with amines, affording allylic amines.
Based on these results, the most plausible reaction pathway is shown in Scheme 5. First, Pd(II) reacts with alkene 2 to form an η3-allylpalladium intermediate VII, along with trifluoroacetic acid, through allylic C–H bond activation. The trifluoroacetate group on the Pd(II) complex smoothly abstracts the allylic hydrogen to form η3-allylpalladium bearing a trifluoroacetate group. Then, VII is subjected to nucleophilic attack by amine 1 to afford the oxidative allylic amination product and Pd(0). The trifluoroacetate group facilitates the amination step, as we demonstrated in the stoichiometric reaction of 7 with 1 (see Equation 5). The resulting Pd(0) species is smoothly reoxidized by the NPMoV/O2 system to generate Pd(II) (Scheme 5).
Scheme 5.
Most plausible reaction mechanism (through allylic C–H activation).
Scheme 5.
Most plausible reaction mechanism (through allylic C–H activation).

However, another reaction pathway, through aminopalladation/β-hydride elimination (aza-Wacker process), cannot be ruled out completely, and is also a possible reaction mechanism (Scheme 6).
Scheme 6.
Another possible reaction mechanism (aza-Wacker process).
Scheme 6.
Another possible reaction mechanism (aza-Wacker process).

2.3. Palladium-Catalyzed Z-Selective Oxidative Amination of Ortho-Substituted Primary Anilines with Olefins under Open Air Atmosphere
In this review, we report Pd(II)-catalyzed oxidative aminations of electron-deficient olefins and simple alkenes to afford enamines and allylic amines, respectively. However, these reactions have two drawbacks. The first drawback is that the amine substrate is limited to secondary amines. The second is that a catalytic amount of NPMoV and/or HQ as a co-catalyst is still needed for the oxidation using molecular oxygen.
In the final part of this review, we report the Pd-catalyzed oxidative amination reaction of electron-deficient olefins using aromatic primary anilines in the presence of air (O2) as the sole oxidant, without the need for an external reoxidant, to give the corresponding enamine derivatives in high yields.
As an initial attempt, the reaction of aniline (10, 3 mmol) and n-butyl acrylate (11, 1 mmol) was carried out. Screening of the reaction conditions showed that the reaction proceeded efficiently in the presence of Pd(OAc)2 (0.03 mmol, 3 mol%) and pivalic acid (PivOH, 0.25 mmol) in N-methyl-2-pyrrolidone (NMP; 0.5 mL) under ambient air at 60 °C for 15 h, affording the corresponding enamine in 38% yield, with a mixture of E and Z isomers (E:Z = 1:4).
To increase the yield, and the selectivity for the target reaction, we further screened the reaction. We found that the use of ortho-substituted primary amines was particularly important for promoting the reaction and giving the desired enamines in high yields with high selectivities.
Based on these our findings, and to confirm the optimum reaction conditions for this transformation, the reaction of o-toluidine (12) with n-butyl acrylate (11) was selected as a model reaction, and conducted under a variety of different reaction conditions. The best result was observed when the reaction of o-toluidine (12, 3 mmol) with n-butyl acrylate (11, 1 mmol) was performed in the presence of Pd(OAc)2 (0.03 mmol, 3 mol%) and PivOH (0.25 mmol) in NMP (0.5 mL) under ambient air at 60 °C for 15 h. The corresponding enamine (13) was obtained in 90% yield (Equation 6). It is worth noting that the reaction proceeded with a high level of Z selectivity, affording the (Z)-enamine exclusively. In this reaction, the use of an additive, PivOH, substantially enhanced the catalytic activity; however, the reaction in the absence of PivOH afforded 13 in 80% yield. In contrast, the addition of Lewis acids such as p-toluenesulfonic acid and AlCl3 considerably suppressed the catalytic activity. In this reaction, dioxygen serves as the sole oxidant and no external reoxidation agent such as NPMoV is necessary. Needless to say, when the reaction was conducted under an Ar atmosphere, a low yield of 13 (3%) was observed, indicating that the oxygen in the air serves as the sole oxidant.
Under the optimized conditions, various primary anilines and electron-deficient olefins were tolerated in the oxidative amination (Scheme 7). As mentioned above, the use of ortho-substituted anilines such as o-toluidine, o-isopropylaniline, and o-anisidine gave high yields (71–81%) of the corresponding enamines, with high levels of regio- and stereo-selectivity (E:Z = 1:>20). In contrast, when m- and p-toluidine were used, the yields of the corresponding enamines decreased (30–42%), but high levels of Z selectivity were retained. These results suggest that the bulky o-methyl substituent effectively hampered over-coordination (or saturation) of the aniline nitrogen to the Pd center, preventing deactivation of the catalyst in the catalytic cycle. Under these conditions, various electron-deficient olefins were tolerated, and gave the corresponding enamines in good yields. When acrylonitrile and styrene were used as the olefins, the yields of the desired products were low (15–40%), and lower stereoselectivities of the desired products were observed. These results suggest that the carbonyl group plays an important role in determining the stereoselectivity during the course of the reaction. Under these reaction conditions, the use of amides such as phthalimide (as less-basic amide), cyclooctylamine (as more-basic aliphatic amine) are totally inactive toward the oxidative amination.
Scheme 7.
Pd-catalyzed oxidative amination of primary anilines with olefins. Conditions: anilines (3 mmol) were reacted with electron-deficient olefins (1 mmol) in the presence of a Pd(OAc)2 (0.03 mmol) and PivOH (0.25 mmol) in NMP (0.5 mL) at 60°C for 15 h under open air.
Scheme 7.
Pd-catalyzed oxidative amination of primary anilines with olefins. Conditions: anilines (3 mmol) were reacted with electron-deficient olefins (1 mmol) in the presence of a Pd(OAc)2 (0.03 mmol) and PivOH (0.25 mmol) in NMP (0.5 mL) at 60°C for 15 h under open air.

A plausible reaction mechanism for this reaction is shown in Scheme 8. Similar to the reactions reported in Section 2.1 and Section 2.2, the coordination of olefin 2 to Pd(II) leads to a Pd(II) complex VIII. The intermediate VIII is subjected to nucleophilic attack by the primary amine, followed by formation of a six-membered Pd complex IX, possibly by hydrogen bonding between the carbonyl oxygen atom and the hydrogen atom of the primary amine [63]. Subsequently, β-hydride elimination from intermediate VIII generates Pd–H and the Z amination product. The palladium hydride species then readily undergoes reductive elimination to give Pd(0), and the resulting Pd(0) species is smoothly reoxidized by O2 to Pd(II).
Scheme 8.
Plausible reaction mechanism for oxidative amination of ortho-substituted amines with olefins.
Scheme 8.
Plausible reaction mechanism for oxidative amination of ortho-substituted amines with olefins.

3. Experimental Section
3.1. General
GLC analysis was performed with a flame ionization detector using a 0.22 mm × 25 m capillary column (BP-5). 1H and 13C NMR spectra were obtained at 400 and 100 MHz, respectively, in CDCl3 with Me4Si as the internal standard. The products were characterized using 1H NMR, 13C NMR, and GC-MS.
3.2. Reaction of 1 and 2 (Equation 1)
A mixture of 1 (338 mg, 2 mmol) and 2 (600 mg, 6 mmol) was reacted in the presence of PdCl2(PhCN)2 (38 mg, 0.1 mmol, 5 mol%), (NH4)5H4PMo6V6O40 23H2O (NPMoV) (35 mg, 0.02 mmol, 1 mol%), and HQ (44 mg, 0.4 mmol, 20 mol%) in DMF (2 mL) under atmospheric oxygen (1 atm.) at 60 °C for 6 h in a 30 mL round-bottomed flask. The conversions and yields of the products were estimated from peak areas, based on an internal standard, using GC; product 3 was obtained in 90% yield.
3.3. Reaction of 3 with 2 (Equation 3)
A mixture of 3 (182 mg, 0.5 mmol) and 2 (500 mg, 5 mmol) was reacted with PdCl2(PhCN)2 (19 mg, 0.01 mmol, 10 mol%), (NH4)5H4PMo6V6O40 23H2O (NPMoV) (18 mg, 0.01 mmol, 2 mol%), and HQ (22 mg, 0.2 mmol, 40 mol%) in PhCN (1 mL) at 60 °C for 6 h under atmospheric oxygen (1 atm.) in a 30 mL round-bottomed flask. The conversions and yields of the products were estimated from peak areas, based on an internal standard, using GC; product 4 was obtained in 43% yield.
3.4. Reaction of 1 with 5 (Equation 4)
A mixture of 1 (169 mg, 2 mmol) and 5 (980 mg, 7 mmol) was reacted with Pd(OCOCF3)2 (33 mg, 0.1 mmol, 10 mol%) and (NH4)5H4PMo6V6O40 23H2O (NPMoV) (35 mg, 0.02 mmol, 2 mol%) in TFT (1 mL) at 40 °C for 24 h under air (10 atm) in a 50 mL stainless-steel autoclave. The conversions and yields of the products were estimated from peak areas, based on an internal standard, using GC; product 3a was obtained in 73% yield.
3.5. Reaction of 1 with 7 (Equation 5)
A mixture of 1 (85 mg, 0.5 mmol) and 7 (168 mg, 0.5 mmol) was allowed to react in TFT (1 mL) at 40 °C for 24 h under Ar in a Schlenk flask. The conversions and yields of the products were estimated from peak areas, based on an internal standard, using GC; product 9 was obtained in 44% yield.
3.6. Reaction of 11 with 12 (Equation 6)
A mixture of 11 (128 mg, 1 mmol) and 12 (322 mg, 3 mmol) was reacted with Pd(OAc)2 (6.7 mg, 0.03 mmol, 3 mol%) and PivOH (26 mg, 0.25 mmol) in NMP (0.5 mL) at 60 °C for 15 h under open air in a 30 mL round-bottomed flask. The crude reaction mixture was cooled to room temperature. EtOAc (30 mL) was added to the dark solution. The residue was purified using column chromatography on silica gel (EtOAc/hexane = 1:40) to provide (Z)-butyl 3-(o-tolylamino)acrylate (3a) (210 mg, 90%).
4. Conclusions
In this review, we reported our recent work on efficient catalytic systems for intermolecular aza-Wacker reactions of olefins and secondary aromatic anilines, using a Pd(II)/NPMoV/HQ/O2 system, affording oxidative amination products in good yields. In addition, by tuning the reaction solvent and the substrate ratio, we obtained 1-amino-2,4-dicarboxylate-substituted 1,3-dienes as the major adducts.
In addition, we reported the Pd(II)/NPMoV/O2-catalyzed oxidative allylic amination of simple alkenes with simple amines to afford (E)-allylamines. Pd(II) catalyzes the reactions of olefins and aromatic secondary amines in both intermolecular aerobic allylic amination and oxidative C–H olefination of aromatic secondary amines to give (E)-allylamines and olefin-substituted aromatic amines, respectively, in good yields, with high regioselectivities. We also demonstrated the aerobic oxidative amination of o-substituted primary anilines with olefins, catalyzed by Pd, using dioxygen as the sole oxidant. The reactions proceeded to give the desired N-alkenyl-substituted anilines with high levels of regio- and stereo-selectivity using primary anilines. All the presented oxidative amination reactions in this review uses molecular oxygen as external oxidant. Therefore, these reactions provide useful organic transformations to access enamines and allylic amines from an environmental and economical point of view.
Acknowledgments
We acknowledge that these studies were carried out in collaboration with co-workers at Kansai University listed in the references. This work was supported by MEXT-Supported Program for the Strategic Research Foundation at Private Universities (2010-2014).
Conflicts of Interest
The authors declare no conflict of interest.
References
- Wang, H.; Yu, N.; Chen, D.; Lee, K.C.L.; Lye, P.L.; Chang, J.W.W.; Deng, W.; Ng, M.C.Y.; Lu, T.; Khoo, M.L.; et al. Discovery of (2E)-3-{2-butyl-1-[2-(diethylamino)ethyl]-1H-benzimidazol-5-yl}-N-hydroxyacrylamide (SB939), an orally active histone deacetylase inhibitor with a superior preclinical profile. J. Med. Chem. 2011, 54, 4694–4720. [Google Scholar] [CrossRef]
- Wu, Q.-P.; Zhang, L.; Liang, M.; Sun, Z.; Xue, S. Sensitizers containing donor cascade and rhodanine-3-acetic acid moieties for dye-sensitized solar cells. Sol. Energy 2011, 85, 1–6. [Google Scholar] [CrossRef]
- Singh, T.S.; Moyon, N.S.; Mitra, S. Effect of solvent hydrogen bonding on the photophysical properties of intramolecular charge transfer probe trans-ethyl p-(dimethylamino)cinnamate and its derivative. Spectrochim. Acta A 2009, 73, 630–636. [Google Scholar] [CrossRef]
- Beccalli, E.M.; Broggini, G.; Martinelli, M.; Sottocornola, S. C-C, C-O, C-N bond formation on sp2 carbon by palladium(II)-catalyzed reactions involving oxidant agents. Chem. Rev. 2007, 107, 5318–5365. [Google Scholar] [CrossRef]
- Bras, J.L.; Muzart, J. Intermolecular dehydrogenative Heck reactions. Chem. Rev. 2011, 111, 1170–1214. [Google Scholar] [CrossRef]
- Vasseur, A.; Muzart, J.; Bras, J.L. Dehydrogenative Heck reaction of furans and thiophenes with styrenes under mild conditions and influence of the oxidizing agent on the reaction rate. Chem. Eur. J. 2011, 17, 12556–12560. [Google Scholar] [CrossRef]
- Wencel-Delord, J.; Dröge, T.; Liu, F.; Glorius, F. Towards mild metal-catalyzed C-H bond activation. Chem. Soc. Rev. 2011, 40, 4740–4761. [Google Scholar] [CrossRef]
- Besset, T.; Kuhl, N.; Patureau, F.W.; Glorius, F. RhIII-catalyzed oxidative olefination of vinylic C-H Bonds: efficient and selective access to di-unsaturated α-amino acid derivatives and other linear 1,3-butadienes. Chem. Eur. J. 2011, 17, 7167–7171. [Google Scholar] [CrossRef]
- Patureau, F.W.; Besset, T.; Glorius, F. Rhodium-catalyzed oxidative olefination of C-H bonds in acetophenones and benzamides. Angew. Chem. Int. Ed. 2011, 50, 1064–1067. [Google Scholar] [CrossRef]
- Stahl, S.S. Palladium oxidase catalysis. Selective oxidation of organic chemicals by direct dioxygen-coupled turnover. Angew. Chem. Int. Ed. 2004, 43, 3400–3420. [Google Scholar] [CrossRef]
- Kotov, V.; Scarborough, C.C.; Stahl, S.S. Palladium-catalyzed aerobic oxidative amination of alkenes: Development of intra- and intermolecular aza-Wacker reactions. Inorg. Chem. 2007, 46, 1910–1923. [Google Scholar] [CrossRef]
- Zhang, Z.; Zhang, J.; Tan, J.; Wang, Z. A facile access to pyrroles from amino acids via an aza-Wacker cyclization. J. Org. Chem. 2008, 73, 5180–5182. [Google Scholar] [CrossRef]
- Liu, G.; Stahl, S.S. Two-faced reactivity of alkenes: cis- versus trans-aminopalladation in aerobic Pd-catalyzed intramolecular aza-Wacker reactions. J. Am. Chem. Soc. 2007, 129, 6328–6335. [Google Scholar]
- Yang, G.; Zhang, W. Regioselective Pd-catalyzed aerobic aza-Wacker cyclization for preparation of isoindolinones and isoquinolin-1(2H)-ones. Org. Lett. 2012, 14, 268–271. [Google Scholar] [CrossRef]
- Liwosz, T.W.; Chemler, S.R. Copper-catalyzed oxidative amination and allylic amination of alkenes. Chem. Eur. J. 2013, 19, 12771–12777. [Google Scholar] [CrossRef]
- Jiménez, M.V.; Pérez-Torrente, J.J.; Bartolomé, M.I.; Lahoz, F.J.; Oro, L.A. Rational design of efficient rhodium catalysts for the anti-markovnikov oxidative amination of styrene. Chem. Commun. 2010, 46, 5322–5324. [Google Scholar]
- Jiménez, M.V.; Bartolomé, M.I.; Pérez-Torrente, J.J.; Gómez, D.; Modrego, F.J.; Oro, L.A. Mechanistic studies on the catalytic oxidative amination of alkenes by rhodium (I) complexes with hemilabile phosphines. ChemCatChem 2013, 5, 263–276. [Google Scholar] [CrossRef]
- Jiménez, M.V.; Bartolomé, M.I.; Pérez-Torrente, J.J.; Lahoz, F.J.; Oro, L.A. Rhodium(I) complexes with hemilabile phosphines: Rational design for efficient oxidative amination catalysts. ChemCatChem 2012, 4, 1298–1310. [Google Scholar] [CrossRef]
- Timokhin, V.I.; Anastasi, N.R.; Stahl, S.S. Dioxygen-coupled oxidative amination of styrene. J. Am. Chem. Soc. 2003, 125, 12996–12997. [Google Scholar]
- Brice, J.L.; Harang, J.E.; Timokhin, V.I.; Anastasi, N.R.; Stahl, S.S. Aerobic oxidative amination of unactivated alkenes catalyzed by palladium. J. Am. Chem. Soc. 2005, 127, 2868–2869. [Google Scholar]
- Timokhin, V.I.; Stahl, S.S. Bronsted base-modulated regioselectivity in the aerobic oxidative amination of styrene catalyzed by palladium. J. Am. Chem. Soc. 2005, 127, 17888–17893. [Google Scholar] [CrossRef]
- Scarborough, C.C.; Stahl, S.S. Synthesis of pyrrolidines via palladium(II)-catalyzed aerobic oxidative carboamination of butyl vinyl ether and styrenes with allyl tosylamides. Org. Lett. 2006, 8, 3251–3254. [Google Scholar] [CrossRef]
- Liu, G.; Stahl, S.S. Highly regioselective Pd-catalyzed intermolecular aminoacetoxylation of alkenes and evidence for cis-aminopalladation and S(N)2 C-O bond formation. J. Am. Chem. Soc. 2006, 128, 7179–7181. [Google Scholar] [CrossRef]
- Rogers, M.M.; Kotov, V.; Chatwichien, J.; Stahl, S.S. Palladium-catalyzed oxidative amination of alkenes: improved catalyst reoxidation enables the use of alkene as the limiting reagent. Org. Lett. 2007, 9, 4331–4334. [Google Scholar] [CrossRef]
- Wu, L.; Qiu, S.; Liu, G. Bronsted base-modulated regioselective pd-catalyzed intramolecular aerobic oxidative amination of alkenes: Formation of seven-membered amides and evidence for allylic C-H activation. Org. Lett. 2009, 11, 2707–2710. [Google Scholar] [CrossRef]
- Liu, G.; Yin, G.; Wu, L. Palladium-catalyzed intermolecular aerobic oxidative amination of terminal alkenes: Efficient synthesis of linear allylamine derivatives. Angew. Chem. Int. Ed. 2008, 47, 4733–4736. [Google Scholar] [CrossRef]
- Reed, S.A.; White, M.C. Catalytic intermolecular linear allylic C-H amination via heterobimetallic catalysis. J. Am. Chem. Soc. 2008, 130, 3316–3318. [Google Scholar] [CrossRef]
- Paradine, S.M.; White, M.C. Iron-catalyzed intramolecular allylic C-H amination. J. Am. Chem. Soc. 2012, 134, 2036–2039. [Google Scholar] [CrossRef]
- Reed, S.A.; Mazzotti, A.R.; White, M.C. A catalytic, Bronsted base strategy for intermolecular allylic C-H amination. J. Am. Chem. Soc. 2009, 131, 11701–11706. [Google Scholar]
- Fraunhoffer, K.J.; White, M.C. syn-1,2-Amino alcohols via diastereoselective allylic C-H amination. J. Am. Chem. Soc. 2007, 129, 7274–7276. [Google Scholar] [CrossRef]
- Jiang, C.; Covell, D.J.; Stepan, A.F.; Plummer, M.S.; White, M.C. Sequential allylic C-H amination/vinylic C-H arylation: A strategy for unnatural amino acid synthesis from α-olefins. Org. Lett. 2012, 14, 1386–1389. [Google Scholar]
- Rice, G.T.; White, M.C. Allylic C-H amination for the preparation of syn-1,3-amino alcohol motifs. J. Am. Chem. Soc. 2009, 131, 11707–11711. [Google Scholar] [CrossRef]
- Qi, X.; Rice, G.T.; Lall, M.S.; Plummer, M.S.; White, M.C. Diversification of a β-lactam pharmacophore via allylic C-H amination: Accelerating effect of Lewis acid co-catalyst. Tetrahedron 2010, 66, 4816–4826. [Google Scholar]
- van Benthem, R.A.T.M.; Hiemstra, H.; Longarela, G.R.; Speckamp, W.N. Formamide as a superior nitrogen nucleophile in palladium(II) mediated synthesis of imidazolidines. Tetrahedron Lett. 1994, 35, 9281–9284. [Google Scholar]
- Rönn, M.; Bäckvall, J.-E.; Andersson, P.G. Palladium(II)-catalyzed cyclization using molecular oxygen as reoxydant. Tetrahedron Lett. 1995, 36, 7749–7752. [Google Scholar] [CrossRef]
- Larock, R.C.; Hightower, T.R.; Hasvold, L.A.; Peterson, K.P. Palladium(II)-catalyzed cyclization of olefinic tosylamides. J. Org. Chem. 1996, 61, 3584–3585. [Google Scholar] [CrossRef]
- Fix, S.R.; Brice, J.L.; Stahl, S.S. Efficient intramolecular oxidative amination of olefins through direct dioxygen-coupled palladium catalysis. Angew. Chem. Int. Ed. 2002, 41, 164–166. [Google Scholar] [CrossRef]
- Trend, R.M.; Ramtohul, Y.K.; Ferreira, E.M.; Stoltz, B.M. Palladium-catalyzed oxidative wacker cyclizations in nonpolar organic solvents with molecular oxygen: A stepping stone to asymmetric aerobic cyclizations. Angew. Chem. Int. Ed. 2003, 42, 2892–2895. [Google Scholar] [CrossRef]
- Bozell, J.J.; Hegedus, L.S. Palladium-assisted functionalization of olefins: A new amination of electron-deficient olefins. J. Org. Chem. 1981, 46, 2561–2563. [Google Scholar] [CrossRef]
- Beller, M.; Eichberger, M.; Trauthwein, H. Anti-Markovnikov functionalization of unsaturated compounds. 1. Anti-Markovnikov functionalization of olefins: Rhodium-catalyzed oxidative amination of styrenes. Angew. Chem. Int. Ed. 1997, 36, 2225–2227. [Google Scholar]
- Tillack, A.; Trauthwein, H.; Hartung, C.G.; Eichberger, M.; Pitter, S.; Jansen, A.; Beller, M. Anti-Markovnikov reactions. 8. Rhodium-catalyzed amination of aromatic olefins. Monatsh. Chem. 2000, 131, 1327–1334. [Google Scholar] [CrossRef]
- Scarborough, C.C.; Bergant, A.; Sazama, G.T.; Guzei, I.A.; Spencer, L.C.; Stahl, S.S. Synthesis of PdII complexes bearing an enantiomerically resolved seven-membered N-heterocyclic carbene ligand and initial studies of their use in asymmetric Wacker-type oxidative cyclization reactions. Tetrahedron 2009, 65, 508–5092. [Google Scholar]
- Yu, H.; Fu, Y.; Guo, Q.; Lin, Z. Theoretical Investigations on Mechanisms of Pd(OAc)2-Catalyzed Intramolecular Diaminations in the Presence of Bases and Oxidants. Organometallics 2009, 28, 4507–4512. [Google Scholar] [CrossRef]
- Ohashi, S.; Sakaguchi, S.; Ishii, Y. Carboxylation of anisole derivatives with CO and O2 catalyzed by Pd(OAc)2 and molybdovanadophosphates. Chem. Commun. 2005, 486–488. [Google Scholar] [CrossRef]
- Yamada, S.; Sakaguchi, S.; Ishii, Y. Carboxylation and hydroxylation of biphenyl by the Pd/molybdovanadophosphoric acid/dioxygen stsyem. J. Mol. Catal. A 2007, 262, 48–51. [Google Scholar] [CrossRef]
- Yamada, S.; Ohashi, S.; Obora, Y.; Sakaguchi, S.; Ishii, Y. Carboxylation of benzene with CO and O2 catalyzed by Pd(OAc)2 combined with molybdovanadophosphates. J. Mol. Catal. 2008, 282, 22–27. [Google Scholar] [CrossRef]
- Yokota, T.; Tani, M.; Sakaguchi, S.; Ishii, Y. Direct coupling of benzene with olefin catalyzed by Pd(OAc)2 combined with heteropolyoxometalate under dioxygen. J. Am. Chem. Soc. 2003, 125, 1476–1477. [Google Scholar] [CrossRef]
- Tani, M.; Sakaguchi, S.; Ishii, Y. Pd(OAc)2-Catalyzed oxidative coupling reaction of benzenes with olefins in the presence of molybdovanadophosphoric acid under atmospheric dioxygen and air. J. Org. Chem. 2004, 69, 1221–1226. [Google Scholar] [CrossRef]
- Yamada, T.; Sakaguchi, S.; Ishii, Y. Oxidative coupling of benzenes with α,β-unsaturated aldehydes by the Pd(OAc)2/molybdovanadophosphoric acid/O2 system. J. Org. Chem. 2005, 70, 5471–5474. [Google Scholar] [CrossRef]
- Yamada, T.; Sakakura, A.; Sakaguchi, S.; Obora, Y.; Ishii, Y. Oxidative arylation of ethylene with benzene catalyzed by Pd(OAc)2/heteropoly acid/O2 system. New J. Chem. 2008, 32, 738–742. [Google Scholar] [CrossRef]
- Obora, Y.; Okabe, Y.; Ishii, Y. Direct oxidative coupling of benzenes with acrylonitriles to cinnamonitriles catalyzed by Pd(OAc)2/HPMoV/O2 system. Org. Biomol. Chem. 2010, 8, 4071–4073. [Google Scholar] [CrossRef]
- Mizuta, Y.; Obora, Y.; Shimizu, Y.; Ishii, Y. para-Selective aerobic oxidative C-H olefination of aminobenzenes catalyzed by palladium/molybdovanadophosphoric acid/2,4,6-trimethylbenzoic acid system. ChemCatChem 2012, 4, 187–191. [Google Scholar] [CrossRef]
- Yokota, T.; Sakaguchi, S.; Ishii, Y. Oxidation of unsaturated hydrocarbons by Pd(OAc)2 using a molybdovanadophosphate/dioxygen system. J. Jpn. Petrol. Inst. 2003, 46, 15–27. [Google Scholar] [CrossRef]
- Yokota, T.; Fujibayashi, S.; Nishiyama, Y.; Sakaguchi, S.; Ishii, Y. Molybdovanadophosphate (NPMoV)/hydroquinone/O2 system as an efficient reoxidation system in palladium-catalyzed oxidation of alkenes. J. Mol. Catal. A 1996, 114, 113–122. [Google Scholar] [CrossRef]
- Yokota, T.; Sakakura, A.; Tani, M.; Sakaguchi, S.; Ishii, Y. Selective Wacker-type oxidation of terminal alkenes and dienes using the Pd(II)/molybdovanadophosphate (NPMoV)/O2 system. Teterahedron Lett. 2002, 43, 8887–8891. [Google Scholar] [CrossRef]
- Yokota, T.; Sakaguchi, S.; Ishii, Y. Oxidative carbomethoxylation of alkenes using a Pd(II)/molybdovanadophosphate (NPMoV) system under carbon monoxide and air. J. Org. Chem. 2002, 67, 5005–5008. [Google Scholar] [CrossRef]
- Obora, Y.; Shimizu, Y.; Ishii, Y. Intermolecular oxidative amination of olefins with amines catalyzed by the Pd(II)/NPMoV/O2 system. Org. Lett. 2009, 11, 5058–5061. [Google Scholar] [CrossRef]
- Shimizu, Y.; Obora, Y.; Ishii, Y. Intermolecular aerobic oxidative allylic amination of simple alkenes with diarylamines catalyzed by the Pd(OCOCF3)2/NPMoV/O2 sysyem. Org. Lett. 2010, 12, 1372–1374. [Google Scholar] [CrossRef]
- Mizuta, Y.; Yasuda, K.; Obora, Y. Palladium-catalyzed Z-selective oxidative amination of ortho-substituted primary anilines with olefins under an open air atmosphere. J. Org. Chem. 2013, 78, 6332–6337. [Google Scholar] [CrossRef]
- Obora, Y.; Ishii, Y. Pd(II)/HPMoV-catalyzed direct oxidative coupling reaction of benzenes with olefins. Molecules 2010, 15, 1487–1500. [Google Scholar] [CrossRef]
- Obora, Y.; Ogawa, Y.; Imai, Y.; Kawamura, T.; Tsuji, Y. Palladium complex catalyzed acylation of allylic esters with acylsilanes. J. Am. Chem. Soc. 2001, 123, 10489–10493. [Google Scholar] [CrossRef]
- Hegedus, L.S.; Åkermark, B.; Zetterberg, K.; Olsson, L.F. Palladium-assisted amination of olefins. A mechanistic study. J. Am. Chem. Soc. 1984, 106, 7122–7126. [Google Scholar] [CrossRef]
- Lee, J.M.; Ahn, D.-S.; Jung, D.Y.; Lee, J.; Do, Y.; Kim, S.K.; Chang, S. Hydrogen-bond-directed highly stereoselective synthesis of Z-enamides via Pd-catalyzed oxidative amidation of conjugated olefins. J. Am. Chem. Soc. 2006, 128, 12954–12962. [Google Scholar]
© 2013 by the authors; licensee MDPI, Basel, Switzerland. This article is an open access article distributed under the terms and conditions of the Creative Commons Attribution license (http://creativecommons.org/licenses/by/3.0/).