Next Article in Journal
Enhancement of Hydrogen Storage Behavior of Complex Hydrides via Bimetallic Nanocatalysts Doping
Next Article in Special Issue
Carbon Xerogel Catalyst for NO Oxidation
Previous Article in Journal
Alcohol Dehydrogenation with a Dual Site Ruthenium, Boron Catalyst Occurs at Ruthenium
Previous Article in Special Issue
Co-Fe-Si Aerogel Catalytic Honeycombs for Low Temperature Ethanol Steam Reforming
 
 
Font Type:
Arial Georgia Verdana
Font Size:
Aa Aa Aa
Line Spacing:
Column Width:
Background:
Article

Carbon Aerogel-Supported Pt Catalysts for the Hydrogenolysis and Isomerization of n-Butane: Influence of the Carbonization Temperature of the Support and Pt Particle Size

by
Carlos Moreno-Castilla
*,
Francisco Carrasco-Marín
and
Marta B. Dawidziuk
Department of Inorganic Chemistry, Faculty of Science, University of Granada, 18071 Granada, Spain
*
Author to whom correspondence should be addressed.
Catalysts 2012, 2(4), 422-433; https://doi.org/10.3390/catal2040422
Submission received: 18 July 2012 / Revised: 3 September 2012 / Accepted: 24 September 2012 / Published: 12 October 2012
(This article belongs to the Special Issue Aerogel Catalyst)

Abstract

:
Carbon aerogels prepared at different carbonization temperatures and with varying mesopore volumes were used as supports for Pt catalysts to study the n-C4H10/H2 reaction. Mean Pt particle size depended on the mesopore volume of the support, showing a linear decrease when the mesopore volume increased. The turnover frequency (TOF) for hydrogenolysis was much higher than for isomerization in catalysts supported on carbon aerogels obtained at 900–950 °C. However, both TOF values were similar in catalysts supported on the carbon aerogel obtained at 500 °C. TOF for hydrogenolysis and isomerization were related to the mean Pt particle size in catalysts supported on carbon aerogels obtained at 900–950 °C. In addition, both reactions showed a compensation effect between the activation energy and pre-exponential factor, indicating that they have the same intermediate, i.e., the chemisorbed dehydrogenated alkane.

1. Introduction

Alkane hydrogenolysis consists of the breakage of C-C bonds with the uptake of hydrogen. It is always exothermic, because each hydrogenolysis reaction involves the rupture of a C-C bond and the formation of two C-H bonds. Alkane hydrogenolysis over supported metal catalysts is of theoretical interest, because many hydrogenolysis reactions are structure sensitive, as well as having industrial applications in alkane reforming [1,2,3].
The type of metal influences the catalyst activity and hydrogenolysis depth, i.e., the number of C-C bonds broken per collision of a reactant molecule with the catalyst surface. For instance, Pt is not as active as other metals in groups 8, 9, and 10 of the Periodic Table, but it is highly selective for single hydrogenolysis, breaking a single C-C bond per collision with the metal surface.
Alkane isomerization can also take place under hydrogenolysis conditions, although Pt catalysts are generally more active in hydrogenolysis than in the isomerization reaction. Both reactions depend on the metal catalyst and support.
Carbon aerogels can be used as supports for metal catalysts among other applications because they can be prepared with high purity and homogeneity, and with controlled micro and mesoporosity [4]. In addition, carbon aerogels can be synthesized in a large variety of forms such as monoliths, microspheres, powders and thin films. These materials are produced by the carbonization of organic aerogels prepared by the sol-gel polymerization of phenolic compounds with formaldehyde [5], using either basic or acid catalysts, and dried with supercritical CO2.
In the present work, carbon aerogels obtained at different carbonization temperatures and with varying mesopore volumes were used as supports for Pt catalysts to study the influence of support characteristics on Pt particle size and activity in the n-C4H10/H2 reaction. An activated carbon was also used as Pt catalyst support for the purposes of comparison.

2. Results and Discussion

Table 1 compiles the surface area, Vmicropores (Ø < 2 nm) and Vmesopores (2 < Ø < 50 nm) of the supports. These surface characteristics were discussed in details elsewhere [6,7,8].
Table 1. Surface area and porosity of the supports.
Table 1. Surface area and porosity of the supports.
SupportsSBET (m2/g)Vmicropores (cm3/g)Vmesopores (cm3/g)
CA16180.260.86
CA27000.290.61
CA35920.260.03
P3-9005880.230.30
POX-9005190.230.31
POX-5005140.210.29
BV461153a0.40n.db
a From immersion calorimetry into benzene at 30 °C; b n.d: not determined.
A TEM micrograph of catalyst P3-900-2Pt after its reduction pre-treatment is given in Figure 1, as an example, and shows that Pt particles are well dispersed on the support. Figure 2 depicts the PSDs of catalysts supported on carbon aerogels. Distributions are narrow, with around more than 80% of particles being <4 nm in size.
Figure 1. TEM picture of catalyst P3-900Pt.
Figure 1. TEM picture of catalyst P3-900Pt.
Catalysts 02 00422 g001
Figure 2. Particle size distribution of catalysts CA1Pt, Catalysts 02 00422 i001; CA2Pt, Catalysts 02 00422 i002; CA3Pt, Catalysts 02 00422 i003; P3-900Pt, Catalysts 02 00422 i004; POX-900Pt, Catalysts 02 00422 i005; POX-500Pt, Catalysts 02 00422 i006.
Figure 2. Particle size distribution of catalysts CA1Pt, Catalysts 02 00422 i001; CA2Pt, Catalysts 02 00422 i002; CA3Pt, Catalysts 02 00422 i003; P3-900Pt, Catalysts 02 00422 i004; POX-900Pt, Catalysts 02 00422 i005; POX-500Pt, Catalysts 02 00422 i006.
Catalysts 02 00422 g002
Mean Pt particle size (d) and its dispersion (D) from H2 chemisorption at 25 °C and from TEM are compiled in Table 2. For the same catalyst, dH2 and dTEM values are similar or very close.
Table 2. Mean particle size (d) and dispersion (D) from H2 chemisorption at 25 °C and TEM, and surface to total Pt ratio (PtXPS/Pttotal).
Table 2. Mean particle size (d) and dispersion (D) from H2 chemisorption at 25 °C and TEM, and surface to total Pt ratio (PtXPS/Pttotal).
CatalystdH2 (nm)dTEM (nm)DH2 (%)DTEM (%)PtXPS/Pttotal
CA1Pt1.81.360831.0
CA2Pt2.11.651680.6
CA3Pt3.82.928370.3
P3-900Pt2.62.742400.8
POX-900Pt2.62.642420.8
POX-500Pt2.82.73940n.d
BV46Pt4.0n.d27n.dn.d
Figure 3 shows that the mean Pt particle size linearly decreases when the mesopore volume of the support increases, indicating the importance of this type of pores to obtain a high Pt dispersion.
Figure 3. Relationship between mean Pt particle size and mesopore volume of the support.
Figure 3. Relationship between mean Pt particle size and mesopore volume of the support.
Catalysts 02 00422 g003
The Pt4f7/2 core level deconvoluted spectra of catalysts showed two peaks [6], at binding energies of 71.6 eV and 73.0 eV, which are assigned to Pt(0) and Pt(II), respectively [6,9,10]. Table 2 shows the PtXPS/Pttotal ratio, which is equal to the unity for the catalyst with the highest metal dispersion (CA1Pt) and takes the lowest value for the catalyst with the lowest dispersion (CA3Pt). This is due to the decrease in surface Pt atoms versus total Pt atoms when Pt particle size increases.
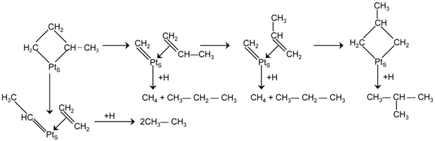
The n-C4H10/H2 reaction catalyzed by Pt yields the hydrogenolysis products (propane, ethane and methane) simultaneously with iso-butane according to the following Scheme 1:
Scheme 1. Simultaneous hydrogenolysis and isomerization of n-butane.
Scheme 1. Simultaneous hydrogenolysis and isomerization of n-butane.
Catalysts 02 00422 g008
Given that n-butane has only four carbon atoms, the formation of cyclic isomerization products is unlikely, and the only isomerization product is iso-butane. The reaction is produced in the presence of H2, which regulates the concentration of surface intermediates with different degrees of dissociation [1]. Hydrogenolysis of n-butane can take place through a terminal C-C bond cleavage, yielding CH4 and C3H8, or by a central C-C bond cleavage, yielding C2H6. In the first case, the propane produced can undergo hydrogenolysis, yielding ethane and methane, and the ethane produced can be further degraded to methane.
Product distributions obtained at 320 °C are compiled in Table 3, and Figure 4 depicts, as an example, the variation of product distributions with total conversion for catalyst POX-900Pt. Results show that the percentages of methane and propane produced are practically the same in all cases. Hence, it can be assumed that the methane obtained in the reaction is produced by terminal C-C bond cleavage and that there is no multiple hydrogenolysis of butane as with other catalysts, e.g., Ni [3,11].
Table 3. Conversion (%) and product distribution (mol%) in the hydrogenolysis (H) and isomerization (I) reactions at 320 °C.
Table 3. Conversion (%) and product distribution (mol%) in the hydrogenolysis (H) and isomerization (I) reactions at 320 °C.
CatalystConversion (%)C1C2C3i-C4
HI
CA1Pt6.20.44017403
CA2Pt6.70.44017403
CA3Pt6.00.74016395
P3-900Pt7.30.34117402
POX-900Pt7.10.44017403
POX-500Pt0.30.33093031
BV46Pt0.80.335183017
Figure 4. Relationship between product distribution and total conversion for catalyst POX-900Pt. ◆ C1, ■ C2, ▲ C3, ● i-C4.
Figure 4. Relationship between product distribution and total conversion for catalyst POX-900Pt. ◆ C1, ■ C2, ▲ C3, ● i-C4.
Catalysts 02 00422 g004
TOF values at 320 °C are compiled in Table 4. TOFH is much higher than TOFI, by around one order of magnitude, for Pt catalysts supported on carbon aerogels obtained at 900–950 °C. These results are in agreement with reports for Pt(100) and Pt(111) single crystals and polycrystalline Pt foil [12] and for Pt catalysts supported on zeolite [13]. In contrast, Pt catalysts prepared with support carbonized at 500 °C (POX-500) and the activated carbon BV46 exhibit much lower TOFH values versus the other catalysts, which are of the same order of magnitude to TOFI values.
Table 4. Turnover frequency (TOF) at 320 °C, apparent activation energy (Ea) and pre-exponential factor (Ln A) for hydrogenolysis (H) and isomerization (I) reactions.
Table 4. Turnover frequency (TOF) at 320 °C, apparent activation energy (Ea) and pre-exponential factor (Ln A) for hydrogenolysis (H) and isomerization (I) reactions.
CatalystTOFH.103 s−1TOFI.103 s−1Temp. range °CEa(H) kJ/molLn A(H)Ea(I) kJ/molLn A(I)
CA1Pt37.52.5260–34013127427
CA2Pt51.23.1270–32013829304
CA3Pt74.38.2280–320150315510
P3-900Pt67.43.0280–38014330324
POX-900Pt61.63.3280–35014731314
POX-500Pt3.23.1280–390153317213
BV46Pt8.12.6300–4001292712524
Importantly, the TOFH of POX-500Pt is around 20-fold lower than that of POX-900Pt, despite the similar surface area and pore texture of the supports (Table 1) and the similar mean Pt particle size of the catalysts (Table 2). A major difference between the carbon aerogels carbonized at 500 and 900 °C was the greater degree of aromatization of the carbon structure in the latter. Thus, the full width at the half maximum of the C1s graphite XP peak at 284.6 eV decreases at the heat treatment increases from 500 to 1500 °C due to the loss of oxygen atoms and to a certain ordering of the aromatic structure of the graphene layers of the carbon aerogel [7].
According to this finding, the higher the aromatization degree of the carbon aerogel, the higher is the TOFH of supported Pt catalyst. One explanation may be an electronic transfer between the support and Pt particles that would facilitate the cracking of the chemisorbed alkane (see below). A further possible explanation for the difference in TOFH and TOFI values is that Pt particles supported on carbon aerogels obtained at 900–950 °C develop preferentially low-index Pt surfaces. Thus, it has been shown [12] that the more open Pt(100) surfaces are more active for the hydrogenolysis of n-butane than the close-packed Pt(111) surfaces, by one order of magnitude.
The TOFH and TOFI values of catalyst BV46Pt are of the same order of magnitude as published findings for other Pt catalysts supported on activated carbons [1]. The difference in aromatization degree between carbon aerogels obtained at high temperature and activated carbons may also account for this behavior.
The relationships of TOFH and TOFI with mean Pt particle size are depicted in Figure 5 for catalysts supported on carbon aerogels prepared at 900–950 °C. TOFH shows a large increase with dH2 up to around 2.7 nm in size, being more moderate this increase for higher sizes up to around 4 nm. However, TOFI shows a linear increase throughout the studied dH2 range although less markedly in comparison to TOFH. Hydrogenolysis in the above catalysts appears to be sensitive to the catalyst structure, at least up to a mean Pt particle size of 2.7 nm. However, TOFI showed a lesser variation in the studied particle size range, and the sensitivity of this reaction to the catalyst structure is less clear. These results differ from findings for Pt catalysts supported on activated carbons [1], which showed that TOFH linearly increased with smaller mean Pt particle size and that TOFI was not sensitive to variations in Pt particle size within the range studied (2.1–13.5 nm). This could be attributable to the above commented differences in surface chemistry between carbon aerogels and activated carbons.
Figure 5. Relationship of TOFH, closed symbols and TOFI, open symbols at 320 °C with the mean Pt particle size for catalysts supported on carbon aerogels obtained at 900 °C, ● and 950 °C, ▲.
Figure 5. Relationship of TOFH, closed symbols and TOFI, open symbols at 320 °C with the mean Pt particle size for catalysts supported on carbon aerogels obtained at 900 °C, ● and 950 °C, ▲.
Catalysts 02 00422 g005
Arrhenius plots were used to calculate the apparent activation energy for hydrogenolysis Ea(H) and isomerization Ea(I) and the corresponding pre-exponential factors (Ln A). Figure 6 shows a typical example of such plots for catalyst POX-900Pt. The numbers for the experimental points indicate the order in which they were determined and there is a good agreement for data obtained in increasing and decreasing temperature cycles. This is a good indication of the fact that in the experimental procedure followed the Pt surface is clean in each activity measurement and that there is no deactivation of the catalyst.
Figure 6. Arrhenius plot for catalyst POX-900Pt: □, hydrogenolysis;∆, isomerization.
Figure 6. Arrhenius plot for catalyst POX-900Pt: □, hydrogenolysis;∆, isomerization.
Catalysts 02 00422 g006
Table 4 shows the apparent activation energies and corresponding pre-exponential factors obtained in the temperature range indicated in that Table. Ea(H) was higher than Ea(I) for all catalysts supported on carbon aerogels, whereas both activation energies were equal for catalyst BV46Pt in agreement with findings for Pt catalysts supported on activated carbons [1].
Several models have been proposed for hydrogenolysis reactions over metal catalysts [3], but the following general reaction mechanism, that would also explain the isomerization, is widely accepted.
Step 1. Dissociative dihydrogen chemisorption and dehydrogenative chemisorption of the alkane.
Catalysts 02 00422 i007
where Pts is a surface Pt atom. The formation of this 1,3 diasorbed dehydrogenated alkane intermediate has been postulated for the hydrogenolysis of saturated hydrocarbons on Pt [1].
Catalysts 02 00422 i008
Steps 2 and 3. Fragmentation and rearrangement of the dehydrogenated species, and rehydrogenation and desorption of the product.
The plot of Ea against Ln A for both the hydrogenolysis and isomerization reactions and for all catalysts is shown in Figure 7, and indicates a good compensation effect (correlation coefficient, R2 = 0.997). This compensation effect has been observed for alkane hydrogenolysis over Pt catalysts [2,3] and other metals [14] and in other systems [15,16]. An interesting observation is that the isomerization reaction lies on the same compensation effect plot as the hydrogenolysis reaction. This means that both reactions have a common intermediate, i.e., the dehydrogenated alkane formed in Step 1. Thus, rearrangement of the η2-propene intermediate in Step 2 could yield isobutane.
The above hydrogenolysis mechanism may also explain the higher TOFH value of Pt catalysts supported on carbon aerogels obtained at 900–950 °C in comparison to those obtained at 500 °C. The π-olefin complexes in Step 2 are formed by a dative π-bond from the hydrocarbon to empty d-orbitals of Pt and a retrodonating π-bond from the filled d-orbitals to the empty π* antibonding orbital of the olefin, and the two bonds reinforce each other by a synergic mechanism. Therefore, an increase in the aromatization degree of the support would increase the electronic density on the supported Pt particles, leading to an increase of the retrodonating π-bond, and making easier the formation of the above π-olefin complexes, and therefore, the cracking of the chemisorbed dehydrogenated n-butane.
Figure 7. Relationship between Ea and Ln A for the hydrogenolysis (▲) and isomerization (∎) of n-butane.
Figure 7. Relationship between Ea and Ln A for the hydrogenolysis (▲) and isomerization (∎) of n-butane.
Catalysts 02 00422 g007

3. Experimental Section

Supports used were the carbon aerogels CA1, CA2, CA3, P3-900, POX-500, and POX-900. Table 5 compiles the ingredients used in the preparation of the organic hydrogels.
Table 5. Organic aerogel recipes (Formaldehyde, 0.224 mol).
Table 5. Organic aerogel recipes (Formaldehyde, 0.224 mol).
SampleResorcinol (mol)Pyrocatechol (mol) Catalyst precursor (mol) Solvent (mL)
CA10.112-1.4 × 10−4 K2CO3H2O (27)
CA20.112-1.4 × 10−4 K2CO3H2O-MeOH a (24-3)
CA30.112-1.4 × 10−4 K2CO3H2O-THF a (24-3)
P3-0.1122.1 × 10−2 H3BO3H2O (26.7)
POX-0.1122.0 × 10−4 H2C2O4H2O (26.7)
a MeOH and THF are methanol and tetrahydrofurane, respectively.
Subsequently, they were dried with supercritical CO2 and carbonized in N2 flow at 500 °C (POX-500), 900 °C (P3-900 and POX-900) and 950 °C (CA1, CA2 and CA3). Details of the preparation of all these samples were previously reported [6,7]. The activated carbon BV46 was also used as support. This sample was prepared from olive stones after carbonization in N2 flow at 900 °C and steam activation at 850 °C to 46% burn-off [8]. Characterization of the supports was carried out by N2 adsorption at −196 °C, mercury porosimetry and immersion calorimetry into benzene at 30 °C.
Supported Pt catalysts were prepared by impregnation of the supports with an aqueous solution of [Pt(NH3)4]Cl2 to yield Pt catalysts with a metal loading of 2 wt.%, referred to by adding Pt to the name of the carbon aerogel. Exact total Pt content (Pttot) of supported catalysts was obtained by burning them off at 800 °C in air and weighing the residue. The supported catalysts were pre-treated in He flow, 60 cm3/min, at 400 °C for 12 h before their characterization by H2 chemisorption, transmission electron microscopy (TEM) or X-ray photoelectron spectroscopy (XPS) as explained in detail elsewhere [6]. Platinum dispersion, D, and its average particle size, d, were obtained from the H2 uptake, assuming that one H atom was chemisorbed by one surface Pt atom and that dH2(nm)=1.08/D. Particle size distributions (PSDs) were obtained analyzing different TEM micrographs from which the dispersion and average particle size were also calculated.
The n-C4H10/H2 reaction was studied in a glass plug-flow microreactor, using 1 g of catalyst at a temperature between 260 and 390 °C depending on the supported catalyst in question, and following the experimental procedure described in reference [1]. Before the reaction, catalysts were pre-treated in the same reactor at 400 °C in He flow for 12 h. Subsequently, samples were cooled in He flow at the reaction temperature and the He flow was switched to an n-C4H10/H2 flow, 60 cm3/min, with a 1/10 molar ratio. Gases from the reactor were analyzed on-line by using a Varian model CP-3800 gas chromatograph with a Chromosorb 102 column. To reach steady-state conditions in the reactor, the reactant gases were flowed through the catalysts for 20 min before analyzing the reaction products; after the analysis only H2 was flowed through the catalysts for 20 min in order to regenerate and clean the Pt surface; after this proces the C4H10/H2 mixture was again introduced into the reactor in order to study the reaction at different temperatures. The reactor was operated at atmospheric pressure, and the conversion was kept below around 16%.
Catalytic activity measurements for hydrogenolysis and isomerization are reported as the TOF, defined as the number of molecules reacting per surface metal atom per second, and calculated from Equation (1):
Catalysts 02 00422 i009
where TOFx is the turnover frequency for hydrogenolysis (TOFH) or isomerization (TOFI) in s−1; Px is the proportion of n-butane undergoing hydrogenolysis (PH) or converted to isobutane (PI); Fn-C4H10 is the n-butane flow rate (cm3/min); W is the weight of catalyst (g); QH2 is the dihydrogen uptake (μmol/g), multiplied by two because dihydrogen is dissociatively chemisorbed on two surface Pt atoms; and 0.74 is the conversion factor (cm3/min to μmol/s).

4. Conclusions

Mean Pt particle size linearly decreased when the mesopore volume of the support increased within the range studied. Pt catalysts showed single hydrogenolysis. TOFH was much higher than TOFI in the catalysts prepared with carbon aerogels obtained at 900–950 °C. However, TOFH was lower and similar to TOFI in catalysts supported on carbon aerogels obtained at 500 °C and on the activated carbon. These results might be explained by the different degree of aromatization of the supports or by the development of Pt surfaces with different indexes.
Hydrogenolysis reaction with Pt catalysts supported on carbon aerogels obtained at 900–950 °C appeared to be structure sensitive, at least up to a Pt particle size of 2.7 nm. However, it was less clear whether the isomerization reaction with these catalysts was structure sensitive.
There was an evident compensation effect between the apparent activation energy and the pre-exponential factor, which was common to both hydrogenolysis and isomerization reactions, indicating that both reactions had the same intermediate.

Acknowledgments

Authors are grateful to MICINN and FEDER, project CTM2010-18889, for financial support.

References

  1. Rodríguez-Reinoso, F.; Rodríguez-Ramos, I.; Moreno-Castilla, C.; Guerrero-Ruiz, A.; López-González, J.D. Platinum catalysts supported on activated carbons. II. Isomerization and hydrogenolysis of n-butane. J. Catal. 1987, 107, 1–7. [Google Scholar] [CrossRef]
  2. Bond, G.C.; Cunningham, R.H. Alkane transformations on supported platinum catalysts. 4. Kinetics of hydrogenolysis of ethane, propane, and n-butane on Pt/Al2O3 (EUROPT-3) and PtRe/Al2O3 (EUROPT-4). J. Catal. 1997, 166, 172–185. [Google Scholar] [CrossRef]
  3. Jackson, S.D.; Kelly, G.J.; Webb, G. Supported metal catalysts; preparation, characterization, and function. Part VI. Hydrogenolysis of ethane, propane, n-butane and iso-butane over supported platinum catalysts. J. Catal. 1998, 176, 225–234. [Google Scholar]
  4. Moreno-Castilla, C. Carbon Materials for Catalysis; Serp, P., Figueiredo, J.L., Eds.; John Wiley & Sons: New York, NY, USA, 2009; Chapter 10, p. 373. [Google Scholar]
  5. Pekala, R.W. Organic aerogels from the polycondensation of resorcinol with formaldehyde. J. Mat. Sci. 1989, 24, 3221–3227. [Google Scholar] [CrossRef]
  6. Dawidziuk, M.B.; Carrasco-Marín, F.; Moreno-Castilla, C. Influence of support porosity and Pt content of Pt/carbon aerogel catalysts on metal dispersion and formation of self-assembled Pt-carbon hybrid nanostructures. Carbon 2009, 47, 2679–2687. [Google Scholar] [CrossRef]
  7. Moreno-Castilla, C.; Dawidziuk, M.B.; Carrasco-Marín, M.; Zapata-Benabithe, Z. Surface characteristics and electrochemical capacitances of carbon aerogels obtained from resorcinol and pyrocatechol using boric and oxalic acids as polymerization catalysts. Carbon 2011, 49, 3808–3819. [Google Scholar] [CrossRef]
  8. López-Ramón, M.V.; Stoeckli, F.; Moreno-Castilla, C.; Carrasco-Marín, F. On the characterization of acidic and basic surface sites on carbon by various techniques. Carbon 1999, 37, 1215–1221. [Google Scholar] [CrossRef]
  9. Kim, H.J.; Kim, W.I.; Park, T.J.; Park, H.S.; Suh, D.J. Highly dispersed platinum-carbon aerogel catalyst for polymer electrolyte membrane fuel cells. Carbon 2008, 46, 1393–1400. [Google Scholar] [CrossRef]
  10. Coloma, F.; Sepúlveda-Escribano, A.; Fierro, J.L.G.; Rodríguez-Reinoso, F. Preparation of platinum supported on pregraphitized carbon-blacks. Langmuir 1994, 10, 750–755. [Google Scholar] [CrossRef]
  11. Jackson, S.D.; Kelly, G.J.; Webb, G. Supported nickel catalysts: Hydrogenolysis of ethane, propane, n-butane and iso-butane over alumina-, molybdena-, and silica-supported nickel catalys. Phys. Chem. Chem. Phys. 1999, 1, 2581–2587. [Google Scholar]
  12. Anderson, S.L.; Szanyi, J.; Paffett, M.T.; Datye, A.K. Hydrogenolysis and isomerization of n-butane on low-index Pt single cystals and pollycrystaline Pt foil. J. Catal. 1996, 159, 23–30. [Google Scholar] [CrossRef]
  13. Bond, G.C.; Lin, X. Hydrogenolysis of propane and of n-butane on Pt/KL zeolite. J. Catal. 1997, 169, 76–84. [Google Scholar] [CrossRef]
  14. Galvey, A.K. Advances in Catalysis; Eley, D.D., Pines, H., Weisz, P.B., Eds.; Academic Press: San Diego, CA, USA, 1977; Volume 26, p. 247. [Google Scholar]
  15. Gilhooley, K.; Jackson, S.D.; Rigby, S. Steady-state effects in the medium pressure hydrogenation of carbon monoxide over rhodium catalysts. Appl. Catal. 1986, 21, 349–357. [Google Scholar] [CrossRef]
  16. Bond, G.C. Source of the activation energy in heterogeneously catalysed reactions. Catal. Today 1993, 17, 399–410. [Google Scholar]

Share and Cite

MDPI and ACS Style

Moreno-Castilla, C.; Carrasco-Marín, F.; Dawidziuk, M.B. Carbon Aerogel-Supported Pt Catalysts for the Hydrogenolysis and Isomerization of n-Butane: Influence of the Carbonization Temperature of the Support and Pt Particle Size. Catalysts 2012, 2, 422-433. https://doi.org/10.3390/catal2040422

AMA Style

Moreno-Castilla C, Carrasco-Marín F, Dawidziuk MB. Carbon Aerogel-Supported Pt Catalysts for the Hydrogenolysis and Isomerization of n-Butane: Influence of the Carbonization Temperature of the Support and Pt Particle Size. Catalysts. 2012; 2(4):422-433. https://doi.org/10.3390/catal2040422

Chicago/Turabian Style

Moreno-Castilla, Carlos, Francisco Carrasco-Marín, and Marta B. Dawidziuk. 2012. "Carbon Aerogel-Supported Pt Catalysts for the Hydrogenolysis and Isomerization of n-Butane: Influence of the Carbonization Temperature of the Support and Pt Particle Size" Catalysts 2, no. 4: 422-433. https://doi.org/10.3390/catal2040422

APA Style

Moreno-Castilla, C., Carrasco-Marín, F., & Dawidziuk, M. B. (2012). Carbon Aerogel-Supported Pt Catalysts for the Hydrogenolysis and Isomerization of n-Butane: Influence of the Carbonization Temperature of the Support and Pt Particle Size. Catalysts, 2(4), 422-433. https://doi.org/10.3390/catal2040422

Article Metrics

Back to TopTop