Heterogeneous Solid Acid Catalysts for the Hock Cleavage of Cumene Hydroperoxide: Mechanism, Catalyst Design, and Industrial Perspectives
Abstract
1. Introduction
2. CHP Cleavage and Its Catalysts
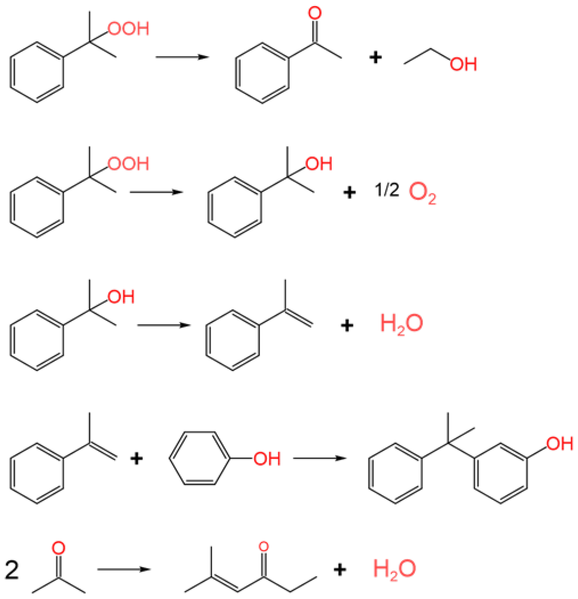
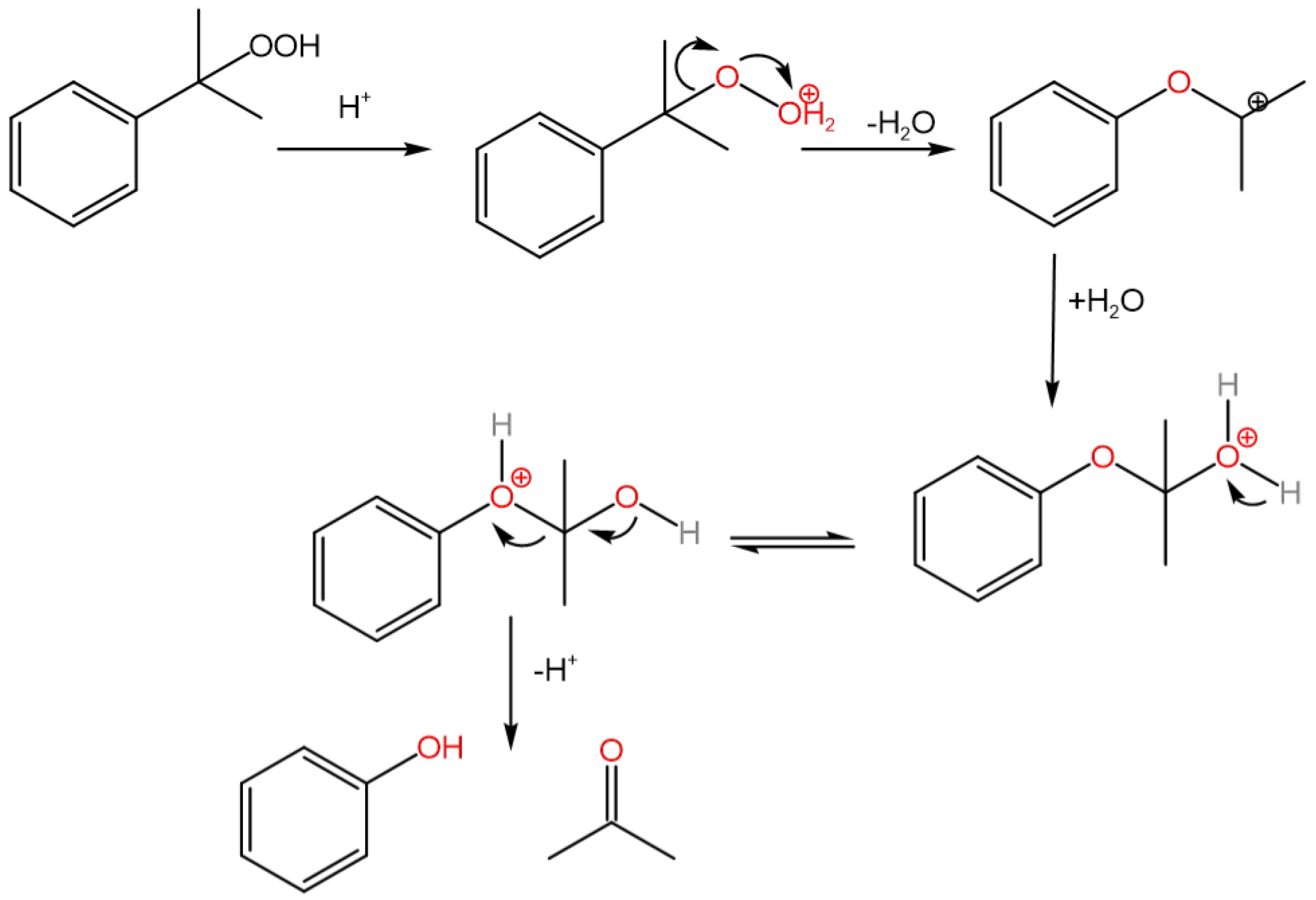
2.1. Reaction Mechanism and Pathways
2.2. Kinetic Aspects
2.3. Catalysts for CHP Cleavage
3. Ion Exchange Resins
4. Zeolites
5. Clays
6. Other Catalyasts
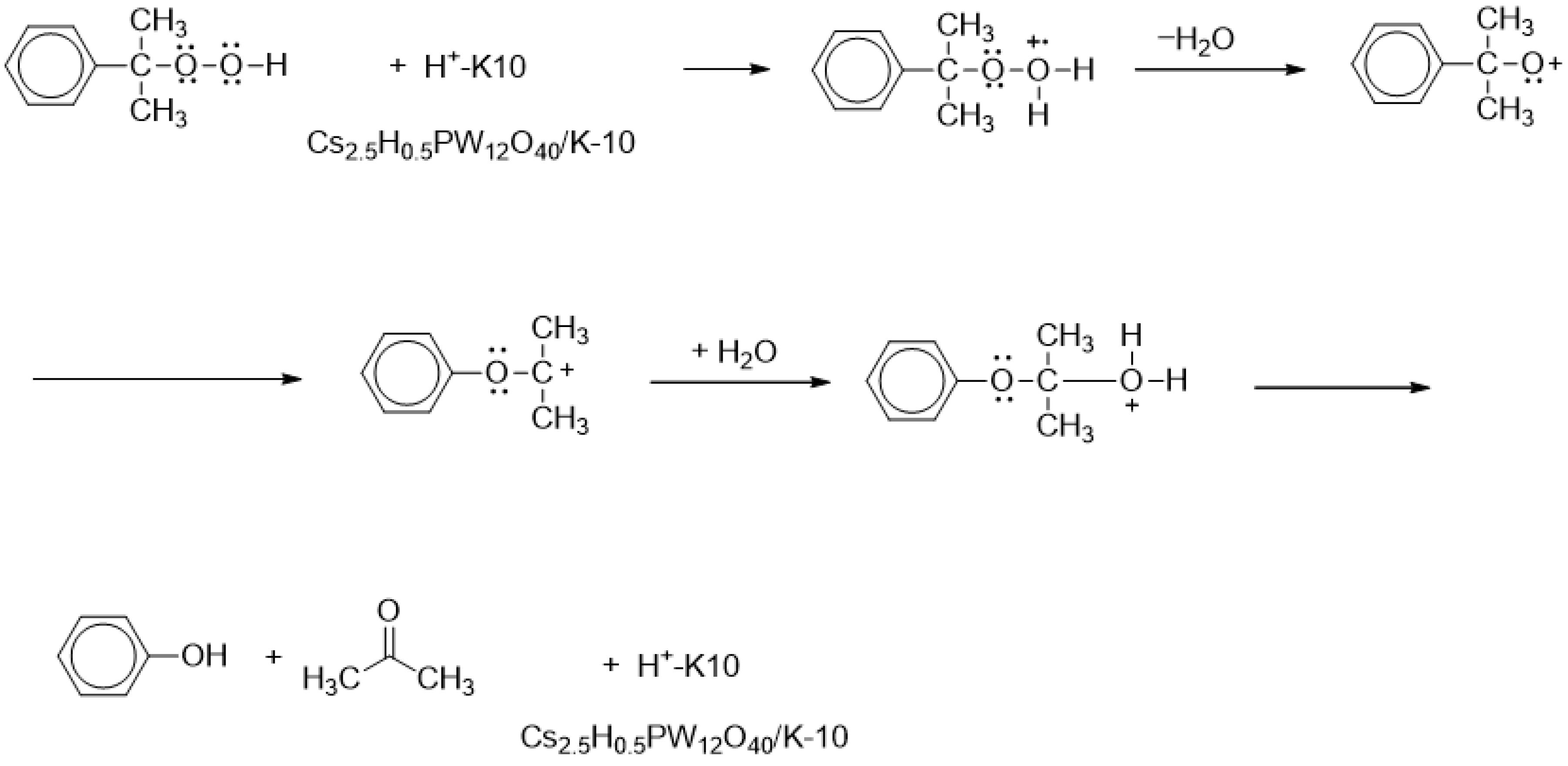
6.1. Heteropoly Acids
6.2. Solid Superacids
7. New Reaction Processes
8. Conclusions
- 1.
- Current research has primarily focused on tuning the acidity of solid acids, achieving catalytic performance comparable to that of homogeneous catalysts. Future efforts should aim to enhance catalyst stability while preserving the acidity of existing solid acid catalysts; for example, by improving mechanical strength or enriching the pore structure. Several approaches have already been reported in the literature, such as introducing crosslinking with fluorine-containing species in resins, employing mesoporous zeotypes, or replacing soluble heteropoly acids with their insoluble heteropolyacid salts. Further novel strategies remain to be explored.
- 2.
- Progress in the development of novel reaction processes remains limited. For heterogeneous catalysts, it is essential to consider factors such as mechanical strength and diffusion control, while also accounting for the strongly exothermic nature of the reaction [8] and the safety risks associated with CHP feedstocks. Such considerations should guide the design of reactor configurations and overall reaction processes. To date, process configurations such as reactive distillation and multistage CSTRs in series have been reported. Notably, microchannel reactor technology, with its advantages of high throughput and high heat transfer efficiency, offers valuable insights for the development of novel reaction processes.
Author Contributions
Funding
Data Availability Statement
Conflicts of Interest
References
- Wang, Y. Cleaner Production Technology for Phenol and Acetone via the Cumene Process; China Petrochemical Press: Beijing, China, 2009. [Google Scholar]
- Cao, G. Production of Phenol and Acetone via the Cumene Process; Chemical Industry Press: Beijing, China, 1983. [Google Scholar]
- Weber, M.; Weber, M.; Weber, V. Phenol. In Ullmann’s Encyclopedia of Industrial Chemistry; Wiley Online Library: Hoboken, NJ, USA, 2020. [Google Scholar] [CrossRef]
- Schmidt, R.J. Industrial catalytic processes—Phenol production. Appl. Catal. A Gen. 2005, 280, 89–103. [Google Scholar] [CrossRef]
- Meyers, R.A. Handbook of Petrochemicals Production Processes; McGraw-Hill Education: Columbus, OH, USA, 2019. [Google Scholar]
- Ying, Z. Discussion on the Technical Route for a 200,000 t/a Phenol and Acetone Project. Chem. Enterp. Manag. 2019, 21, 78–81. [Google Scholar]
- Perego, C.; de Angelis, A.; Pollesel, P.; Millini, R. Zeolite-Based Catalysis for Phenol Production. Ind. Eng. Chem. Res. 2021, 60, 6379–6402. [Google Scholar] [CrossRef]
- Drönner, J.; Hausoul, P.; Palkovits, R.; Eisenacher, M. Solid Acid Catalysts for the Hock Cleavage of Hydroperoxides. Catalysts 2022, 12, 91. [Google Scholar] [CrossRef]
- Yaremenko, I.A.; Vil’, V.A.; Demchuk, D.V.; Terent’ev, A.O. Rearrangements of organic peroxides and related processes. Beilstein J. Org. Chem. 2016, 12, 1647–1748. [Google Scholar] [CrossRef]
- Di Somma, I.; Andreozzi, R.; Canterino, M.; Caprio, V.; Sanchirico, R. Thermal decomposition of cumene hydroperoxide: Chemical and kinetic characterization. AIChE J. 2008, 54, 1579–1584. [Google Scholar] [CrossRef]
- Fetters, L.J.; Morton, M. Synthesis and Properties of Block Polymers. I. Poly-α-methylstyrene-Polyisoprene-Poly-α-methylstyrene. Macromolecules 1969, 2, 453–458. [Google Scholar] [CrossRef]
- Worsfold, D.J.; Bywater, S. Anionic polymerization of α-methylstyrene. J. Polym. Sci. 1957, 26, 299–304. [Google Scholar] [CrossRef]
- Levin, M.; Gonzales, N.; Zimmerman, L.; Yang, J. Kinetics of acid-catalyzed cleavage of cumene hydroperoxide. J. Hazard. Mater. 2006, 130, 88–106. [Google Scholar] [CrossRef]
- Weber, M.; Hoffmann, R.; Weber, M. Some safety aspects on the cleavage of cumene hydroperoxide in the phenol process. Process Saf. Prog. 2019, 38, e12034. [Google Scholar] [CrossRef]
- Selvin, R.; Rajarajeswari, G.; Selva Roselin, L.; Sadasivam, V.; Sivasankar, B.; Rengaraj, K. Catalytic decomposition of cumene hydroperoxide into phenol and acetone. Appl. Catal. A Gen. 2001, 219, 125–129. [Google Scholar] [CrossRef]
- Yadav, G.D.; Asthana, N.S. Selective decomposition of cumene hydroperoxide into phenol and acetone by a novel cesium substituted heteropolyacid on clay. Appl. Catal. A Gen. 2003, 244, 341–357. [Google Scholar] [CrossRef]
- Sifniades, S.; Tunick, A.A.; Koff, F.W. Decomposition of Cumene Oxidation Product. U.S. Patent US4358618A, 9 November 1982. [Google Scholar]
- Harmer, M.A.; Sun, Q. Solid acid catalysis using ion-exchange resins. Appl. Catal. A Gen. 2001, 221, 45–62. [Google Scholar] [CrossRef]
- Gelbard, G. Organic Synthesis by Catalysis with Ion-Exchange Resins. Ind. Eng. Chem. Res. 2005, 44, 8468–8498. [Google Scholar] [CrossRef]
- Barbaro, P.; Liguori, F. Ion Exchange Resins: Catalyst Recovery and Recycle. Chem. Rev. 2008, 109, 515–529. [Google Scholar] [CrossRef]
- Sharma, M. Some novel aspects of cationic ion-exchange resins as catalysts. React. Funct. Polym. 1995, 26, 3–23. [Google Scholar] [CrossRef]
- Liu, W.; Wang, J. A Resin Catalyst for the Decomposition of Cumene Hydroperoxide to Produce Phenol and Its Preparation Method. CN Patent CN102698801B, 3 October 2012. [Google Scholar]
- Zheng, Y. A Method for Producing Phenol and Acetone. CN Patent CN109776274A, 21 May 2019. [Google Scholar]
- Bortnick, N.M. Catalyzing Reactions with Cation Exchange Resin. U.S. Patent US3037052A, 29 May 1962. [Google Scholar]
- Lloy, R.B.; Sun, Q.; Harmer, M.A.; Edward George Howard, J. Decomposition of Organic Hydroperoxides in the Presence of a Particulate Catalyst Containing Highly Fluorinated Polymer Having Sulfonic Acid Groups and Process for the Manufacture of Bisphenol A. U.S. Patent US6586640B2, 20 June 2002. [Google Scholar]
- Codignola, F. Process for the Synthesis of Phenol and Acetone. U.S. Patent US7084309B2, 1 August 2006. [Google Scholar]
- Chen, Q.; He, M.; Sun, F.; Zhou, W. Method for Preparing Phenol/Acetone by Decomposing Cumene Hydroperoxide. CN Patent CN104151144A, 19 November 2014. [Google Scholar]
- Knifton, J.F.; Sanderson, J.R. Method for Production of Phenol/Acetone from Cumene Hydroperoxide. U.S. Patent US4898995A, 6 February 1990. [Google Scholar]
- Han, M.; Huang, D.; Wang, J.; Jin, Y. Decomposition of Cumene Hydroperoxide Catalyzed by Resins in a Three-Phase Circulating Fluidized Bed Reactor II. Kinetics and Mass Transfer. Petrochem. Technol. 2001, 30, 531–533. [Google Scholar]
- Han, M.; Huang, D.; Lu, Y.; Cao, G. Decomposition of Cumene Hydroperoxide Catalyzed by Resins in a Three-Phase Circulating Fluidized Bed Reactor I. Reaction Process. Petrochem. Technol. 2001, 30, 433–436. [Google Scholar]
- Huang, D.; Han, M.; Wang, J.; Jin, Y. Catalytic decomposition process of cumene hydroperoxide using sulfonic resins as catalyst. Chem. Eng. J. 2002, 88, 215–223. [Google Scholar] [CrossRef]
- Shi, K. Production of Phenol and Acetone via Catalytic Decomposition of Cumene Hydroperoxide over Ion Exchange Resin. Petrochem. Technol. 1980, 8, 449–453. [Google Scholar]
- Zhang, Y.; Wu, Z.; Sun, F.; Zhou, W.; He, M.; Chen, Q. Continuous process for the cleavage of cumenehydroperoxide under the catalysis of cationexchange resin. Ion Exch. Adsorpt. 2018, 34, 481. [Google Scholar]
- Chang, C.D.; Pelrine, B.P. Production of Phenol. U.S. Patent US4490566A, 25 December 1984. [Google Scholar]
- Romano, U.; Clerici, M.G.; Bellussi, G.; Buonomo, F. Catalyst for the Selective Decomposition of Cumene Hydroperoxide. U.S. Patent US4743573A, 10 May 1988. [Google Scholar]
- Shan, Y.; Hu, C.; Wang, W.; Li, F.; Liu, R.; Zheng, M.; Gao, Y.; Cai, Z.; Huang, C. A Method for the Catalytic Decomposition of Hydroperoxide. CN Patent CN111068775B, 2019. [Google Scholar]
- Koltunov, K.Y.; Sobolev, V.I. Efficient cleavage of cumene hydroperoxide over HUSY zeolites: The role of Brønsted acidity. Appl. Catal. A Gen. 2008, 336, 29–34. [Google Scholar] [CrossRef]
- Sasidharan, M.; Kumar, R. Zeolite-catalysed Selective Decomposition of Cumene Hydroperoxide into Phenol and Acetone. J. Chem. Res. 1997, 52–53. [Google Scholar] [CrossRef]
- Kumar, K.P.; Selvin, R.; Kumari, P.; Roselin, L.S.; Arul, N.S.; Bououdina, M. Selective decomposition of cumene hydroperoxide into phenol and acetone over nanocrystalline ZSM-5. Int. J. Mater. Eng. Innov. 2010, 1, 417. [Google Scholar] [CrossRef]
- Kumar Dutta, D.; Jyoti Borah, B.; Pollov Sarmah, P. Recent Advances in Metal Nanoparticles Stabilization into Nanopores of Montmorillonite and Their Catalytic Applications for Fine Chemicals Synthesis. Catal. Rev. 2015, 57, 257–305. [Google Scholar] [CrossRef]
- Huang, W.J.; Liu, J.H.; She, Q.M.; Zhong, J.Q.; Christidis, G.E.; Zhou, C.H. Recent advances in engineering montmorillonite into catalysts and related catalysis. Catal. Rev. 2021, 65, 929–985. [Google Scholar] [CrossRef]
- Nagendrappa, G.; Chowreddy, R.R. Organic Reactions Using Clay and Clay-Supported Catalysts: A Survey of Recent Literature. Catal. Surv. Asia 2021, 25, 231–278. [Google Scholar] [CrossRef]
- Kumar, B.S.; Dhakshinamoorthy, A.; Pitchumani, K. K10 montmorillonite clays as environmentally benign catalysts for organic reactions. Catal. Sci. Technol. 2014, 4, 2378–2396. [Google Scholar] [CrossRef]
- Kumbhar, P.S.; Thampi, J.; Singh, B.; Fulmer, J.W.; Tatake, P.A. Integrated Process for the Production of Bisphenol A from Cumene Hydroperoxide. U.S. Patent US7491855B2, 4 June 2003. [Google Scholar]
- Jiang, H.; Xiao, B.; Zhao, Y.; Li, Z.; Zhang, F. A Kind of Method That Cumene Hydroperoxide Decomposes and Prepares Phenol and Acetone. CN Patent CN101343212B, 13 July 2007. [Google Scholar]
- Knifton, J.F. Method for Production of Phenol/Acetone from Cumene Hydroperoxide. U.S. Patent 1989. [Google Scholar]
- Knifton, J.F. Method for Production of Phenol/Acetone from Cumene Hydroperoxide. U.S. Patent US4898987A, 17 March 1989. [Google Scholar]
- Knifton, J.F.; Sanderson, J.R. Phenol/acetone cogeneration via solid acid catalysis. Appl. Catal. A Gen. 1997, 161, 199–211. [Google Scholar] [CrossRef]
- Han, L.; Wang, Y.; Zhang, J.; Lei, Z.; Huang, C.; Chen, B. Acidic Montmorillonite/Cordierite Monolithic Catalysts for Cleavage of Cumene Hydroperoxide. Chin. J. Chem. Eng. 2014, 22, 854–860. [Google Scholar] [CrossRef]
- Selvin, R.; Hsu, H.L.; Aneesh, P.; Sha-Hua, C.; Hung, L.L. Preparation of acid-modified bentonite for selective decomposition of cumene hydroperoxide into phenol and acetone. React. Kinet. Mech. Catal. 2010, 100, 197–204. [Google Scholar] [CrossRef]
- Zhi, R.; Han, L.; Zhang, J. Simulation study of decomposition reaction of cumene hydroperoxide over monolithic catalysts. Ind. Catal. 2014, 22, 885–889. [Google Scholar]
- Kozhevnikov, I.V. Heteropoly Acids and Related Compounds as Catalysts for Fine Chemical Synthesis. Catal. Rev. 1995, 37, 311–352. [Google Scholar] [CrossRef]
- Kamiya, Y.; Okuhara, T.; Misono, M.; Miyaji, A.; Tsuji, K.; Nakajo, T. Catalytic Chemistry of Supported Heteropolyacids and Their Applications as Solid Acids to Industrial Processes. Catal. Surv. Asia 2008, 12, 101–113. [Google Scholar] [CrossRef]
- Okuhara, T.; Mizuno, N.; Misono, M. Catalysis by heteropoly compounds—Recent developments. Appl. Catal. A Gen. 2001, 222, 63–77. [Google Scholar] [CrossRef]
- Kozhevnikov, I. Sustainable Heterogeneous Acid Catalysis by Heteropoly Acids. In HandbookofGreenChemistry; Wiley Online Library: Hoboken, NJ, USA, 2010. [Google Scholar] [CrossRef]
- Kozhevnikov, I.V. Catalysis by Heteropoly Acids and Multicomponent Polyoxometalates in Liquid-Phase Reactions. Chem. Rev. 1998, 98, 171–198. [Google Scholar] [CrossRef]
- Timofeeva, M. Acid catalysis by heteropoly acids. Appl. Catal. A Gen. 2003, 256, 19–35. [Google Scholar] [CrossRef]
- Du, Z.; He, Y.; Min, E. A Method for the Catalytic Decomposition of Aryl α-Hydroperoxide to Produce Phenol and Ketones or Aldehydes. CN Patent CN1067368C, 28 July 1997. [Google Scholar]
- Zhang, L.-Z.; Sun, X.-Y.; Wang, Q.-L.; Ding, Y.-S.; Yu, Y.-J. Preparation of Phenol and Acetone with Solid Acid Catalyst. Chem. World 2011, 52, 487–490. [Google Scholar]
- Nelson, D.C.; Mueller, M.B. Process for Preparing Phenols and Carbonyl Alkanes. U.S. Patent 3187052A, 1 June 1965. [Google Scholar]
- Du, Z.; He, Y.; Min, E. Decomposition of Cumene Hydroperoxide Catalyzed by Heteropolyacid Solution. In Proceedings of the 9th National Conference on Catalysis, Research Institute of Petrolleum Processing, Beijing, China, 19–23 October 1998; pp. 453–454. [Google Scholar]
- Hattori, H.; Takahashi, O.; Takagi, M.; Tanabe, K. Solid super acids: Preparation and their catalytic activities for reaction of alkanes. J. Catal. 1981, 68, 132–143. [Google Scholar] [CrossRef]
- Arata, K. Solid Superacids. In Advances in Catalysis; Elsevier: Amsterdam, The Netherlands, 1990; pp. 165–211. [Google Scholar] [CrossRef]
- Yamaguchi, T. Recent progress in solid superacid. Appl. Catal. 1990, 61, 1–25. [Google Scholar] [CrossRef]
- Levin, D.; Santiesteban, J.G.; Vartuli, J.C. Production of Phenol. U.S. Patent US6169216B1, 22 April 1999. [Google Scholar]
- Knifton, J.F.; Grice, N.J. Method for Production of Phenol/Acetone from Cumene Hydroperoxide. U.S. Patent US4876397A, 24 October 1988. [Google Scholar]
- Levin, D.; Santiesteban, J.G.; Vartuli, J.C. Production of Phenol. U.S. Patent US6169215B1, 25 March 1999. [Google Scholar]
- Yuan, M.; Long, Z.; Zhao, L.; Shen, Y.; Zhu, Z. Improve on Cumene Hydroperoxide Decomposition Reactor. Chem. React. Eng. Technol. 2004, 20, 80–84. [Google Scholar]
- Ye, J.; Li, J.; Sha, Y.; Xu, Y.; Zhou, D. Novel Reactive Distillation Process for Phenol Production with a Dry Cation Exchange Resin as the Catalyst. Ind. Eng. Chem. Res. 2014, 53, 12614–12621. [Google Scholar] [CrossRef]
- Liu, Q.N.; Yi, Z.M.; Yan, D.W.; AI, Q.H. Process design and economic optimization for the decomposition of isopropylbenzene peroxide by reactive distillation. J. Liaoning Petrochem. Univ. 2023, 43, 1–6. [Google Scholar]
- Huang, C.; Yang, J.; Qi, B.; Shi, J.; Gu, J.; Wang, D.; Zhang, B.; Li, Z.; He, K. A Method for Producing Phenol and Acetone via Reactive Distillation for Decomposition of CHP. CN Patent CN106866379B, 23 March 2017. [Google Scholar]
- Dai, X.; Zhou, W.; Yang, S.; Sun, F.; Qian, J.; He, M.; Chen, Q. Microchannel process for phenol production via the cleavage of cumene hydroperoxide. Chem. Eng. Sci. 2019, 199, 398–404. [Google Scholar] [CrossRef]










| Ref. | Catalyst | Reactor Type | Reaction Conditions | CHP Conversion (%) | Phenol Selectivity (%) | Phenol Yield (%) |
|---|---|---|---|---|---|---|
| [22] | KRB series resin | fixed bed | 60–100 °C, atmospheric pressure, WHSV not specified | – | – | – |
| [23] | Fluoroether resin | moving bed | 75–85 °C, atmospheric pressure | – | 99.46 | – |
| [24] | Perfluoro sulfonic acid resin | batch reactor | 50 °C, acetone solvent | 100 | – | 93 |
| [25] | Perfluoro sulfonic acid polymer powder | batch reactor | 50 °C, acetone solvent | >99 | – | – |
| [26] | Amberlyst 18 | fixed bed | 42 °C, atmospheric pressure, LHSV = 10 | 100 | – | – |
| [27] | Cation exchange resin | three-stage series batch reactor | 40–90 °C | – | – | – |
| [28] | Amberlyst XN-1010 | fixed bed | 60 °C, 300 psi, LHSV = 1 | 100 | 98 | 98 |
| [29,30] | CT-175 | batch reactor | 67.6 °C | >95 | – | – |
| [31] | TH-02 | circulating fluidized bed | 80 °C, WHSV = 30–40 | >99.8 | >98.0 | >98.0 |
| Ref. | Catalyst | Reactor Type | Reaction Conditions | CHP Conversion (%) | Phenol Selectivity (%) | Phenol Yield (%) |
|---|---|---|---|---|---|---|
| [34] | Beta (H-form, Si/Al = 30) | fixed bed | temperature 100 °C, LHSV = 16 | 97.8 | 89.4 | 87.4 |
| [34] | HZSM-5 (Si/Al = 70) | fixed bed | temperature 100 °C, LHSV = 4 | 92.7 | 94.9 | 88 |
| [35] | B-ZSM-5 (Si/Al = 300, Si/B = 60) | batch reactor | temperature 40 °C, reaction time 15 min, catalyst/CHP mass ratio = 0.18 | 100 | 96 | 96 |
| [36] | 3D-SiO2-Ph-SO3H | batch reactor | temperature 60 °C, reaction time 1.25 h, catalyst/CHP mass ratio = 1:10 | 98.9 | 94.8 | 93.8 |
| [36] | 3D-SiO2-Ph-SO3H | batch reactor | temperature 40 °C, reaction time 0.75 h, catalyst/CHP mass ratio = 1:6 | 95.6 | 96.6 | 92.3 |
| [36] | 3D-SiO2-Ph-SO3H | fixed bed | temperature 50 °C, WHSV = 4 | 98.2 | 94.8 | 93.1 |
| [36] | 3D-SiO2-Ph-SO3H | fixed bed | temperature 50 °C, WHSV = 4 | 99.8 | 94.1 | 93.9 |
| [37] | HUSY, Si/Al = 2.5 | batch reactor | temperature 60 °C, reaction time 0.17 h, catalyst/CHP mass ratio = 0.017 | 32 | 100 | 32 |
| [37] | HUSY, Si/Al = 15 | batch reactor | temperature 60 °C, reaction time 0.33 h, catalyst/CHP mass ratio = 0.017 | 100 | 100 | 100 |
| [37] | HUSY, Si/Al = 40 | batch reactor | temperature 20 °C, reaction time 20 h, catalyst/CHP mass ratio = 0.17 | 100 | 100 | 100 |
| [37] | HUSY, Si/Al = 40 | batch reactor | temperature 60 °C, reaction time 0.33 h, catalyst/CHP mass ratio = 0.017 | 100 | 100 | 100 |
| [37] | HY, Si/Al = 2.5 | batch reactor | temperature 60 °C, reaction time 0.33 h, catalyst/CHP mass ratio = 0.017 | <10 | 100 | <10 |
| [37] | HZSM5, Si/Al = 30 | batch reactor | temperature 20 °C, reaction time 30 h, catalyst/CHP mass ratio = 0.17 | 5 | 100 | 5 |
| [37] | , Si/Al = 14 | batch reactor | temperature 20 °C, reaction time 10 h, catalyst/CHP mass ratio = 0.17 | 89 | 100 | 89 |
| [38] | Al-ZSM-5 | batch reactor | temperature 25 °C, reaction time 0.08 h, catalyst/CHP mass ratio = 0.1 | 100 | 86 | 86.0 |
| [38] | Ga-ZSM-5 | batch reactor | temperature 25 °C, reaction time 0.08 h, catalyst/CHP mass ratio = 0.1 | 100 | 88.5 | 88.5 |
| [38] | Fe-ZSM-5 | batch reactor | temperature 25 °C, reaction time 0.08 h, catalyst/CHP mass ratio = 0.1 | 100 | 88 | 88.0 |
| [38] | Al-ZSM-22 | batch reactor | temperature 40 °C, reaction time 0.25 h, catalyst/CHP mass ratio = 0.1 | 65 | 87.5 | 56.9 |
| [38] | Al-MCM-22 | batch reactor | temperature 40 °C, reaction time 0.25 h, catalyst/CHP mass ratio = 0.1 | 90 | 87 | 78.3 |
| [38] | Al-ZSM-48 | batch reactor | temperature 60 °C, reaction time 1 h, catalyst/CHP mass ratio = 0.1 | 45 | 80 | 36.0 |
| [38] | Al-EU-1 | batch reactor | temperature 60 °C, reaction time 0.5 h, catalyst/CHP mass ratio = 0.1 | 80 | 88.7 | 71.0 |
| [38] | Al-Beta | batch reactor | temperature 25 °C, reaction time 0.08 h, catalyst/CHP mass ratio = 0.1 | 100 | 88 | 88.0 |
| [38] | Al-Beta | fixed bed | temperature 60 °C, space velocity = 2 mL | 99 | 95 | 94.1 |
| [38] | Ga-Beta | batch reactor | temperature 25 °C, reaction time 0.08 h, catalyst/CHP mass ratio = 0.1 | 100 | 92 | 92.0 |
| [38] | Fe-Beta | batch reactor | temperature 25 °C, reaction time 0.08 h, catalyst/CHP mass ratio = 0.1 | 100 | 91 | 91.0 |
| [38] | B-Beta | batch reactor | temperature 25 °C, reaction time 0.08 h, catalyst/CHP mass ratio = 0.1 | 100 | 92 | 92.0 |
| [38] | Al-ZSM-12 | batch reactor | temperature 40 °C, reaction time 0.5 h, catalyst/CHP mass ratio = 0.1 | 95 | 82 | 77.9 |
| [38] | H-Mordenite | batch reactor | temperature 25 °C, reaction time 0.08 h, catalyst/CHP mass ratio = 0.1 | 100 | 86.5 | 86.5 |
| [38] | H-Y | batch reactor | temperature 40 °C, reaction time 0.17 h, catalyst/CHP mass ratio = 0.1 | 96 | 85 | 81.6 |
| [38] | SAPO-5 | batch reactor | temperature 60 °C, reaction time 1 h, catalyst/CHP mass ratio = 0.1 | 10 | 88 | 8.8 |
| [38] | AlPO-5 | batch reactor | temperature 60 °C, reaction time 1 h, catalyst/CHP mass ratio = 0.1 | 25 | 86 | 21.5 |
| Ref. | Catalyst | Reactor Type | Reaction Conditions | CHP Conversion (%) | Phenol Selectivity (%) | Phenol Yield (%) |
|---|---|---|---|---|---|---|
| [44] | Filtrol-24 (acid-treated montmorillonite) | batch reactor | temperature 55–65 °C, reaction time 1 h | ∼100 | – | 95 |
| [45] | 1# (NH4NO3-modified bentonite) | batch reactor | temperature 57 °C, reaction time 0.5 h | 100 | ≥95 | ≥95 |
| [45] | 3# (NH4NO3 secondary modified bentonite) | batch reactor | temperature 57 °C, reaction time 0.5 h | 100 | ≥95 | ≥95 |
| [45] | 6# (NH4NO3-modified bentonite) | batch reactor | temperature 40 °C, reaction time 1 h | 100 | ≥95 | ≥95 |
| [45] | 10# ((NH4NO3-modified bentonite) | batch reactor | temperature 40 °C, reaction time 1 h | 100 | ≥95 | ≥95 |
| [45] | 11# (NH4NO3-modified bentonite) | fixed bed | temperature 48 °C, LHSV = 0.04 | 99.5 | ≥95 | ≥94.5 |
| [46] | 12-Tungsto phosphoric acid/Clay-24 | batch reactor | temperature 57 °C, reaction time 0.5 h | 96 | 99 | 95 |
| [47] | ZrCl4-modified Clay-24 | batch reactor | temperature 57 °C, reaction time 0.5 h | >98 | 94 | 93 |
| [47] | TiCl4-modified Clay-24 | batch reactor | temperature 57 °C, reaction time 0.33 h | >99 | 97 | 96 |
| [28] | 12-Tungstophosphoric acid/TiO2 (17 wt% W) | batch reactor | temperature 57 °C, reaction time 2 h | >99 | >99 | >99 |
| [48] | Acid-treated montmorillonite (Grade F24) | fixed bed | temperature 60 °C, pressure 20 bar, LHSV = 1 | 100 | >99 | 99 |
| [48] | Acid-treated montmorillonite (Grade F24) | fixed bed | temperature 80 °C, pressure 20 bar, LHSV = 10 | 100 | ∼94 | 94 |
| [47] | 12-Tungstophosphoric acid-modified montmorillonite | fixed bed | temperature 60 °C, pressure 20 bar, LHSV = 10 | >99 | >95 | >95 |
| [49] | Acidic montmorillonite/ cordierite monolithic catalyst | fixed bed | temperature 80 °C, WHSV = 90 | 100 | >99.8 | 99.8 |
| Ref. | Catalyst | Reaction Conditions | CHP Conversion (%) | Phenol Selectivity (%) | Phenol Yield (%) |
|---|---|---|---|---|---|
| [58] | Heteropoly acid salt | temperature 40–100 °C, catalyst/CHP = 0.001–0.05 | 100 | 98 | 98 |
| [16] | 20% Cs2.5H0.5PW12O40/K-10 | temperature 60 °C, catalyst/CHP = 1 | 100 | 100 | 100 |
| [59] | TiO2 and phosphotungstic acid modified Beta zeolite | temperature 60 °C, reaction time 4 h, catalyst/CHP = 0.1 | 99.5 | 92.6 | 92.1 |
| Ref. | Catalyst | Reactor Type | Reaction Conditions | CHP Conversion (%) | Phenol Selectivity (%) | Phenol Yield (%) |
|---|---|---|---|---|---|---|
| [65] | Sulfated zirconia | batch reactor | temperature 57 °C, reaction time 3 h, catalyst/CHP = 0.025 | 23.8 | 96.1 | 22.9 |
| [65] | Sulfated iron–zirconium oxide | batch reactor | temperature 57 °C, reaction time 3 h, catalyst/CHP = 0.025 | 97.6 | 97.2 | 94.8 |
| [65] | Sulfated titania | batch reactor | temperature 57 °C, reaction time 3 h, catalyst/CHP = 0.025 | 74.7 | 94.3 | 70.5 |
| [65] | Sulfated manganese-iron- zirconium oxide | batch reactor | temperature 57 °C, reaction time 3 h, catalyst/CHP = 0.025 | 74.6 | 96.5 | 72.0 |
| [65] | Sulfated iron-zirconium oxide | batch reactor | temperature 57 °C, reaction time 3 h, catalyst/CHP = 0.025 | 71.5 | 94.8 | 67.8 |
| [66] | Difluoro phosphoric acid/TiO2 | batch reactor | temperature 57–80 °C, reaction time 2 h, catalyst/CHP = 0.16 | >98 | 97 | >95.1 |
| [66] | Fluoro phosphoric acid/TiO2 | fixed bed | temperature 60 °C, pressure 300 psi, LHSV = 1 | >99.7 | >99 | >98.7 |
| [66] | Hydrogen fluoride/TiO2 | fixed bed | temperature 60 °C, pressure 300 psi, LHSV = 1 | 100 | 97 | 97 |
| [67] | Fe–W–ZrO2 | fixed bed | temperature 80 °C, 50 psig, LHSV = 0.91–4.55 | 100 | >99 | >99 |
| [16] | Sulfated zirconia | batch reactor | temperature 60 °C, reaction time 0.5 h, catalyst/CHP = 0.05 | 24 | 100 | 100 |
| Aspect | Homogeneous Catalysts | Heterogeneous Catalysts |
|---|---|---|
| Activity | High | Relatively high |
| Cost | Lower | Higher |
| Recyclability | Not applicable; continuously consumed | Applicable |
| Catalyst Lifetime | N/A (continuously consumed) | Limited |
| Impact on Process Flow | Requires an additional neutralization section to handle residual liquid acid, resulting in a more complex process | No neutralization section needed; simpler process flow |
| Reactor Material Requirements | High; susceptible to acid corrosion | Low |
Disclaimer/Publisher’s Note: The statements, opinions and data contained in all publications are solely those of the individual author(s) and contributor(s) and not of MDPI and/or the editor(s). MDPI and/or the editor(s) disclaim responsibility for any injury to people or property resulting from any ideas, methods, instructions or products referred to in the content. |
© 2026 by the authors. Licensee MDPI, Basel, Switzerland. This article is an open access article distributed under the terms and conditions of the Creative Commons Attribution (CC BY) license.
Share and Cite
Yang, K.; Shi, F.; Yang, G. Heterogeneous Solid Acid Catalysts for the Hock Cleavage of Cumene Hydroperoxide: Mechanism, Catalyst Design, and Industrial Perspectives. Catalysts 2026, 16, 329. https://doi.org/10.3390/catal16040329
Yang K, Shi F, Yang G. Heterogeneous Solid Acid Catalysts for the Hock Cleavage of Cumene Hydroperoxide: Mechanism, Catalyst Design, and Industrial Perspectives. Catalysts. 2026; 16(4):329. https://doi.org/10.3390/catal16040329
Chicago/Turabian StyleYang, Kai, Feng Shi, and Guochao Yang. 2026. "Heterogeneous Solid Acid Catalysts for the Hock Cleavage of Cumene Hydroperoxide: Mechanism, Catalyst Design, and Industrial Perspectives" Catalysts 16, no. 4: 329. https://doi.org/10.3390/catal16040329
APA StyleYang, K., Shi, F., & Yang, G. (2026). Heterogeneous Solid Acid Catalysts for the Hock Cleavage of Cumene Hydroperoxide: Mechanism, Catalyst Design, and Industrial Perspectives. Catalysts, 16(4), 329. https://doi.org/10.3390/catal16040329
