Solar-Activated Titanium-Based Cu4O3/ZrO2/TiO2 Ternary Nano-Heterojunction for Rapid Photocatalytic Degradation of the Textile Dye Everzol Yellow 3RS
Abstract
1. Introduction
2. Results and Discussion
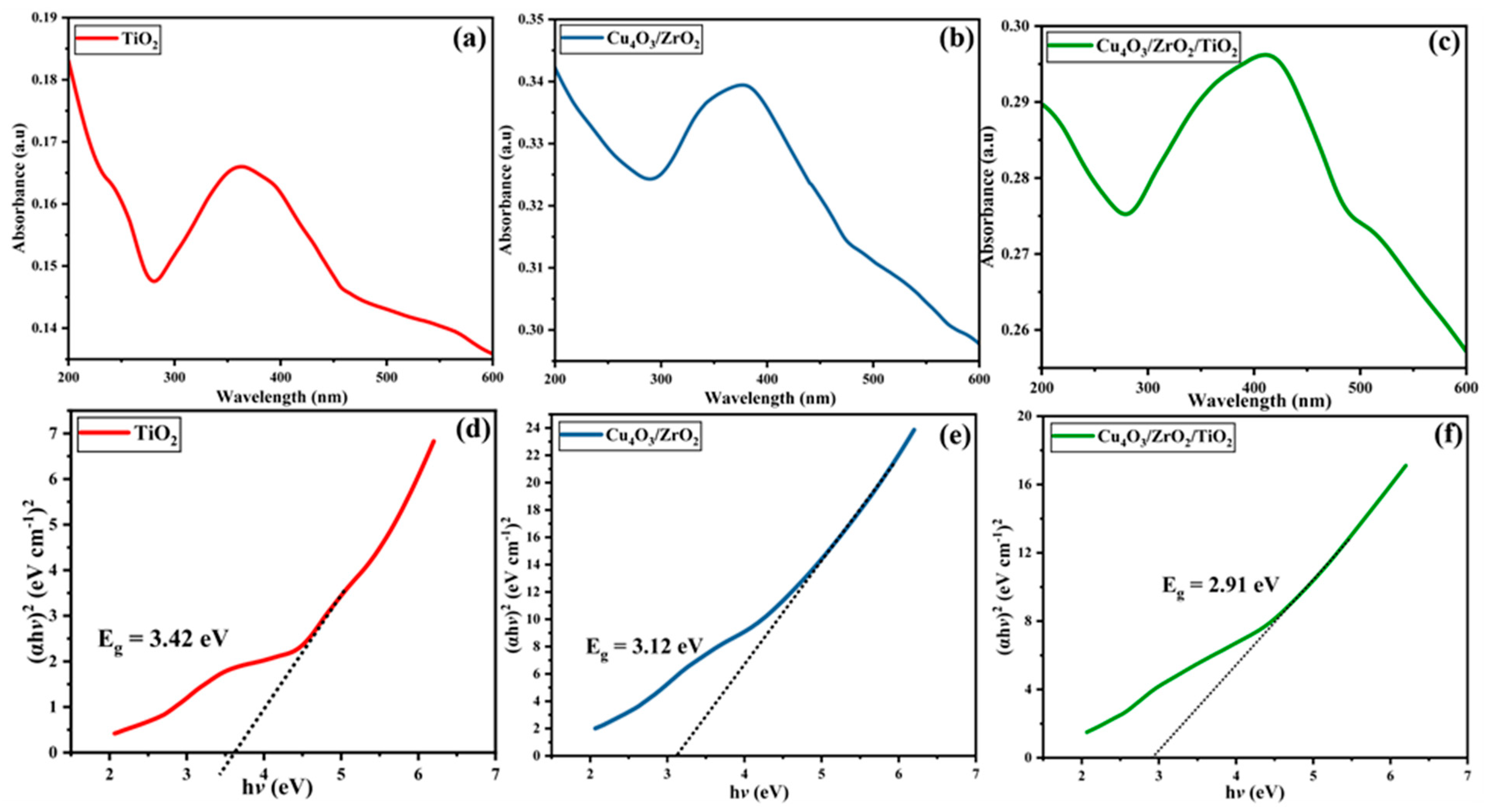
2.1. Characterization of the Nanocomposites
2.2. Photocatalytic Activity of Pure, Binary and Ternary Nanocomposites
2.2.1. Effect of Dye Concentration
2.2.2. Effect of Catalyst Loading
2.2.3. Effect of Solution pH
2.2.4. Effect of Irritation Time
2.3. Photocatalytic Degradation Mechanism of Everzol Yellow 3RS
2.4. Reusability of Material
3. Materials and Methods
3.1. Materials Used
3.2. Synthesis of Ternary Nanocomposites
3.3. Photocatalytic Activity Experiment
4. Conclusions
Author Contributions
Funding
Institutional Review Board Statement
Data Availability Statement
Conflicts of Interest
References
- Singh, M.; Singh, J.; Rawat, M.; Sharma, J.; Singh, P.P. Enhanced photocatalytic degradation of hazardous industrial pollutants with inorganic–organic TiO2–SnO2–GO hybrid nanocomposites. J. Mater. Sci. Mater. Electron. 2019, 30, 13389–13400. [Google Scholar] [CrossRef]
- Siddique, H.M.A.; Kiani, A.K. Industrial pollution and human health: Evidence from middle-income countries. Environ. Sci. Pollut. Res. 2020, 27, 12439–12448. [Google Scholar] [CrossRef] [PubMed]
- Liang, L.; Wang, Z.; Li, J. The effect of urbanization on environmental pollution in rapidly developing urban agglomerations. J. Clean. Prod. 2019, 237, 117649. [Google Scholar] [CrossRef]
- Tkaczyk, A.; Mitrowska, K.; Posyniak, A. Synthetic organic dyes as contaminants of the aquatic environment and their implications for ecosystems: A review. Sci. Total Environ. 2020, 717, 137222. [Google Scholar] [CrossRef]
- Kanakaraju, D.; Chandrasekaran, A. Recent advances in TiO2/ZnS-based binary and ternary photocatalysts for the degradation of organic pollutants. Sci. Total Environ. 2023, 868, 161525. [Google Scholar] [CrossRef] [PubMed]
- Salari, H. Efficient photocatalytic degradation of environmental pollutant with enhanced photocarrier separation in novel Z-scheme a-MnO2 nanorod/a-MoO3 nanocomposites. J. Photochem. Photobiol. A Chem. 2020, 401, 112787. [Google Scholar] [CrossRef]
- Kanan, S.; Moyet, M.A.; Arthur, R.B.; Patterson, H.H. Recent advances on TiO2-based photocatalysts toward the degradation of pesticides and major organic pollutants from water bodies. Catal. Rev. 2020, 62, 1–65. [Google Scholar] [CrossRef]
- Tahir, N.; Zahid, M.; Bhatti, I.A.; Mansha, A.; Naqvi, S.A.R.; Hussain, T. Metal oxide-based ternary nanocomposites for wastewater treatment. In Aquananotechnology; Elsevier: Amsterdam, The Netherlands, 2021; pp. 135–158. [Google Scholar]
- Lavrynenko, O.; Zahornyi, M.; Paineau, E.; Yu, P.O. Synthesis of active binary and ternary TiO2-based nanocomposites for efficient dye photodegradation. Appl. Nanosci. 2023, 13, 7365–7377. [Google Scholar] [CrossRef]
- Chen, D.; Cheng, Y.; Zhou, N.; Chen, P.; Wang, Y.; Li, K.; Huo, S.; Cheng, P.; Peng, P.; Zhang, R. Photocatalytic degradation of organic pollutants using TiO2-based photocatalysts: A review. J. Clean. Prod. 2020, 268, 121725. [Google Scholar] [CrossRef]
- Shahat, A.M.; El-Hossary, F.; Ghitas, A.; Abd El-Rahman, A.; Ebnalwaled, A. Low-temperature hydrothermal synthesis of titanium dioxide nanoparticles for photocatalytic applications. IOP Conf. Ser. Mater. Sci. Eng. 2021, 1171, 012008. [Google Scholar] [CrossRef]
- Imoisili, P.E.; Jen, T.-C.; Safaei, B. Microwave-assisted sol–gel synthesis of TiO2-mixed metal oxide nanocatalyst for degradation of organic pollutant. Nanotechnol. Rev. 2021, 10, 126–136. [Google Scholar] [CrossRef]
- Rakhi, C.; Preetha, K. An investigation on effect of complexing agents on zirconium based ternary metal oxide nanoparticles by co-precipitation method. J. Mater. Sci. Mater. Electron. 2019, 30, 19587–19597. [Google Scholar] [CrossRef]
- Tyagi, N.; Ashraf, W.; Mittal, H.; Fatima, T.; Khanuja, M.; Singh, M.K. A facile synthesis of ternary hybrid nanocomposite of WS2/ZnO/PPy: An efficient photocatalyst for the degradation of chromium hexavalent. Dye. Pigment. 2023, 210, 110998. [Google Scholar] [CrossRef]
- Kamble, C.; Jadhav, V.V.; Mane, R.S. Electrodeposition of metal oxide nanostructures. In Solution Methods for Metal Oxide Nanostructures; Elsevier: Amsterdam, The Netherlands, 2023; pp. 197–220. [Google Scholar]
- Suganya, S.; Alam, M.M.; Kousi, F.; Ramalingam, G.; Prabhu, M.R.; Sudhahar, S. Facile one-pot synthesis of ternary Ni-Mn-Zn oxide nanocomposites for high-performance hybrid supercapacitors. J. Energy Storage 2023, 71, 108176. [Google Scholar] [CrossRef]
- Bhattacharya, D.; Ghoshal, D.; Mondal, D.; Paul, B.K.; Bose, N.; Das, S.; Basu, M. Visible light driven degradation of brilliant green dye using titanium based ternary metal oxide photocatalyst. Results Phys. 2019, 12, 1850–1858. [Google Scholar] [CrossRef]
- Muthamilarasu, A.; Sivakumar, S.; Divya, G.; Sivakumar, M.; Sakthi, D. NiO/CuO/TiO2 ternary composites: Development, physicochemical characterization and photocatalytic degradation study over reactive orange 30 solutions under solar light irradiation. Adv. Mater. Sci. 2022, 22, 36–54. [Google Scholar] [CrossRef]
- Karunakaran, C.; Abiramasundari, G.; Gomathisankar, P.; Manikandan, G.; Anandi, V. Cu-doped TiO2 nanoparticles for photocatalytic disinfection of bacteria under visible light. J. Colloid Interface Sci. 2010, 352, 68–74. [Google Scholar] [CrossRef]
- Kerrami, A.; Khezami, L.; Bououdina, M.; Mahtout, L.; Modwi, A.; Rabhi, S.; Bensouici, F.; Belkacemi, H. Efficient photodegradation of azucryl red by copper-doped TiO2 nanoparticles—Experimental and modeling studies. Environ. Sci. Pollut. Res. 2021, 28, 57543–57556. [Google Scholar] [CrossRef] [PubMed]
- S Altimari, U.; Alkadir, K.A.; H Abdulrazzak, F.; F Alkaim, A. Improve the Medical Properties of Nanocomposite Metal Oxide by Increase the Activity. J. Nanostructures 2021, 11, 568–576. [Google Scholar]
- Delsouz Khaki, M.R.; Shafeeyan, M.S.; Raman, A.A.A.; Daud, W.M.A.W. Enhanced UV–Visible photocatalytic activity of Cu-doped ZnO/TiO2 nanoparticles. J. Mater. Sci. Mater. Electron. 2018, 29, 5480–5495. [Google Scholar] [CrossRef]
- Karunakaran, C.; Abiramasundari, G.; Gomathisankar, P.; Manikandan, G.; Anandi, V. Preparation and characterization of ZnO–TiO2 nanocomposite for photocatalytic disinfection of bacteria and detoxification of cyanide under visible light. Mater. Res. Bull. 2011, 46, 1586–1592. [Google Scholar] [CrossRef]
- Pilliadugula, R.; Nithya, C.; Krishnan, N.G. Influence of Ga2O3, CuGa2O4 and Cu4O3 phases on the sodium-ion storage behaviour of CuO and its gallium composites. Nanoscale Adv. 2020, 2, 1269–1281. [Google Scholar] [CrossRef] [PubMed]
- Singh, R.K.; Kumar, S.; Aman, A.K.; Karim, S.; Kumar, S.; Kar, M. Study on physical properties of Ayurvedic nanocrystalline Tamra Bhasma by employing modern scientific tools. J. Ayurveda Integr. Med. 2019, 10, 88–93. [Google Scholar] [CrossRef]
- Giri, S.D.; Mahajani, S.M.; Suresh, A.; Sarkar, A. Electrochemical reduction of CO2 on activated copper: Influence of surface area. Mater. Res. Bull. 2020, 123, 110702. [Google Scholar] [CrossRef]
- Jagadish, K.A.; Kekuda, D. Thermal annealing effect on phase evolution, physical properties of DC sputtered copper oxide thin films and transport behavior of ITO/CuO/Al Schottky diodes. Appl. Phys. A 2024, 130, 315. [Google Scholar] [CrossRef]
- Nurulhuda, A.; Warikh, A.; Hafizzal, Y. Sol gel synthesis and characterization studies of Cupromanganite CaCu3Mn4O12. IOP Conf. Ser. Mater. Sci. Eng. 2017, 226, 012154. [Google Scholar] [CrossRef]
- Wnuk, R.; Novak, P.; Stępień, M.; Jaworska, L.; Marek, I.; Noga, P.; Skrzekut, T.; Małecki, S. Activation energies of oxidation in air for SPS-sintered zirconium and its alloys. Arch. Civ. Mech. Eng. 2025, 25, 1–14. [Google Scholar] [CrossRef]
- Patel, R.; Fakeeha, A.H.; Kasim, S.O.; Sofiu, M.L.; Ibrahim, A.A.; Abasaeed, A.E.; Kumar, R.; Al-Fatesh, A.S. Optimizing yttria-zirconia proportions in Ni supported catalyst system for H2 production through dry reforming of methane. Mol. Catal. 2021, 510, 111676. [Google Scholar] [CrossRef]
- Shu, X.; Lu, X.; Fan, L.; Yang, R.; Ding, Y.; Pan, S.; Zhou, P.; Wu, Y. Design and fabrication of Gd2Zr2O7-based waste forms for U3O8 immobilization in high capacity. J. Mater. Sci. 2016, 51, 5281–5289. [Google Scholar] [CrossRef]
- Żurowski, R.; Zygmuntowicz, J.; Piotrkiewicz, P.; Wachowski, M.; Szczypiński, M.M. ZTA pipes with a gradient structure-effect of the rheological the behavior of ceramic suspensions on the gradient structure and characterized of the obtained products. Materials 2021, 14, 7348. [Google Scholar] [CrossRef]
- Asiltürk, M.; Sayılkan, F.; Erdemoğlu, S.; Akarsu, M.; Sayılkan, H.; Erdemoğlu, M.; Arpaç, E. Characterization of the hydrothermally synthesized nano-TiO2 crystallite and the photocatalytic degradation of Rhodamine B. J. Hazard. Mater. 2006, 129, 164–170. [Google Scholar] [CrossRef]
- Prasad, R.D.; Sarvalkar, P.D.; Prasad, N.; Prasad, S.R.; Prasad, R.S.; Prasad, R.B.; Prasad, R.R.; Desai, C.; Vaidya, A.K.; Teli, B. A Review on Spectroscopic Techniques for Analysis of Nanomaterials and Biomaterials. ES Energy Environ. 2024, 27, 1264. [Google Scholar] [CrossRef]
- Divya, G.; Sivakumar, S.; Sakthi, D.; Priyadharsan, A.; Arun, V.; Kavitha, R.; Boobas, S. Developing the NiO/CuTiO3/ZnO ternary semiconductor heterojunction for harnessing photocatalytic activity of reactive dye with enhanced durability. J. Inorg. Organomet. Polym. Mater. 2021, 31, 4480–4490. [Google Scholar] [CrossRef]
- Qamar, M.; Yoon, C.; Oh, H.; Lee, N.; Park, K.; Kim, D.; Lee, K.; Lee, W.; Kim, S. Preparation and photocatalytic activity of nanotubes obtained from titanium dioxide. Catal. Today 2008, 131, 3–14. [Google Scholar] [CrossRef]
- Durai, S.V.; Kumar, E.; Muthuraj, D. Investigations on structural, optical, and impedance spectroscopy studies of titanium dioxide nanoparticles. Bull. Chem. Soc. Ethiop. 2021, 35, 151–160. [Google Scholar] [CrossRef]
- Ouda, A.A.; Alosfur, F.K.M.; Ridha, N.J.; Abud, S.H.; Umran, N.M.; Al-aaraji, H.H.; Madlool, R.A. Facile method to synthesis of anatase TiO2 nanorods. J. Phys. Conf. Ser. 2018, 1032, 012038. [Google Scholar] [CrossRef]
- David, S.A.; Vedhi, C. Synthesis and characterization of Co3O4-CuO-ZrO2 ternary nanoparticles. Int. J. Chem Tech Res. 2017, 10, 905–912. [Google Scholar]
- Batool, M.; Qureshi, M.Z.; Hashmi, F.; Mehboob, N.; Shah, A.S. Congo red azo dye removal and study of its kinetics by aloe vera mediated copper oxide nanoparticles. Indones. J. Chem. 2019, 19, 626–637. [Google Scholar] [CrossRef]
- Wahba, M.A.; Badawy, A.A. Novel Zr–Cu–Fe nanocomposite metal oxides: Structural, magnetic and composition activity effects on photodegradation of phenols. J. Sol-Gel Sci. Technol. 2020, 94, 637–647. [Google Scholar] [CrossRef]
- Mersian, H.; Alizadeh, M.; Hadi, N. Synthesis of zirconium doped copper oxide (CuO) nanoparticles by the Pechini route and investigation of their structural and antibacterial properties. Ceram. Int. 2018, 44, 20399–20408. [Google Scholar] [CrossRef]
- Rahmawati, L.; Kurniawan, R.; Prasetyo, N.; Sudiono, S.; Syoufian, A. Copper-and-Nitrogen-Codoped Zirconium Titanate (Cu-N-ZrTiO4) as a Photocatalyst for Photo-Degradation of Methylene Blue under Visible-Light Irradiation. Indones. J. Chem. 2023, 23, 416–424. [Google Scholar] [CrossRef]
- Afzal, S.; Naeem, R.; Sherino, B.; Nabi, N.; Behlil, F.; Julkapli, N.M. Impact of chitosan on CS/TiO2 composite system for enhancing its photocatalytic performance towards dye degradation. Desalination Water Treat. 2023, 283, 274–279. [Google Scholar] [CrossRef]
- Katoh, R.; Takahashi, K.; Sugawa, K. Quantum Yields of Photoluminescence of TiO2 Photocatalysts. J. Phys. Chem. C 2022, 126, 20954–20959. [Google Scholar] [CrossRef]
- Gurushantha, K.; Anantharaju, K.; Kottam, N.; Keshavamurthy, K.; Ravikumar, C.; Surendra, B.; Murugan, A.; Murthy, H.A. Synthesis of ZrO2: Dy3+ nanoparticles: Photoluminescent, photocatalytic, and electrochemical sensor studies. Adsorpt. Sci. Technol. 2022, 2022, 5664344. [Google Scholar] [CrossRef]
- Uma, H.B.; Kumar, M.S.V.; Ananda, S. Semiconductor-assisted photodegradation of textile dye, photo-voltaic and antibacterial property of electrochemically synthesized Sr-doped CuO nano photocatalysts. J. Mol. Struct. 2022, 1264, 133110. [Google Scholar] [CrossRef]
- Bunea, R. The Effect of Annealing Temperatures and Inert/Reactive Gasses on Optical Properties of Cu2O and CuO Thin Films. Ph.D. Thesis, University of Central Florida, Orlando, FL, USA, 2021. [Google Scholar]
- Zheng, J.; Sun, L.; Jiao, C.; Shao, Q.; Lin, J.; Pan, D.; Naik, N.; Guo, Z. Hydrothermally synthesized Ti/Zr bimetallic MOFs derived N self-doped TiO2/ZrO2 composite catalysts with enhanced photocatalytic degradation of methylene blue. Colloids Surf. A Physicochem. Eng. Asp. 2021, 623, 126629. [Google Scholar] [CrossRef]
- Kuriechen, S.K.; Murugesan, S.; Paul Raj, S. Mineralization of Azo Dye Using Combined Photo-Fenton and Photocatalytic Processes under Visible Light. J. Catal. 2013, 2013, 104019. [Google Scholar] [CrossRef]
- Lim, P.F.; Leong, K.H.; Sim, L.C.; Abd Aziz, A.; Saravanan, P. Amalgamation of N-graphene quantum dots with nanocubic like TiO2: An insight study of sunlight sensitive photocatalysis. Environ. Sci. Pollut. Res. 2019, 26, 3455–3464. [Google Scholar] [CrossRef] [PubMed]
- Nur, A.S.; Sultana, M.; Mondal, A.; Islam, S.; Robel, F.N.; Islam, A.; Sumi, M.S.A. A review on the development of elemental and codoped TiO2 photocatalysts for enhanced dye degradation under UV–vis irradiation. J. Water Process Eng. 2022, 47, 102728. [Google Scholar] [CrossRef]
- Wahba, M.A.; Yakout, S.M. Microwave-synthesized ZrO2/ZnO heterostructures: Fast and high charge separation solar catalysts for dyes-waste degradation. J. Sol-Gel Sci. Technol. 2022, 104, 330–341. [Google Scholar] [CrossRef]
- Bashir, A.; Farooq, M.; Malik, A.; Naseem, S.; Bhatti, A.S. UV-a treatment of ZrO2 thin films fabricated by environmental friendlier water-based solution processing: Structural and optical studies. Coatings 2021, 11, 821. [Google Scholar] [CrossRef]
- Anandan, K.; Rajesh, K.; Rajendran, V. Enhanced optical properties of spherical zirconia (ZrO2) nanoparticles synthesized via the facile various solvents mediated solvothermal process. J. Mater. Sci. Mater. Electron. 2017, 28, 17321–17330. [Google Scholar] [CrossRef]
- Ansari, F.; Sheibani, S.; Fernandez-García, M. Surface modification of Cu2O-CuO photocatalyst on Cu wire through decorating with TiO2 nanoparticles for enhanced visible light photocatalytic activity. J. Alloys Compd. 2022, 919, 165864. [Google Scholar] [CrossRef]
- Yitagesu, G.B.; Leku, D.T.; Seyume, A.M.; Workneh, G.A. Biosynthesis of TiO2/CuO and Its Application for the Photocatalytic Removal of the Methylene Blue Dye. ACS Omega 2024, 9, 41301–41313. [Google Scholar] [CrossRef]
- Alaizeri, Z.M.; Alhadlaq, H.A.; Aldawood, S.; Ahamed, M. Chemical synthesis, characterization, and anticancer potential of CuO/ZrO2/TiO2/RGO nanocomposites against human breast (MCF-7) cancer cells. RSC Adv. 2024, 14, 37697–37708. [Google Scholar] [CrossRef]
- Ruíz-Santoyo, V.; Marañon-Ruiz, V.F.; Romero-Toledo, R.; González Vargas, O.A.; Pérez-Larios, A. Photocatalytic degradation of rhodamine B and methylene orange using TiO2-ZrO2 as nanocomposite. Catalysts 2021, 11, 1035. [Google Scholar] [CrossRef]
- Ghoreishian, S.M.; Raju, G.S.R.; Pavitra, E.; Kwak, C.H.; Han, Y.-K.; Huh, Y.S. Controlled synthesis of hierarchical α-nickel molybdate with enhanced solar-light-responsive photocatalytic activity: A comprehensive study on the kinetics and effect of operational factors. Ceram. Int. 2019, 45, 12041–12052. [Google Scholar] [CrossRef]
- Mehrabad, J.T.; Rad, F.A. Exploring the photocatalytic activity of magnesium and copper-doped titanium dioxide nano catalyst through synthesis and characterization. Adv. J. Chem. A 2024, 7, 374–385. [Google Scholar]
- Raghav, R.; Aggarwal, P.; Srivastava, S. Tailoring oxides of copper-Cu2O and CuO nanoparticles and evaluation of organic dyes degradation. AIP Conf. Proc. 2016, 1724, 020078. [Google Scholar]
- Kosmulski, M. The significance of the points of zero charge of zirconium (hydr) oxide reported in the literature. J. Dispers. Sci. Technol. 2002, 23, 529–538. [Google Scholar] [CrossRef]
- Rasheed, S.; Batool, Z.; Intisar, A.; Riaz, S.; Shaheen, M.; Kousar, R. Enhanced photodegradation activity of cuprous oxide nanoparticles towards Congo red for water purification. Desalination Water Treat. 2021, 227, 330–337. [Google Scholar] [CrossRef]
- Biru, M.; Qaderi, J.; Mamat, C.; Jalil, A.A. Preparation and characterization of copper, iron, and nickel doped titanium dioxide photocatalysts for decolorization of methylene blue. Sains Malays. 2021, 50, 135–149. [Google Scholar] [CrossRef]
- Prasannalakshmi, P.; Shanmugam, N. Fabrication of TiO2/ZnS nanocomposites for solar energy mediated photocatalytic application. Spectrochim. Acta Part A Mol. Biomol. Spectrosc. 2017, 175, 1–10. [Google Scholar] [CrossRef]
- Soleimani, F.; Rahmani, M.B. Optimizing Photocatalytic Efficiency for MB Dye Degradation Through Sol-Gel Synthesized ZrO2/Anatase-TiO2 Nanocomposites. J. Clust. Sci. 2025, 36, 1–16. [Google Scholar] [CrossRef]
- Supriya, G.; Douglas, S.P. Effective Visible Light Photodegradation of Alizarin red S dye and Antibacterial Activity Studies with Magnetically Separable NiFe2O4/TiO2/ZrO2 Ternary Nanocomposites. Results Surf. Interfaces 2025, 20, 100566. [Google Scholar] [CrossRef]
- Arjun, A.; Dharr, A.; Raguram, T.; Rajni, K. Study of copper doped zirconium dioxide nanoparticles synthesized via sol–gel technique for photocatalytic applications. J. Inorg. Organomet. Polym. Mater. 2020, 30, 4989–4998. [Google Scholar] [CrossRef]
- Abdi, J.; Yahyanezhad, M.; Sakhaie, S.; Vossoughi, M.; Alemzadeh, I. Synthesis of porous TiO2/ZrO2 photocatalyst derived from zirconium metal organic framework for degradation of organic pollutants under visible light irradiation. J. Environ. Chem. Eng. 2019, 7, 103096. [Google Scholar] [CrossRef]
- Mitoraj, D.; Lamdab, U.; Kangwansupamonkon, W.; Pacia, M.; Macyk, W.; Wetchakun, N.; Beranek, R. Revisiting the problem of using methylene blue as a model pollutant in photocatalysis: The case of InVO4/BiVO4 composites. J. Photochem. Photobiol. A Chem. 2018, 366, 103–110. [Google Scholar] [CrossRef]
- Rochkind, M.; Pasternak, S.; Paz, Y. Using dyes for evaluating photocatalytic properties: A critical review. Molecules 2014, 20, 88–110. [Google Scholar] [CrossRef]
- Turki Jalil, A.; Emad Al Qurabiy, H.; Hussain Dilfy, S.; Oudah Meza, S.; Aravindhan, S.; M Kadhim, M.; M Aljeboree, A. CuO/ZrO2 nanocomposites: Facile synthesis, characterization and photocatalytic degradation of tetracycline antibiotic. J. Nanostructures 2021, 11, 333–346. [Google Scholar]
- Koe, W.S.; Lee, J.W.; Chong, W.C.; Pang, Y.L.; Sim, L.C. An overview of photocatalytic degradation: Photocatalysts, mechanisms, and development of photocatalytic membrane. Environ. Sci. Pollut. Res. 2020, 27, 2522–2565. [Google Scholar] [CrossRef] [PubMed]
- Carneiro, J.F.; Trevelin, L.C.; Lima, A.S.; Meloni, G.N.; Bertotti, M.; Hammer, P.; Bertazzoli, R.; Lanza, M.R. Synthesis and characterization of ZrO2/C as electrocatalyst for oxygen reduction to H2O2. Electrocatalysis 2017, 8, 189–195. [Google Scholar] [CrossRef]
- Baran, T.; Visibile, A.; Busch, M.; He, X.; Wojtyla, S.; Rondinini, S.; Minguzzi, A.; Vertova, A. Copper oxide-based photocatalysts and photocathodes: Fundamentals and recent advances. Molecules 2021, 26, 7271. [Google Scholar] [CrossRef] [PubMed]
- Guerrero-Araque, D.; Ramírez-Ortega, D.; Acevedo-Peña, P.; Tzompantzi, F.; Calderón, H.A.; Gómez, R. Interfacial charge-transfer process across ZrO2-TiO2 heterojunction and its impact on photocatalytic activity. J. Photochem. Photobiol. A Chem. 2017, 335, 276–286. [Google Scholar] [CrossRef]
- Raghavan, N.; Thangavel, S.; Venugopal, G. Enhanced photocatalytic degradation of methylene blue by reduced graphene-oxide/titanium dioxide/zinc oxide ternary nanocomposites. Mater. Sci. Semicond. Process. 2015, 30, 321–329. [Google Scholar] [CrossRef]
- Yadav, S.; Jilani, A.; Sachan, S.; Kumar, P.; Ansari, S.A.; Afzal, M.; Ansari, M.O. Highly Efficient Visible-Light-Driven Photocatalysis of Rose Bengal Dye and Hydrogen Production Using Ag@Cu/TiO2 Ternary Nanocomposites. Chemistry 2024, 6, 489–505. [Google Scholar] [CrossRef]
- Mohamed, S.; Ma’amor, A.; Abdullah, F.Z.; Muhd Julkapli, N. Solar-driven photodegradation of synthetic dyes by ternary of titanium oxide-copper oxide-chitosan catalyst. J. Phys. Chem. Solids 2023, 181, 111517. [Google Scholar] [CrossRef]
- Bibi, S.; Shah, S.S.; Muhammad, F.; Siddiq, M.; Kiran, L.; Aldossari, S.A.; Sheikh Saleh Mushab, M.; Sarwar, S. Cu-doped mesoporous TiO2 photocatalyst for efficient degradation of organic dye via visible light photocatalysis. Chemosphere 2023, 339, 139583. [Google Scholar] [CrossRef]
- Huang, Y.-Y.; Lin, L.-Y. Synthesis of ternary metal oxides for battery-supercapacitor hybrid devices: Influences of metal species on redox reaction and electrical conductivity. ACS Appl. Energy Mater. 2018, 1, 2979–2990. [Google Scholar] [CrossRef]
- Shen, Y.; Han, S.; Xu, Q.; Wang, Y.; Xu, Z.; Zhao, B.; Zhang, R. Optimizing degradation of Reactive Yellow 176 by dielectric barrier discharge plasma combined with TiO2 nano-particles prepared using response surface methodology. J. Taiwan Inst. Chem. Eng. 2016, 60, 302–312. [Google Scholar] [CrossRef]















| Photocatalyst | Methodology | Degradation Dye | Irradiation Time (min) | Light Source | Degradation (%) | Ref. |
|---|---|---|---|---|---|---|
| CuCo0.5Ti0.5O2 | Chemical method | Brilliant green | 120 | Visible light | 82.0 | [17] |
| NiO/CuO/TiO2 | Micelle surfactant method | Reactive Orange 30 | 90 | Sun light | 86.6 | [18] |
| rGO/TiO2/ZnO | Solvothermal | Methylene blue | 120 | 300 W Xenon lamp | 92 | [78] |
| Ag@Cu/TiO2 | Solvothermal | Rose Bengal | 60 | 500 W halogen lamp | 81.7 | [79] |
| TiO2/CuO/Chitosan | ex-situ method | Methyl orange | 240 | Solar light | 85.29 | [80] |
| Cu-doped mesoporous TiO2 | Sol-gel | Methylene blue | 100 | 500 W mercury bulb | 90 | [81] |
| Cu-N-ZrTiO4 | Sol-gel | Methylene blue | 120 | LIFE MAX 30 W/765 lamp | 83 | [43] |
| Cu4O3/ZrO2/TiO2 | Hydrothermal method | Everzol yellow 3RS | 100 | Sun light | 91.418 | Our work |
Disclaimer/Publisher’s Note: The statements, opinions and data contained in all publications are solely those of the individual author(s) and contributor(s) and not of MDPI and/or the editor(s). MDPI and/or the editor(s) disclaim responsibility for any injury to people or property resulting from any ideas, methods, instructions or products referred to in the content. |
© 2025 by the authors. Licensee MDPI, Basel, Switzerland. This article is an open access article distributed under the terms and conditions of the Creative Commons Attribution (CC BY) license (https://creativecommons.org/licenses/by/4.0/).
Share and Cite
Saira; Abd El-Fattah, W.; Shahid, M.; Ashraf, S.; Sandhu, Z.A.; Guesmi, A.; Ben Hamadi, N.; Farhan, M.; Raza, M.A. Solar-Activated Titanium-Based Cu4O3/ZrO2/TiO2 Ternary Nano-Heterojunction for Rapid Photocatalytic Degradation of the Textile Dye Everzol Yellow 3RS. Catalysts 2025, 15, 751. https://doi.org/10.3390/catal15080751
Saira, Abd El-Fattah W, Shahid M, Ashraf S, Sandhu ZA, Guesmi A, Ben Hamadi N, Farhan M, Raza MA. Solar-Activated Titanium-Based Cu4O3/ZrO2/TiO2 Ternary Nano-Heterojunction for Rapid Photocatalytic Degradation of the Textile Dye Everzol Yellow 3RS. Catalysts. 2025; 15(8):751. https://doi.org/10.3390/catal15080751
Chicago/Turabian StyleSaira, Wesam Abd El-Fattah, Muhammad Shahid, Sufyan Ashraf, Zeshan Ali Sandhu, Ahlem Guesmi, Naoufel Ben Hamadi, Mohd Farhan, and Muhammad Asam Raza. 2025. "Solar-Activated Titanium-Based Cu4O3/ZrO2/TiO2 Ternary Nano-Heterojunction for Rapid Photocatalytic Degradation of the Textile Dye Everzol Yellow 3RS" Catalysts 15, no. 8: 751. https://doi.org/10.3390/catal15080751
APA StyleSaira, Abd El-Fattah, W., Shahid, M., Ashraf, S., Sandhu, Z. A., Guesmi, A., Ben Hamadi, N., Farhan, M., & Raza, M. A. (2025). Solar-Activated Titanium-Based Cu4O3/ZrO2/TiO2 Ternary Nano-Heterojunction for Rapid Photocatalytic Degradation of the Textile Dye Everzol Yellow 3RS. Catalysts, 15(8), 751. https://doi.org/10.3390/catal15080751

