You are currently viewing a new version of our website. To view the old version click .
Catalysts
  • Feature Paper
  • Article
  • Open Access

4 August 2025

Acetate-Assisted Preparation of High-Cu-Content Cu-SSZ-13 with a Low Si/Al Ratio: Distinguishing Cu Species and Origins

,
,
,
and
School of Chemistry and Chemical Engineering, University of Jinan, Jinan 250022, China
*
Authors to whom correspondence should be addressed.
This article belongs to the Special Issue Catalytic Conversion of Small Molecules for Energy and Environmental Sustainability

Abstract

The rational design of high-performance Cu-SSZ-13 catalysts with enhanced low-temperature activity represents a critical challenge for meeting stringent Euro VII emission standards in diesel aftertreatment systems. Elevating Cu loading can theoretically improve catalytic performance; however, one-time ion exchange using common CuSO4 solution makes it hard to accomplish high Cu-ion contents. Herein, we demonstrate that the conventional ion-exchange method, adopting Cu(CH3COO)2 as precursor in NH4-SSZ-13 zeolite with a low Si/Al ratio (≈6–7), can achieve higher Cu content while maintaining superior dispersion of active sites. Comprehensive characterizations reveal a dual incorporation mechanism: canonical Cu2+ ion exchange and unique adsorption of the [Cu(CH3COO)]+ complex. In the latter case, the surface-adsorbed [Cu(CH3COO)]+ ions form high-dispersion CuOx species, while the framework-confined ones convert to active Z[Cu2+(OH)]+ ions. The Cu(CH3COO)2-exchanged Cu-SSZ-13 catalyst exhibits superior low-temperature SCR activity and hydrothermal stability to its CuSO4-exchanged counterpart, making it particularly suitable for close-coupled SCR applications. Our findings provide fundamental insights into Cu speciation control in zeolites and present a scalable, industrially viable approach for manufacturing next-generation SCR catalysts capable of meeting future emission regulations.

1. Introduction

Nitrogen oxides (NOx) are recognized as significant atmospheric pollutants and key precursors for the formation of PM2.5 and ozone [1,2]. Currently, diesel vehicle exhaust emissions constitute the primary source of NOx [3]. In diesel aftertreatment systems, the Cu-exchanged SSZ-13 zeolite (Cu-SSZ-13) has superseded V2O5-WO3/TiO2 as the commercial selective catalytic reduction (SCR) catalyst due to its proven effectiveness and stability in meeting existing emission standards [4,5,6,7]. With the advent of stringent Euro VII emission regulations, there is an urgent need for either the development of novel low-temperature SCR catalysts or the enhancement of the low-temperature activity of Cu-SSZ-13 [8,9,10]. Concurrently, the close-coupled SCR (ccSCR) system has emerged as a promising strategy to attain ultralow NOx emissions in the context of increasingly stringent regulations [11,12]. In this scenario, it is imperative to optimize the low-temperature (<200 °C) activity of Cu-SSZ-13 catalyst [13]. However, achieving excellent low-temperature activity is contingent on the abundance of active Cu2+ sites within SSZ-13 zeolite [14]. Notably, high Cu loadings often trigger the aggregation of Cu species into CuOx, which severely compromises the catalytic activity and stability of Cu-SSZ-13 [15,16]. Consequently, devising a preparation strategy that enables high Cu loading while maintaining superior activity and stability for Cu-SSZ-13 catalysts has become a critical and pressing research objective.
In view of the aforementioned considerations, two strategies have been considered: one is decreasing the Si/Al ratio and the other is optimizing preparation methods [17]. The former increases ion-exchange sites for Cu incorporation, while the latter promotes uniform dispersion of Cu species within the zeolite framework. Currently, the prevailing methods employed to attain elevated Cu loadings encompass liquid-phase ion exchange, one-pot synthesis, and solid-state ion exchange [18]. The liquid-phase ion exchange method generally necessitates multiple ion-exchange cycles to achieve a high Cu loading, thereby augmenting the manufacturing steps and synthesis complexity [19]. Furthermore, the aggregation of Cu species frequently transpires during the repeated exchange process [20]. In the context of one-pot synthesis, although Cu species could be directly introduced into the channels of SSZ-13 zeolites during the crystallization process, this approach results in a Cu content that is too excessive, which is harmful to its hydrothermal stability. Only following the administration of aftertreatment involving reverse ion exchange utilizing HNO3 or NH4NO3, can the inactive CuOx species be eliminated [21,22,23]. Solid-state ion exchange requires elevated temperatures, which can potentially compromise the integrity of zeolite framework and often results in suboptimal Cu2+ dispersion [24]. Notwithstanding the trade-offs inherent to each method, liquid-phase ion exchange remains the primary method for large-scale production of Cu-SSZ-13. Moreover, the findings of both laboratory studies and industrial applications have indicated that the selection of the Cu precursor has been demonstrated to exert a substantial influence on ion-exchange efficiency [20]. The utilization of Cu(CH3COO)2 has been shown to yield higher Cu loading in comparison with CuSO4. This enhancement in the availability of Cu2+ sites has been shown to promote improvements in SCR performance of Cu-SSZ-13. Nevertheless, a thorough analysis of the differences in Cu species and their origins between Cu(CH3COO)2- and CuSO4-exchanged Cu-SSZ-13 has yet to be conducted.
In this study, a high-Cu-content Cu-SSZ-13 catalyst was developed by adopting a NH4-SSZ-13 precursor with the low Si/Al ratio (≈6–7) and subsequent ion exchange in Cu(CH3COO)2 solution. In addition to canonical Cu2+ ion exchange, as observed in CuSO4 solution, the [Cu(CH3COO)]+ adsorption mechanism was disclosed, in which the surface-adsorbed [Cu(CH3COO)]+ ions form high-dispersion CuOx species, while the framework-confined ones convert to active Z[Cu2+(OH)]+ ions, thus elucidating the origin of higher contents of Z[Cu2+(OH)]+ and high-dispersion CuOx species than those in CuSO4-exchanged Cu-SSZ-13 under the same Cu feeding during the ion-exchange process. The Cu(CH3COO)2-exchanged Cu-SSZ-13 exhibits superior low-temperature activity and hydrothermal stability. This work not only provides an efficient strategy for improving the SCR performance of Cu-SSZ-13 but also offers insights into designing high-performance catalysts for ccSCR systems, thereby addressing the challenges posed by stringent emission regulations.

2. Results and Discussion

2.1. Basic Characterizations

The X-ray powder diffraction (XRD) patterns of the as prepared Cu-SSZ-13-(A) and Cu-SSZ-13-(S) catalysts in this study are present in Figure S1. For both samples, the diffraction peaks consistent with those of SSZ-13 (PDF No. 52-0784) were observed [25], suggesting the choice of Cu precursor has a negligible impact on the crystalline structure of the Cu-SSZ-13 catalysts. The fact that no CuOx species were detected may be due to its high dispersion. However, the total Cu content of Cu-SSZ-13-(A) is 5.0 wt.%, which is much higher than that of Cu-SSZ-13-(S) (3.9 wt.%), indicating that using Cu(CH3COO)2 as the Cu precursor enables efficient Cu loading. The absence of detectable CuOx species can be attributed to their high dispersion within the zeolite.
Both Cu-SSZ-13 catalysts exhibit high and comparable surface areas, which facilitates the exposure of active sites and promotes the NH3-SCR reaction. Furthermore, N2 adsorption–desorption isotherms show that both Cu-SSZ-13 catalysts predominantly feature microporous structures (Figure S2), which is in accordance with the reported characteristics of SSZ-13 zeolites [26]. The pore size distribution analysis reveals that both catalysts display a well-defined pore, centered at approximately 1.7 nm, providing additional evidence for their microporous characteristics [27]. In addition, the scanning electron microscope (SEM) images in Figure S3 demonstrate that both samples exhibit the cubic morphology of the CHA structure, which provides visual confirmation of the zeolite’s structural integrity. These results suggest that the Cu precursors have minimal influence on the textural structure and morphology of the Cu-SSZ-13 catalyst.

2.2. NH3-SCR Performance

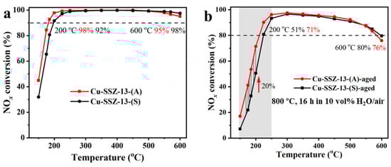
Figure 1a illustrates the NH3-SCR activity of Cu-SSZ-13-(A) and Cu-SSZ-13-(S). Both catalysts exhibited superior NH3-SCR performance across a broad temperature range of 200–600 °C compared with the commercial Cu-SSZ-13 catalyst in the literature [25]. Specifically, NOx conversions below 250 °C for Cu-SSZ-13-(A) are much higher than those of Cu-SSZ-13-(S) even though the former shows a slight decrease in NOx conversion above 550 °C. To investigate the impact of Cu precursors on the hydrothermal stability of Cu-SSZ-13, the SCR activity of both Cu-SSZ-13-(A) and Cu-SSZ-13-(S) were hydrothermally aged in 10 vol% H2O/air at 800 °C for 16 h. Both aged catalysts exhibit a decline in activity across the entire temperature range compared to their respective fresh counterparts (Figure S4). Notably, the NO conversion at 200 °C for Cu-SSZ-13-(A)-aged only decreased by 24% in comparison with 41% for Cu-SSZ-13-(S)-aged, suggesting superior resistance of Cu-SSZ-13-(A) to the hydrothermal aging when compared to Cu-SSZ-13-(S). As shown in Figure 1b, Cu-SSZ-13-(A)-aged exhibits an outstanding low-temperature activity, surpassing that of Cu-SSZ-13-(S)-aged by more than 20% within the 150–200 °C temperature range. This observation suggests that the Cu(CH3COO)2-exchanged Cu-SSZ-13-(A) catalyst retains a great number of isolated Cu2+ ions after hydrothermal aging, providing a protective effect on the zeolite framework [28,29]. Furthermore, the SCR performance comparison of Cu-SSZ-13-(A’) and Cu-SSZ-13-(S’) catalysts prepared under modified conditions (Figure S5) also led to the same conclusion as above. Accordingly, Cu-SSZ-13-(A) and Cu-SSZ-13-(S) were selected as prototypical catalysts for comprehensive characterization and mechanistic analysis in the study.
Figure 1. NOx conversion as a function of reaction temperatures over (a) Cu-SSZ-13-(A) and Cu-SSZ-13-(S) and (b) Cu-SSZ-13-(A)-aged and Cu-SSZ-13-(S)-aged. Reaction conditions: [NO] = [NH3] = 500 ppm, [O2] = 5.3 vol%, [H2O] = 3.5 vol%, balance He, and GHSV = 400,000 h−1.

2.3. Characterizations of the Cu Species

To elucidate the influence of the Cu precursors on the Cu species in the catalysts, the states of the Cu species in Cu-SSZ-13-(A) and Cu-SSZ-13-(S) were systematically investigated by X-ray photoelectron spectroscopy (XPS), ultraviolet-visible diffuse reflectance spectra (UV-vis-DRS), and X-ray absorption fine structure (XAFS) spectroscopy. Initially, XPS spectra were utilized to analyze the chemical states of the surface elements. As shown in Figure 2a, the peaks centered at 936.5 and 956.4 eV are assigned to isolated Cu2+ at the ion-exchange sites in Cu-SSZ-13, while those at 933.5 and 953.2 eV correspond to CuO [30]. Quantitative XPS analysis revealed that Cu-SSZ-13-(A) contains a higher proportion of CuO and a lower content of isolated Cu2+ on its surface compared to Cu-SSZ-13-(S). Combined with the inductively coupled plasma-optical emission spectrometer (ICP-OES) results, the synthesis of Cu-SSZ-13 using Cu(CH3COO)2 as precursor is inevitably accompanied by the formation of CuO species. This finding is consistent with the reduced high-temperature (>550 °C) activity of Cu-SSZ-13-(A) (Figure 1a).
Figure 2. (a) XPS spectra and quantification data of the Cu species, (b) UV-Vis-DRS spectra, and wavelet transform (WT) contour plots of (c) Cu-SSZ-13-(A) and (d) Cu-SSZ-13-(S).
Figure 2b shows the UV-Vis-DRS spectra of Cu-SSZ-13-(A) and Cu-SSZ-13-(S). Both samples exhibit two distinctive adsorption bands. The first is an intense band centered at ~220 nm, which is ascribed to the ligand-to-metal charge transfer (LMCT) of O2− → Cu2+ [31]. The second is a comparatively broad asymmetric band centered at ~700 nm, which is indicative of the ligand field d–d transitions of octahedral Cu species. Therefore, Cu-SSZ-13-(A) contains higher contents of both Cu2+ and CuO species in comparison to Cu-SSZ-13-(S).
XAFS spectra were conducted to verify the Cu species (Figure S6a). The Cu K-edge X-ray absorption near edge structure (XANES) spectra of both Cu-SSZ-13-(A) and Cu-SSZ-13-(S) closely resemble that of CuSO4, confirming that the dominant oxidation state of Cu in both samples is Cu2+. Further analysis of extended X-ray absorption fine structure (EXAFS) spectroscopy reveals that the first shell in both Cu-SSZ-13-(A) and Cu-SSZ-13-(S) consists of solely Cu-O coordination in Fourier transformed (FT) EXAFS spectra (Figure S6b). In order to distinguish the potential overlap of contributions from different neighboring atoms, wavelet transform (WT) analysis was employed on the EXAFS spectra. The WT contour plots of Cu-SSZ-13-(A) (Figure 2c) and Cu-SSZ-13-(S) (Figure 2d) display a pronounced first-shell peak at (5.0 Å−1, 1.3 Å), which is assigned to the scattering from framework O atoms [32]. No other shell peaks are detected in either sample, which is consistent with the Fourier transformed (FT) EXAFS spectra (Figure S6b). Complementary characterization by XPS and UV-Vis-DRS spectra further confirmed that the CuO in both catalysts are highly dispersed, with no detectable large aggregates.
To further characterize the diversity of Cu species in zeolites, electron paramagnetic resonance (EPR) spectroscopy was employed to provide the crucial insights into how different Cu precursors influence both the distribution and quantity of Cu species [25]. As illustrated in Figure 3a, EPR spectra of Cu-SSZ-13-(A) and Cu-SSZ-13-(S) were recorded at −173 °C. Both catalysts manifest a distinctive and significant single characteristic peak, which is accompanied by four well-resolved hyperfine structure peaks, indicating their similar coordination environments for isolated Cu2+ ions. The signals at g = ~ 2.39 for Cu-SSZ-13-(A) and Cu-SSZ-13-(S) are ascribed to Cu2+ with octahedral coordination, specifically as [ZCu2+(OH)(H2O)5]+ and Z2Cu2+(H2O)6 [33,34,35]. The EPR spectra of the dehydrated catalysts (Figure 3b) demonstrated analogous curves for both samples, with the signal at g = 2.36 corresponding to Z2Cu2+ located in the six-membered ring (6MR) [36]. Notably, the slightly higher A-values for Cu-SSZ-13-(A) compared to Cu-SSZ-13-(S) in EPR spectra imply stronger interactions between Cu2+ and the framework O atoms in Cu-SSZ-13-(A), confirming the above-mentioned protection role of the zeolite framework. Quantitative analysis through the double integration of the EPR spectra (Table 1) demonstrates that Cu-SSZ-13-(A) contains higher concentrations of Z2Cu2+, Z[Cu2+(OH)]+, and CuOx compared to those in Cu-SSZ-13-(S). Specifically, the content of Z[Cu2+(OH)]+ increases from 2.0 wt.% to 2.3 wt.% and CuOx increases from 0.6 wt.% to 1.3 wt.% in Cu-SSZ-13-(A), while the content of Z2Cu2+ remains comparable. These results clearly indicate that the utilization of Cu(CH3COO)2 as the precursor enhances the formation of Z[Cu2+(OH)]+ within the eight-membered rings (8MRs) and abundant CuOx species. However, these CuOx species are highly dispersed, allowing the increased Z[Cu2+(OH)]+ concentration to drive superior low-temperature activity. Similarly, the choice of Cu precursors also governs the spatial distribution of Cu species within Y zeolite. Both Cha [37] and Wang et al. [38] demonstrated that employing Cu(CH3COO)2 as the precursor enables selective Cu incorporation into the supercage rather than the sodalite cage of Y zeolite. Importantly, as Z[Cu2+(OH)]+ is known to be more catalytically active than Z2Cu2+ (while the latter exhibits greater stability) [16,39], the EPR results provide direct evidence to support the remarkable low-temperature activity of Cu-SSZ-13-(A), as observed in Figure 1a.
Figure 3. EPR spectra of (a) Cu-SSZ-13-(A) and Cu-SSZ-13-(S) and (b) dehydrated Cu-SSZ-13-(A) and Cu-SSZ-13-(S).
Table 1. Textural properties and Cu species of Cu-SSZ-13-(A) and Cu-SSZ-13-(S).
We acknowledge that while this method effectively increases Z[Cu2+(OH)]+ species, it simultaneously generates a considerable amount of highly dispersed CuOx species. Fortunately, mild thermal treatment could be employed to promote the conversion of CuOx to Cu ions, thereby further enhancing the SCR performance of the catalyst [40]. This is corroborated by the superior low-temperature activity of Cu-SSZ-13-(A)-aged compared to Cu-SSZ-13-(S)-aged after hydrothermal aging (Figure 1b). Nevertheless, the precise role of these highly dispersed CuOx species in influencing low-temperature activity requires further study.

2.4. The Redox Properties and Acidity of Cu-SSZ-13

The redox properties and acidity of the catalyst are critical determinants for the NH3-SCR performance, necessitating the implementation of H2 temperature-programmed reduction (H2-TPR) and NH3 temperature-programmed desorption (NH3-TPD) measurements. Furthermore, H2-TPR enable both the qualitative and quantitative analysis of Cu species within the Cu-SSZ-13 catalyst. As shown in Figure 4a, the H2-TPR profiles of both Cu-SSZ-13-(A) and Cu-SSZ-13-(S) display two well-defined reduction regions: a broad low-temperature feature (150–450 °C) and a distinct high-temperature peak (>500 °C). The low-temperature region corresponds to the reduction of Cu2+ species and CuOx, while the high-temperature peak is attributed to the reduction of Cu+ to metallic Cu0 [14]. Deconvolution of the broad low-temperature region reveals three distinct reduction processes: (i) a primary peak at ~210 °C assigned to the reduction of Z[Cu2+(OH)]+ to Cu+; (ii) an intermediate peak in the range of 250–300 °C corresponding to the reduction of CuOx to Cu0; and (iii) a higher-temperature peak at 350–400 °C attributed to the reduction of Z2Cu2+ to Cu+ [41,42,43]. Quantitative analysis of distinct Cu species through reduction peak integration (Table S1) reveals that Cu-SSZ-13-(A) exhibits significantly increased concentrations of Z[Cu2+(OH)]+ and CuOx, while its Z2Cu2+ content is marginally higher than that in Cu-SSZ-13-(S). This is consistent with the EPR results (Table 1), confirming that the utilization of Cu(CH3COO)2 as the precursor results in a substantial increase of the active Z[Cu2+(OH)]+ species within the catalyst.
Figure 4. (a) H2-TPR and corresponding proportion of Cu species and (b) NH3-TPD profiles and corresponding proportion of the acid content of Cu-SSZ-13-(A) and Cu-SSZ-13-(S).
The NH3-TPD profiles presented in Figure 4b reveal three distinct desorption peaks for both catalysts. The low-temperature peak (peak α), which is observed at ~225 °C, corresponds to NH3 desorption from weak acid sites [35,44]. The intermediate peak (peak β) at 316 °C is attributed to NH3 bound to a Lewis acid [45,46], while the high-temperature peak (peak γ) above 470 °C originates from NH3 associated with Brønsted acid sites (BASs) [44]. It is worthy to note that Cu-SSZ-13-(A) exhibits a modest enhancement in peak β intensity relative to Cu-SSZ-13-(S), indicating a higher population of Cu2+ Lewis acid sites (Table S2). This is consistent with the increased content of isolated Cu2+ in Cu-SSZ-13-(A), as established by EPR and H2-TPR characterizations.

2.5. Framework Si and Al Distributions in Cu-SSZ-13

Indeed, the incorporation efficiency and coordination states of Cu species in Cu-SSZ-13 catalysts are intrinsically determined by the framework composition of the zeolite, with particular dependence on both the concentration and topological distribution of framework Al species. In order to gain fundamental insights into precursor-dependent framework modifications and their consequent effects on Al distribution, a comprehensive solid-state NMR spectroscopic characterization of Cu-SSZ-13-(A) and Cu-SSZ-13-(S) was performed, enabling precise determination of framework compositional changes and Al speciation. As shown in Figure 5a, the 29Si magnetic angle-spinning nuclear magnetic resonance (MAS NMR) spectra show three clear peaks at −111, −105, and −99 ppm, corresponding to different Si coordination environments. The signal at −111 ppm is assigned to [Q4(0Al), Si(OSi)4], where Si is bonded to four Si atoms. The peak at −105 ppm represents [Q4(1Al), Si(OSi)3(OAl)], indicating Si linked to three Si and one Al. The resonance at −99 ppm is attributed to [Q4(2Al), Si(OSi)2(OAl)2], where Si is coordinated with two Si and two Al atoms [47,48]. Quantitative analysis of the deconvoluted 29Si MAS NMR spectra reveals that the proportions of different Si species and framework Si/Al ratios are higher than those determined by ICP-OES, thus confirming the presence of substantial extra-framework Al species in both catalysts (Table 1). Interestingly, Cu-SSZ-13-(A) displays a slightly lower framework Si/Al ratio (7.5) in comparison with Cu-SSZ-13-(S) (Si/Al ratio = 7.7), which is accompanied by a higher relative abundance of Q4(1Al) species. These observations suggest that the Cu(CH3COO)2 precursor induces less framework dealumination during ion exchange, thereby better preserving the zeolite’s structural integrity. This differential behavior may originate from the distinct pH value of the precursor solutions. The more acidic CuSO4 solution (pH = 3.9) likely promotes partial leaching of framework Al during ion exchange, whereas the relatively neutral Cu(CH3COO)2 solution (pH = 5.4) demonstrates superior preservation of the zeolite framework constituents [49].
Figure 5. (a) 28Si MAS NMR spectra and quantification data of the Si species and (b) 27Al MAS NMR spectra and quantification data of the Al species in Cu-SSZ-13-(A) and Cu-SSZ-13-(S).
The 27Al MAS NMR spectra provide conclusive evidence supporting the aforementioned findings (Figure 5b). The spectra display a dominant resonance at 57 ppm, indicative of tetra-coordinated framework Al [50,51]. Additional signals observed at 50 ppm and 0 ppm are attributed to distorted tetrahedral Al and the hexacoordinated extra-framework Al, respectively [52,53,54]. The proportions of different Al species were quantified by the deconvolution of 27Al MAS NMR spectra (Figure 5b). In comparison with Cu-SSZ-13-(S), Cu-SSZ-13-(A) possesses a higher proportion of tetrahedral framework Al, corresponding to a lower proportion of distorted tetrahedral Al and hexacoordinated extra-framework Al. This indicates that the ion-exchange process using Cu(CH3COO)2 imposes minimal disruption to the zeolite frameworks, further corroborating the conclusions derived from the 29Si MAS NMR spectra (Figure 5a).

2.6. The Loading Mechanism of the Cu Species

To elucidate the origin of the high Cu content achievable when using Cu(CH3COO)2 as a precursor, a comparative spectroscopic investigation was conducted. The coordination environment of the Cu species in Cu(CH3COO)2 aqueous solutions was analyzed by EPR and visible-near infrared spectrum (vis-NIR) spectroscopy. For the purpose of comparison, parallel measurements were performed on CuSO4 aqueous solutions under identical experimental conditions. Figure 6a shows the EPR spectra of the Cu(CH3COO)2 and CuSO4 solutions examined at 25 °C. The axial isotropy of the Cu2+ is clearly observed based on the distinct peaks at g = 2.17 and 2.19 in the Cu(CH3COO)2 and CuSO4 solutions, respectively, thereby indicating the presence of a freely rotating hexa-aquo Cu complex in both solutions. [55] Notably, the g-value of Cu(CH3COO)2 is slightly lower than that of CuSO4, suggesting an increase in charge delocalization for Cu-O coordination systems, i.e., the Cu2+ ions in Cu(CH3COO)2 solutions become less positively charged on average than those in CuSO4 solutions [36]. Combined with the additional two minor peaks at g = 2.18 and 2.15 in the spectrum of Cu(CH3COO)2 solutions, the existence of other anisotropic Cu species beyond the typical Cu2+ is deduced; for instance, the [Cu(CH3COO)]+ complex, due to the weaker dissociation of Cu(CH3COO)2 in aqueous solution. To further investigate the differences, EPR measurements were performed on frozen Cu(CH3COO)2 and CuSO4 solutions at −173 °C. As shown in Figure 6b, the g-value of Cu2+ in the Cu(CH3COO)2 solutions (g = 2.08) remained lower than in the CuSO4 solutions (g = 2.11). Meanwhile, the Cu(CH3COO)2 spectrum exhibited a fine structure in the low-field region, whereas the CuSO4 spectrum retained a lineshape similar to that observed at 25 °C. These findings indicate distinct coordination environments and dynamic behaviors of the Cu species in the two precursor solutions.
Figure 6. EPR spectra of Cu(CH3COO)2 and CuSO4 solution at (a) 25 °C and (b) −173 °C and the temperature-programmed calcination of (c) Cu-SSZ-13-(A)-uncalcined and (d) Cu-SSZ-13-(S)-uncalcined.
In principle, Cu2+ typically exist as hexa-aquo complexes ([Cu2+(H2O)6]2+) in aqueous solutions. Vis-NIR spectroscopic analysis of the Cu(CH3COO)2 and CuSO4 solutions demonstrates that the spectral shift of the Cu2+ absorption band can serve as a spectroscopic indicator to detect the presence of non-aquo ligands in the coordination sphere of hexacoordinated Cu2+ ions [56]. Specifically, the absorption band of Cu(CH3COO)2 exhibits a blue shift compared to that of CuSO4, indicating that Cu2+ species coordinated with CH3COO ions are formed in the Cu(CH3COO)2 solution (Figure S7). The generation of the [Cu(CH3COO)]+ complex is pH-dependent, as elevated pH promotes hydrolysis, leading to an increased concentration of [Cu(CH3COO)]+ species. This, in turn, facilitates the incorporation of a higher Cu content into SSZ-13 [57]. Zhang et al. [58] also employed Cu(CH3COO)2 as Cu precursor and observed that a higher pH facilitates increased Cu incorporation in ZSM-5 zeolite. However, excessively high pH conditions lead to the formation of CuOx species on the external surface of ZSM-5. Consequently, they identified an optimal pH range of 5.5–6.0, which is fully consistent with the results of our work.
To investigate the Cu loading process, temperature-programmed (TP) calcination experiments of Cu-SSZ-13-(A)-uncalcined and Cu-SSZ-13-(S)-uncalcined were conducted in an He atmosphere, with simultaneous monitoring of evolved gases. As shown in Figure 6c,d, both samples exhibit pronounced NH3 desorption at 475 °C, corresponding to the decomposition of the residual NH4+ species after the ion exchange process. Notably, Cu-SSZ-13-(A)-uncalcined displays two distinct CO2 evolution peaks at 230 °C and 600 °C, accompanied by trace CO production, while no such gaseous products are observed for Cu-SSZ-13-(S)-uncalcined. The above analysis is in agreement with Ma et al.’ [59] findings, demonstrating the incorporation of Cu(CH3COO)2 into SSZ-13 channels by in situ DRIFT spectra in the low-temperature solid-state ion-exchange method. The bimodal desorption profile suggests the existence of the [Cu(CH3COO)]+ species at different locations within the zeolite framework. The low-temperature COx release (230 °C) may correspond to the decomposition of surface-adsorbed [Cu(CH3COO)]+ species, leading to CuOx formation. In contrast, the high-temperature COx evolution (600 °C) stems from framework-confined [Cu(CH3COO)]+ species, concurrently producing catalytically active Z[Cu2+(OH)]+. In the case of Cu-SSZ-13-(S)-uncalcined, the complete absence of gaseous SOx evolution confirms that Cu incorporation proceeds exclusively via isolated Cu2+ ion exchange without SO42− involvement. These findings are consistent with the EPR results presented in Figure 6a,b, providing compelling evidence for the fundamentally different Cu loading mechanisms associated with Cu(CH3COO)2 versus CuSO4 precursors.

3. Materials and Methods

3.1. Preparation

Cu-SSZ-13 catalysts were synthesized by an ion exchange method, with Cu(CH3COO)2 and CuSO4 serving as the precursors for the purpose of comparison. Specifically, 1 g of home-made Na-SSZ-13 zeolite (Si/Al = 6.6) was added to a 0.5 mol/L (NH4)2SO4 solution at 80 °C with constant stirring for 2 h. The mixture was then filtered, washed, and dried at 105 °C for 12 h, yielding NH4-SSZ-13. In order to maintain experimental consistency, 1 g of NH4-SSZ-13 was ion-exchanged with 56 mL 0.15 mol/L Cu precursor solutions (pH = 5.4 for Cu(CH3COO)2 and pH = 3.9 for CuSO4) at 30 °C for 2 h. The mixture was then filtered and dried at 105 °C for 12 h, and the resultant solids were designated as Cu-SSZ-13-(A)-uncalcined and Cu-SSZ-13-(S)-uncalcined. The final calcination stage was conducted at 575 °C for 8 h in air, resulting in the formation of Cu-SSZ-13-(A) and Cu-SSZ-13-(S). The fresh catalysts were then subjected to hydrothermal aging (HTA) in 10 vol% H2O/air at 800 °C for 16 h, and the resulting samples were denoted as Cu-SSZ-13-(A)-aged and Cu-SSZ-13-(S)-aged.
In order to make this research convincing, catalysts with the lower Si/Al ratio and using modified ion-exchange conditions were also prepared. The detailed preparation procedures were as follows: 1 g of home-made Na-SSZ-13 zeolite (Si/Al = 5.1) was added to a 1 mol/L NH4NO3 solution at 80 °C with constant stirring for 2 h. The mixture was then filtered, washed, and dried at 105 °C for 12 h, yielding NH4-SSZ-13. Subsequently, 1 g of NH4-SSZ-13 was ion-exchanged with 40 mL 0.1 mol/L Cu precursor solutions (pH = 5.4 for Cu(CH3COO)2 and pH = 3.9 for CuSO4) at 80 °C for 1 h. The drying and calcinating processes are the same as described above, resulting in the formation of Cu-SSZ-13-(A’) and Cu-SSZ-13-(S’), as well as HTA samples (10 vol% H2O/air at 800 °C for 16 h) Cu-SSZ-13-(A’)-aged and Cu-SSZ-13-(S’)-aged.

3.2. NH3-SCR Activity Tests

The NH3-SCR activity was tested in a fixed-bed quartz reactor, with the reaction temperature measured by a thermocouple embedded in the catalyst bed. Prior to testing, the catalyst was compressed, crushed, and sieved to obtain 40–60 mesh particles. The reactant gas mixture consisted of 500 ppm NH3, 500 ppm NO, and 5.3 vol% O2, balanced with He, with optional addition of 3.5 vol% H2O. The total gas flow rate was maintained at 600 mL·min−1, referring to the catalyst mass (50 mg) with a space velocity (GHSV) of 400,000 h−1. In addition, an appropriate amount of quartz sand of the same particle size was added to both the upper and lower ends of the catalyst. The catalytic performance was tested under steady state conditions from 150 to 600 °C. The concentrations of NO, NO2, N2O, and NH3 were analyzed using an NOx analyzer (Thermo Fisher Scientific, Modle-42i-HL) and a mass spectrometer (Pfeiffer, Omnistar GSD 301), which monitored the characteristic mass fragments at m/z = 30 (NO); 46, 30 (NO2); 44, 30 (N2O) and 17, 16 (NH3).

3.3. Characterizations

The crystal structure of the samples was analyzed using XRD patterns with an X-ray diffractometer (Rigaku, Smartlab SE, Takatsuki, Osaka, Japan) with Cu Kα radiation (λ = 1.5406 Å) at 40 kV and 40 mA. The measurements were performed from 5–50° (2θ) at a scan speed of 5°/min. The elemental analysis was conducted using ICP-OES (PerkinElmer Avio 200, Waltham, MA, USA). Surface area and pore characteristics were evaluated by N2 physisorption measurements (Micromeritics ASAP 2460). Prior to the measurement, all the samples were degassed under vacuum conditions at 200 °C for a duration of 4 h. Morphology and elemental distribution were detected at 2 kV voltage using a SEM (Carl Zeiss AG, Gemini300, Baden-Württemberg, Germany) equipped with energy dispersive spectroscopy (EDS, Baden-Württemberg, Germany). XPS was conducted using an ESCALAB 250Xi instrument (Thermo Scientific) equipped with an Al Kα (hv = 1486.6 eV, 15 kV and 150 W) X-ray source, with binding energy calibration achieved using a C 1s peak at 284.8 eV. UV-vis-DRS were recorded using a UV spectrophotometer (Hitachi, 4150, Tokyo, Japan) in the range of 200–800 nm and a scanning speed of 300 nm/min, with BaSO4 powder used as the reference. The XAFS experiment for the Cu K-edge was performed at the 1W1B XAFS beamline of the Beijing Synchrotron Radiation Facility. EPR spectra were recorded on a Bruker EMX Plus spectrophotometer (Bruker, Saarbrücken, Germany) at a temperature of −173 °C for a 20 mg catalyst sample. The spectra were acquired under the following experimental conditions: a center field of 3240 G with a 2000 G sweep width, 60 s scan time, 20 dB receiver Gain, 100 kHz modulation frequency, and a microwave frequency of 16.99 GHz. The sample was dehydrated by purging with dry N2 at 250 °C for 1 h, followed by cooling to room temperature (25 °C) prior to characterization. The 29Si and 27Al MAS NMR spectra were acquired using a Bruker AVANCE NEO 600 WB spectrometer (Bruker, Saarbrücken, Germany), operating at resonance frequencies of 119.23 MHz (29Si) and 156.38 MHz (27Al). A vis-NIR was recorded using a Shimadzu UV-3600 Plus spectrophotometer (Shimadzu, Kyoto, Japan) in the range of 500–1100 nm. The H2-TPR was conducted using a Tianjin Xianquan TP-5080D instrument. In a typical procedure, 100 mg of catalyst was loaded into a quartz tube and pretreated at 300 °C for 1 h under high-purity O2 to remove surface-adsorbed water and impurities. After cooling to room temperature, the atmosphere was switched to 10 vol% H2/Ar, and the temperature was ramped to 800 °C at a heating rate of 10 °C/min while monitoring the TCD signal. The NH3-TPD analysis was carried out in a quartz microreactor coupled with a quadrupole mass spectrometer (Pfeiffer OmniStar GSD 320, Marburg, Germany) for NH3 detection (monitoring m/z = 16, 17). Before measurement, 50 mg of catalyst was first pretreated under 10% O2/He at 400 °C. Subsequently, the sample was exposed to a 0.4% NH3/He mixture until complete saturation, followed by He purging to remove weakly adsorbed species. The temperature-programmed desorption was finally conducted by heating to 800 °C at 10 °C·min−1 under He flow. The temperature program (TP) experiment was conducted in a quartz reactor using FTIR gas analyzers (MKS, MultiGas 2030, Boston, MA, USA) to monitor the products.

4. Conclusions

In summary, this study systematically investigates the characteristics and performance of a high-Cu-content Cu-SSZ-13 catalyst using Cu(CH3COO)2 as precursor, with comprehensive comparison to a CuSO4-exchanged catalyst for the purpose of distinguishing distinct Cu species and their origins. The presence of [Cu(CH3COO)]+ species in the Cu(CH3COO)2 solution enables high Cu loading through a dual incorporation mechanism, combining both ion exchange and [Cu(CH3COO)]+ adsorption processes. The latter demonstrates position-dependent transformation pathways: the surface-adsorbed [Cu(CH3COO)]+ complex form high-dispersion CuOx species, while the framework-confined ones convert to active Z[Cu2+(OH)]+ species, accounting for the enhanced low-temperature SCR activity. Moreover, the Cu(CH3COO)2-exchanged catalyst maintains comparatively better hydrothermal stability, due to the protection effects of the stronger interaction between the active Cu ions and zeolite framework O, as well as the higher pH of the Cu(CH3COO)2-exchange solution in comparison with that of CuSO4-exchanged counterpart. The fundamental insights gained from this work advance the development of next-generation SCR catalysts, potentially meeting the stringent Euro VII emission standards while offering generalizable principles for the rational design of zeolite-based catalytic materials. Nevertheless, a limitation of this work lies in the concurrent introduction of highly dispersed CuOx species while increasing active Cu2+ content. Further optimization of the approach will be the focus of future studies.

Supplementary Materials

The following supporting information can be downloaded at: https://www.mdpi.com/article/10.3390/catal15080741/s1, Figure S1: XRD patterns of Cu-SSZ-13-(A) and Cu-SSZ-13-(S); Figure S2: (a) N2 adsorption–desorption isotherms and (b) pore distribution of Cu-SSZ-13-(A) and Cu-SSZ-13-(S); Figure S3: SEM images and corresponding EDS mapping images of (a) Cu-SSZ-13-(A) and (b) Cu-SSZ-13-(S); Figure S4: NOx conversion as a function of reaction temperatures over (a) Cu-SSZ-13-(A) and Cu-SSZ-13-(A)-aged and (b) Cu-SSZ-13-(S) and Cu-SSZ-13-(S)-aged, with 3.5 vol.% H2O in 500 ppm NH3, 500 ppm NO, 5.3% O2, and balanced with He; Figure S5: NOx conversion as a function of reaction temperatures over (a) Cu-SSZ-13-(A′) and Cu-SSZ-13-(S′), (b) Cu-SSZ-13-(A′)-aged and Cu-SSZ-13-(S′)-aged. Reaction conditions: [NO] = [NH3] = 500 ppm, [O2] = 5.3 vol%, balance He, and GHSV = 400,000 h−1; Figure S6: (a) XANES spectra and (b) Fourier transformed (FT) EXAFS spectra of Cu-SSZ-13-(A) and Cu-SSZ-13-(S); Figure S7: Vis-NIR spectra of hexacoordinated Cu2+ ion in an aqueous solution of 0.03 mol/L Cu(CH3COO)2 and CuSO4; Table S1: Quantification of Cu species from the H2-TPR results; Table S2: Quantification of the NH3 desorption amount from the NH3-TPD results.

Author Contributions

Conceptualization, Z.Z. and Y.X.; formal analysis, D.H., J.J. and J.W.; investigation, D.H. and J.J.; data curation, D.H. and J.J.; writing—original draft preparation, D.H.; writing—review and editing, Y.X. and Z.Z.; supervision, Y.X. and Z.Z.; and funding acquisition, Y.X. and Z.Z. All authors have read and agreed to the published version of the manuscript.

Funding

This research was funded by the National Natural Science Foundation of China (No. 22276070 and 22376078), the Shandong Provincial Natural Science Foundation (No. ZR2023ZD39 and ZR2024MB064), the Taishan Scholar Program of Shandong (No. tstp20230628 and tsqn202408207), the Project of Jinan Municipal Bureau of Science and Technology (No. 2020GXRC021).

Data Availability Statement

The data presented in this study are available on request from the corresponding author.

Conflicts of Interest

The authors declare no conflicts of interest.

Abbreviations

The following abbreviations are used in this manuscript:
NOxnitrogen oxides
SCRselective catalytic reduction
ccSCRclose-coupled SCR
XRDX-ray powder diffraction
ICP-OESinductively coupled plasma-optical emission spectrometer
SEMscanning electron microscope
XPSX-ray photoelectron spectroscopy
UV-Vis-DRSultraviolet-visible diffuse reflectance spectra
XAFSX-ray absorption fine structure
EPRelectron paramagnetic resonance
MAS NMRmagnetic angle-spinning nuclear magnetic resonance
Vis-NIRvisible-near infrared spectrum
H2-TPRH2 temperature-programmed reduction
NH3-TPDNH3 temperature-programmed desorption

References

  1. Zhan, J.; Zheng, F.; Xie, R.; Liu, J.; Chu, B.; Ma, J.; Xie, D.; Meng, X.; Huang, Q.; He, H.; et al. The role of NOx in co-occurrence of O3 and PM2.5 pollution driven by wintertime east Asian monsoon in Hainan. J. Environ. Manag. 2023, 345, 118645. [Google Scholar] [CrossRef]
  2. Chu, B.; Ding, Y.; Gao, X.; Li, J.; Zhu, T.; Yu, Y.; He, H. Coordinated control of fine-particle and ozone pollution by the substantial reduction of nitrogen oxides. Engineering 2022, 15, 13–16. [Google Scholar] [CrossRef]
  3. Anenberg, S.C.; Miller, J.; Minjares, R.; Du, L.; Henze, D.K.; Lacey, F.; Malley, C.S.; Emberson, L.; Franco, V.; Klimont, Z.; et al. Impacts and mitigation of excess diesel-related NOx emissions in 11 major vehicle markets. Nature 2017, 545, 467–471. [Google Scholar] [CrossRef]
  4. Liu, G.; Zhang, H.; Li, Y.; Wang, P.; Zhan, S. Selective catalytic reduction of NOx with NH3 over copper-based catalysts: Recent advances and future prospects. EES Catal. 2024, 2, 231–252. [Google Scholar] [CrossRef]
  5. Paolucci, C.; Parekh, A.A.; Khurana, I.; Di Iorio, J.R.; Li, H.; Albarracin Caballero, J.D.; Shih, A.J.; Anggara, T.; Delgass, W.N.; Miller, J.T.; et al. Catalysis in a cage: Condition-dependent speciation and dynamics of exchanged Cu cations in SSZ-13 zeolites. J. Am. Chem. Soc. 2016, 138, 6028–6048. [Google Scholar] [CrossRef] [PubMed]
  6. Kwak, J.H.; Tonkyn, R.G.; Kim, D.H.; Szanyi, J.; Peden, C.H.F. Excellent activity and selectivity of Cu-SSZ-13 in the selective catalytic reduction of NOx with NH3. J. Catal. 2010, 275, 187–190. [Google Scholar] [CrossRef]
  7. Shan, Y.; Du, J.; Zhang, Y.; Shan, W.; Shi, X.; Yu, Y.; Zhang, R.; Meng, X.; Xiao, F.-S.; He, H. Selective catalytic reduction of NOx with NH3: Opportunities and challenges of Cu-based small-pore zeolites. Natl. Sci. Rev. 2021, 8, nwab010. [Google Scholar] [CrossRef]
  8. Guo, A.; Liu, H.; Li, Y.; Luo, Y.; Ye, D.; Jiang, J.; Chen, P. Recent progress in novel zeolite catalysts for selective catalytic reduction of nitrogen oxides. Catal. Today 2023, 422, 114212. [Google Scholar] [CrossRef]
  9. Chen, Y.; Liu, X.; Wang, P.; Mansoor, M.; Zhang, J.; Peng, D.; Han, L.; Zhang, D. Challenges and perspectives of environmental catalysis for NOx reduction. JACS Au 2024, 4, 2767–2791. [Google Scholar] [CrossRef]
  10. Yuan, Y.; Guan, B.; Chen, J.; Zhuang, Z.; Zheng, C.; Zhou, J.; Su, T.; Zhu, C.; Guo, J.; Dang, H.; et al. Research status and outlook of molecular sieve NH3-SCR catalysts. Mol. Catal. 2024, 554, 113846. [Google Scholar] [CrossRef]
  11. Liu, S.; Wang, B.; Guo, Z.; Wang, B.; Zhang, Z.; Ma, X.; Chang, C.-T.; Wang, P.; He, X.; Sun, X.; et al. Experimental investigation of urea injection strategy for close-coupled SCR aftertreatment system to meet ultra-low NO emission regulation. Appl. Therm. Eng. 2022, 205, 117994. [Google Scholar]
  12. Li, Y.; Liao, J.; Xu, H.; Wu, Y.; Cai, Z.; Hu, J. Comprehensive experimental analysis of a diesel engine with an electrically heated catalyst and close-coupled SCR during cold/hot WHTC. Appl. Therm. Eng. 2025, 262, 125277. [Google Scholar] [CrossRef]
  13. Paolucci, C.; Khurana, I.; Parekh, A.; Li, S.; Shih, A.; Li, H.; Iorio, J.; Albarracin-Caballero, J.; Yezerets, A.; Miller, J.; et al. Dynamic multinuclear sites formed by mobilized copper ions in NOx selective catalytic reduction. Science 2017, 357, 898–903. [Google Scholar] [CrossRef]
  14. Wu, Y.; Ma, Y.; Wang, Y.; Rappé, K.G.; Washton, N.M.; Wang, Y.; Walter, E.D.; Gao, F. Rate controlling in low-temperature standard NH3-SCR: Implications from operando EPR spectroscopy and reaction kinetics. J. Am. Chem. Soc. 2022, 144, 9734–9746. [Google Scholar] [CrossRef]
  15. Wei, L.; Chen, Y.-R.; Marino, S.; Gu, Y.; Epling, W.S. Kinetic modeling of NH3-selective catalytic reduction (SCR) over a mildly hydrothermally aged commercial Cu-SSZ-13 catalyst. Chem. Eng. J. 2023, 467, 143318. [Google Scholar] [CrossRef]
  16. Song, J.; Wang, Y.; Walter, E.D.; Washton, N.M.; Mei, D.; Kovarik, L.; Engelhard, M.H.; Prodinger, S.; Wang, Y.; Peden, C.H.F.; et al. Toward rational design of Cu/SSZ-13 selective catalytic reduction catalysts: Implications from atomic-level understanding of hydrothermal stability. ACS Catal. 2017, 7, 8214–8227. [Google Scholar] [CrossRef]
  17. Wang, Y.; Han, J.; Chen, M.; Lv, W.; Meng, P.; Gao, W.; Meng, X.; Fan, W.; Xu, J.; Yan, W.; et al. Low-silica Cu-CHA zeolite enriched with Al pairs transcribed from silicoaluminophosphate seed: Synthesis and ammonia selective catalytic reduction performance. Angew. Chem. Int. Ed. 2023, 62, e202306174. [Google Scholar] [CrossRef]
  18. Li, P.; Xin, Y.; Zhang, H.; Yang, F.; Tang, A.; Han, D.; Jia, J.; Wang, J.; Li, Z.; Zhang, Z. Recent progress in performance optimization of Cu-SSZ-13 catalyst for selective catalytic reduction of NOx. Front. Chem. 2022, 10, 1033255. [Google Scholar] [CrossRef] [PubMed]
  19. Zhang, J.; Liu, W.; Wang, Q.; Ning, F.; He, Q.; Li, G.; Liu, C.; Li, Z.; Peng, H. Effects of Cu species in Cu-SSZ-13 zeolites on the performance of NOx reduction reactions. Sep. Purif. Technol. 2024, 346, 127544. [Google Scholar] [CrossRef]
  20. Wang, X.; Xu, Y.; Qin, M.; Zhao, Z.; Fan, X.; Li, Q. Insight into the effects of Cu2+ ions and CuO species in Cu-SSZ-13 catalysts for selective catalytic reduction of NO by NH3. J. Colloid. Interface Sci. 2022, 622, 1–10. [Google Scholar] [CrossRef]
  21. Liu, B.; Lv, N.; Wang, C.; Zhang, H.; Yue, Y.; Xu, J.; Bi, X.; Bao, X. Redistributing Cu species in Cu-SSZ-13 zeolite as NH3-SCR catalyst via a simple ion-exchange. Chin. J. Chem. Eng. 2022, 41, 329–341. [Google Scholar] [CrossRef]
  22. Ren, L.; Zhang, Y.; Zeng, S.; Zhu, L.; Sun, Q.; Zhang, H.; Yang, C.; Meng, X.; Yang, X.; Xiao, F.-S. Design and synthesis of a catalytically active Cu-SSZ-13 zeolite from a copper-amine complex template. Chin. J. Catal. 2012, 33, 92–105. [Google Scholar] [CrossRef]
  23. Shan, Y.; Du, J.; Yu, Y.; Shan, W.; Shi, X.; He, H. Precise control of post-treatment significantly increases hydrothermal stability of in-situ synthesized Cu-zeolites for NH3-SCR reaction. Appl. Catal. B Environ. 2020, 266, 118655. [Google Scholar] [CrossRef]
  24. Zhang, S.; Chen, J.; Meng, Y.; Pang, L.; Guo, Y.; Luo, Z.; Fang, Y.; Dong, Y.; Cai, W.; Li, T. Insight into solid-state ion-exchanged Cu-based zeolite (SSZ-13, SAPO-18, and SAPO-34) catalysts for the NH3-SCR reaction: The promoting role of NH4-form zeolite substrates. Appl. Surf. Sci. 2022, 571, 151328. [Google Scholar] [CrossRef]
  25. Zhang, Y.; Zhu, H.; Zhang, T.; Li, J.; Chen, J.; Peng, Y.; Li, J. Revealing the synergistic deactivation mechanism of hydrothermal aging and SO2 poisoning on Cu/SSZ-13 under SCR condition. Environ. Sci. Technol. 2021, 56, 1917–1926. [Google Scholar] [CrossRef]
  26. Wu, Y.; Zhao, W.; Ahn, S.H.; Wang, Y.; Walter, E.D.; Chen, Y.; Derewinski, M.A.; Washton, N.M.; Rappé, K.G.; Wang, Y.; et al. Interplay between copper redox and transfer and support acidity and topology in low temperature NH3-SCR. Nat. Commun. 2023, 14, 2633. [Google Scholar] [CrossRef]
  27. Groen, J.; Peffer, L.; Perez-Ramırez, J. Pore size determination in modified micro- and mesoporous materials. Pitfalls and limitations in gas adsorption data analysis. Microporous Mesoporous Mater. 2003, 60, 1–17. [Google Scholar] [CrossRef]
  28. Fu, G.; Yang, R.; Liang, Y.; Yi, X.; Li, R.; Yan, N.; Zheng, A.; Yu, L.; Yang, X.; Jiang, J. Enhanced hydrothermal stability of Cu/SSZ-39 with increasing Cu contents, and the mechanism of selective catalytic reduction of NO. Microporous Mesoporous Mater. 2021, 320, 111060. [Google Scholar] [CrossRef]
  29. Singh, S.; Janssens, T.V.W.; Grönbeck, H. Mechanism for Cu-enhanced hydrothermal stability of Cu–CHA for NH3-SCR. Catal. Sci. Technol. 2024, 14, 3407–3415. [Google Scholar] [CrossRef]
  30. Chen, M.; Li, J.; Xue, W.; Wang, S.; Han, J.; Wei, Y.; Mei, D.; Li, Y.; Yu, J. Unveiling secondary-ion-promoted catalytic properties of Cu-SSZ-13 zeolites for selective catalytic reduction of NOx. J. Am. Chem. Soc. 2022, 144, 12816–12824. [Google Scholar] [CrossRef] [PubMed]
  31. Sun, F.; Zhang, R.; Jiao, W.; Jia, J.; Wang, H.; Hou, X.; Lv, W.; Lv, B. Synthesis of Cu-SSZ-13 with different Si/Al ratios by zeolite Y conversion and its NH3-SCR activity and hydrothermal stability. Appl. Catal. A 2024, 683, 119842. [Google Scholar] [CrossRef]
  32. Shan, Y.; He, G.; Du, J.; Sun, Y.; Liu, Z.; Fu, Y.; Liu, F.; Shi, X.; Yu, Y.; He, H. Strikingly distinctive NH3-SCR behavior over Cu-SSZ-13 in the presence of NO2. Nat. Commun. 2022, 13, 4606. [Google Scholar] [CrossRef]
  33. Gao, F.; Walter, E.D.; Karp, E.M.; Luo, J.; Tonkyn, R.G.; Kwak, J.H.; Szanyi, J.; Peden, C.H.F. Structure–activity relationships in NH3-SCR over Cu-SSZ-13 as probed by reaction kinetics and EPR studies. J. Catal. 2013, 300, 20–29. [Google Scholar] [CrossRef]
  34. Shan, Y.; Shan, W.; Shi, X.; Du, J.; Yu, Y.; He, H. A comparative study of the activity and hydrothermal stability of Al-rich Cu-SSZ-39 and Cu-SSZ-13. App. Catal. B Environ. 2020, 264, 118511. [Google Scholar] [CrossRef]
  35. Wu, Y.; Andana, T.; Wang, Y.; Chen, Y.; Walter, E.D.; Engelhard, M.H.; Rappé, K.G.; Wang, Y.; Gao, F.; Menon, U.; et al. A comparative study between real-world and laboratory accelerated aging of Cu/SSZ-13 SCR catalysts. App. Catal. B Environ. 2022, 318, 121807. [Google Scholar] [CrossRef]
  36. Zhang, Y.; Peng, Y.; Li, J.; Groden, K.; McEwen, J.-S.; Walter, E.D.; Chen, Y.; Wang, Y.; Gao, F. Probing active-site relocation in Cu/SSZ-13 SCR catalysts during hydrothermal aging by in situ EPR spectroscopy, kinetics studies, and DFT calculations. ACS Catal. 2020, 10, 9410–9419. [Google Scholar] [CrossRef]
  37. Cha, Y.H.; Lee, K.B. Examining the impact of different anions in Cu precursors on sulfur adsorption through zeolites with Cu ion-exchange. Chem. Eng. J. 2023, 468, 143461. [Google Scholar] [CrossRef]
  38. Wang, J.; Li, L.; Wen, Z.; Zhao, J.; Wei, X.; Liao, J.; Chang, L.; Xie, K. Insight into the relationship between effective active sites and ultra-deep adsorption desulfurization performance of CuCeY with different Cu precursors. Fuel Process. Technol. 2023, 250, 107930. [Google Scholar] [CrossRef]
  39. Liu, W.; Zhang, J.; Dong, M.; Ding, Z.; Wang, Q.; Ning, F.; He, Q.; Chen, Y.; Zhao, Z.; Li, Z.; et al. Low-silica chabazite zeolites for NOx reduction: Tailoring the active center of Cu2+-2Z and [Cu(OH)]+-Z through the regulation of CHA-cages opening. Sep. Purif. Technol. 2025, 354, 129201. [Google Scholar] [CrossRef]
  40. Han, D.; Xin, Y.; Jia, J.; Wang, J.; Zhang, Z. Mild thermal treatment-driven transformation of CuOx assisted with the rearrangement of Al sites in Cu-SSZ-13. Appl. Catal. O Open 2025, 205, 207054. [Google Scholar] [CrossRef]
  41. Wang, M.; Peng, Z.; Zhang, C.; Liu, M.; Han, L.; Hou, Y.; Huang, Z.; Wang, J.; Bao, W.; Chang, L. Effect of copper precursors on the activity and hydrothermal stability of CuII−SSZ−13 NH3−SCR catalysts. Catalysts 2019, 9, 781. [Google Scholar] [CrossRef]
  42. Shan, Y.; Sun, Y.; Du, J.; Zhang, Y.; Shi, X.; Yu, Y.; Shan, W.; He, H. Hydrothermal aging alleviates the inhibition effects of NO2 on Cu-SSZ-13 for NH3-SCR. Appl. Catal. B Environ. 2020, 275, 119105. [Google Scholar] [CrossRef]
  43. Wang, H.; Li, H.; Gao, L.; Tian, X.; Hao, J.; Ning, P.; Chen, J.; Zhang, Q. Pr-functionalized Cu/SAPO-34 with superior hydrothermal stability for NH3-SCR: The copper species and framework stabilization effect. Fuel 2022, 327, 125229. [Google Scholar] [CrossRef]
  44. Xu, R.; Wang, Z.; Liu, N.; Dai, C.; Zhang, J.; Chen, B. Understanding Zn functions on hydrothermal stability in a one-pot-synthesized Cu&Zn-SSZ-13 catalyst for NH3 selective catalytic reduction. ACS Catal. 2020, 10, 6197–6212. [Google Scholar]
  45. Zhou, C.; Zhang, H.; Yang, L.; Wu, D.; He, S.; Yang, H.; Xiong, H. Methane-selective oxidation to methanol and ammonia selective catalytic reduction of NOx over monolithic Cu/SSZ-13 catalysts: Are hydrothermal stability and active sites same? Fuel 2022, 309, 122178. [Google Scholar] [CrossRef]
  46. Deka, D.J.; Daya, R.; Ladshaw, A.; Trandal, D.; Joshi, S.Y.; Partridge, W.P. Assessing impact of real-world aging on Cu-redox half cycles of a Cu-SSZ-13 SCR catalyst via transient response measurements and kinetic modeling. App. Catal. B Environ. 2022, 309, 121233. [Google Scholar] [CrossRef]
  47. Ma, Y.; Ding, J.; Yang, L.; Wu, X.; Gao, Y.; Ran, R.; Weng, D. Flexible Al coordination with H2O explaining the deviation of strong acid amount from the framework Al content in Al-rich SSZ-13. J. Phys. Chem. C 2023, 127, 16598–16606. [Google Scholar] [CrossRef]
  48. Yang, F.; Xin, Y.; Zhu, X.; Tang, A.; Yu, L.; Han, D.; Jia, J.; Lu, Y.; Zhang, Z. Hard template-assisted trans-crystallization synthesis of hierarchically porous Cu-SSZ-13 with enhanced NH3-SCR performance. Catalysts 2023, 13, 1217. [Google Scholar] [CrossRef]
  49. Yoshioka, T.; Iyoki, K.; Hotta, Y.; Kamimura, Y.; Yamada, H.; Han, Q.; Kato, T.; Fisher, C.; Liu, Z.; Ohnishi, R.; et al. Dealumination of small-pore zeolites through pore-opening migration process with the aid of pore-filler stabilization. Sci. Adv. 2022, 8, eabo3093. [Google Scholar] [CrossRef] [PubMed]
  50. Nishitoba, T.; Yoshida, N.; Kondo, J.N.; Yokoi, T. Control of Al distribution in the CHA-Type aluminosilicate zeolites and its impact on the hydrothermal stability and catalytic properties. Ind. Eng. Chem. Res. 2018, 57, 3914–3922. [Google Scholar] [CrossRef]
  51. Sun, L.; Yang, M.; Cao, L.; Cao, Y.; Xu, S.; Zhu, D.; Tian, P.; Liu, Z. Fabrication of Cu-CHA composites with enhanced NH3-SCR catalytic performances and hydrothermal stabilities. Microporous Mesoporous Mater. 2020, 309, 110585. [Google Scholar] [CrossRef]
  52. Chen, K.; Gan, Z.; Horstmeier, S.; White, J.L. Distribution of aluminum species in zeolite catalysts: 27Al NMR of framework, partially-coordinated framework, and non-framework moieties. J. Am. Chem. Soc. 2021, 143, 6669–6680. [Google Scholar] [CrossRef]
  53. Li, D.; Yang, G.; Chen, M.; Pang, L.; Guo, Y.; Yu, J.; Li, T. Na co-cations promoted stability and activity of Pd/SSZ-13 for low-temperature NO adsorption. Appl. Catal. B Environ. 2022, 309, 121266. [Google Scholar] [CrossRef]
  54. Ding, X.; Liu, C.; Niu, J.; Chen, N.; Xu, S.; Wei, Y.; Liu, Z. Solid-state NMR study of the stability of MOR framework aluminum. Chin. J. Struct. Chem. 2024, 43, 100247. [Google Scholar] [CrossRef]
  55. Itadani, A.; Kuroda, Y.; Nagao, M. Elucidation of a preparation method for copper ion-exchanged ZSM-5 samples exhibiting extremely efficient N2-adsorption at room temperature: Effect of counter ions in the exchange solution. Microporous Mesoporous Mater. 2004, 70, 119–126. [Google Scholar] [CrossRef]
  56. DědeČek, J.; Wichterlová, B. Role of hydrated Cu ion complexes and aluminum distribution in the framework on the Cu ion siting in ZSM-5. J. Phys. Chem. B 1997, 101, 10233–10240. [Google Scholar] [CrossRef]
  57. Yashnik, S.; Ismagilov, Z. Cu-substituted ZSM-5 catalyst: Controlling of DeNO reactivity via ion-exchange mode with copper–ammonia solution. Appl. Catal. B Environ. 2015, 170–171, 241–254. [Google Scholar] [CrossRef]
  58. Zhang, Y.; Sarofim, A.; Hu, Z.; Flytzani-Stephanopoulos, M. Preparation effects on the activity of Cu-ZSM-5 catalysts for NO decomposition. Catal. Lett. 1995, 31, 75–89. [Google Scholar] [CrossRef]
  59. Ma, Y.; Cheng, S.; Wu, X.; Shi, Y.; Cao, L.; Liu, L.; Ran, R.; Si, Z.; Liu, J.; Weng, D. Low-temperature solid-state ion-exchange method for preparing Cu-SSZ-13 selective catalytic reduction catalyst. ACS Catal. 2019, 9, 6962–6973. [Google Scholar] [CrossRef]
Disclaimer/Publisher’s Note: The statements, opinions and data contained in all publications are solely those of the individual author(s) and contributor(s) and not of MDPI and/or the editor(s). MDPI and/or the editor(s) disclaim responsibility for any injury to people or property resulting from any ideas, methods, instructions or products referred to in the content.

Article Metrics

Citations

Article Access Statistics

Multiple requests from the same IP address are counted as one view.