Constructing CuO/Co3O4 Catalysts with Abundant Oxygen Vacancies to Achieve the Efficient Catalytic Oxidation of Ethyl Acetate
Abstract
1. Introduction
2. Results and Discussion
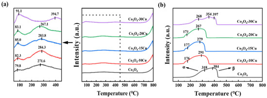
2.1. Characterization of the Catalysts
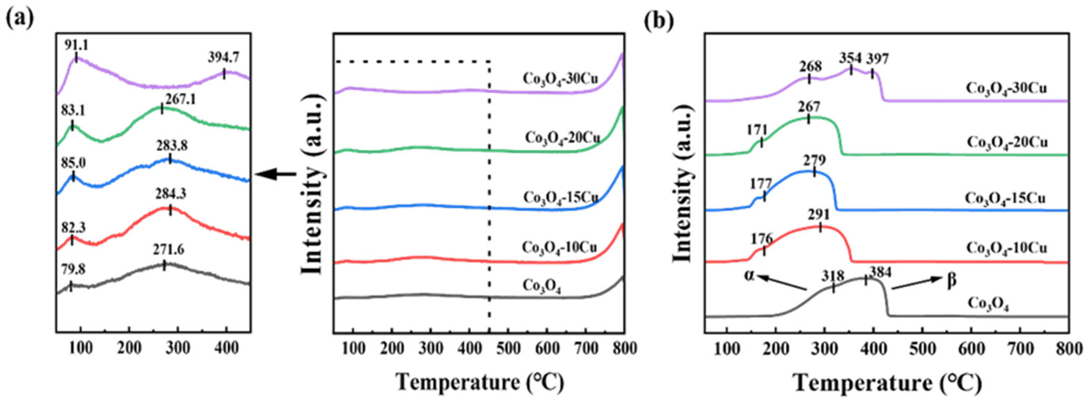
2.2. Catalytic Activity of the Catalysts
2.3. Degradation Mechanism for Ethyl Acetate Oxidation
3. Materials and Methods
3.1. Chemicals
3.2. Preparation of the Catalysts
3.2.1. Synthesis of the Powder Catalysts
3.2.2. Preparation of the Cordierite Monolithic Catalyst
3.3. Characterizations
3.4. Catalytic Activity Measurements
4. Conclusions
Supplementary Materials
Author Contributions
Funding
Data Availability Statement
Conflicts of Interest
References
- Wang, R.; Duan, W.; Cheng, S.; Wang, X. Nonlinear and lagged effects of VOCs on SOA and O3 and multi-model validated control strategy for VOC sources. Sci. Total Environ. 2023, 887, 164113. [Google Scholar] [CrossRef]
- Pye, H.O.T.; Appel, K.W.; Seltzer, K.M.; Ward-Caviness, C.K.; Murphy, B.N. Human-health impacts of controlling secondary air pollution precursors. Environ. Sci. Technol. Lett. 2022, 9, 96–101. [Google Scholar] [CrossRef]
- Ren, Y.; Guan, X.; Peng, Y.; Gong, A.; Xie, H.; Chen, S.; Zhang, Q.; Zhang, X.; Wang, W.; Wang, Q. Characterization of VOC emissions and health risk assessment in the plastic manufacturing industry. J. Environ. Manag. 2024, 357, 120730. [Google Scholar] [CrossRef]
- He, C.; Cheng, J.; Zhang, X.; Douthwaite, M.; Pattisson, S.; Hao, Z. Recent advances in the catalytic oxidation of volatile organic compounds: A review based on pollutant sorts and sources. Chem. Rev. 2019, 119, 4471–4568. [Google Scholar] [CrossRef]
- Wen, M.; Song, S.; Zhao, W.; Liu, Q.; Chen, J.; Li, G.; An, T. Atomically dispersed Pd sites on Ti-SBA-15 for efficient catalytic combustion of typical gaseous VOCs. Environ. Sci. Nano 2021, 8, 3735–3745. [Google Scholar] [CrossRef]
- Li, K.; Luo, X. Research progress on catalytic combustion of volatile organic compounds in industrial waste gas. Catalysts 2023, 13, 268. [Google Scholar] [CrossRef]
- Xiao, M.; Zhao, T.; Li, Y.; Zhu, B.; Yu, T.; Liu, W.; Zhao, M.; Cui, B. Co3O4-based batalysts for the low-temperature catalytic oxidation of VOCs. ChemCatChem 2024, 16, e202301524. [Google Scholar] [CrossRef]
- Bao, M.; Liu, Y.; Deng, J.; Jing, L.; Hou, Z.; Wang, Z.; Wei, L.; Yu, X.; Dai, H. Catalytic performance and reaction mechanisms of ethyl acetate oxidation over the Au–Pd/TiO2 catalysts. Catalysts 2023, 13, 643. [Google Scholar] [CrossRef]
- Tílvez, E.; Cárdenas-Jirón, G.I.; Menéndez, M.I.; López, R. Understanding the hydrolysis mechanism of ethyl acetate catalyzed by an aqueous molybdocene: A computational chemistry investigation. Inorg. Chem. 2015, 54, 1223–1231. [Google Scholar] [CrossRef]
- Tang, H.; Wu, S.; Ding, L.; Fang, N.; Zhang, Q.; Chu, Y. Catalytic oxidation and mixed oxidation of ethyl acetate: A review. Sep. Purif. Technol. 2024, 343, 126980. [Google Scholar] [CrossRef]
- Zhou, Y.; Zhang, H.; Yan, Y. Catalytic oxidation of ethyl acetate over CuO/ZSM-5 catalysts: Effect of preparation method. J. Taiwan Inst. Chem. Eng. 2018, 84, 162–172. [Google Scholar] [CrossRef]
- Zhu, X.; Bai, B.; Zhou, B.; Ji, S. Co3O4 nanoparticles with different morphologies for catalytic removal of ethyl acetate. Catal. Commun. 2021, 156, 106320. [Google Scholar] [CrossRef]
- Wang, S.; Zhu, J.; Yang, J.; Li, M.; Zhu, Y. Influence of LaCoO3 perovskite oxides prepared by different method on the catalytic combustion of ethyl acetate in the presence of NO. Appl. Surf. Sci. 2023, 623, 157045. [Google Scholar] [CrossRef]
- Zhao, Q.; Zheng, Y.; Song, C.; Liu, Q.; Ji, N.; Ma, D.; Lu, X. Novel monolithic catalysts derived from in-situ decoration of Co3O4 and hierarchical Co3O4@MnOx on Ni foam for VOC oxidation. Appl. Catal. B Environ. 2020, 265, 118552. [Google Scholar] [CrossRef]
- Zheng, Y.; Fu, K.; Yu, Z.; Su, Y.; Han, R.; Liu, Q. Oxygen vacancies in a catalyst for VOCs oxidation: Synthesis, characterization, and catalytic effects. J. Mater. Chem. A 2022, 10, 14171–14186. [Google Scholar] [CrossRef]
- Feng, X.; Chen, H.; Xue, Q.; Su, C.; Zhou, Y. Construction of core–shell structured CrOx/NiCoxO4 catalyst for low temperature catalytic oxidation of toluene: Understanding the reactivity promotion mechanism of the core–shell interactions. Chem. Eng. J. 2024, 490, 151464. [Google Scholar] [CrossRef]
- Jiang, Y.; Gao, J.; Zhang, Q.; Liu, Z.; Fu, M.; Wu, J.; Hu, Y.; Ye, D. Enhanced oxygen vacancies to improve ethyl acetate oxidation over MnOx-CeO2 catalyst derived from MOF template. Chem. Eng. J. 2019, 371, 78–87. [Google Scholar] [CrossRef]
- Ye, Y.; Xu, J.; Gao, L.; Zang, S.; Chen, L.; Wang, L.; Mo, L. CuO/CeO2 catalysts prepared by modified impregnation method for ethyl acetate oxidation. Chem. Eng. J. 2023, 471, 144667. [Google Scholar] [CrossRef]
- Lv, L.; Zhang, Z.; Wang, S.; Shan, Y.; Wang, L.; Xu, T.; He, P. Catalytic oxidation of ethyl acetate over Y (Y = Cu, Mn, Co)-modified CeO2 derived from Ce-MOF. Catal. Commun. 2024, 186, 106832. [Google Scholar] [CrossRef]
- Feng, X.; Guo, J.; Wen, X.; Xu, M.; Chu, Y.; Yuan, S. Enhancing performance of Co/CeO2 catalyst by Sr doping for catalytic combustion of toluene. Appl. Surf. Sci. 2018, 445, 145–153. [Google Scholar] [CrossRef]
- Bao, L.; Zhu, S.; Chen, Y.; Wang, Y.; Meng, W.; Xu, S.; Lin, Z.; Li, X.; Sun, M.; Guo, L. Anionic defects engineering of Co3O4 catalyst for toluene oxidation. Fuel 2022, 314, 122774. [Google Scholar] [CrossRef]
- Sun, L.; Liang, X.; Liu, H.; Cao, H.; Liu, X.; Jin, Y.; Li, X.; Chen, S.; Wu, X. Activation of Co-O bond in (110) facet exposed Co3O4 by Cu doping for the boost of propane catalytic oxidation. J. Hazard. Mater. 2023, 452, 131319. [Google Scholar] [CrossRef] [PubMed]
- Ren, Q.; Mo, S.; Peng, R.; Feng, Z.; Zhang, M.; Chen, L.; Fu, M.; Wu, J.; Ye, D. Controllable synthesis of 3D hierarchical Co3O4 nanocatalysts with various morphologies for the catalytic oxidation of toluene. J. Mater. Chem. A 2018, 6, 498–509. [Google Scholar] [CrossRef]
- Gao, H.; Lv, X.; Zhang, M.; Li, Q.; Chen, J.; Hu, Z.; Jia, H. Copper-cobalt strong interaction to improve photothermocatalytic performance of cobalt-copper oxides supported on copper foam for toluene oxidation. Chem. Eng. J. 2022, 434, 134618. [Google Scholar] [CrossRef]
- Chen, G.; Zhao, Y.; Fu, G.; Duchesne, P.N.; Gu, L.; Zheng, Y.; Weng, X.; Chen, M.; Zhang, P.; Pao, C.W.; et al. Interfacial effects in iron-nickel hydroxide-platinum nanoparticles enhance catalytic oxidation. Science 2014, 344, 495–499. [Google Scholar] [CrossRef]
- Chen, X.; Chen, X.; Cai, S.; Chen, J.; Xu, W.; Jia, H.; Chen, J. Catalytic combustion of toluene over mesoporous Cr2O3-supported platinum catalysts prepared by in situ pyrolysis of MOFs. Chem. Eng. J. 2018, 334, 768–779. [Google Scholar] [CrossRef]
- Jin, M.; Li, Z.; Piao, W.; Chen, J.; Jin, L.Y.; Kim, J.M. Highly ordered mesoporous cobalt-copper composite oxides for preferential CO oxidation. Catal. Surv. Asia 2017, 21, 45–52. [Google Scholar] [CrossRef]
- Jian, Y.; Tian, M.; He, C.; Xiong, J.; Jiang, Z.; Jin, H.; Zheng, L.; Albilali, R.; Shi, J.-W. Efficient propane low-temperature destruction by Co3O4 crystal facets engineering: Unveiling the decisive role of lattice and oxygen defects and surface acid-base pairs. Appl. Catal. B Environ. 2021, 283, 119657. [Google Scholar] [CrossRef]
- Meng, W.; Sun, S.; Xie, D.; Dai, S.; Shao, W.; Zhang, Q.; Qin, C.; Liang, G.; Li, X. Engineering defective Co3O4 containing both metal doping and vacancy in octahedral cobalt site as high performance catalyst for methane oxidation. Mol. Catal. 2024, 553, 113768. [Google Scholar] [CrossRef]
- Ye, Z.; Wang, G.; Giraudon, J.M.; Nikiforov, A.; Chen, J.; Zhao, L.; Zhang, X.; Wang, J. Investigation of Cu-Mn catalytic ozonation of toluene: Crystal phase, intermediates and mechanism. J. Hazard. Mater. 2022, 424, 127321. [Google Scholar] [CrossRef]
- Zagaynov, I.V.; Naumkin, A.V.; Konovalov, A.A. CuxCe1-xO2 solid solutions: Effect of low-content dopant. Ceram. Int. 2024, 50, 14513–14519. [Google Scholar] [CrossRef]
- Ren, J.T.; Zheng, Y.L.; Yuan, K.; Zhou, L.; Wu, K.; Zhang, Y.W. Self-templated synthesis of Co3O4 hierarchical nanosheets from a metal-organic framework for efficient visible-light photocatalytic CO2 reduction. Nanoscale 2020, 12, 755–762. [Google Scholar] [CrossRef] [PubMed]
- Wang, L.; Li, Y.; Liu, J.; Tian, Z.; Jing, Y. Regulation of oxygen vacancies in cobalt-cerium oxide catalyst for boosting decontamination of VOCs by catalytic oxidation. Sep. Purif. Technol. 2021, 277, 119505. [Google Scholar] [CrossRef]
- Li, Y.; Chen, T.; Zhao, S.; Wu, P.; Chong, Y.; Li, A.; Zhao, Y.; Chen, G.; Jin, X.; Qiu, Y.; et al. Engineering cobalt oxide with coexisting cobalt defects and oxygen vacancies for enhanced catalytic oxidation of toluene. ACS Catal. 2022, 12, 4906–4917. [Google Scholar] [CrossRef]
- Wang, C.; Zhang, C.; Hua, W.; Guo, Y.; Lu, G.; Gil, S.; Giroir-Fendler, A. Catalytic oxidation of vinyl chloride emissions over Co-Ce composite oxide catalysts. Chem. Eng. J. 2017, 315, 392–402. [Google Scholar] [CrossRef]
- Wang, P.; Wang, J.; An, X.; Shi, J.; Shangguan, W.; Hao, X.; Xu, G.; Tang, B.; Abudula, A.; Guan, G. Generation of abundant defects in Mn-Co mixed oxides by a facile agar-gel method for highly efficient catalysis of total toluene oxidation. Appl. Catal. B Environ. 2021, 282, 119560. [Google Scholar] [CrossRef]
- Wan, C.; Liao, Y.; Huang, H.; Li, D.; Zhan, Y.; Xiao, Y.; Jiang, L. Novel preparation of copper–cobalt spinel oxides using Cu2+-Co2+-Co3+ hydrotalcite-like compounds as active catalysts for methane combustion. Chem. Eng. J. 2025, 513, 162813. [Google Scholar] [CrossRef]
- Li, X.; Li, X.; Zeng, X.; Zhu, T. Correlation between the physicochemical properties and catalytic performances of micro/mesoporous CoCeO mixed oxides for propane combustion. Appl. Catal. A Gen. 2019, 572, 61–70. [Google Scholar] [CrossRef]
- Mo, S.; Li, S.; Li, J.; Deng, Y.; Peng, S.; Chen, J.; Chen, Y. Rich surface Co(III) ions-enhanced Co nanocatalyst benzene/toluene oxidation performance derived from CoIICoIII layered double hydroxide. Nanoscale 2016, 8, 15763–15773. [Google Scholar] [CrossRef]
- Sun, N.; Zhang, Y.; Wang, L.; Cao, Z.; Sun, J. Catalytic oxidation of toluene over Co-Cu bimetallic oxides derived from CoyCu3-y-MOF-74. J. Alloys Compd. 2022, 928, 167105. [Google Scholar] [CrossRef]
- Wu, N.; Zhang, C.; Li, J.; Shi, Y.; Wang, Q.; Wu, S.; Yao, S.; Wu, Z.; Gao, E.; Wang, W.; et al. In situ synthesis of MOF-derived CuCoOx with enhanced catalytic activity and moisture resistance for aromatic VOCs combustion: The role of bimetallic oxide interactions on the catalytic mechanism. Sep. Purif. Technol. 2024, 341, 126947. [Google Scholar] [CrossRef]
- Wang, J.; Zhang, D.; Zhao, G.; Liu, D.; Kuvarega, A.T.; Mamba, B.B.; Gui, J. Homogeneous CoCeOx nanocomposites with rich oxygen vacancies for effective catalytic oxidation of toluene. Sep. Purif. Technol. 2023, 320, 124130. [Google Scholar] [CrossRef]
- Yang, Y.; Si, W.; Peng, Y.; Wang, Y.; Liu, H.; Su, Z.; Li, J. Defect engineering on CuMn2O4 spinel surface: A new path to high-performance oxidation catalysts. Environ. Sci. Technol. 2022, 56, 16249–16258. [Google Scholar] [CrossRef] [PubMed]
- Yu, K.; Lou, L.L.; Liu, S.; Zhou, W. Asymmetric oxygen vacancies: The intrinsic redox active sites in metal oxide catalysts. Adv. Sci. 2020, 7, 1901970. [Google Scholar] [CrossRef]
- Ma, M.; Yang, R.; He, C.; Jiang, Z.; Shi, J.W.; Albilali, R.; Fayaz, K.; Liu, B. Pd-based catalysts promoted by hierarchical porous Al2O3 and ZnO microsphere supports/coatings for ethyl acetate highly active and stable destruction. J. Hazard. Mater. 2021, 401, 123281. [Google Scholar] [CrossRef]
- Ma, X.; Wang, W.; Zhang, X.; Li, H.; Sun, J.; Liu, X.; Sun, C. MOF-derived FeOx with highly dispersed active sites as an efficient catalyst for enchaning catalytic oxidation of VOCs. J. Environ. Chem. Eng. 2024, 12, 111966. [Google Scholar] [CrossRef]
- Wang, X.; Wu, L.; Wang, Z.; Feng, Y.; Liu, Y.; Dai, H.; Wang, Z.; Deng, J. Photothermal synergistic catalytic oxidation of ethyl acetate over MOFs-derived mesoporous N-TiO2 supported Pd catalysts. Appl. Catal. B Environ. 2023, 322, 122075. [Google Scholar] [CrossRef]
- Wang, H.; Chen, S.; Wang, Z.; Zhou, Y.; Wu, Z. A novel hybrid Bi2MoO6-MnO2 catalysts with the superior plasma induced pseudo photocatalytic-catalytic performance for ethyl acetate degradation. Appl. Catal. B Environ. 2019, 254, 339–350. [Google Scholar] [CrossRef]
- Liu, L.; Zheng, Y.; Gong, P.; Shao, G.; Ma, C.; Wang, G.; Wang, J.; Mi, J. Enhanced plasma-catalytic decomposition of ethyl acetate with ordered three-dimensional multi-mesoporous bimetallic cobalt oxides. Chem. Eng. J. 2024, 483, 149351. [Google Scholar] [CrossRef]
- Xie, H.; Zhao, X.; Zhou, G.; He, X.; Lan, H.; Jiang, Z. Investigating the performance of CoxOy/activated carbon catalysts for ethyl acetate catalytic combustion. Appl. Surf. Sci. 2015, 326, 119–123. [Google Scholar] [CrossRef]
- Akram, S.; Wang, Z.; Chen, L.; Wang, Q.; Shen, G.; Han, N.; Chen, Y.; Ge, G. Low-temperature efficient degradation of ethyl acetate catalyzed by lattice-doped CeO2-CoOx nanocomposites. Catal. Commun. 2016, 73, 123–127. [Google Scholar] [CrossRef]
- Konsolakis, M.; Carabineiro, S.A.C.; Marnellos, G.E.; Asad, M.F.; Soares, O.S.G.P.; Pereira, M.F.R.; Órfão, J.J.M.; Figueiredo, J.L. Effect of cobalt loading on the solid state properties and ethyl acetate oxidation performance of cobalt-cerium mixed oxides. J. Colloid Interface Sci. 2017, 496, 141–149. [Google Scholar] [CrossRef] [PubMed]
- Tang, W.; Wu, X.; Li, S.; Li, W.; Chen, Y. Porous Mn-Co mixed oxide nanorod as a novel catalyst with enhanced catalytic activity for removal of VOCs. Catal. Commun. 2014, 56, 134–138. [Google Scholar] [CrossRef]
- Xu, Z.; Li, J.; Wang, X.; Wang, T.; Li, D.; Ao, Z. Pt-Co bimetals supported on UiO-66 as efficient and stable catalysts for the catalytic oxidation of various volatile organic compounds. Mater. Today Chem. 2023, 29, 101403. [Google Scholar] [CrossRef]
- Qin, Y.; Shen, F.; Zhu, T.; Hong, W.; Liu, X. Catalytic oxidation of ethyl acetate over LaBO3 (B = Co, Mn, Ni, Fe) perovskites supported silver catalysts. RSC Adv. 2018, 8, 33425–33431. [Google Scholar] [CrossRef]








| Sample | Cu/(Co + Cu) Molar Ratios by ICP | Cu/Co Molar Ratio | SBET (m2/g) | Total Pore Volume (cm3/g) | Average Radii of Pore (nm) |
|---|---|---|---|---|---|
| Co3O4 | 0 | 0 | 15.86 | 0.053 | 13.44 |
| Co3O4-10Cu | 0.10 | 0.11 | 18.44 | 0.064 | 13.95 |
| Co3O4-15Cu | 0.15 | 0.17 | 17.68 | 0.066 | 14.99 |
| Co3O4-20Cu | 0.20 | 0.25 | 27.49 | 0.067 | 9.75 |
| Co3O4-30Cu | 0.29 | 0.41 | 24.59 | 0.078 | 12.76 |
| Sample | Co2+ /(Co2 + + Co3+) | Cu2+ /(Cu+ + Cu2+) | Oads/Ototal | O2 Desorption (mmol/g) | |
|---|---|---|---|---|---|
| 50–150 °C | 200–400 °C | ||||
| Co3O4 | 0.622 | 0 | 0.242 | 0.0053 | 0.0742 |
| Co3O4-10Cu | 0.670 | 0.374 | 0.267 | 0.0099 | 0.1049 |
| Co3O4-15Cu | 0.675 | 0.492 | 0.304 | 0.0098 | 0.0832 |
| Co3O4-20Cu | 0.693 | 0.527 | 0.312 | 0.0126 | 0.0983 |
| Co3O4-30Cu | 0.686 | 0.393 | 0.282 | 0.0408 | 0.0401 |
| Sample | Catalytic Activity T50 (°C) | Catalytic Activity T90 (°C) | CO2 Yield T90 (°C) |
|---|---|---|---|
| a Co3O4 | 229 | 250 | 253 |
| a Co3O4-10Cu | 204 | 226 | 230 |
| a Co3O4-15Cu | 197 | 212 | 222 |
| a Co3O4-20Cu | 193 | 211 | 214 |
| b Co3O4-20Cu | 176 | 191 | 193 |
| a Co3O4-30Cu | 199 | 221 | 227 |
| b Co3O4-20Cu/cordierite fragments | -- | 254 | 257 |
| b Co3O4-20Cu/cordierite | -- | 263 | 265 |
Disclaimer/Publisher’s Note: The statements, opinions and data contained in all publications are solely those of the individual author(s) and contributor(s) and not of MDPI and/or the editor(s). MDPI and/or the editor(s) disclaim responsibility for any injury to people or property resulting from any ideas, methods, instructions or products referred to in the content. |
© 2025 by the authors. Licensee MDPI, Basel, Switzerland. This article is an open access article distributed under the terms and conditions of the Creative Commons Attribution (CC BY) license (https://creativecommons.org/licenses/by/4.0/).
Share and Cite
Wen, J.; Hu, Z.; Jia, H.; Chen, J.; Lu, C.-Z. Constructing CuO/Co3O4 Catalysts with Abundant Oxygen Vacancies to Achieve the Efficient Catalytic Oxidation of Ethyl Acetate. Catalysts 2025, 15, 538. https://doi.org/10.3390/catal15060538
Wen J, Hu Z, Jia H, Chen J, Lu C-Z. Constructing CuO/Co3O4 Catalysts with Abundant Oxygen Vacancies to Achieve the Efficient Catalytic Oxidation of Ethyl Acetate. Catalysts. 2025; 15(6):538. https://doi.org/10.3390/catal15060538
Chicago/Turabian StyleWen, Jinlong, Ziying Hu, Hongpeng Jia, Jing Chen, and Can-Zhong Lu. 2025. "Constructing CuO/Co3O4 Catalysts with Abundant Oxygen Vacancies to Achieve the Efficient Catalytic Oxidation of Ethyl Acetate" Catalysts 15, no. 6: 538. https://doi.org/10.3390/catal15060538
APA StyleWen, J., Hu, Z., Jia, H., Chen, J., & Lu, C.-Z. (2025). Constructing CuO/Co3O4 Catalysts with Abundant Oxygen Vacancies to Achieve the Efficient Catalytic Oxidation of Ethyl Acetate. Catalysts, 15(6), 538. https://doi.org/10.3390/catal15060538

