Next Article in Journal
Iron-Modified Functional Biochar Activates Peroxydisulfate for Efficient Degradation of Organic Pollutants
Next Article in Special Issue
Carbonyl–Olefin Metathesis and Its Application in Natural Product Synthesis
Previous Article in Journal
Interfacial Engineering of S-Scheme WO3/In2S3 Heterojunction for Efficient Solar-Driven CO2 Photoreduction
Previous Article in Special Issue
Recent Advances in Catalytic Atroposelective Synthesis of Axially Chiral Quinazolinones
 
 
Font Type:
Arial Georgia Verdana
Font Size:
Aa Aa Aa
Line Spacing:
Column Width:
Background:
Review

Recent Advances in Carbon-Centered Radical-Initiated Olefin Transformation Chemistry

1
State Key Laboratory Base of Eco-Chemical Engineering, College of Chemical Engineering, Qingdao University of Science and Technology, Qingdao 266042, China
2
Qingdao Key Laboratory of Biomacromolecular Drug Discovery and Development, College of Chemical Engineering, Qingdao University of Science and Technology, Qingdao 266042, China
3
College of Chemistry and Molecular Engineering, Qingdao University of Science and Technology, Qingdao 266042, China
4
State Key Laboratory of Applied Organic Chemistry, Lanzhou University, Lanzhou 730000, China
5
School of Chemistry and Chemical Engineering, Henan Normal University, Xinxiang 453007, China
*
Authors to whom correspondence should be addressed.
Catalysts 2025, 15(5), 461; https://doi.org/10.3390/catal15050461
Submission received: 31 March 2025 / Revised: 4 May 2025 / Accepted: 4 May 2025 / Published: 8 May 2025
(This article belongs to the Special Issue Recent Catalysts for Organic Synthesis)

Abstract

In recent years, carbon-centered radical-initiated olefin transformation reactions, including alkene Heck-type alkylation, alkene hydroalkylation, and alkene difunctionalization reactions, have attracted increasing attention and been extensively developed. This review summarizes the recent advances in carbon-centered radical-initiated olefin transformation chemistry, such as radical-mediated alkene Heck-type alkylation, alkene hydroalkylation, and radical-mediated alkene difunctionalization reactions. This area of research is divided into several sections based on the types of olefin transformation reactions and the divergent formation processes of the carbon-centered radicals. Drawing extensively on our group’s investigations, we show that efficient olefin transformation strategies have gained significant traction in synthetic chemistry due to their ability to rapidly install functional groups and enhance molecular complexity.

1. Introduction

Free radicals are a class of highly reactive atoms or groups that contain unpaired electrons. Since they were discovered in the early 19th century, indicating the existence of free radical species, scientists have been focusing on free radicals to develop a more intuitive understanding of them [1,2,3,4,5]. The advent of electron paramagnetic resonance (EPR) spectroscopy, a pivotal tool for radical characterization, has enabled various free radical characterization techniques, led to the characterization of a number of radical species, and helped radical chemistry flourish [6,7]. With the development of new theoretical and experimental tools in recent decades, it has also been recognized that free radicals play an important role in several fields other than chemistry, such as biology and medicine. In recent years, as chemists have delved deeper into this subject, free radical chemistry has gradually transformed from being chaotic and disorganized, when it was first discovered, to a field focusing on a promising reaction with numerous advantages, such as high efficiency and controllability, high atomic efficiency, mild reaction conditions, few by-products, and environmental friendliness, which has increased the enthusiasm of the academic community for this area of research significantly.
Olefins are a class of common feedstock molecules that have become excellent synthetic building blocks for constructing important backbones and increasing the complexity of molecules due to their ready availability and easy transformations. In the field of alkene transformations, radical-mediated alkene Heck-type alkylation, alkene hydroalkylation, and alkene difunctionalization hold particular appeal for producing value-added fine chemicals and pharmaceuticals. As a result, significant achievements have been made in the past decade in alkene Heck-type alkylation, alkene hydroalkylation, and alkene difunctionalization, especially processes that are initiated by carbon-centered radicals (Figure 1), by using transition metal catalysis, metal-free oxidation, photoredox catalysis, and electrochemical catalysis. These radical-mediated alkene Heck-type alkylation, alkene hydroalkylation, and alkene difunctionalization reactions proceed via the initial formation of carbon-centered radicals, followed by radical addition across the alkene moiety and hydrogen elimination or trapping by functional groups. The carbon-centered radicals can be formed from the cleavage of C-H bonds, C-X bonds (X = heteroatom), or C-C bonds in simple, readily accessible materials.
This review summarizes recent advances in carbon-centered radical-initiated olefin transformation chemistry, including radical-mediated alkene Heck-type alkylation, radical-mediated alkene hydroalkylation, and radical-mediated alkene difunctionalization. The review includes reports published between 2014 and early 2025 and is divided into several sections based on the type of olefin transformation reaction and the divergent formation mode of the carbon-centered radicals (Figure 1).
This review showcases recent methodological breakthroughs in carbon-radical mediated olefin modifications, with a particular focus on contributions from our laboratory. The catalytic application of earth-abundant transition metals, particularly cobalt and copper, in direct C–H functionalization remains in its nascent stage. These metals align with the growing imperative for sustainable and environmentally benign chemical methodologies due to their high terrestrial abundance, cost-effectiveness, and reduced toxicity relative to precious metal counterparts. Over the past two decades, significant advancements have transformed copper- and cobalt-based complexes from preliminary “proof-of-concept” systems into robust and versatile catalysts for diverse C–H functionalization protocols in organic synthesis [8,9]. While contextualizing key advances in the field, we aim to provide an in-depth analysis of the mechanistic frameworks and catalytic systems that have been developed by our team.

2. Carbon-Centered Radical-Initiated Olefin Transformation

Olefin transformations are used to access high-value-added products and are a fascinating and popular subject in modern synthetic chemistry. Among them, carbon-centered radical-initiated alkene Heck-type alkylation, alkene hydroalkylation, and alkene difunctionalization represent a class of extremely important methods for increasing molecular complexity through the incorporation of one or two functional groups, including at least one carbofunctional group, into the alkene moiety. These methods provide facile and highly atom-/step-economic ways to lengthen carbon chains and construct functionalized molecules.

2.1. Alkene Heck-Type Alkylation

2.1.1. Alkene Heck-Type C(sp2)-H Alkylation

The hydrogen atom transfer (HAT) strategy has emerged as a fundamental elementary step underpinning numerous powerful modular synthetic methods, most notably the Hofmann–Löffler–Freytag (HLF) reaction [10,11,12]. This reaction, discovered in 1883, is typically regarded as a highly streamlined tool for the site-selective functionalization of remote C(sp3)–H bonds through the formation of N-centered radicals (NCRs) from N-haloamines, with regioselective 1,5-HAT leading to the C(sp3)-centered radicals and functionalization cascades [13,14]. In the classic approach, the HLF method primarily focuses on the intramolecular cyclization of linear acyclic N-haloamines in a strong acidic medium under thermal or photolysis conditions, thus suffering from relatively harsh reaction conditions, and it is limited by both the functional group’s tolerance and inaccessible incorporation of the external functional groups for diversity-oriented synthesis.
In 2020, our group reported on copper-catalyzed fluoroamide-directed olefination of the remote benzylic C–H bonds of N-fluoroamides with terminal alkenes through dual C(sp3)-H/C(sp2)-H functionalization. This process involves remote benzyl C(sp3)–H alkenylation for the synthesis of internal alkenes (Scheme 1) [15]. The Cu(OTf)2 and 1,10-phenanthroline L1 catalytic system enables fluoroamide-directed remote benzylic C–H olefination through NCR generation from N-fluoroamide homolysis, 1,5-HAT, the formation of a hybrid Cu–radical intermediate, and its addition across the alkenes and H-elimination cascades. This method offers several advantages, including the direct coupling of terminal alkenes with alkanes employing a hybrid to Cu–radical strategy, good control of the site-selectivity for the olefination of remote benzylic C–H bonds that are adjacent the amidyl nitrogen atom, a broad substrate scope, excellent functional group tolerance, and the ability to establish further applications; these advantages make this reaction attractive for the synthesis of highly valuable functionalized olefins. In addition, this reaction is of great synthetic value and is readily applicable to the late-stage derivatization of pharmaceuticals and naturally occurring molecules such as amino acid esters.
The possible mechanisms for the alkene Heck-type alkylation protocol were proposed as outlined in Scheme 1. This reaction allows for single-electron transfer (SET) between the N-fluoroamides and the active Cu(II) species through N-F bond cleavage, which affords the nitrogen-centered radical A followed by intramolecular 1,5-HAT to form the bezyl C(sp3)-centered radical B. Radical addition across the C=C bond in the alkene generates the new alkyl radical C, which undergoes oxidation addition to form the alkyl-Cu(III) intermediate D. Finally, the hydrogen elimination of the intermediate D affords the desired alkene Heck-type alkylation product.
The Shen/Li/Tang group has reported a new route to achieving alkene Heck-type alkylation by means of a nickel-catalyzed reductive Heck-type C(sp3)−C(sp2) coupling cascade of α-amino-β-bromo acid esters with alkenes, which consists of a bromoalkane-directed radical 1,4-aryl shift toward distal (gem-difluoro) alkenylated arylalanines (Scheme 2 up) [16]. This reaction allows for the formation of α-aminoalkyl radicals, which are generated from neophyl-type aryl migration and function as robust coupling partners, to initiate a sequence of neophyl-type rearrangements with Heck-like C(sp3)-C(sp2) coupling using trifluoromethylstyrenes and vinyl sulfones such as Michael acceptors, thereby achieving a new radical cascade for the simultaneous installation of an aromatic ring and olefin motif into the amino acid backbones. This reaction enables the two-site simultaneous inlay of two functional groups—an aromatic ring and an olefin group—into the α-amino-β-bromo acid ester bones, with excellent regio- and diastereoselectivity.
A possible mechanism for nickel-catalyzed reductive Heck-type C(sp3)−C(sp2) coupling cascades was proposed (Scheme 2 down). First, an aryl C−C migration takes place, with concomitant C(sp3)−C(sp2) bond cleavage via the spiro radical σ-complex Int-II, generating the α-aminoalkyl radical Int-III, which is stabilized by the p−p conjugation effect with its adjacent electron-rich N atom. Owing to the binding effect of the inflexible five-membered ring, syn-configuration of the α-aminoalkyl radical is favored, which is in accordance with the fact that the coupling reaction affords high diastereoselectivity (syn/trans > 20:1). Next, the nucleophilic α-aminoalkyl radical undergoes a Giese-type addition onto the electron-deficient trifluoromethylstyrene [17], leading to the radical intermediate Int-IV. Subsequently, the nascent radical Int-IV is added to Br−NiIL to form the NiII complex Int-V, and β-fluoride elimination via a four-membered cyclic transition state occurs, yielding the desired product and the NiIIBr(F)−Ln complex. Notably, the newly formed NiII complex is directly involved in the next catalytic cycle or is reduced to a NiI−Ln species by the Zn powder. The addition of Int-III onto vinyl sulfonates delivers the β-sulfonyl radicals, which undergo elimination of a sulfinyl radical to provide the compounds. In addition, unrestricted density functional theory (DFT) calculations, with the hybrid functional B3LYP being implemented in the Gaussian package, were conducted to understand the sequential neophyl-type aryl migration/Heck-like coupling process using α-trifluoromethylstyrene as the acceptor [18]. The results indicated that the illustrated reaction mechanism was reasonable. Mechanistically, the β-bromo acid esters, which are efficient aryl rearrangement precursors, enable the radical 1,4-aryl migration from the C−C center by means of Ni-reductive catalysis. Switching a transient alkyl radical into another robust α-aminoalkyl radical would facilitate further Giese addition/β-F or SO2Ph elimination in the presence of α-trifluoromethyl alkene and vinyl sulfones, achieving a new cascade process that combines neophyl-type rearrangement with reductive Heck-type coupling. The radical relay is catalyzed by a combination of bench-stable Ni/bipyridine ligand/Zn at an ambient temperature and exhibits a broad scope and excellent chemo-, regio-, and diastereoselectivity, which provides a powerful means of one-pot aryl migration and olefination via the cleavage of C(sp3)−C(sp2) coupling cascade access to the gem-difluoroalkene-tethered β-arylalanines in the synthetic community.

2.1.2. Alkene Heck-Type Decarboxylative Alkylation

4-Alkyl-1,4-dihydropyridines are a class of well-known alkyl radical precursors, which are prepared from readily available and abundant aliphatic aldehydes [19,20] and are commonly used to engage alkylation reactions under photoredox catalysis, electrochemical catalysis, transition metal catalysis, thermal chemistry, and/or oxidation (such as Lewis acids and oxidants) [21,22,23,24]. In particular, with the development of radical chemistry in recent years, radical decarboxylation has received significant attention from chemists.
In 2020, our group reported the copper-catalyzed oxidative decarboxylation of cinnamic acids with 4-alkyl-1,4-dihydropyridines to form C(sp3)-C(sp2) bonds, using 4-alkyl-1,4-dihydropyridines as the general alkylating reagents (Scheme 3) [25]. In the presence of CuI and dicumyl peroxide (DCP), a variety of α,β-unsaturated carboxylic acids underwent oxidative decarboxylative alkylation with 4-alkyl-1,4-dihydropyridines under various mild internal conditions, a broad substrate scope, and excellent functional group tolerance. This method has significant potential for application by using inexpensive and stable cinnamic acids instead of alkenyl halides and nitro-olefins. Using cheap and stable cinnamic acids instead of alkenyl halides and nitroalkenes, this reaction enables the easy generation of alkyl radicals from 4-alkyl-1,4-dihydropyridines to initiate the reaction in the presence of 4-alkyl-1,4-dihydropyridines and DCP, leading to a wide range of substrates and compatible functional groups, and provides a new way to access a variety of internal alkenes under mild conditions.
A plausible mechanism consisting of a radical addition/elimination process for the oxidative decarboxylation of cinnamic acids was proposed. Moreover, 4-Cyclohexyl-1,4-dihydropyridine is readily cleaved by the oxidant (DCP) into the cyclohexyl radical A and the by-product D. A salt of cupric cinnamate B is formed in the presence of DCP, cinnamic acid, and the active copper (I) catalyst. The addition of the cyclohexyl radical A to the C-C double bond of B then gives the radical intermediate C. The radical intermediate C undergoes carbon dioxide elimination to obtain the alkenylation product and regenerate the active Cu(I) species by means of single-electron transfer (SET) to start a new catalytic cycle.

2.2. Alkene Hydroalkylation

2.2.1. C(sp3)-H Functionalization-Enabled Alkene Hydroalkylation

The Qin group successfully established a novel approach for the direct formal addition of aliphatic C-H bonds to alkenes under mild reaction conditions. This process, which is mediated by a phenyl radical, represents an alternative to conventional methods, offering an avenue for the addition of C(sp3)-H bonds to alkenes through a copper-catalyzed aerobic formal addition of aliphatic C-H groups to alkenes. The methodology is characterized by simple and safe experimental procedures. The reaction conditions are compatible with a range of alkanes and electron-deficient alkenes, which afford a wide range of addition products. The results of their preliminary studies indicated that the phenyl radical and 2-tetrahydrofuranyl radical are the most likely participants in the mechanism. Additionally, the PhNHNH2 appears to function not only as an effective HAT reagent precursor but also as an excellent donor of hydrogen atoms in this reaction. Additional synthetic transformations revealed that the direct formal aliphatic C(sp3)-H bond addition reaction displayed excellent synthetic versatility.
A plausible reaction mechanism for the formal addition of aliphatic C(sp3)-H bonds to alkenes is proposed, as illustrated in Scheme 4 [26]. The reaction may be initiated by the single-electron oxidation of PhNHNH2 with the Cu-(II) species, which affords the cation radical B. In the presence of O2 and AgOAc, the Cu-(II) species can be generated continuously. The deprotonation of the cation radical B gives rise to the formation of the radical intermediate C. This can subsequently be oxidized by the Cu-(II) species and deprotonated, leading to the formation of the diazene D. The diazene D then undergoes single-electron oxidation (or hydrogen abstraction by a carbon radical F or H) to produce the radical intermediate E, which subsequently gives rise to the formation of the phenyl radical F with the release of N2. The abstraction of a hydrogen atom from tetrahydrofuran by the radical F gives rise to the formation of benzene and a 2-tetrahydrofuranyl radical G. These are subsequently added to the alkene, resulting in the generation of the radical intermediate H. Finally, direct hydrogen atom transfer from D or A to the radical intermediate H leads to the formation of outgrowth.
In 2025, our research group developed a dual photoredox catalytic strategy for the stereodivergent synthesis of (Z)- and (E)-pent-4-en-1-one derivatives through photoinduced C(sp3)-H alkenylation–dehydrogenation of o-iodoarylalkanols with alkynes (Scheme 5) [27]. This methodology leverages sequential C–I bond homolysis and dual hydrogen atom transfer (HAT) cascades to achieve both site- and stereoselectivity control under mild visible light irradiation. The stereochemical outcome was systematically modulated through the strategic selection of terminal alkyne coupling partners and photocatalysts, with the experimental evidence supporting a triplet energy transfer (TEnT) mechanism for Z-isomer formation from E-configured intermediates when employing Ir(ppy)2(dtbbpy)PF6.
Mechanistic investigations revealed a concerted photoredox cycle involving three critical stages. Catalytic initiation, in which photoexcitation of the photocatalyst ([PC]•) induces oxidative quenching by Et3N, generates a radical ion pair ([PC]•/[Et3N]⁺•). Consecutive photoinduced electron transfer activates substrate 1a through reductive cleavage of the C–I bond, yielding aryl radical C. Sequential 1,5-HAT processes convert C to the alkyl radical D, followed by alkyne addition to form the alkenyl radical E. Secondary HAT generates the stabilized alkyl radical F. Oxidative radical–polar crossover (ORPC) with [Et3N]⁺• produces the carbocation G, which undergoes base-mediated deprotonation to yield (E)-configured products. The Ir(III) photocatalyst’s triplet excited state ([Ir]3•) mediates stereochemical inversion through TEnT-driven isomerization. Competitive pathways involving halogen atom transfer (XAT) were identified but not fully excluded. This process has intrinsic limitations in the alkyl bromide activation due to the insufficient reducing power of the con-PET system. The system achieves dual control of the regio- and stereochemistry through photonic modulation and has broad applicability to various propargyl-type alkynes while avoiding stoichiometric oxidants through its inherent dehydrogenation capability. This work establishes a paradigm for photochemical C–H functionalization that combines radical translocation with polarity in•version strategies, offering new possibilities for the stereo-controlled synthesis of complex alkenes beyond traditional transition-metal-catalyzed approaches.

2.2.2. C-X Functionalization-Enabled Alkene Hydroalkylation

Enantioselective C(sp3)–C(sp3) coupling has a substantial impact on organic synthesis, yet it remains a challenging process. Cobalt has been instrumental in the advancement of homogeneous organometallic catalysis; however, there are only a limited number of instances in which it has been employed in asymmetric cross-coupling. The Yao Fu group has reported a cobalt-catalyzed enantioselective C(sp3)–C(sp3) coupling reaction, namely alkene hydroalkylation, which provides a new route to access chiral fluoroalkenes. This reaction represents a catalyst-controlled enantioselective coupling mode in which a tailor-made auxiliary is unnecessary. It thus offers a means of introducing an aliphatic C–F stereogenic center at the desired position in an alkyl chain. Cobalt exhibits several advantageous properties, including low cost and low toxicity, and has played a significant role in the development of homogeneous organometallic catalysis. While cobalt catalysts have been demonstrated to be highly effective for carbon–carbon bond formation, they are not well suited to the asymmetric version of this reaction. The authors of this article established a cobalt hydride catalytic system for alkene hydroalkylation, achieving a high level of selectivity with regard to both the regioselectivity and enantiomeric excess (Scheme 6) [28].
The distinctive properties of fluorine atoms have generated considerable interest within contemporary drug development due to their potential use in the effective synthesis of high-value alkyl fluorides. Nonetheless, enantioselective catalytic methods for the efficient formation of highly functionalized chiral C(sp3)-F frameworks from straightforward precursors have not been fully explored.
In 2024, the Chu group published details of the creation of an innovative nickel-catalyzed asymmetric radical transfer approach, which allows for the selective functionalization of alkenyl fluorides into stereo-defined alkyl fluorides (Scheme 7) [29]. The asymmetric hydrogen atom transfer (HAT), asymmetric alkyl transfer, and regioselective HAT/alkyl couplings of α-fluoroacrylamides with primary, secondary, and tertiary alkyl halides have been achieved with high efficiency and stereoselectivity using simple chiral nickel complexes. This allows for the facile and modular construction of diverse, structurally complex secondary and tertiary F-containing stereocenters. These transformations demonstrate a broad substrate scope and high regio- and stereoselectivity, rendering them suitable for late-stage modifications.
This radical transfer method provides an unparalleled and modular approach to the intricate assembly of structurally diverse, high-value fluorine-containing motifs, an approach that would undoubtedly be welcomed by medicinal chemists. The detailed mechanistic insights, including the processes of HAT from Ni (II)-H to alkenyl fluorides (rate-determining step), alcohol coordination to Ni (stereo-determining step), and protonation of Ni (II)-enolates formed in situ with near-barrierless kinetics, are invaluable for advancing our understanding of these reactions and for guiding the development of novel reactions in the future.

2.3. Alkene Difunctionalization

2.3.1. C-H Functionalization-Enabled Alkene Dicarbofunctionalization

The hydrogen atom transfer (HAT) strategy has emerged as a fundamental elementary step underpinning several powerful modular synthetic methods, most notably the Hofmann–Löffler–Freytag (HLF) reaction. Traditionally, the HLF reaction allows for functionalization of the remote C(sp3)-H bond via N-centered radical generation from the cleavage of the nitrogen–halogen bond, selective 1,5-HAT, halogenation, and cyclization cascades, but it suffers from relatively harsh reaction conditions and inaccessible incorporation of the external functional groups.
In 2022, our group developed a new, site-selective, and copper-catalyzed intermolecular process for redox-neutral difunctionalization of alkenes with N-fluoro-o-alkylbenzeneamides and nucleophiles, enabled by the fluoroamide-directed remote benzylic C(sp3)−H functionalization for the synthesis of functionalized dialkyl ethers, 3-alkylindoles, and 3-alkylpyrroles (Scheme 8) [30]. This strategy is also applicable to the two-component alkene-alkylamidation of alkenes with N-fluoro-o-alkylbenzenamides via [5 + 2] annulation for the preparation of useful benzo[f]-[1,2]thiazepine-1,1-dioxides and represents the first general alkene difunctionalization process enabled by fluoroamide-directed remote benzylic C-(sp3)-H functionalization via HAT that does not require the addition of external oxidants. This protocol demonstrates excellent site selectivity; tolerance to a wide range of styrenes, N-fluoro-2-methylbenzeneamides, alcohols, indoles, and pyrroles bearing various functional groups; and potential applications in the late modification of natural products and drug derivatives. In particular, the fluoroamide-directed C(sp3)-H-functionalized alkene difunctionalization strategy offers further prospects for both essential alkene and C-H bond feedstock transformations.
In 2022, the Liang group provided an account of the copper-catalyzed arylalkylation of activated alkenes, which entailed the implementation of a hydrogen atom transfer and aryl migration strategy. The reaction was performed via a radical-mediated continuous migration pathway, employing N-fluorosulfonomides as the alkyl source. The formation of the primary, secondary, and tertiary alkyl radicals via intramolecular hydrogen atom transfer occurred in a smooth and efficient manner. This methodology represents an efficient approach for the synthesis of a variety of amide derivatives containing a quaternary carbon center, exhibiting high yields and excellent regioselectivity (Scheme 9) [31].
The reduction of N-fluorosulfonamide by [CuI] via an SET mechanism results in the formation of a [CuII] complex and the generation of a sulfonamide radical, designated as A. Thereafter, the carbon-centered radical B undergoes an intramolecular 1,5-hydroxytriethenyl radical addition (1,5-HAT), leading to the production of an additional radical intermediate, radical C. This radical intermediate, in turn, undergoes 5-ipso-cyclization. The formation of a pivotal intermediate on the aromatic ring is also observed, designated as intermediate D. Subsequently, the intermediate undergoes rapid 1,4-aryl migration and desulfonylation, leading to the formation of a new C(sp2)-C(sp3) bond and the generation of an acid radical. Ultimately, the radical E undergoes a transformation into the desired product, facilitated by hydrogen abstraction. In consideration of the deuterium labeling outcomes, it may be postulated that trace quantities of incidental water may serve as a hydrogen source for the formation of N-H bonds.
In 2024, a copper-catalyzed alkylarylation reaction of alkenes using N-fluoroamides and aryl-boronic acids was reported by Liu and co-workers. The reaction proceeds mainly via the formation of nitrogen-centered radicals, 1,5-hydrogen translocation, and benzyl addition. This procedure is notable for its high site selectivity, extensive applicability to a diverse array of substrates, and prominent use of late-stage modifications in estrone derivatives. Furthermore, this approach offers novel insights into the synthesis of bioactive molecules with 1,1-diaryl motifs (Scheme 10) [32].
The Cu(I) catalyst, generated in situ, binds to the ligand, followed by the addition of arylboronic acid, which undergoes a transmetallation reaction to form species A with the aid of a base. Subsequently, the SET reaction occurs between A and N-fluoroamide, resulting in the formation of B and the N-centered radical C. The C species then undergoes a 1,5-HAT process, leading to the generation of the benzylic radical D. This radical is subsequently captured by vinylaromatics, giving rise to the intermediate E through a radical addition. Ultimately, species E engages in an oxidative addition reaction, further integrating with B to form the complex Cu (III)-F. This complex then undergoes a reductive elimination process, resulting in the formation of the target product. The copper catalyst has been regenerated and is poised to enter the subsequent catalytic cycle (pathway A). An alternative pathway involves the Ar-Cu (II) species B undergoing an aryl group transfer with the carbon radical E, resulting in the formation of the desired alkynylation product and the regeneration of the Cu(I) species (pathway B).
The alkene diarylation reaction has proven to be a highly attractive and effective method for accessing complex polyaryl-functionalized targets through the simultaneous incorporation of two aryl groups across the C=C bond in a single reaction operation. Typical alkene diarylation routes mainly rely on the traditional transition-metal-catalyzed cross-coupling strategy, which involves the aryl electrophile undergoing Heck-type coupling with the alkene. This can be terminated with an aryl nucleophile. Our knowledge of the radical cation intermediates is such that they can be converted to the corresponding radical intermediates by bases, which we believe is the most effective way of transforming electron-rich aromatic hydrocarbons such as indoles into aryl sp2-hybridized carbon-centered radicals via radical cation intermediate generation and deprotonation cascades.
In 2020, a cobalt-promoted electrochemical 1,2-diarylation of alkenes with electron-rich aromatic hydrocarbons via direct dual C-H functionalization was described (Scheme 11) [33]. This method employs a radical relay strategy to produce polyaryl-functionalized alkanes. By simply using a graphite rod cathode instead of a platinum plate cathode, the chemoselectivity of this radical relay strategy is shifted to the dehydrogenative [2+2+2] cycloaddition via 1,2-diarylation, annulation, and dehydrogenation cascades, leading to complex 11,12-dihydroindolo [2,3-a] carbazoles.
Mechanistic studies have indicated that a key step in the radical relay processes is the transformation of aromatic hydrocarbons to aryl-sp2-hybridized carbon-centered radicals via deprotonation of the corresponding aryl radical cation intermediates with bases. This methodology employs a CoCl2 promoter and electrochemical technology to enable the formation of two C(sp3)-C(sp2) bonds through the generation of aryl radical cation intermediates from aromatic hydrocarbons. These are deprotonated with bases to form aryl sp2-hybridized carbon-centered radicals, which are then subjected to radical addition across the C=C bonds. Finally, electrophile alkylation cascades are initiated. This methodology offers several advantages. It is mild, clean, energy-efficient, and oxidant- and reagent-free, and can be used with a broad scope of styrenes and electron-rich aromatic hydrocarbons. It is also tolerant of functional groups and offers controllable chemoselectivity. This electrochemical radical relay strategy enables the establishment of an unprecedented dehydrogenative [2 + 2 + 2] cycloaddition reaction of alkenes with indoles, simply by replacing the platinum plate cathode with a graphite rod cathode. Moreover, this methodology offers a versatile approach to late-stage modification of valuable bioactive molecules.
Professor Liang’s group disclosed a novel autophotocatalytic strategy for the divergent synthesis of benzo[b]fluorenones and benzo[b]fluorenols from enone-ynes (Scheme 12) [34]. This metal-free, exogenous photocatalyst-independent methodology operates under mild conditions in both batch reactors and continuous flow systems, demonstrating remarkable photochemical versatility through multiple activation modes: energy transfer (EnT), electron transfer (ET), hydrogen atom transfer (HAT), and photocycloaddition.
The photochemical cascade initiates with blue/violet light absorption by enone-yne 1a, generating an excited state 1a• that undergoes [4+2] cycloaddition to form the dearomatized dihydrobenzo[b]fluorenone intermediate A. Under blue light irradiation (Condition A), the subsequent energy transfer from 1a•/2a• to molecular oxygen generates singlet oxygen (1O2), which mediates the sequential HAT processes with intermediate A. This oxidative pathway, involving superoxide radical intermediates, ultimately yields benzo[b]fluorenone 2a. Conversely, violet light activation (Condition B) induces intramolecular 1,3-HAT in the photoexcited intermediate A• to form 5aH-benzo[b]fluorenol B, while the simultaneous excitation of additional 1a molecules generates a radical ion pair through quinuclidine oxidation.
Notably, the system exhibits self-sustaining catalytic behavior through three distinct photochemical events: the formation of α-hydroxyl carbanion D via single-electron transfer (SET) from reduced enone-yne species (1a•) to resonance-stabilized radical C’; regioselective protonation governed by computational evidence, demonstrating enhanced acidity of protonated quinuclidine (pKa ≈ −3.2) over conventional proton sources (HFIP: pKa 9.3; H2O: 15.7); and closed catalytic cycles restoring both the ground-state enone-yne and quinuclidine catalyst. The experimental validation of the sunlight compatibility, scalable flow implementation (productivity > 2.5 mmol/h), and substrate generality (>30 examples) underscored the methodology’s practical utility in sustainable arene functionalization. This work establishes a paradigm for reagent-free photochemical diversification through wavelength-dependent control of reactive intermediates and redox manifolds.

2.3.2. C-H Functionalization-Enabled Alkene Alkyl-Heterofunctionalization

Polychlorinated hydrocarbons, especially those with di- or tri-chloromethyl groups, are widely used in natural products, pesticides, and various bioactive molecules [35,36]. Since Kharasch reported the atom transfer radical addition (ATRA) of terminal alkenes with bromotrichloromethane as the polychloromethyl moiety, the radical addition reaction of alkenes—including alkene difunctionalization—has become one of the most powerful strategies for the rapid assembly of diverse complex polyhaloalkyl-containing molecules from abundant and readily available starting materials. Traditional radical-mediated alkene functionalization methods for the synthesis of polyhaloalkyl-containing compounds usually focus on one-component atom transfer radical cyclization (ATRC) and two-component atom transfer radical addition (ATRA) processes via C-halogen bond homolysis using photocatalysts (e.g., ultraviolet light, sunlight), thermocatalysts, and/or highly toxic organic initiators. To broaden their applications, recent efforts have focused on polychloroalkyl radical-initiated two- and three-component alkene difunctionalization reactions with polyhaloalkanes and nucleophile aryl C(sp2)-H bonds, beyond ATRA and ATRC, which allow for the preferential cleavage of the C-H bonds in polyhaloalkanes, leading to the formation of polychloroalkyl radicals due to the enthalpic and stereoelectronic effects.
Therefore, the transformation of alkenes into complex polyhaloalkanes via polychloroalkyl radicals is an appealingly straightforward tool in organic synthesis. However, to our knowledge, existing examples of such polychloroalkyl radical-initiated alkene difunctionalization reactions, especially involving the three-component intermolecular mode, remain rare [37,38].
Typically, alkene carboamination that is initiated by alkyl radicals is a particularly attractive method, allowing for the assembly of complex alkyl groups to yield N-alkylated compounds directly from various readily available nitrogen nucleophiles and alkenes. Simple alkyl halides are some of the most commonly used raw materials and solvents in the laboratory and chemical industries [39,40,41]. Traditionally, the supply of alkyl radicals by means of the carboamination of alkenes for the synthesis of N-alkylated compounds has usually focused on the dehalogenation of alkyl halides. However, the drawbacks of constructing N-alkylated compounds, including overalkylation, the elimination of alkyl halides, and poor functional group compatibility, remain unresolved [42,43]. Therefore, the development of an efficient and environmentally friendly strategy for the intermolecular carboamination of alkenes via C(sp3)-H activation of alkyl halides instead of C-halogen cleavage will provide a range of opportunities for further functionalization and modification of synthetic molecules.
In 2021, our group hypothesized that the incorporation of arene diazonium salts and simple alkanes under photoredox catalysis might enable the alky lamination of alkenes by means of C–H cleavage of alkyl halides while retaining the C–X bond for further utilization (Scheme 13) [44]. Various C(sp3)-H alkanes, including alkyl nitriles, alkyl ketones, and haloalkanes, were used as alkyl radical precursors via intermolecular hydrogen atom transfer (HAT) in the presence of aryl radicals. In summary, we developed a photoredox-catalyzed three-component 1,2-alkylamination process of styrenes with nitrogen nucleophiles and alkanes via C(sp3)-H bond cleavage. The combination of 4-methoxybenzenediazonium tetrafluoroborate and a Ru(bpy)3Cl2 photocatalyst led to the production of alkyl radicals that were generated by means of intermolecular hydrogen atom transfer (HAT) between aryl radicals and C(sp3)-H alkanes. A variety of commercial C(sp3)-H alkanes, including acetonitrile, ethyl acetate, and acetone, which were used as alkyl radical precursors and solvents, were compatible with this methodology. This protocol provides an effective and functional group-tolerant strategy for the alkylation of alkenes, offering significant potential for the further functionalization and modification of synthetic molecules.
Cycloaddition enabled by direct C-H radical functionalization is a promising strategy for producing a diverse range of nitrogen-containing heterocycles, including seven-membered cyclic structures, from readily accessible precursors. A promising method is the hydrogen atom transfer (HAT) strategy, which involves the functionalization of a remote C(sp3)−H bond at the m position (typically, m = 5 and 6) to a nitrogen atom through N-centered radical generation from homolytic cleavage of a nitrogen–heteroatom (such as halogen, nitrogen, and oxygen) bond. This then allows for the formation of nitrogen-based alkanes as m-atom units.
Alkyl azides are versatile building blocks that are commonly used in synthetic chemistry and as nitrene intermediates. They are used to construct N-heterocyclic scaffolds via intramolecular C-H amination through hydrogen atom transfer (HAT) and radical substitution [45,46]. Our hypothesis was that activating the trifluoromethyl functionality via hydrogen bonding interactions and rationally devising alkyl azides would form highly reactive triplet nitrene intermediates as the m-atom unit, rendering divergent [2 + n] cycloaddition reactions with unsaturated hydrocarbons through HAT and radical substitution.
In 2024, a new approach to copper-promoted radical-mediated divergent intermolecular [2 + n] heteroannulation of β-CF3-1,3-enynes with alkyl azides was developed. This process allows for the synthesis of four- to ten-membered N-heterocycles (Scheme 14) [47]. The reaction of the azide with the active Cu species results in the intermediate A, which is then thermally decomposed to form the triplet-free nitrene intermediate B. The intermediate B is converted to the Cu (III) nitrene intermediate C or D. The addition of the intermediate C across the C=C bond in olefin results in the alkyl radical intermediate E, which is then subjected to HAT to form another alkyl radical intermediate F. Finally, the intermediate F is converted to the intermediate G via radical substitution, and radical addition cascades are employed to produce the desired product and regenerate the active Cu species.
The heteroannulation using various alkyl azides as powerful bifunctional reagents enabled the formation of two new bonds, C(sp3)−N and C(sp3)−C(sp3), through the formation of a triplet nitrene intermediate, radical addition across the alkenes, and alkyl radical-driven HAT and radical substitution cascades. This process allows for the site-selective assembly of diverse N-heterocycles, including azetidines, pyrrolidines, piperidines, azepanes, and azocanes.
In 2023, the Shi group developed an environmentally benign photocatalytic approach for the generation of a tert-butoxy radical species, which can efficiently accomplish the C(sp3)-H abstraction process at the halogen site (Scheme 15) [48]. Consequently, the difunctionalization of aromatic alkenes by means of hydrogen transfer radical addition and radical polar and polar radical crossover processes results in the formation of a series of haloalkane products with a broad substrate scope and exceptional functional group tolerance. Moreover, the conversion of haloalkanes to alkanes was investigated, demonstrating that alkanes, haloalkenes, or heterocyclic compounds can be readily synthesized through simple manipulation. This reaction exhibits tolerance to a wide range of functional groups. However, the use of a large excess of peroxides at high temperatures still limits the practical utility of this reaction.
A photoredox-mediated 1,5-hydrogen atom transfer (HAT) strategy for remote β-C(sp3)-H alkylation of 1-(o-iodoaryl)alkan-1-ones was established in 2025 (Scheme 16) [49]. This catalytic platform enables the construction of sterically congested quaternary carbon centers through radical–polar crossover processes, converting readily accessible 1-(2-iodoaryl)ketones and N-arylacrylamides into structurally diverse β-alkylated arylalkanones under mild visible light conditions.
The optimized catalytic system, employing 4-DPAIPN as a phenoxazine-based photocatalyst with triethylamine and sodium acetate as cooperative mediators, demonstrated broad substrate generality across both coupling partners while maintaining exceptional functional group compatibility and precise site-selectivity. Mechanistic elucidation revealed a multi-stage radical cascade, initiated by the visible light excitation of 4-DPAIPN to its photoactive singlet state ([4-DPAIPN] •). Sequential single-electron transfer (SET) events drive the catalytic cycle, comprising oxidative quenching, in which photoexcited [4-DPAIPN] • oxidizes Et3N to generate a triethylaminium radical cation ([Et3N]⁺•) and the reduced photocatalyst ([4-DPAIPN]•); reductive activation, in which the [4-DPAIPN]• species undergoes photoinduced electron transfer (PET) to substrate 1a, inducing C–I bond homolysis and yielding the aryl radical intermediate C; radical translocation, in which a 1,5-HAT process converts radical C to the stabilized alkyl radical D; alkene addition/cyclization, in which radical D engages in stereoconvergent addition to acrylamide 2a, followed by intramolecular aryl cyclization to form the bicyclic radical F; and termination, in which the final SET between radical F and [4-DPAIPN]• produces the carbocation G, which undergoes base-mediated deprotonation to afford product 3aa while regenerating the ground-state photocatalyst.

2.3.3. C-X Functionalization-Enabled Alkene Dicarbofunctionalization

In addition to the existing difunctionalization pathways, we would like to develop new enantioselective functionalization pathways for olefins [50,51,52].
The radical-mediated reductive functionalization of aryl halides has been extensively researched and developed. However, there is an opportunity to explore the related radical-mediated intermolecular reductive 1,2-diarylation of alkenes, using aryl halides as aryl radical sources.
In 2023, Li and co-workers reported a new electrophilic catalytic intermolecular reductive 1,2-diarylation of alkenes (Scheme 17) [53], using aryl halides and cyanoaromatics, to produce polyarylated alkanes. The combination of synergistic cathodic reduction and visible light photoredox catalysis enables the use of various electron-rich and electron-deficient aryl halides with a range of alkenes and cyanoaromatics. This approach allows us to utilize the broad substrate scope, excellent functional group compatibility, and excellent selectivity of this reaction. Mechanistic investigations revealed that this reaction may proceed via a radical process that is initiated by the reductive generation of aryl radicals from aryl halides and terminated by radical–radical coupling with cyanoaromatic radical anions.
The incorporation of two aryl groups into the alkene scaffold is made possible using cooperative electrochemical and photoredox catalysis, representing an efficient route for the synthesis of highly useful polyarylated alkanes with a broad scope and excellent regioselectivity. The results of the mechanistic studies revealed the key pathways for the reductive formation of the aryl and cyanoaromatic radical anions. Most importantly, phenanthrene was employed as a mediator to improve the reaction and circumvent the need for a sacrificial anode, thus providing a starting point for the discovery of new, synthetically useful electrophotocatalytic reductive reactions involving radical ion intermediates.
In 2019, our group developed the first three-component dialkylation of alkenes with common alkanes and nucleophilic 1,3-dicarbonyl compounds via synergistic photoredox catalysis and iron oxidative catalysis for producing two functionalized 1,3-dicarbonyl compounds [54]. The reaction is initiated by the sp3 carbon-centered radical intermediate via the abstraction of a hydrogen from an alkane with DTBP and terminated by means of single-electron oxidation of the resulting alkyl radicals to generate the alkyl cations, followed by a reaction with nucleophiles. In 2024, a visible-light-driven photoredox dialkylation of styrenes with α-carbonyl alkyl bromides and pyridin-1-ium salts was successfully used for the synthesis of polysubstituted 1,4-dihydropyridines (Scheme 18) [55]. This reaction offers a new approach to the synthesis of polysubstituted 1,4-dihydropyridines. It enables the formation of two new C(sp3)–C(sp3) bonds in a single reaction step and employs pyridin-1-ium salts as functionalized alkylating reagents via dearomatization to directly trap the resulting alkyl radicals from the radical addition of alkenes and then terminate the alkene dialkylation.
The potential mechanism for this alkene dialkylation protocol is illustrated in the accompanying Scheme 15. The intermediate A is formed by means of a single-electron transfer between the α-carbonyl alkyl bromide and the [Ru(bpy)3]2+• intermediate. This is then irradiated with blue LED light to form the [Ru(bpy)3]2+. The addition of the alkyl radical intermediate A across the C=C bond of the alkene affords the new alkyl radical intermediate B, which is then added to the pyridin-1-ium salt to form the alkylated pyridin-1-ium radical cation intermediate C. Finally, single-electron oxidation and dealkylation of intermediate C affords the desired product.

2.3.4. C-X Functionalization-Enabled Alkene Carbo-Heterofunctionalization

In 2019, the Glorius group successfully completed a two-component vicinal carboimination of alkenes using energy transfer catalysis [56]. The oxime esters of alkyl carboxylic acids were employed as bifunctional reagents to facilitate the generation of both alkyl and iminyl radicals. Subsequently, the addition of the alkyl radical to an alkene resulted in the generation of a transient radical, which enabled selective radical–radical cross-coupling with the persistent iminyl radical. Moreover, this process offers a direct route to aliphatic primary amines and α-amino acids through hydrolysis.
In light of the triplet energies of oxime esters of aliphatic carboxylic acids, it was posited that a triplet–triplet energy transfer from an excited photosensitizer should be thermodynamically favored. It was also hypothesized that the excited oxime ester would participate in a concerted decarboxylation/fragmentation process, generating a C-centered alkyl radical and an N-centered diphenyliminyl radical pair (II) (Scheme 19).
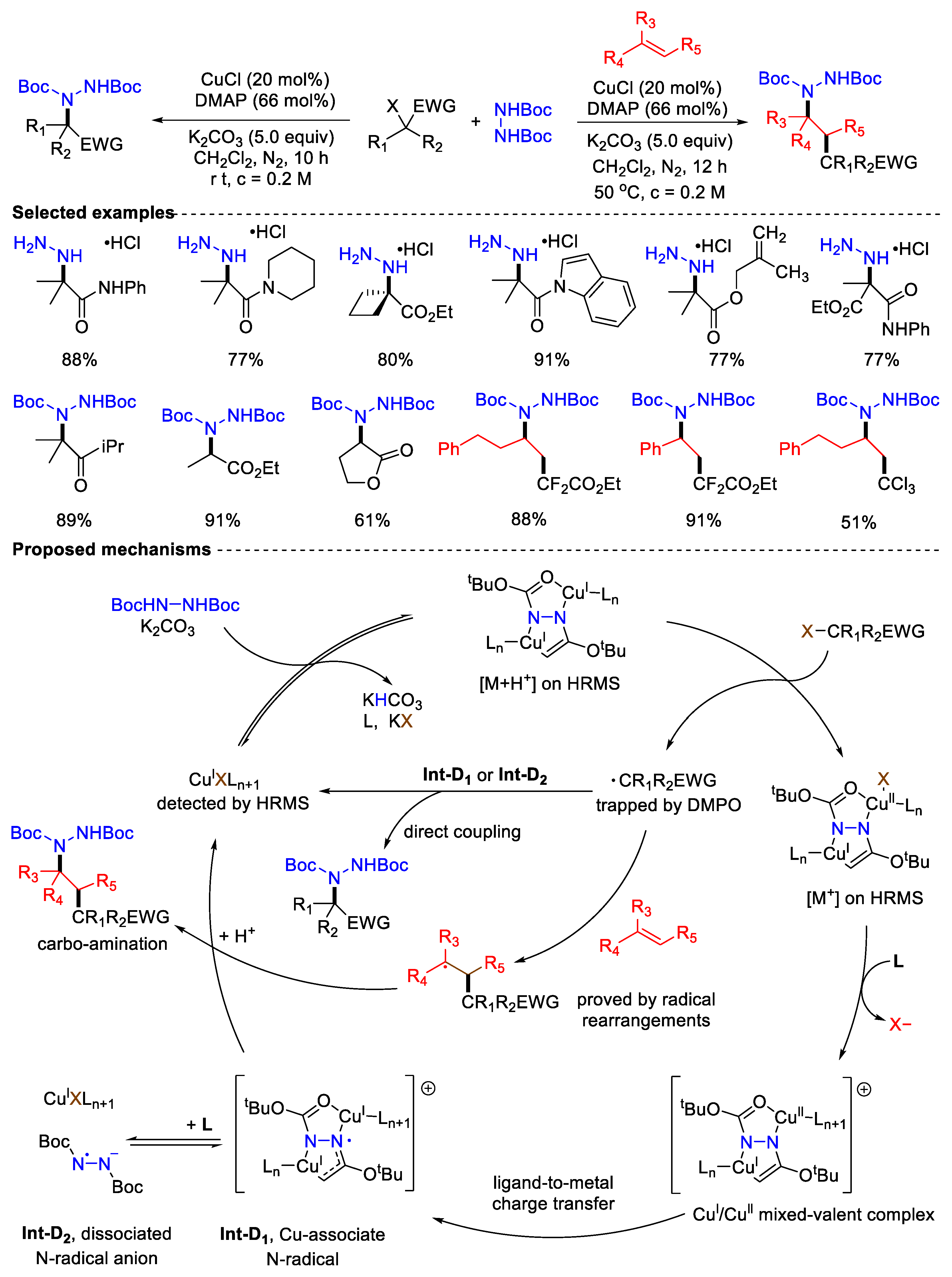
The selective delivery of an N-nucleophile to an alkyl radical presents a significant challenge in redox catalysis. In 2022, the Gong group introduced a new Cu-catalytic technique that facilitates electron transfer between an activated alkyl halide and a hydrazodiformate under mild thermal conditions (Scheme 20) [57]. The resulting two radical species can either act as reagents to convert unactivated alkenes into carboamination products or undergo cross-coupling to produce sterically hindered hydrazines, both of which are challenging with conventional methods. The study identified di-tertbutyl hydrazodiformate as a particularly effective amination agent in Cu-catalyzed reactions for forming C(sp3)−N bonds involving alkyl radical intermediates. This approach is suitable for both electron-rich and electron-deficient radicals.
Mechanistic investigations indicate that the hydrazodiformate forms a reducing dinuclear complex with Cu and the ligand. Upon one-electron oxidation, this complex transitions into an open-shell species predominantly featuring spin density on the nitrogen atoms. With the support of a ligand, this species can selectively introduce the hydrazine fragment onto an alkyl radical (before halide transfer), resulting in the formation of a C(sp3)−N bond. Furthermore, the products from this amination process can easily be deprotected to yield alkyl hydrazines, which can then be further transformed into primary amines or N-heterocycles.
The utilization of catalytic cascade reactions provides an effective method for the rapid transformation of complex molecular structures derived from relatively simple feedstocks. It is regrettable that carrying out cascade Heck-type reactions involving unactivated (tertiary) alkyl halides remains an open challenge due to the unavoidable occurrence of β-hydride elimination.
The Glorius group demonstrated that a practical and general palladium-catalyzed, radical three-component coupling process can, indeed, overcome the aforementioned limitations through an interrupted Heck/allylic substitution sequence mediated by visible light (Scheme 21) [58]. The selective 1,4-difunctionalization of unactivated 1,3-diene compounds, including butadiene, has been achieved by employing diverse commercially available nucleophiles, including nitrogen-, oxygen-, sulfur-, and carbon-based species, in conjunction with unfractionated alkyl bromides. The construction of sequential C(sp3)−C(sp3) and C−X (N, O, S) bonds has been achieved with efficiency and a broad scope, exhibiting high functional group tolerance. The versatility and adaptability of the strategy have been demonstrated in gram-scale reaction procedures and simplified synthesis routes to complex ethers, sulfones, and tertiary amines, many of which would be challenging to attain via established conventional methods.
The authors demonstrated that, with the assistance of a robust and mild cobalt hydride catalytic system, enantioselective C(sp3)–C(sp3) coupling with substrates that are devoid of common auxiliary group characteristics can be successfully achieved. Furthermore, an aliphatic C–F stereogenic center at the desired position in an alkyl chain can be rapidly introduced using readily available achiral fluoroalkenes and alkyl halides. A possible mechanism for this cobalt-catalyzed hydroalkylation was put forth. This proposed mechanism bears a resemblance to the radical chain mode that can be observed in nickel chemistry. The crucial stages of the process include the formation of the Co–H species and its insertion into the C=C double bond, the generation and recombination of a non-cage alkyl radical, and, finally, the reductive elimination of a dialkyl Co(III) intermediate.
The C–F functionalization of readily accessible fluorinated molecules represents a particularly promising and powerful methodology for building diverse new fluorinated structures. It avoids the use of external fluorine source reagents and provides reliable tactics for further modification and environmentally persistent fluorinated molecule degradation [59,60,61].
Direct C(sp3)–F functionalization represents an attractive technology for further modification, enabling the construction of diverse value-added fluorinated structures and the degradation of environmentally persistent fluorinated molecules. However, despite the potential of direct C(sp3)–F activation of alkenyl-CF3 via single-electron transfer (SET) as a straightforward tool for cleavage of the C–F bond to form a carbon-centered radical, this remains an elusive goal. In 2024, we presented a new method for selective C(sp3)–F activation, enabling [3 + 2 + 1] annulation of α-polyfluoromethyl alkenes with arylisocyanates for producing monofluorinated 3,4-dihydropyrimidin-2(1H)-ones (Scheme 22) [62]. The EPR analysis and DFT calculations revealed that this method employs an SET strategy to activate C(sp3)–F bonds, enabling the formation of polyfluoromethyl radicals.
The intramolecular cyclization of intermediate G via the nitrogen-centered radical that is added across the alkene moiety generates the cyclic carbon-centered radical intermediate H by overcoming a moderate barrier of 9.5 kcal mol−1. Finally, the SET and defluorination of intermediate H with intermediate A and a sodium cation results in the desired product.
The entire process is highly exergonic, with a free energy release of 76.5 kcal mol−1. The unsaturated moiety (such as alkynyl and alkenyl) in the α position plays a pivotal role in stabilizing and activating the radical intermediates through its electron and conjugative effect. This strategy employs DMF as the SET reagent, with the assistance of Na2CO3, to activate the C(sp3)–F bond of 2-tri-fluoromethyl-1,3-enynes and form difluoromethyl C(sp3)-centered radicals. This is followed by a [3 + 2 + 1] annulation reaction with isocyanates under transition-metal- and photocatalyst-free conditions. This enables the efficient, modular synthesis of monofluorinated 3,4-dihydropyrimidin-2(1H)-ones and the late-stage derivatization of complex natural products and drugs. This method offers a straightforward operational approach, excellent functional group compatibility, and precise selectivity, paving the way for a new C–F activation strategy in the development of novel fluoroalkyl radical chemistry.

3. Conclusions

In this review, we summarize the latest progress in carbon-centered radical-initiated olefin transformation chemistry, such as alkene Heck-type alkylation, alkene hydroalkylation, and alkene difunctionalization reactions. This review discusses a variety of examples and their corresponding possible mechanisms through which to understand radical chemistry. The chemoselectivity of alkene transformation chemistry toward alkene Heck-type alkylation, alkene hydroalkylation, and alkene difunctionalization relies on radical strategies by controlling the radical reactivity and reaction conditions, such as photoredox catalysis, electrochemical catalysis, transition metal catalysis, thermal chemistry, and/or oxidation (such as Lewis acids and oxidants). In addition, we describe two enantioselective C(sp3)–C(sp3) coupling reactions via alkene hydroalkylation, which shows the bright prospects of olefin transformation chemistry, an underdeveloped area that needs to be developed in the future.
Despite the impressive progress that has been made in the field of carbon-centered radical-initiated olefin transformation in recent years, these transformations, including alkene Heck-type alkylation, alkene hydroalkylation, and alkene difunctionalization reactions, remain scientific challenges and opportunities. Generally, carbon-centered radicals are generated from the cleavage of C-H bonds and C-X (X = heteroatom) through SET using oxidants, photocatalysis, or electrocatalysis. However, the cleavage of C-C bonds to generate highly reactive carbon-centered radicals remains rare. C-C bond cleavage might form two identical or different carbon-centered radicals, thereby offering opportunities to create new radical reactions and inlay new functional groups as the terminating reagents. To date, the vast majority of these transformations have been focused on electron-deficient alkenes and arylalkenes, leading to the need to develop conceptually novel radical strategies for expanding these processes to a wide range of alkenes, especially unactivated alkylalkenes and functionalized alkenes, as well as other unsaturated hydrocarbons. Moreover, controlling selectivity, especially regioselectivity and enantioselectivity, remains challenging, which prompts the development of chiral catalytic systems for asymmetric alkene Heck-type alkylation, alkene hydroalkylation, and alkene difunctionalization reactions. Thus, the development of new radical strategies that involve photo-/electrocatalytic technologies combined with oxidants, organic catalysis, and/or transition metal catalysis to form highly reactive carbon-centered radicals from the C-H bonds, C-X bonds, and C-C bonds via SET, EnT, and/or HAT processes to extend the scope of substrates (such as a wide range of alkenes and their derivatives, other unsaturated hydrocarbons, and broad terminating reagents) remains required and desirable. We believe that this review brings unique insights into the field of carbon-centered radical-initiated olefin transformation and thus increases interest in discovering new efficient radical tactics for alkene transformations and other unsaturated hydrocarbons (such as alkynes, allenes, and enynes) radical transformations.

Author Contributions

Conceptualization, H.R., M.H. and J.L.; writing—original draft preparation, H.R. and M.H.; writing—review and editing, M.H. and J.L.; supervision, M.H. and J.L.; project administration, M.H. and J.L.; funding acquisition, J.L. All authors have read and agreed to the published version of the manuscript.

Funding

This research was funded by the National Natural Science Foundation of China (No. 22271245 and 22371156), the Jiangxi Province Science and Technology Project (No. 20224BAB203008), Taishan Scholar Program of Shandong Province of China (No. tsqn202306221), Natural Science Foundation of Shandong Province of China (No. 2023HWYQ-092), and the Open Research Fund of the School of Chemistry and Chemical Engineering, Henan Normal University (No. 2021ZD01).

Data Availability Statement

Data will be made available on request.

Conflicts of Interest

The authors declare no conflicts of interest.

References

  1. Zhang, F.-H.; Guo, X.; Zeng, X.; Wang, Z. Asymmetric 1,4-Functionalization of 1,3-Enynes via Dual Photoredox and Chromium Catalysis. Nat. Commun. 2022, 13, 5036. [Google Scholar] [CrossRef] [PubMed]
  2. Chen, Z.-M.; Zhang, X.-M.; Tu, Y.-Q. Radical Aryl Migration Reactions and Synthetic Applications. Chem. Soc. Rev. 2015, 44, 5220–5245. [Google Scholar] [CrossRef] [PubMed]
  3. Wu, X.; Ma, Z.; Feng, T.; Zhu, C. Radical-Mediated Rearrangements: Past, Present, and Future. Chem. Soc. Rev. 2021, 50, 11577–11613. [Google Scholar] [CrossRef] [PubMed]
  4. Wu, X.; Zhu, C. Radical-Mediated Remote Functional Group Migration. Acc. Chem. Res. 2020, 53, 1620–1636. [Google Scholar] [CrossRef]
  5. Beckwith, A.L.; Crich, D.; Duggan, P.J.; Yao, Q. Chemistry of β-(Acyloxy) Alkyl and β-(Phosphatoxy) Alkyl Radicals and Related Species: Radical and Radical Ionic Migrations and Fragmentations of Carbon−Oxygen Bonds. Chem. Rev. 1997, 97, 3273–3312. [Google Scholar] [CrossRef]
  6. Tang, X.; Studer, A. Alkene 1, 2-difunctionalization by Radical Alkenyl Migration. Angew. Chem. Int. Ed. 2018, 57, 814–817. [Google Scholar] [CrossRef]
  7. Li, L.; Li, Z.-L.; Gu, Q.-S.; Wang, N.; Liu, X.-Y. A Remote C–C Bond Cleavage–Enabled Skeletal Reorganization: Access to Medium-/Large-Sized Cyclic Alkenes. Sci. Adv. 2017, 3, e1701487. [Google Scholar] [CrossRef]
  8. Kyne, S.H.; Lefèvre, G.; Ollivier, C.; Petit, M.; Cladera, V.-A.R.; Fensterbank, L. Iron and cobalt catalysis: New perspectives in synthetic radical chemistry. Chem. Soc. Rev. 2020, 49, 8501. [Google Scholar] [CrossRef]
  9. Liu, Y.; You, T.; Wang, H.-X.; Tang, Z.; Zhou, C.-Y.; Chen, C.-M. Iron- and cobalt-catalyzed C(sp3)–H bond functionalization reactions and their application in organic synth esis. Chem. Soc. Rev. 2020, 49, 5310. [Google Scholar] [CrossRef]
  10. Lu, H.; Lang, K.; Jiang, H.; Wojtas, L.; Zhang, X.P. Intramolecular 1,5-C(sp3)–H Radical Amination via Co(II)-Based Metalloradical Catalysis for Five-Membered Cyclic Sulfamides. Chem. Sci. 2016, 7, 6934–6939. [Google Scholar] [CrossRef]
  11. Nobile, E.; Castanheiro, T.; Besset, T. Radical-Promoted Distal C−H Functionalization of C(sp3) Centers with Fluorinated Moieties. Angew. Chem. Int. Ed. 2021, 60, 12170–12191. [Google Scholar] [CrossRef] [PubMed]
  12. Jiang, H.; Studer, A. Chemistry with N-Centered Radicals Generated by Single-Electron Transfer-Oxidation Using Photoredox Catalysis. CCS Chem. 2019, 1, 38–49. [Google Scholar] [CrossRef]
  13. Stateman, L.M.; Nakafuku, K.M.; Nagib, D.A. Remote C–H Functionalization via Selective Hydrogen Atom Transfer. Synthesis 2018, 50, 1569–1586. [Google Scholar] [PubMed]
  14. Yang, C.-J.; Zhang, C.; Gu, Q.-S.; Fang, J.-H.; Su, X.-L.; Ye, L.; Sun, Y.; Tian, Y.; Li, Z.-L.; Liu, X.-Y. Cu-Catalysed Intramolecular Radical Enantioconvergent Tertiary β-C(sp3)–H Amination of Racemic Ketones. Nat. Catal. 2020, 3, 539–546. [Google Scholar] [CrossRef]
  15. Zhong, L.-J.; Lv, G.-F.; Ouyang, X.-H.; Li, Y.; Li, J.-H. Copper-Catalyzed Fluoroamide-Directed Remote Benzylic C–H Olefination: Facile Access to Internal Alkenes. Org. Chem. Front. 2022, 9, 4309–4315. [Google Scholar] [CrossRef]
  16. Liu, J.; Hong, Y.; Liu, Y.-L.; Tan, J.-Y.; Liu, H.-M.; Dai, G.-L.; Chen, S.-L.; Liu, T.; Li, J.-H.; Tang, S. Nickel-Catalyzed Radical Heck-Type C(sp3)–C(sp2) Coupling Cascades Enabled by Bromoalkane-Directed 1,4-Aryl Shift: Access to Olefinated Arylalanines. Org. Lett. 2022, 24, 8192–8196. [Google Scholar] [CrossRef]
  17. Li, J.; Liu, Z.; Wu, S.; Chen, Y. Acyl Radical Smiles Rearrangement To Construct Hydroxybenzophenones by Photoredox Catalysis. Org. Lett. 2019, 21, 2077–2080. [Google Scholar] [CrossRef]
  18. Becke, A.D. A New Mixing of Hartree–Fock and Local Density-functional Theories. J. Chem. Phys. 1993, 98, 1372–1377. [Google Scholar] [CrossRef]
  19. Chen, W.; Liu, Z.; Tian, J.; Li, J.; Ma, J.; Cheng, X.; Li, G. Building Congested Ketone: Substituted Hantzsch Ester and Nitrile as Alkylation Reagents in Photoredox Catalysis. J. Am. Chem. Soc. 2016, 138, 12312–12315. [Google Scholar] [CrossRef]
  20. Phelan, J.P.; Lang, S.B.; Sim, J.; Berritt, S.; Peat, A.J.; Billings, K.; Fan, L.; Molander, G.A. Open-Air Alkylation Reactions in Photoredox-Catalyzed DNA-Encoded Library Synthesis. J. Am. Chem. Soc. 2019, 141, 3723–3732. [Google Scholar] [CrossRef]
  21. Chen, X.-Y.; Li, Z.-H.; Liu, J.-Q.; Wang, X.-S. Copper-Catalyzed Synthesis of Dibenzo [b, f] Imidazo [1, 2-d][1, 4] Oxazepine Derivatives via a Double Ullmann Coupling Reaction. Synthesis 2019, 51, 1662–1668. [Google Scholar]
  22. Zhao, R.; Chang, D.; Shi, L. Recent Advances in Cyclic Diacyl Peroxides: Reactivity and Selectivity Enhancement Brought by the Cyclic Structure. Synthesis 2017, 49, 3357–3365. [Google Scholar] [CrossRef]
  23. Zhang, Z.; Rogers, C.R.; Weiss, E.A. Energy Transfer from CdS QDs to a Photogenerated Pd Complex Enhances the Rate and Selectivity of a Pd-Photocatalyzed Heck Reaction. J. Am. Chem. Soc. 2020, 142, 495–501. [Google Scholar] [CrossRef]
  24. Cao, H.; Kuang, Y.; Shi, X.; Wong, K.L.; Tan, B.B.; Kwan, J.M.C.; Liu, X.; Wu, J. Photoinduced Site-Selective Alkenylation of Alkanes and Aldehydes with Aryl Alkenes. Nat. Commun. 2020, 11, 1956. [Google Scholar] [CrossRef]
  25. Zhang, Z.; Tang, Z.-L.; Ouyang, X.-H.; Song, R.-J.; Li, J.-H. Copper-catalyzed oxidative decarboxylative alkylation of cinnamic acids with 4-alkyl-1,4-dihydropyridines. Chem. Commun. 2020, 56, 14055–14058. [Google Scholar] [CrossRef] [PubMed]
  26. Bai, P.; Zhang, X.; Su, Q.; Xiao, T.; Jiang, Y.; Zhang, G.; Xie, Y.; Qin, G. Cu-Catalyzed Formal Addition of Aliphatic C(sp3)−H Bonds to Alkenes via Phenyl Radical Involved Intermolecular HAT. Adv. Synth. Catal. 2024, 19, 4042–4048. [Google Scholar] [CrossRef]
  27. Zeng, L.; Zhang, Y.; Hu, M.; He, D.-L.; Ouyang, X.-H.; Li, J.-H. Divergent Synthesis of (E)- and (Z)-Alkenones via Photoredox C(sp3)−H Alkenylation−Dehydrogenation of o-Iodoarylalkanols with Alkynes. Org. Lett. 2024, 26, 10096–10101. [Google Scholar] [CrossRef]
  28. Li, Y.; Nie, W.; Chang, Z.; Wang, J.-W.; Lu, X.; Fu, Y. Cobalt-Catalysed Enantioselective C(sp3)–C(sp3) Coupling. Nat. Catal. 2021, 4, 901–991. [Google Scholar] [CrossRef]
  29. Chen, F.; Zhang, Q.; Li, Y.; Yu, Z.-X.; Chu, L. Selective Hydrofunctionalization of Alkenyl Fluorides Enabled by Nickel-Catalyzed Hydrogen Atoms and Group Transfer: Reaction Development and Mechanistic Study. J. Am. Chem. Soc. 2024, 146, 11418–11431. [Google Scholar] [CrossRef]
  30. Zhong, L.-J.; Xiong, Z.-Q.; Ouyang, X.-H.; Li, Y.; Song, R.-J.; Sun, Q.; Lu, X.; Li, J.-H. Intermolecular 1,2-Difunctionalization of Alkenes Enabled by Fluoroamide-Directed Remote Benzyl C(sp3)–H Functionalization. J. Am. Chem. Soc. 2022, 144, 339–348. [Google Scholar] [CrossRef]
  31. Chen, X.; Wang, Q.; Zhang, Z.; Niu, Z.-J.; Shi, W.-Y.; Gong, X.-P.; Jiao, R.-Q.; Gao, M.-H.; Liu, X.-Y.; Liang, Y.-M. Copper-Catalyzed Hydrogen Atom Transfer and Aryl Migration Strategy for the Arylalkylation of Activated Alkenes. Org. Lett. 2022, 24, 4338–4343. [Google Scholar] [CrossRef] [PubMed]
  32. Rui, R.; Wang, B.; Xu, X.-J.; Zhang, Z.; Chen, X.; Liu, X.-Y. Cu-Catalyzed Alkylarylation of Alkenes via N-Directed Remote C(sp3)–H Functionalization. Org. Chem. Front. 2024, 11, 1484–1489. [Google Scholar] [CrossRef]
  33. Qin, J.-H.; Luo, M.-J.; An, D.-L.; Li, J.-H. Electrochemical 1,2-Diarylation of Alkenes Enabled by Direct Dual C–H Functionalizations of Electron-Rich Aromatic Hydrocarbons. Angew. Chem. Int. Ed. 2021, 60, 1861–1868. [Google Scholar] [CrossRef] [PubMed]
  34. Shi, J.-F.; Sun, Q.-Y.; Gao, Y.-L.; Liang, D.-Q. Self-photocatalysis with multiple activities: Divergent synthesis of benzo[b]fluorenones and benzo[b]fluorenols from enone-ynes. Org. Chem. Front. 2025, 12, 2352–2361. [Google Scholar] [CrossRef]
  35. Liu, Y.; Zhang, J.-L.; Song, R.-J.; Li, J.-H. 1, 2-Alkylarylation of Activated Alkenes with Dual C–H Bonds of Arenes and Alkyl Halides toward Polyhalo-Substituted Oxindoles. Org. Chem. Front. 2014, 1, 1289–1294. [Google Scholar] [CrossRef]
  36. Lu, M.-Z.; Loh, T.-P. Iron-Catalyzed Cascade Carbochloromethylation of Activated Alkenes: Highly Efficient Access to Chloro-Containing Oxindoles. Org. Lett. 2014, 16, 4698–4701. [Google Scholar] [CrossRef]
  37. Liu, Y.-L.; Yin, X.-P.; Zhou, J. Internally Reuse Waste: Catalytic Asymmetric One-Pot Strecker Reaction of Fluoroalkyl Ketones, Anilines and TMSCN by Sequential Catalysis. Chin. J. Chem. 2018, 36, 321–328. [Google Scholar] [CrossRef]
  38. Li, X.; Xu, J.; Gao, Y.; Fang, H.; Tang, G.; Zhao, Y. Cascade Arylalkylation of Activated Alkenes: Synthesis of Chloro-and Cyano-Containing Oxindoles. J. Org. Chem. 2015, 80, 2621–2626. [Google Scholar] [CrossRef]
  39. Pan, C.; Gao, D.; Yang, Z.; Wu, C.; Yu, J.-T. Metal-Free Radical Cascade Chloromethylation of Unactivated Alkenes: Synthesis of Polychloro-Substituted Indolines. Org. Biomol. Chem. 2018, 16, 5752–5755. [Google Scholar] [CrossRef]
  40. Liu, Y.; Zhang, J.-L.; Song, R.-J.; Li, J.-H. Visible-Light-Facilitated 5-Exo-Trig Cyclization of 1,6-Dienes with Alkyl Chlorides: Selective Scission of the C(sp3)–H Bond in Alkyl Chlorides. Eur. J. Org. Chem. 2014, 2014, 1177–1181. [Google Scholar] [CrossRef]
  41. Liu, Y.; Song, R.-J.; Luo, S.; Li, J.-H. Visible-Light-Promoted Tandem Annulation of N-(o-Ethynylaryl) Acrylamides with CH2Cl2. Org. Lett. 2018, 20, 212–215. [Google Scholar] [CrossRef] [PubMed]
  42. Xu, L.; Chen, J.; Chu, L. Solvent-Tuned Chemoselective Carboazidation and Diazidation of Alkenes via Iron Catalysis. Org. Chem. Front. 2019, 6, 512–516. [Google Scholar] [CrossRef]
  43. Li, W.-Y.; Wu, C.-S.; Wang, Z.; Luo, Y. Fe-Catalyzed Three-Component Carboazidation of Alkenes with Alkanes and Trimethylsilyl Azide. Chem. Comm. 2018, 54, 11013–11016. [Google Scholar] [CrossRef] [PubMed]
  44. Huang, J.; Liang, Y.-Y.; Ouyang, X.-H.; Xiao, Y.-T.; Qin, J.-H.; Song, R.-J.; Li, J.-H. Three-Component Photoredox 1,2-Alkylamination of Styrenes with Alkanes and Nitrogen Nucleophiles via C(sp3)–H Bond Cleavage. Org. Chem. Front. 2021, 8, 7009–7014. [Google Scholar] [CrossRef]
  45. Liang, W.; Jiang, K.; Du, F.; Yang, J.; Shuai, L.; Ouyang, Q.; Chen, Y.-C.; Wei, Y. Iron-Catalyzed, Iminyl Radical-Triggered Cascade 1, 5-Hydrogen Atom Transfer/(5+ 2) or (5+ 1) Annulation: Oxime as a Five-Atom Assembling Unit. Angew. Chem. Int. Ed. 2020, 59, 19222–19228. [Google Scholar] [CrossRef]
  46. Jiang, K.; Li, S.-J.; Liu, Q.-P.; Yu, N.; Li, Y.-L.; Zhou, Y.-Q.; He, K.-C.; Lin, J.; Zheng, T.-Y.; Lang, J. Iminyl Radical-Triggered Relay Annulation for the Construction of Bridged Aza-Tetracycles Bearing Four Contiguous Stereogenic Centers. Chem. Sci. 2022, 13, 7283–7288. [Google Scholar] [CrossRef] [PubMed]
  47. Yang, Y.-Z.; Xue, Q.; Xiong, Z.-Q.; Li, Y.; Ouyang, X.-H.; Hu, M.; Li, J.-H. Divergent [2 + n] Heteroannulation of β-CF3-1,3-Enynes with Alkyl Azides via Hydrogen Atom Transfer and Radical Substitution. Org. Lett. 2024, 26, 889–894. [Google Scholar] [CrossRef]
  48. Hao, T.; Shen, J.; Wei, Y.; Shi, M. Alkene Difunctionalization Enabled by Photocatalytic Hydrogen Atom Transfer from Haloalkane α-C(sp3)–H Bonds. Chem. Catal. 2023, 3, 100807. [Google Scholar] [CrossRef]
  49. Lu, Z.-R.; Zeng, L.; Wu, S.; Hu, M.; Li, J.-H. Photoredox Site-Selective C(sp3)−H Alkylation of 1-(o-Iodoaryl) alkan-1-ones with Activated Alkenes Enabled by Hydrogen Atom Transfer. Org. Lett. 2025, 27, 2970–2974. [Google Scholar] [CrossRef]
  50. Tong, S.; Limouni, A.; Wang, Q.; Wang, M.-X.; Zhu, J. Catalytic Enantioselective Double Carbopalladation/C−H Functionalization with Statistical Amplification of Product Enantiopurity: A Convertible Linker Approach. Angew. Chem. Int. Ed. 2017, 129, 14380–14384. [Google Scholar] [CrossRef]
  51. Ping, Y.; Wang, K.; Pan, Q.; Ding, Z.; Zhou, Z.; Guo, Y.; Kong, W. Ni-Catalyzed Regio-and Enantioselective Domino Reductive Cyclization: One-Pot Synthesis of 2, 3-Fused Cyclopentannulated Indolines. ACS Catal. 2019, 9, 7335–7342. [Google Scholar] [CrossRef]
  52. Li, Y.; Ding, Z.; Lei, A.; Kong, W. Ni-Catalyzed Enantioselective Reductive Aryl-Alkenylation of Alkenes: Application to the Synthesis of (+)-Physovenine and (+)-Physostigmine. Org. Chem. Front. 2019, 6, 3305–3309. [Google Scholar] [CrossRef]
  53. Zeng, L.; Qin, J.-H.; Lv, G.-F.; Hu, M.; Sun, Q.; Ouyang, X.-H.; He, D.-L.; Li, J.-H. Electrophotocatalytic Reductive 1, 2-Diarylation of Alkenes with Aryl Halides and Cyanoaromatics. Chin. J. Chem. 2023, 41, 1921–1930. [Google Scholar] [CrossRef]
  54. Ouyang, X.-H.; Li, Y.; Song, R.-J.; Hu, M.; Luo, S.; Li, J.-H. Intermolecular Dialkylation of Alkenes with Two Distinct C (sp3)—H Bonds Enabled by Synergistic Photoredox Catalysis and Iron Catalysis. Sci. Adv. 2019, 5, eaav9839. [Google Scholar] [CrossRef] [PubMed]
  55. Xu, C.-H.; Lv, G.-F.; Qin, J.-H.; Xu, X.-H.; Li, J.-H. Visible-Light-Induced Photoredox 1,2-Dialkylation of Styrenes with α-Carbonyl Alkyl Bromides and Pyridin-1-Ium Salts. J. Org. Chem. 2024, 89, 281–290. [Google Scholar] [CrossRef]
  56. Tuhin, P.; Peter, B.; Felix, S.; Frank, G. Photosensitized Intermolecular Carboimination of Alkenes through the Persistent Radical Effect. Angew. Chem. Int. Ed. 2020, 59, 3172–3177. [Google Scholar]
  57. Lu, D.; Li, Y.; Wang, P.; Wang, Z.; Yang, D.; Gong, Y. Cu-Catalyzed C(sp3)–N Coupling and Alkene Carboamination Enabled by Ligand-Promoted Selective Hydrazine Transfer to Alkyl Radicals. ACS Catal. 2022, 12, 3269–3278. [Google Scholar] [CrossRef]
  58. Huang, H.-M.; Bellotti, P.; Pflüger, P.M.; Schwarz, J.L.; Heidrich, B.; Glorius, F. Three-Component, Interrupted Radical Heck/Allylic Substitution Cascade Involving Unactivated Alkyl Bromides. J. Am. Chem. Soc. 2020, 142, 10173–10183. [Google Scholar] [CrossRef]
  59. Fujita, T.; Fuchibe, K.; Ichikawa, J. Transition-Metal-Mediated and-Catalyzed C− F Bond Activation by Fluorine Elimination. Angew. Chem. Int. Ed. 2019, 58, 390–402. [Google Scholar] [CrossRef]
  60. Ai, H.-J.; Ma, X.; Song, Q.; Wu, X.-F. C-F Bond Activation under Transition-Metal-Free Conditions. Sci. China Chem. 2021, 64, 1630–1659. [Google Scholar] [CrossRef]
  61. Ma, X.; Song, Q. Recent Progress on Selective Deconstructive Modes of Halodifluoromethyl and Trifluoromethyl-Containing Reagents. Chem. Soc. Rev. 2020, 49, 9197–9219. [Google Scholar] [CrossRef] [PubMed]
  62. Yang, Y.-Z.; Xue, Q.; Sun, Q.; Li, Y.; Hu, M.; Xu, C.-H.; Li, J.-H. Radical-Mediated [3 + 2 + 1] Annulation of α-Polyfluoromethyl Alkenes with Arylisocyanates Enabled by C(sp3)–F Activation. Org. Chem. Front. 2024, 11, 1305–1313. [Google Scholar] [CrossRef]
Figure 1. Carbon-centered radical-initiated olefin transformation chemistry.
Figure 1. Carbon-centered radical-initiated olefin transformation chemistry.
Catalysts 15 00461 g001
Scheme 1. Fluoroamide-directed alkene Heck-type alkylation and possible mechanisms.
Scheme 1. Fluoroamide-directed alkene Heck-type alkylation and possible mechanisms.
Catalysts 15 00461 sch001
Scheme 2. Nickel-catalyzed radical Heck-type C(sp3)-C(sp2) coupling.
Scheme 2. Nickel-catalyzed radical Heck-type C(sp3)-C(sp2) coupling.
Catalysts 15 00461 sch002
Scheme 3. Oxidative decarboxylative alkylation of 4-alkyl-1,4-dihydropyridines.
Scheme 3. Oxidative decarboxylative alkylation of 4-alkyl-1,4-dihydropyridines.
Catalysts 15 00461 sch003
Scheme 4. Cu-catalyzed formal addition of aliphatic C(sp3)-H bonds to alkenes via phenyl radical involved intermolecular HAT.
Scheme 4. Cu-catalyzed formal addition of aliphatic C(sp3)-H bonds to alkenes via phenyl radical involved intermolecular HAT.
Catalysts 15 00461 sch004
Scheme 5. Photoredox C(sp3)-H alkenylation-dehydrogenation with alkynes via XAT and dual HAT.
Scheme 5. Photoredox C(sp3)-H alkenylation-dehydrogenation with alkynes via XAT and dual HAT.
Catalysts 15 00461 sch005
Scheme 6. Cobalt-catalyzed enantioselective C(sp3)-C(sp3) coupling.
Scheme 6. Cobalt-catalyzed enantioselective C(sp3)-C(sp3) coupling.
Catalysts 15 00461 sch006
Scheme 7. Enantioselective hydrofunctionalization of alkenyl fliuorides via hydrogen atom transfer or group transfer.
Scheme 7. Enantioselective hydrofunctionalization of alkenyl fliuorides via hydrogen atom transfer or group transfer.
Catalysts 15 00461 sch007
Scheme 8. Redox-neutral alkene difunctionalization via benzylic C-H functionalization.
Scheme 8. Redox-neutral alkene difunctionalization via benzylic C-H functionalization.
Catalysts 15 00461 sch008
Scheme 9. Arylalkylation initiated by copper-catalyzed remote C(sp3)-H bonds activation.
Scheme 9. Arylalkylation initiated by copper-catalyzed remote C(sp3)-H bonds activation.
Catalysts 15 00461 sch009
Scheme 10. Copper-catalyzed alkylarylation of alkenes enabled by 1,5-HAT.
Scheme 10. Copper-catalyzed alkylarylation of alkenes enabled by 1,5-HAT.
Catalysts 15 00461 sch010
Scheme 11. Difunctionalization with electron-rich aromatic hydrocarbons.
Scheme 11. Difunctionalization with electron-rich aromatic hydrocarbons.
Catalysts 15 00461 sch011
Scheme 12. Self-photocatalyzed divergent synthesis.
Scheme 12. Self-photocatalyzed divergent synthesis.
Catalysts 15 00461 sch012
Scheme 13. Alkyiamination of alkenes with alkanes via C-H bond cleavage.
Scheme 13. Alkyiamination of alkenes with alkanes via C-H bond cleavage.
Catalysts 15 00461 sch013
Scheme 14. Divergent [2 + n] heteroannulation.
Scheme 14. Divergent [2 + n] heteroannulation.
Catalysts 15 00461 sch014
Scheme 15. Alkene difunctionalization hydrogen atom transfer from haloalkane α-C(sp3)–H bonds.
Scheme 15. Alkene difunctionalization hydrogen atom transfer from haloalkane α-C(sp3)–H bonds.
Catalysts 15 00461 sch015
Scheme 16. Aryl radical-mediated β-C-H alkylation of carbonyls.
Scheme 16. Aryl radical-mediated β-C-H alkylation of carbonyls.
Catalysts 15 00461 sch016
Scheme 17. Alkene diarylation initiated by the reductive generation of aryl radicals and terminated by radicals.
Scheme 17. Alkene diarylation initiated by the reductive generation of aryl radicals and terminated by radicals.
Catalysts 15 00461 sch017
Scheme 18. Radical-mediated dialkylation of alkenes.
Scheme 18. Radical-mediated dialkylation of alkenes.
Catalysts 15 00461 sch018
Scheme 19. Oxime esters as difunctional reagents.
Scheme 19. Oxime esters as difunctional reagents.
Catalysts 15 00461 sch019
Scheme 20. Cu-catalyzed C(sp3)-N bond formation with alkyl radical intermediates.
Scheme 20. Cu-catalyzed C(sp3)-N bond formation with alkyl radical intermediates.
Catalysts 15 00461 sch020
Scheme 21. Radical three-component coupling: an interrupted Heck/allylic substitution cascade involving unactivated alkyl halides.
Scheme 21. Radical three-component coupling: an interrupted Heck/allylic substitution cascade involving unactivated alkyl halides.
Catalysts 15 00461 sch021
Scheme 22. Radical-mediated [3 + 2 + 1] annulation of polyflfluoromethyl alkenes with arylisocyanates enabled by C(sp3)-F activation.
Scheme 22. Radical-mediated [3 + 2 + 1] annulation of polyflfluoromethyl alkenes with arylisocyanates enabled by C(sp3)-F activation.
Catalysts 15 00461 sch022
Disclaimer/Publisher’s Note: The statements, opinions and data contained in all publications are solely those of the individual author(s) and contributor(s) and not of MDPI and/or the editor(s). MDPI and/or the editor(s) disclaim responsibility for any injury to people or property resulting from any ideas, methods, instructions or products referred to in the content.

Share and Cite

MDPI and ACS Style

Ren, H.; Hu, M.; Li, J. Recent Advances in Carbon-Centered Radical-Initiated Olefin Transformation Chemistry. Catalysts 2025, 15, 461. https://doi.org/10.3390/catal15050461

AMA Style

Ren H, Hu M, Li J. Recent Advances in Carbon-Centered Radical-Initiated Olefin Transformation Chemistry. Catalysts. 2025; 15(5):461. https://doi.org/10.3390/catal15050461

Chicago/Turabian Style

Ren, Huazhan, Ming Hu, and Jinheng Li. 2025. "Recent Advances in Carbon-Centered Radical-Initiated Olefin Transformation Chemistry" Catalysts 15, no. 5: 461. https://doi.org/10.3390/catal15050461

APA Style

Ren, H., Hu, M., & Li, J. (2025). Recent Advances in Carbon-Centered Radical-Initiated Olefin Transformation Chemistry. Catalysts, 15(5), 461. https://doi.org/10.3390/catal15050461

Note that from the first issue of 2016, this journal uses article numbers instead of page numbers. See further details here.

Article Metrics

Back to TopTop