Precision Size Control of Supported Pd and Pt Nanoparticles via Controlled Electroless Deposition
Abstract
1. Introduction
2. Results and Discussion
2.1. Pt/C Catalysts
2.1.1. Kinetics of Controlled Electroless Deposition of Pt
2.1.2. Characterization of Pt/C Catalysts
2.2. Pd/SiO2 Catalysts
2.2.1. Kinetics of Controlled Electroless Deposition of Pd
| 2[Pd(NH3)4]2+ + 4e− → 2Pd⁰ + 8NH3 | E⁰ = 0.95 V |
| N2H4 + 4OH− → N2 + 4H2O + 4e− | E⁰ = 1.12 V |
| 2[Pd(NH3)4]2+ + N2H4 + 4OH− → 2Pd⁰ + 8NH3 + N2 + 4H2O | E⁰ = 2.07 V |
2.2.2. Characterization of Pd/A150 Made with ED Using N2H4/EN/[Pd(NH3)4]2+ = 5/1/1
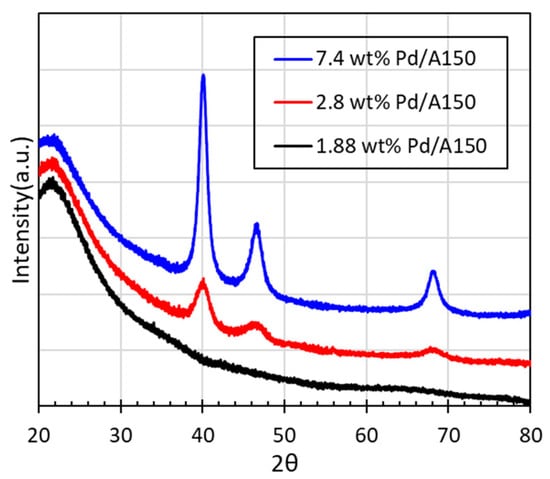
2.2.3. Characterization of Pd/A150 Made with ED Using N2H4/EN/[Pd(NH3)4]2+ = 5/2/1
3. Materials and Methods
3.1. Materials
3.2. Pt/C Catalysts Synthesis
3.2.1. Pt/C Seed Catalyst Prepared via SEA
3.2.2. Pt/C Catalysts Prepared via ED
3.3. Pd/SiO2 Catalyst Synthesis
3.3.1. Pd/SiO2 Seed Catalyst Prepared via SEA
3.3.2. Pd/SiO2 Catalysts Prepared via ED
3.4. Catalyst Characterization
4. Conclusions
Supplementary Materials
Author Contributions
Funding
Data Availability Statement
Conflicts of Interest
References
- Boudart, M. Catalysis by Supported Metals. Adv. Catal. 1969, 20, 153–166. [Google Scholar] [CrossRef]
- Van Hardeveld, R.; Hartog, F. The statistics of surface atoms and surface sites on metal crystals. Surf. Sci. 1969, 15, 189–230. [Google Scholar] [CrossRef]
- Sinfelt, J.H. Catalytic hydrogenolysis over supported metals. Catal. Rev. 1970, 3, 175–205. [Google Scholar] [CrossRef]
- Lear, T. Structure/Activity Correlations in Alumina Supported Palladium Catalysts; University of Glasgow: Glasgow, UK, 2003. [Google Scholar]
- Le Valant, A.; Drault, F.; Maleix, C.; Comminges, C.; Beauchet, R.; Batonneau, Y.; Pirault-Roy, L.; Especel, C.; Epron, F. Effect of the metallic particle size of supported Pt catalysts on methylcyclopentane hydrogenolysis: Understanding of the ring opening products distribution by a geometric approach. J. Catal. 2018, 367, 234–243. [Google Scholar] [CrossRef]
- Zhong, C.J.; Regalbuto, J.R. Metal Nanoparticle Synthesis; Elsevier Ltd.: Amsterdam, The Netherlands, 2013. [Google Scholar]
- Pinna, F. Supported metal catalysts preparation. Catal. Today 1998, 41, 129–137. [Google Scholar] [CrossRef]
- Wrobleski, J.T.; Boudart, M. Preparation of solid catalysts: An appraisal. Catal. Today 1992, 15, 349–360. [Google Scholar] [CrossRef]
- Van Dillen, A.J.; Terörde, R.J.A.M.; Lensveld, D.J.; Geus, J.W.; De Jong, K.P. Synthesis of supported catalysts by impregnation and drying using aqueous chelated metal complexes. J. Catal. 2003, 216, 257–264. [Google Scholar] [CrossRef]
- Mehrabadi, B.A.T.; Eskandari, S.; Khan, U.; White, R.D.; Regalbuto, J.R. A Review of Preparation Methods for Supported Metal Catalysts. In Advances in Catalysis, 1st ed.; Song, C., Ed.; Elsevier Inc.: Amsterdam, The Netherlands, 2017; Volume 61, pp. 1–35. [Google Scholar]
- Tengco, J.M.M. Synthesis of Well Dispersed Supported Metal Catalysts by Strong Electrostatic Adsorption and Electroless Deposition. Ph.D. Thesis, University of South Carolina, Columbia, SC, USA, 2016. [Google Scholar]
- Boubnov, A.; Dahl, S.; Johnson, E.; Molina, A.P.; Simonsen, S.B.; Cano, F.M.; Helveg, S.; Lemus-Yegres, L.J.; Grunwaldt, J.-D. Structure–activity relationships of Pt/Al2O3 catalysts for CO and NO oxidation at diesel exhaust conditions. Appl. Catal. B Environ. 2012, 126, 315–325. [Google Scholar] [CrossRef]
- Hansen, T.K.; Høj, M.; Hansen, B.B.; Janssens, T.V.W.; Jensen, A.D. The effect of Pt particle size on the oxidation of CO, C3H6, and NO over Pt/Al2O3 for diesel exhaust aftertreatment. Top. Catal. 2017, 60, 1333–1344. [Google Scholar] [CrossRef]
- Zhang, W.; Wang, H.; Jiang, J.; Sui, Z.; Zhu, Y.; Chen, D.; Zhou, X. Size dependence of Pt catalysts for propane dehydrogenation: From atomically dispersed to nanoparticles. ACS Catal. 2020, 10, 12932–12942. [Google Scholar] [CrossRef]
- Du, J.; Zhao, D.; Wang, C.; Zhao, Y.; Li, H.; Luo, Y. Size effects of Pd nanoparticles supported over CeZrPAl for methane oxidation. Catal. Sci. Technol. 2020, 10, 7875–7882. [Google Scholar] [CrossRef]
- Murata, K.; Mahara, Y.; Ohyama, J.; Yamamoto, Y.; Arai, S.; Satsuma, A. The Metal-Support Interaction Concerning the Particle Size Effect of Pd/Al2O3 on Methane Combustion. Angew. Chem. 2017, 129, 16209–16213. [Google Scholar] [CrossRef]
- Jiao, L.; Regalbuto, J.R. The synthesis of highly dispersed noble and base metals on silica via strong electrostatic adsorption: I. Amorphous silica. J. Catal. 2008, 260, 329–341. [Google Scholar] [CrossRef]
- Diao, W.; Tengco, J.M.M.; Gaffney, A.M.; Regalbuto, J.R.; Monnier, J.R. Rational synthesis of bimetallic catalysts using electroless deposition methods. Catalysis 2020, 32, 116–150. [Google Scholar]
- Ohno, I.; Wakabayashi, O.; Haruyama, S. Anodic oxidation of reductants in electroless plating. J. Electrochem. Soc. 1985, 132, 2323. [Google Scholar] [CrossRef]
- Diao, W.; Tengco, J.M.M.; Regalbuto, J.R.; Monnier, J.R. Preparation and Characterization of Pt-Ru Bimetallic Catalysts Synthesized by Electroless Deposition Methods. ACS Catal. 2015, 5, 5123–5134. [Google Scholar] [CrossRef]
- Beard, K.D.; Borrelli, D.; Cramer, A.M.; Blom, D.; Van Zee, J.W.; Monnier, J.R. Preparation and Structural Analysis of Carbon-Supported Co Core/Pt Shell Electrocatalysts Using Electroless Deposition Methods. ACS Nano 2009, 3, 2841–2853. [Google Scholar] [CrossRef]
- Rebelli, J.; Rodriguez, A.A.; Ma, S.; Williams, C.T.; Monnier, J.R. Preparation and characterization of silica-supported, group IB–Pd bimetallic catalysts prepared by electroless deposition methods. Catal. Today 2011, 160, 170–178. [Google Scholar] [CrossRef]
- Rebelli, J.; Detwiler, M.; Ma, S.; Williams, C.T.; Monnier, J.R. Synthesis and characterization of Au-Pd/SiO2 bimetallic catalysts prepared by electroless deposition. J. Catal. 2010, 270, 224–233. [Google Scholar] [CrossRef]
- Djokić, S.S. Electroless deposition of metals and alloys. In Modern Aspects of Electrochemistry; Conway, B.E., White, R.E., Eds.; Springer: Boston, MA, USA, 2002. [Google Scholar]
- Ohno, I. Electroless Deposition of Palladium and Platinum. In Modern Electroplating, 5th ed.; John Wiley & Sons, Inc.: Hoboken, NJ, USA, 2010; pp. 477–482. [Google Scholar] [CrossRef]
- Lelental, M. Dimethylamine Borane as the Reducing Agent in Electroless Plating Systems. J. Electrochem. Soc. 1973, 120, 1650. [Google Scholar] [CrossRef]
- Rhoda, R.N. Barrel plating by means of electroless palladium. J. Electrochem. Soc. 1961, 108, 707. [Google Scholar] [CrossRef]
- Cheng, Y.S.; Yeung, K.L. Effects of electroless plating chemistry on the synthesis of palladium membranes. J. Membr. Sci. 2001, 182, 195–203. [Google Scholar] [CrossRef]
- Paglieri, S.N.; Foo, K.Y.; Way, J.D.; Collins, J.P.; Harper-Nixon, D.L. A new preparation technique for Pd/alumina membranes with enhanced high-temperature stability. Ind. Eng. Chem. Res. 1999, 38, 1925–1936. [Google Scholar] [CrossRef]
- Tate, G.; Kenvin, A.; Diao, W.; Monnier, J.R. Preparation of Pt-containing bimetallic and trimetallic catalysts using continuous electroless deposition methods. Catal. Today 2019, 334, 113–121. [Google Scholar] [CrossRef]
- Egelske, B.T.; Xiong, W.; Zhou, H.; Monnier, J.R. Effects of the method of active site characterization for determining structure-sensitivity in Ag-catalyzed ethylene epoxidation. J. Catal. 2022, 410, 221–235. [Google Scholar] [CrossRef]
- Wongkaew, A.; Zhang, Y.; Tengco, J.M.M.; Blom, D.A.; Sivasubramanian, P.K.; Fanson, P.T.; Regalbuto, J.R.; Monnier, J.R. Characterization and evaluation of Pt-Pd electrocatalysts prepared by electroless deposition. Appl. Catal. B Environ. 2016, 188, 367–375. [Google Scholar] [CrossRef]
- Xiong, W. Preparation, Characterization and Evaluation of Rationally Designed Catalysts by Electroless Deposition. Ph.D. Thesis, University of South Carolina, Columbia, SC, USA, 2021. [Google Scholar]
- Tengco, J.M.M.; Lugo-José, Y.K.; Monnier, J.R.; Regalbuto, J.R. Chemisorption–XRD particle size discrepancy of carbon supported palladium: Carbon decoration of Pd? Catal. Today 2015, 246, 9–14. [Google Scholar] [CrossRef]
- Geyer, R.; Hunold, J.; Keck, M.; Kraak, P.; Pachulski, A.; Schödel, R. Methods for determining the metal crystallite size of Ni supported catalysts. Chem. Ing. Tech. 2012, 84, 160–164. [Google Scholar] [CrossRef]
- O’Connell, K.; Regalbuto, J.R. High Sensitivity Silicon Slit Detectors for 1 nm Powder XRD Size Detection Limit. Catal. Lett. 2015, 145, 777–783. [Google Scholar] [CrossRef]
- Hao, X.; Quach, L.; Korah, J.; Spieker, W.A.; Regalbuto, J.R. The control of platinum impregnation by PZC alteration of oxides and carbon. J. Mol. Catal. A Chem. 2004, 219, 97–107. [Google Scholar] [CrossRef]
- Benson, J.E.; Boudart, M. Hydrogen-oxygen titration method for the measurement of supported platinum surface areas. J. Catal. 1965, 4, 704–710. [Google Scholar] [CrossRef]
- Hoang-Van, C.; Michel, C.; Pommier, B.; Teichner, S.J. Hydrogen-oxygen titration and carbon monoxide chemisorption for the measurement of supported palladium surface areas. React. Kinet. Catal. Lett. 1980, 13, 63–67. [Google Scholar] [CrossRef]
- Suh, D.J.; Park, T.-J.; Ihm, S.-K. Hydrogen/oxygen titration method for measurement of Pd dispersion on supported catalysts. J. Catal. 1994, 149, 486–488. [Google Scholar] [CrossRef]
- Datye, A.K.; Xu, Q.; Kharas, K.C.; McCarty, J.M. Particle size distributions in heterogeneous catalysts: What do they tell us about the sintering mechanism? Catal. Today 2006, 111, 59–67. [Google Scholar] [CrossRef]
- Banerjee, R.; Regalbuto, J.R. Rectifying the chemisorption–XRD discrepancy of carbon supported Pd: Residual chloride and/or carbon decoration. Appl. Catal. A Gen. 2020, 595, 117504. [Google Scholar] [CrossRef]
- Guan, D.; Shi, C.; Xu, H.; Gu, Y.; Zhong, J.; Sha, Y.; Hu, Z.; Ni, M.; Shao, Z. Simultaneously mastering operando strain and reconstruction effects via phase-segregation strategy for enhanced oxygen-evolving electrocatalysis. J. Energy Chem. 2023, 82, 572–580. [Google Scholar] [CrossRef]
- Zhang, H.; Guan, D.; Gu, Y.; Xu, H.; Wang, C.; Shao, Z.; Guo, Y. Tuning synergy between nickel and iron in Ruddlesden–Popper perovskites through controllable crystal dimensionalities towards enhanced oxygen-evolving activity and stability. Carbon Energy 2024, 6, e465. [Google Scholar] [CrossRef]










| Final Pt wt% | Deposition Time (min) | Diameter from Chemisorption (nm) | Diameter from XRD (nm) | STEM (nm) | |
|---|---|---|---|---|---|
| Ds | Dv | ||||
| 9.0 | 10 | 4.6 | 4.6 | 4.6 ± 2.1 | 5.4 ± 2.7 |
| 8.9 | 60 | 4.0 | 3.8 | 3.8 ± 1.7 | 4.5 ± 2.1 |
| 8.4 | 90 | 3.5 | 3.0 | 2.8 ± 0.5 | 2.9 ± 0.6 |
| 7.8 | 120 | 3.0 | 2.5 | 2.5 ± 0.6 | 2.6 ± 0.6 |
| 7.7 | 480 | 2.8 | 2.5 | 2.3 ± 0.6 | 2.4 ± 0.7 |
| 6.4 (seed) | 0 | 2.3 | 2.1 | 2.1 ± 0.4 | 2.2 ± 0.5 |
| Final Pd wt% | Diameter from Chemisorption (nm) | Diameter from XRD (nm) | STEM (nm) | ||
|---|---|---|---|---|---|
| Dn | Ds | Dv | |||
| 8.6 | 11.4 | 6.3 | 6.7 ± 3.5 | 9.7 ± 4.6 | 10.7 ± 5.3 |
| 5.9 | 12.1 | 5.4 | 6.6 ± 2.2 | 7.8 ± 2.5 | 8.3 ± 2.7 |
| 4.1 | 8.6 | 4.5 | 5.4 ± 1.7 | 6.4 ± 1.9 | 6.9 ± 2.2 |
| 3 | 8.7 | 4.2 | 4.8 ± 2.0 | 6.4 ± 2.6 | 7.2 ± 3.1 |
| 1.75 (seed) | 3.0 | <1.5 | 1.5 ± 0.3 | 1.6 ± 0.3 | 1.7 ± 0.3 |
| Final Pd wt% | Diameter from Chemisorption (nm) | Diameter from XRD (nm) | STEM (nm) | ||
|---|---|---|---|---|---|
| Dn | Ds | Dv | |||
| 7.4 | 9.2 | 6.6 | 5.8 ± 2.3 | 7.6 ± 3.0 | 8.6 ± 3.6 |
| 2.8 | 4.9 | 2.9 | 3.7 ± 1.3 | 4.6 ± 1.6 | 5.1 ± 1.9 |
Disclaimer/Publisher’s Note: The statements, opinions and data contained in all publications are solely those of the individual author(s) and contributor(s) and not of MDPI and/or the editor(s). MDPI and/or the editor(s) disclaim responsibility for any injury to people or property resulting from any ideas, methods, instructions or products referred to in the content. |
© 2025 by the authors. Licensee MDPI, Basel, Switzerland. This article is an open access article distributed under the terms and conditions of the Creative Commons Attribution (CC BY) license (https://creativecommons.org/licenses/by/4.0/).
Share and Cite
Zhou, H.; Xiong, W.; Shakouri, A.; Lu, Y.; Regalbuto, J.R.; Monnier, J.R.; Tengco, J.M.M. Precision Size Control of Supported Pd and Pt Nanoparticles via Controlled Electroless Deposition. Catalysts 2025, 15, 156. https://doi.org/10.3390/catal15020156
Zhou H, Xiong W, Shakouri A, Lu Y, Regalbuto JR, Monnier JR, Tengco JMM. Precision Size Control of Supported Pd and Pt Nanoparticles via Controlled Electroless Deposition. Catalysts. 2025; 15(2):156. https://doi.org/10.3390/catal15020156
Chicago/Turabian StyleZhou, Haiying, Wen Xiong, Abolfazl Shakouri, Yu Lu, John R. Regalbuto, John R. Monnier, and John Meynard M. Tengco. 2025. "Precision Size Control of Supported Pd and Pt Nanoparticles via Controlled Electroless Deposition" Catalysts 15, no. 2: 156. https://doi.org/10.3390/catal15020156
APA StyleZhou, H., Xiong, W., Shakouri, A., Lu, Y., Regalbuto, J. R., Monnier, J. R., & Tengco, J. M. M. (2025). Precision Size Control of Supported Pd and Pt Nanoparticles via Controlled Electroless Deposition. Catalysts, 15(2), 156. https://doi.org/10.3390/catal15020156

