Construction of S-Type PDI/BiOBr Heterojunctions and Their Photocatalytic Activity
Abstract
1. Introduction
2. Results and Discussion
2.1. Catalysts Characterization
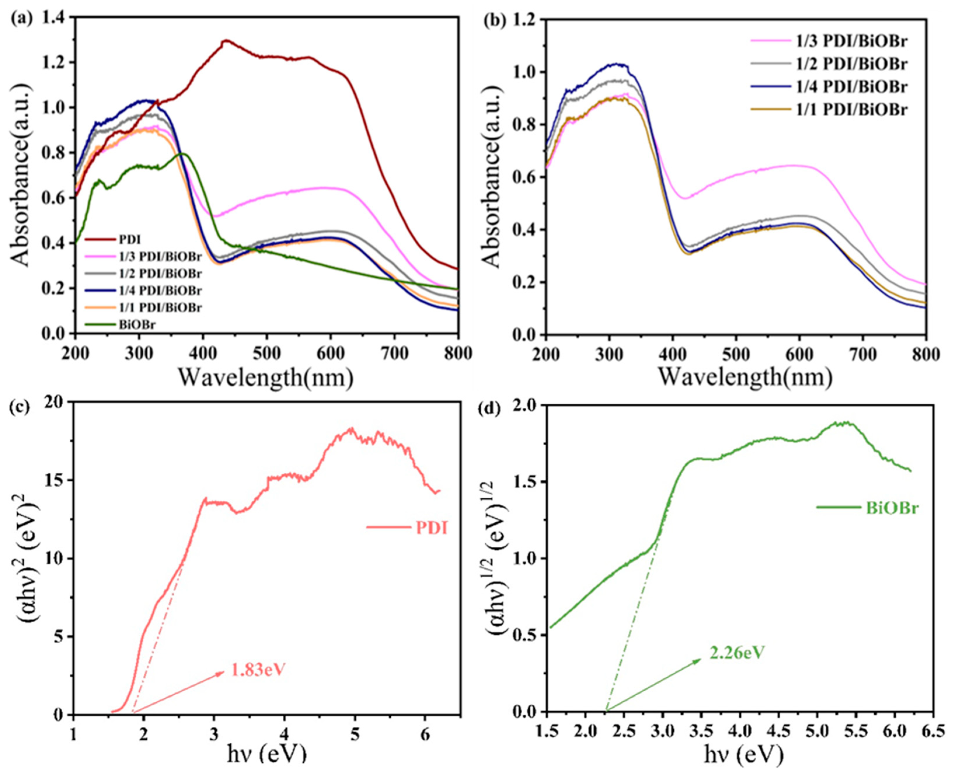
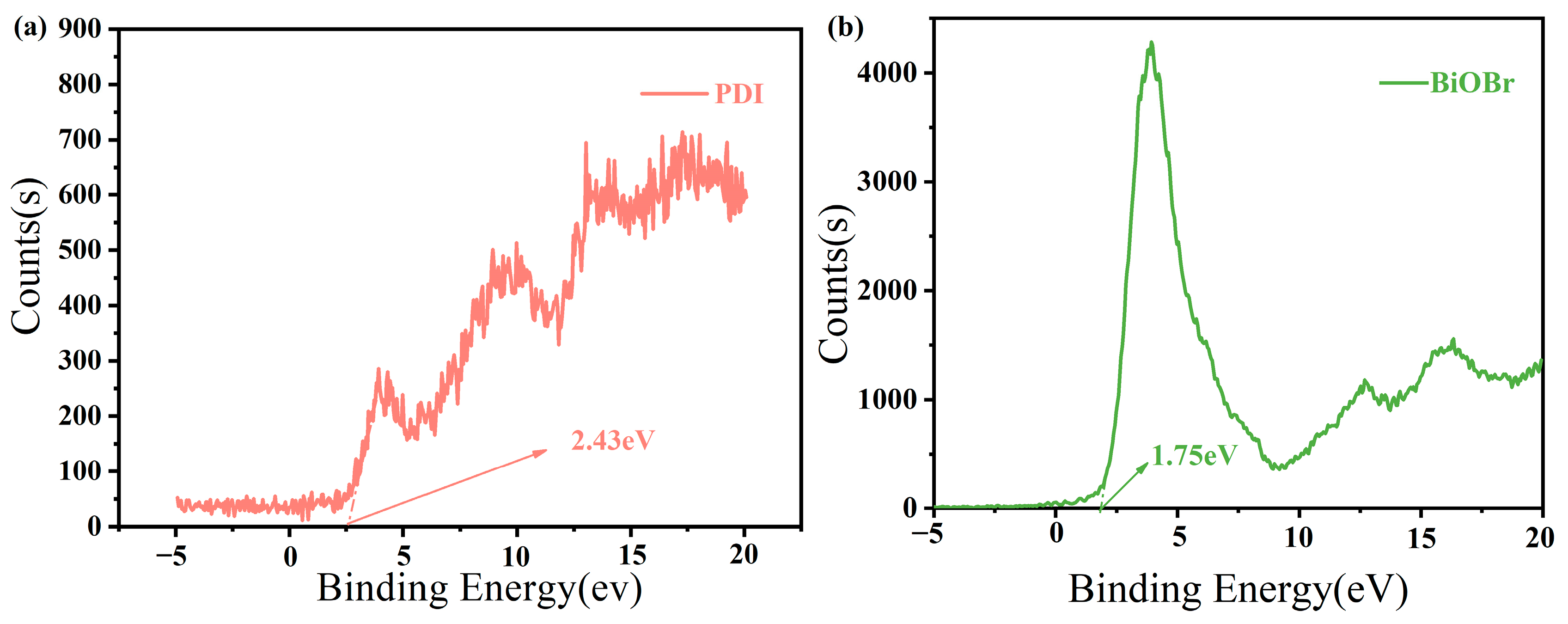
2.2. Band Structure Analysis
2.3. Electrochemical Characterizations
2.4. Photocatalytic Activity
2.5. Photocatalytic Mechanism
3. Experimental Method
3.1. Materials
3.2. Catalyst Preparation
3.3. Material Analysis and Characterization
3.4. Photocatalytic Degradation of Dyes
3.5. Free Radical Scavenger Experiment
4. Conclusions
Author Contributions
Funding
Data Availability Statement
Conflicts of Interest
References
- Bhatt, P.; Gangola, S.; Bhandari, G.; Zhang, W.; Maithani, D.; Mishra, S.; Chen, S. New insights into the degradation of synthetic pollutants in contaminated environments. Chemosphere 2021, 268, 128827. [Google Scholar] [CrossRef] [PubMed]
- Chen, X.; Mao, S.S. Titanium dioxide nanomaterials: Synthesis, properties, modifications, and applications. Chem. Rev. 2007, 107, 2891–2959. [Google Scholar] [CrossRef] [PubMed]
- Meng, F.; Wang, Y.; Zhang, L.; Cheng, P.; Xue, H.; Meng, D. Organic Pollutant Types and Concentration Changes of the Water from Songhua River, China, in 1975–2013. Water Air Soil Pollut. 2016, 227, 214. [Google Scholar] [CrossRef]
- Miklos, D.B.; Remy, C.; Jekel, M.; Linden, K.G.; Drewes, J.E.; Hübner, U. Evaluation of advanced oxidation processes for water and wastewater treatment—A critical review. Water Res. 2018, 139, 118–131. [Google Scholar] [CrossRef] [PubMed]
- Mei, F.; Zhang, J.; Liang, C.; Dai, K. Fabrication of novel CoO/porous graphitic carbon nitride S-scheme heterojunction for efficient CO2 photoreduction. Mater. Lett. 2021, 282, 128722. [Google Scholar] [CrossRef]
- Low, J.; Yu, J.; Jaroniec, M.; Wageh, S.; Al-Ghamdi, A.A. Heterojunction photocatalysts. Adv. Mater. 2017, 29, 160–1694. [Google Scholar] [CrossRef] [PubMed]
- Hasija, V.; Kumar, A.; Sudhaik, A.; Raizada, P.; Singh, P.; Van Le, Q.; Le, T.T.; Nguyen, V.-H. Step-scheme heterojunction photocatalysts for solar energy, water splitting, CO2 conversion, and bacterial inactivation: A review. Environ. Chem. Lett. 2021, 19, 2941–2966. [Google Scholar] [CrossRef]
- Li, M.; Yu, S.; Huang, H.; Li, X.; Feng, Y.; Wang, C.; Wang, Y.; Ma, T.; Guo, L.; Zhang, Y. Unprecedented Eighteen-Faceted BiOCl with a Ternary Facet Junction Boosting Cascade Charge Flow and Photo-redox. Angew. Chem. 2019, 131, 9617–9621. [Google Scholar] [CrossRef]
- Li, H.; Ai, Z.; Zhang, L. Surface Structure-Dependent Photocatalytic O2 Activation for Pollutant Removal with Bismuth Oxyhalides. Chem. Comm. 2020, 56, 15282–15296. [Google Scholar] [CrossRef]
- Zhang, K.; Wang, J.; Jiang, W.; Yao, W.; Yang, H.; Zhu, Y. Self-assembled perylene diimide based supramolecular heterojunction with Bi2WO6 for efficient visible-light-driven photocatalysis. Appl. Catal. B Environ. 2018, 232, 175–181. [Google Scholar] [CrossRef]
- Struijk, C.W.; Sieval, A.B.; Dakhorst, J.E.; van Dijk, M.; Kimkes, P.; Koehorst, R.B.; Sudhölter, E.J. Liquid Crystalline Perylene diimides: Architecture and Charge Carrier Mobilities. J. Am. Chem. Soc. 2000, 122, 11057–11066. [Google Scholar] [CrossRef]
- Ji, H.F.; Majithia, R.; Yang, X.; Xu, X.; More, K. Self-Assembly of Perylenediimide and Naphthalenediimide Nanostructures on Glass Substrates through Deposition from the Gas Phase. J. Am. Chem. Soc. 2008, 130, 10056–10057. [Google Scholar] [CrossRef] [PubMed]
- Liu, C.; Zhou, J.; Su, J.; Guo, L. Turning the unwanted surface bismuth enrichment to favourable BiVO4/BiOCl heterojunction for enhanced photoelectrochemical performance. Appl. Catal. B Environ. 2019, 241, 506–513. [Google Scholar] [CrossRef]
- Zhong, Y.; Wu, C.; Chen, D.; Zhang, J.; Feng, Y.; Xu, K.; Hao, W.; Ding, H.; Lv, G.; Du, Y.; et al. Design of lateral and vertical Bi4O5I2/BiOCl heterojunctions with different charge migration pathway for efficient photoredox activity. Appl. Catal. B Environ. 2023, 329, 122554. [Google Scholar] [CrossRef]
- Cheng, S.; Sun, Z.; Lim, K.H.; Liu, K.; Wibowo, A.A.; Du, T.; Liu, L.; Nguyen, H.T.; Li, G.K.; Yin, Z.; et al. Defective heterojunctions in CO2 photoreduction: Enabling ultrafast interfacial charge transfer and selective methanation. Appl. Catal. B Environ. 2024, 343, 123583. [Google Scholar] [CrossRef]
- Rehman, W.; Saeed, F.; Zhao, Y.; Maryam, B.; Arain, S.; Ayaz, M.; Jamil, M.; Liu, X. Boosted Photoelectrochemical Water Oxidation Performance with a Quaternary Heterostructure: CoFe2O4/MWCNT-Doped MIL-100 (Fe)/TiO2. Catalysts 2024, 14, 901. [Google Scholar] [CrossRef]
- Sun, J.; Li, X.; Zhao, Q.; Liu, B. Ultrathin nanoflake-assembled hierarchical BiOBr microflower with highly exposed {001} facets for efficient photocatalytic degradation of gaseous ortho-dichlorobenzene. Appl. Catal. B Environ. 2021, 281, 119478. [Google Scholar] [CrossRef]
- Di, B.; Wang, Z.; Wang, H.; Gong, S.; Zheng, L.; Min, Y.; Li, H. Piezoelectric photocatalytic degradation of formaldehyde based on BFO@ OCN heterojunctions. Nano. Energy 2024, 132, 110384. [Google Scholar] [CrossRef]
- Neamen, D.A.; Dhrubes, B. Semiconductor Physics and Devices; McGraw-Hill Higher Education: New York, NY, USA, 2011; pp. 106–169. [Google Scholar]
- Zhang, X.; Zhou, J.; Yang, D.-P.; Chen, S.; Huang, J.; Li, Z. Cu2-xS loaded diatom nanocomposites as novel photocatalysts for efficient photocatalytic degradation of organic pollutants. Catal. Today 2019, 335, 228–235. [Google Scholar] [CrossRef]
- Chen, W.; Feng, Y.; Wang, X.; Zhang, C.; Liu, S.; Song, Y.; Fang, Y. Rational design and fabricate of protonated crosslinked chitosan adsorbent for boosting the removal of nitrite in water. Chem. Eng. J. 2024, 484, 149241. [Google Scholar] [CrossRef]
- Kaiser, T.E.; Wang, H.; Stepanenko, V.; Würthner, F. Supramolecular Construction of Fluorescent J-Aggregates Based on Hydrogen-Bonded Perylene Dyes. Angew. Chem. 2007, 119, 5637–5640. [Google Scholar] [CrossRef]
- Liu, D.; Wang, J.; Bai, X.; Zong, R.; Zhu, Y. Self-Assembled PDINH Supramolecular System for Photocatalysis under Visible Light. Adv. Mater. 2016, 28, 7284–7290. [Google Scholar] [CrossRef] [PubMed]
- Yang, J.; Miao, H.; Wei, Y.; Li, W.; Zhu, Y. π–π Interaction between self-assembled perylene diimide and 3D graphene for excellent visible-light photocatalytic activity. Appl. Catal. B Environ. 2019, 240, 225–233. [Google Scholar] [CrossRef]
- Yang, J.; Xie, T.; Zhu, Q.; Wang, J.; Xu, L.; Liu, C. Boosting the photocatalytic activity of BiOX under solar light via selective crystal facet growth. J. Mater. Chem. C 2020, 8, 2579–2588. [Google Scholar] [CrossRef]
- Qi, L.; Yang, Y.; Zhang, P.; Le, Y.; Wang, C.; Wu, T. Hierarchical flower-like BiOIxBr(1−x) solid solution spheres with enhanced visible-light photocatalytic activity. Appl. Surf. Sci. 2019, 467–468, 792–801. [Google Scholar] [CrossRef]
- Sarkar, R.; Roy, D.; Das, D.; Sarkar, S.; Chattopadhyay, K.K. Morphology tuning of bismuth oxychloride nano-crystals by citric acid variation: Application in visible light-assisted dye degradation and hydrogen evolution by electrochemical method. Int. J. Hydrogen Energy 2021, 46, 16299–16308. [Google Scholar] [CrossRef]
- Zai, J.; Cao, F.; Liang, N.; Yu, K.; Tian, Y.; Sun, H.; Qian, X. Rose-like I-doped Bi2O2CO3 microspheres with enhanced visible light response: DFT calculation, synthesis and photocatalytic performance. J. Hazard. Mater. 2017, 321, 464–472. [Google Scholar] [CrossRef]
- Li, Y.; Wu, Q.; Chen, Y.; Zhang, R.; Li, C.; Zhang, K.; Li, M.; Lin, Y.; Wang, D.; Zou, X.; et al. Interface engineering Z-scheme Ti-Fe2O3/In2O3 photoanode for highly efficient photoelectrochemical water splitting. Appl. Catal. B Environ. 2021, 290, 120058. [Google Scholar] [CrossRef]
- Huang, S.; Ouyang, T.; Zheng, B.F.; Dan, M.; Liu, Z.Q. Enhanced Photoelectrocatalytic Activities for CH3OH-to-HCHO Conversion on Fe2O3/MoO3: Fe-O-Mo Covalency Dominates the Intrinsic Activity. Angew. Chem. Int. Ed. 2021, 60, 9546–9552. [Google Scholar] [CrossRef] [PubMed]
- Wang, B.; Chen, H.; Zhang, W.; Liu, H.; Zheng, Z.; Huang, F.; Liu, J.; Liu, G.; Yan, X.; Weng, Y.; et al. Semimetallic Bismuthene with Edge-Rich Dangling Bonds: Broad-Spectrum-Driven and Edge-Confined Electron Enhancement Boosting CO2 Hydrogenation Reduction. Adv. Mater. 2024, 36, 2312676. [Google Scholar] [CrossRef]
- Tang, R.; Gong, D.; Deng, Y.; Xiong, S.; Deng, J.; Li, L.; Zhou, Z.; Zheng, J.; Su, L.; Yang, L. π-π Stacked step-scheme PDI/g-C3N4/TiO2@Ti3C2 photocatalyst with enhanced visible photocatalytic degradation towards atrazine via peroxymonosulfate activation. Chem. Eng. J. 2022, 427, 131809. [Google Scholar] [CrossRef]
- Ding, J.; Wang, H.; Luo, Y.; Xu, Y.; Liu, J.; Lin, Y. (002) Oriented Bi2O2CO3 nanosheets with enhanced photocatalytic performance for toluene removal in air. Catalysts 2020, 10, 389. [Google Scholar] [CrossRef]
- Wang, D.; Wang, H.; Tan, Z.; Almalki, A.S.; Fallatah, A.M.; Yang, S.; Shi, Z. In-situ preparation of CuO/Cu2O/Cu/N-codoped biochar from chitosan derivative: Adsorption property and photo-Fenton catalytic performance in removal of antibiotic. Adv. Compos. Hybrid Mater. 2025, 8, 2. [Google Scholar] [CrossRef]
- Zhu, L.; Chen, Y.; Shen, Y.; Zhang, Y.; Men, D.; Qiu, L.; Xu, X.; Xi, J.; Li, P.; Duo, S. g-C3N4/PDI@ZnIn2S4 2D/2D organic–inorganic hybrid heterojunction with enhanced visible light photocatalytic property. Chem. Phys. Lett. 2023, 833, 140936. [Google Scholar] [CrossRef]
- Ji, Q.; Xu, Z.; Xiang, W.; Wu, Y.; Cheng, X.; Xu, C.; Qi, C.; He, H.; Hu, J.; Yang, S.; et al. Enhancing the performance of pollution degradation through secondary self-assembled composite supramolecular heterojunction photocatalyst BiOCl/PDI under visible light irradiation. Chemosphere 2020, 253, 126751. [Google Scholar] [CrossRef]
- Jiang, X.; Liu, J.; Han, X.; Wang, F.; Li, Y.; Wang, F.; Yi, W. A new approach for endowing photocatalytic performance to biochar based on peryleneimide: Emphasizing the achievement of highly efficient degradation to RhB. J. Environ. Manag. 2024, 370, 122770. [Google Scholar] [CrossRef] [PubMed]
- Liu, S.; Li, F.; Li, Y.; Hao, Y.; Wang, X.; Li, B.; Liu, R. Fabrication of ternary g-C3N4/Al2O3/ZnO heterojunctions based on cascade electron transfer toward molecular oxygen activation. Appl. Catal. B 2017, 212, 115–128. [Google Scholar] [CrossRef]
- Jiang, J.; Gao, J.; Li, T.; Chen, Y.; Wu, Q.; Xie, T.; Lin, Y.; Dong, S. Visible-light-driven photo-Fenton reaction with α-Fe2O3/BiOI at near neutral pH: Boosted photogenerated charge separation, optimum operating parameters and mechanism insight. J. Colloid. Interface Sci. 2019, 554, 531–543. [Google Scholar] [CrossRef]
- Nie, J.; Hassan, Q.-U.; Jia, Y.; Gao, J.; Peng, J.; Lu, J.; Zhang, F.; Zhu, G.; Wang, Q. La-Doped ZnWO4 nanorods with enhanced photocatalytic activity for NO removal: Effects of La doping and oxygen vacancies. Inorg. Chem. Front. 2020, 7, 356–368. [Google Scholar] [CrossRef]
- Paušová, Š.; Riva, M.; Baudys, M.; Krýsa, J.; Barbieriková, Z.; Brezová, V. Composite materials based on active carbon/TiO2 for photocatalytic water purification. Catal. Today 2019, 328, 178–182. [Google Scholar] [CrossRef]
- Xu, Q.; Zhang, L.; Cheng, B.; Fan, J.; Yu, J. S-Scheme Heterojunction Photocatalyst. Chem 2020, 6, 1543–1559. [Google Scholar] [CrossRef]
- Lin, B.; Tang, C.; Zheng, Z.; Zhang, M.; Huang, Y.; Yuan, X.; Liu, X.; Wu, Y. Efficient activation of peroxymonosulfate by Co/Cu co-substituted-ferrite and carbon composite for rapid degradation of tetracycline in aqueous phase: Performance evaluation and mechanisms. Chem. Eng. J. 2024, 488, 150858. [Google Scholar] [CrossRef]
- Fu, J.; Xu, Q.; Low, J.; Jiang, C.; Yu, J. Ultrathin 2D/2D WO3/g-C3N4 step-scheme H2-production photocatalyst. Appl. Catal. B Environ. 2019, 243, 556–565. [Google Scholar] [CrossRef]
- Lu, Y.; Zhang, Y.; Zhang, J.; Li, Z.; Hu, F.; Pan, D.; Shi, X.; Amin, M.; Shao, Q. Electrochemically synthesized Tin micro-nanometer powders for visible light photocatalytic degradation of Rhodamine B dye from polluted water. Adv. Compos. Hybrid Mater. 2024, 7, 110. [Google Scholar] [CrossRef]
- Di, J.; Xia, J.; Ji, M.; Wang, B.; Li, X.; Zhang, Q.; Chen, Z.; Li, H. Nitrogen-Doped Carbon Quantum Dots/BiOBr Ultrathin Nanosheets: In Situ Strong Coupling and Improved Molecular Oxygen Activation Ability under Visible Light Irradiation. ACS Sustain. Chem. Eng. 2015, 4, 136–146. [Google Scholar] [CrossRef]
- Bao, K.; Zhang, S.; Ni, P.; Zhang, Z.; Zhang, K.; Wang, L.; Sun, L.X.; Mao, W.; Zhou, Q.; Qian, Y. Convenient fabrication of carbon doped WO3−x ultrathin nanosheets for photocatalytic aerobic oxidation of amines. Catal. Today 2020, 340, 311–317. [Google Scholar] [CrossRef]
- Chen, J.; Wang, H.; Zhang, Z.; Han, L.; Zhang, Y.; Gong, F.; Xie, K.; Xu, L.; Song, W.; Wu, S. Ultrathin HNb3O8 nanosheets with oxygen vacancies for enhanced photocatalytic oxidation of amines under visible light irradiation. J. Mater. Chem. A 2019, 7, 5493–5503. [Google Scholar] [CrossRef]















| Catalyst | Light Source | Dye | Concentration (mg/L) | k (min−1) | Ref. |
|---|---|---|---|---|---|
| g-C3N4/PDI@ZnIn2S4 | 500 W Xe lamp with a UV filter | RhB | 0.01355 | [35] | |
| BiOCl/PDI | 800 W Xe lamp with a λ > 420 nm filter | RhB | 10 | 0.02083 | [36] |
| MO | 5 | 0.00683 | [36] | ||
| GPC/PDI | 500 W Xe lamp with λ > 420 nm filter | RhB | 200 | 0.00183 | [37] |
| BiOBr/PDI | 300 W Xe lamp with λ > 400 nm filter | RhB | 50 | 0.0159 | This work |
| MO | 50 | 0.00871 |
Disclaimer/Publisher’s Note: The statements, opinions and data contained in all publications are solely those of the individual author(s) and contributor(s) and not of MDPI and/or the editor(s). MDPI and/or the editor(s) disclaim responsibility for any injury to people or property resulting from any ideas, methods, instructions or products referred to in the content. |
© 2025 by the authors. Licensee MDPI, Basel, Switzerland. This article is an open access article distributed under the terms and conditions of the Creative Commons Attribution (CC BY) license (https://creativecommons.org/licenses/by/4.0/).
Share and Cite
Wang, X.-Q.; Sun, Y.; Liu, R.-H.; Li, F.-T. Construction of S-Type PDI/BiOBr Heterojunctions and Their Photocatalytic Activity. Catalysts 2025, 15, 85. https://doi.org/10.3390/catal15010085
Wang X-Q, Sun Y, Liu R-H, Li F-T. Construction of S-Type PDI/BiOBr Heterojunctions and Their Photocatalytic Activity. Catalysts. 2025; 15(1):85. https://doi.org/10.3390/catal15010085
Chicago/Turabian StyleWang, Xin-Qing, Yu Sun, Rui-Hong Liu, and Fa-Tang Li. 2025. "Construction of S-Type PDI/BiOBr Heterojunctions and Their Photocatalytic Activity" Catalysts 15, no. 1: 85. https://doi.org/10.3390/catal15010085
APA StyleWang, X.-Q., Sun, Y., Liu, R.-H., & Li, F.-T. (2025). Construction of S-Type PDI/BiOBr Heterojunctions and Their Photocatalytic Activity. Catalysts, 15(1), 85. https://doi.org/10.3390/catal15010085

