Recent Progress on the Production of Liquid Fuel 2,5-Dimethylfuran via Chemoselective Hydrogenolysis Biomass-Derived 5-Hydroxymethylfurfural
Abstract
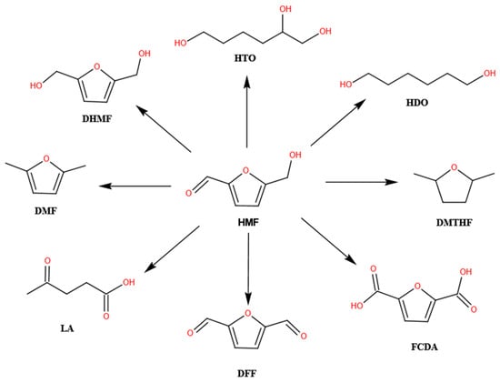
1. Introduction
2. Production of DMF via Selective Hydrogenolysis of HMF over Noble Metal-Based Catalyst
2.1. Noble Metal-Based Mono-Metallic Catalyst
2.2. Noble Metal-Based Bimetallic Catalyst
| Catalyst | Solvent | HMF Concentration (mg/mL) | Reaction Conditions | Conversion (%) | DMF Yield (%) | References |
|---|---|---|---|---|---|---|
| Ru/Co3O4 | THF | 25.0 | 130 °C/0.7 MPa H2/24 h | >99 | 93.4 | [55] |
| RuCo/CoOx | Dioxane | 50.4 | 200 °C/0.5 MPa H2/2 h | >99 | 96.5 | [56] |
| Ru-Co/SiO2 | THF | 5.0 | 140 °C/0.2 MPa H2/4 h | >99 | >99 | [57] |
| Pt-Co/MWCNTs | 1-Butanol | 16.7 | 160 °C/0.1 MPa H2/8 h | >99 | 92.3 | [28] |
| Pt-Co/C | 1-Propanol | 10.0 | 160 °C/3.3 MPa H2/ | >99 | 98.0 | [58] |
| Fe-Pd/C | THF | 12.6 | 150 °C/2.0 MPa H2/2 h | >99 | 88.0 | [59] |
| PdAu/C | THF | 12.6 | 60 °C/0.1 MPa/36 h | >99 | 96.0 | [60] |
3. Production of DMF via Selective Hydrogenolysis of HMF over Non-Noble-Metal-Based Catalyst
3.1. Non-Noble Metal-Based Mono-Metallic Catalyst
3.2. Non-Noble Metal-Based Bimetallic Catalyst
| Catalyst | Solvent | HMF Concentration (mg/mL) | Reaction Conditions | Conversion (%) | DMF Yield (%) | References |
|---|---|---|---|---|---|---|
| Ni-Cu/SBA-16 | THF | 10.0 | 210 °C/2.0 MPa H2/4 h | >99 | 60.7 | [63] |
| Cu-Co/Al2O3 | THF | 15.8 | 220 °C/3.0 MPa H2/8 h | >99 | 78.0 | [84] |
| Cox-Cu@C | IPA | 16.7 | 160 °C/2.5 MPa H2/3 h | >99 | 85.0 | [85] |
| Cu-Fe alloy | IPA | 3.9 | 170 °C/2.0 MPa H2/4 h | 97.0 | 90.2 | [86] |
| Cu-Ni alloy | THF | 6.3 | 220 °C/4.0 MPa H2/12 h | >99 | 93.5 | [87] |
| Ni-W2C/AC | THF | 10.5 | 180 °C/4.0 MPa H2/2.5 h | >99 | 96.0 | [88] |
| 4Ni-Cu/TS-1 | THF | 12.6 | 180 °C/0.5 MPa H2/7 h | >99 | 97.3 | [89] |
| NiCu3/C | 1-Propanol | 10.0 | 180 °C/3.3 MPa H2 | >99 | 98.7 | [90] |
| Cu-Co@C | Ethanol | 25.0 | 180 °C/5.0 MPa H2/8 h | >99 | 99.4 | [91] |
4. Conclusions and Outlook
Author Contributions
Funding
Data Availability Statement
Conflicts of Interest
Abbreviations
| HMF | 5-Hydroxymethylfurfural |
| DMF | 2,5-Dimethylfuran |
| HTO | 1,2,6-Hexanetriol |
| DHMF | 2,5-Dihydroxymethylfuran |
| HDO | 1,6-Hexanediol |
| DMTHF | 2,5-Dimethyltetrahydrofuran |
| FDCA | 2,5-Furandicarboxylic acids |
| DFF | 2,5-Diformylfuran |
| LA | Levulinic acid |
| MFA | 5-Methyl-furfuryl alcohol |
| 5-MF | 5-Methyl-furfural |
| C | Carbon |
| CNTs | Carbon nanotubes |
| MWCNTs | Multi-walled CNTs |
| Ru | Ruthenium |
| Pt | Platinum |
| Pd | Palladium |
| NPs | Nanoparticles |
| rGO | Reduced graphene oxide |
| g-C3N4 | Graphitic carbon nitride |
| BC | Biochar |
| ALD | Atomic-layer deposition |
| HDO | Hydrodeoxygenation |
| Co | Cobalt |
| HCS | Hollow carbon spheres |
| HPS | Hollow polymer spheres |
| GVL | γ-Valerolactone |
| NDC | Nitrogen-doped carbon |
| NiSi-PS | Ni NPs embedded layered nickel silicate |
| LDHs | Layered double hydroxides |
| Beta-DA | Dealuminated Beta zeolite |
| NGs | Nitrogen-doped graphene |
| IPA | Isopropanol |
| THF | Tetrahydrofuran |
References
- Liu, H.Z.; Wang, H.; Nong, H.Z.; He, Y.T.; Chen, Y.L.; Wang, H.L.; Yu, M. Opportunities and implementation pathway for China’s forestry development under the “Dual Carbon” strategy. Carbon Res. 2024, 3, 59. [Google Scholar] [CrossRef]
- Wang, Y.T.; Zhao, D.Y.; Rodríguez-Padrón, D.; Len, C. Recent Advances in Catalytic Hydrogenation of Furfural. Catalysts 2019, 9, 796. [Google Scholar] [CrossRef]
- Höök, M.; Tang, X. Depletion of fossil fuels and anthropogenic climate change—A review. Energy Policy 2013, 52, 797–809. [Google Scholar] [CrossRef]
- Xu, B.J.; Zhong, R.Y.; Hochman, G.; Dong, K.Y. The environmental consequences of fossil fuels in China: National and regional perspectives. Sustain. Dev. 2019, 27, 826–837. [Google Scholar] [CrossRef]
- Huo, J.; Peng, C. Depletion of natural resources and environmental quality: Prospects of energy use, energy imports, and economic growth hindrances. Resour. Policy 2023, 86, 104049. [Google Scholar] [CrossRef]
- Wang, J.N.; Azam, W. Natural resource scarcity, fossil fuel energy consumption, and total greenhouse gas emissions in top emitting countries. Geosci. Front. 2024, 15, 101757. [Google Scholar] [CrossRef]
- Gielen, D.; Boshell, F.; Saygin, D.; Bazilian, M.D.; Wagner, N.; Gorini, R. The role of renewable energy in the global energy transformation. Energy Strategy Rev. 2019, 24, 38–50. [Google Scholar] [CrossRef]
- Jaiswal, K.K.; Chowdhury, C.R.; Yadav, D.; Verma, R.; Dutta, S.; Jaiswal, K.M.S.; Sangmesh, B.; Karuppasamy, K.S.K. Renewable and sustainable clean energy development and impact on social, economic, and environmental health. Energy Nexus 2022, 7, 100118. [Google Scholar] [CrossRef]
- Hassan, Q.; Viktor, P.; Al-Musawi, T.J.; Ali, B.M.; Algburi, S.; Alzoubi, H.M.; Al-Jiboory, A.K.; Sameen, A.Z.; Salman, H.M.; Jaszczur, M. The renewable energy role in the global energy Transformations. Renew. Energy Focus 2024, 48, 100545. [Google Scholar] [CrossRef]
- Arslanoglu, A.; Sert, M. Direct conversion of biomass to platform chemicals, catalyzed using a deep eutectic solvent of N,N diethyl ethanol ammonium chloride-oxalic acid in a microwave reactor. Fuel 2019, 258, 116142. [Google Scholar] [CrossRef]
- Kuttin, K.W.; Yu, H.W.; Yang, M.M.; Ding, L.; Chen, X.L.; Yu, G.S.; Wang, F.C. Experimental and numerical modeling of carbonized biomass gasification: A critical review. Green Carbon 2024, 2, 176–196. [Google Scholar] [CrossRef]
- Wang, H.; Zhang, X.H.; Li, X.H.; Li, Y.T.; Kong, D.B.; Zhen, Z.Y.; Geng, L.N.; Zhi, L.J.; Li, Z.T. Hierarchically Porous Biomass Carbon Derived from Orange Peel for Atomically Dispersed Co-N-C Sites Toward Advanced Oxygen Reduction Reaction. Renewables 2023, 1, 353–361. [Google Scholar] [CrossRef]
- Zhu, Z.Y.; Men, Y.; Zhang, W.J.; Yang, W.H.; Wang, F.; Zhang, Y.J.; Zhang, Y.Y.; Zeng, X.Y.; Xiao, J.; Tang, C.; et al. Versatile carbon-based materials from biomass for advanced electrochemical energy storage systems. eScience 2024, 4, 100249. [Google Scholar] [CrossRef]
- Gaudino, E.C.; Cravotto, G.; Manzoli, M.; Tabasso, S. From waste biomass to chemicals and energy via microwave-assisted processes. Green Chem. 2019, 21, 1202–1235. [Google Scholar] [CrossRef]
- Khalid, M.; De, B.S.; Shahgaldi, S. Electrocatalytic lignin oxidation for hydrogen and fine chemical co-production using platinized nickel foam in a 3D printed reactor. DeCarbon 2024, 6, 100074. [Google Scholar] [CrossRef]
- Luo, S.; Wang, J.J. Research progress on tungsten-based catalysts for selective conversion of biomass to diols. Pet. Process. Petrochem. 2024, 55, 52–63. Available online: http://www.sylzyhg.com/EN/Y2024/V55/I2/52 (accessed on 12 February 2024).
- Tang, N.; Yang, Y.P.; Liu, K.; Li, P.; Wang, J.J. Research progress in construction of heterogeneous catalysts for efficient conversion of biomass and their derivatives to lactic acid. Low-Carbon Chem. Chem. Eng. 2024, 49, 50–62. Available online: https://www.dthxyhg.com/thesisDetails#10.12434/j.issn.2097-2547.20230408&lang=en (accessed on 25 November 2024).
- Sivec, R.; Grilc, M.; Hus, M.; Likozar, B. Multiscale Modeling of (Hemi)cellulose Hydrolysis and Cascade Hydrotreatment of 5-Hydroxymethylfurfural, Furfural, and Levulinic Acid. Ind. Eng. Chem. Res. 2019, 58, 16018–16032. [Google Scholar] [CrossRef]
- Wang, H.; Fu, F.B.; Huang, M.; Feng, Y.H.; Han, D.X.; Xi, Y.B.; Xiong, W.L.; Yang, D.J.; Niu, L. Lignin-based materials for electrochemical energy storage devices. Nano Mater. Sci. 2023, 5, 141–160. [Google Scholar] [CrossRef]
- Zhao, P.P.; Zhang, Y.Y.; Wang, Y.; Cui, H.Y.; Song, F.; Sun, X.Y.; Zhang, L.P. Conversion of glucose into 5-hydroxymethylfurfural catalyzed by acid-base bifunctional heteropolyacid-based ionic hybrids. Green Chem. 2018, 20, 1551–1559. [Google Scholar] [CrossRef]
- Hu, B.; Lu, Q.; Jiang, X.Y.; Dong, X.C.; Cui, M.S.; Dong, C.Q.; Yang, Y.P. Pyrolysis mechanism of glucose and mannose: The formation of 5-hydroxymethyl furfural and furfural. J. Energy Chem. 2018, 27, 486–501. [Google Scholar] [CrossRef]
- Ashok, R.P.B.; Oinas, P.; Forssell, S. Techno-economic evaluation of a biorefinery to produce gama-valerolactone (GVL), 2-methyltetrahydrofuran (2-MTHF) and 5-hydroxymethylfurfural (5-HMF) from spruce. Renew. Energy 2022, 190, 396–407. [Google Scholar] [CrossRef]
- Kim, J.; Bathula, H.B.; Yun, S.K.; Jo, Y.; Lee, S.; Baik, J.H.; Suh, Y.W. Hydrogenation of 5-hydroxymethylfurfural into 2,5-bis (hydroxymethyl)furan over mesoporous Cu-Al2O3 catalyst: From batch to continuous processing. J. Ind. Eng. Chem. 2021, 102, 186–194. [Google Scholar] [CrossRef]
- Rao, K.T.V.; Hu, Y.L.; Yuan, Z.S.; Zhang, Y.S.; Xu, C.B.C. Green synthesis of heterogeneous copper-alumina catalyst for selective hydrogenation of pure and biomass-derived 5-hydroxymethylfurfural to 2,5-bis(hydroxymethyl)furan. Appl. Catal. A Gen. 2021, 609, 117892. [Google Scholar] [CrossRef]
- Zhu, B.; Chen, C.L.; Huai, L.Y.; Zhou, Z.Q.; Wang, L.; Zhang, J. 2,5-Bis(hydroxymethyl)furan: A new alternative to HMF for simultaneously electrocatalytic production of FDCA and H2 over CoOOH/Ni electrodes. Appl. Catal. B Environ. 2021, 297, 120396. [Google Scholar] [CrossRef]
- Román-Leshkov, Y.; Barrett, C.J.; Liu, Z.Y.; Dumesic, J.A. Production of dimethylfuran for liquid fuels from biomass-derived carbohydrates. Nature 2007, 447, 982–985. [Google Scholar] [CrossRef] [PubMed]
- Pires, A.P.P.; Han, Y.L.; Kramlich, J.; Garcia-Perez, M. Chemical Composition and Fuel Properties of Alternative Jet Fuels. BioRes. 2018, 13, 2632–2657. [Google Scholar] [CrossRef]
- Wang, X.F.; Liu, Y.Z.; Liang, X.H. Hydrogenolysis of 5-hydroxymethylfurfural to 2,5-dimethylfuran over supported Pt-Co bimetallic catalysts under mild conditions. Green Chem. 2018, 20, 2894–2902. [Google Scholar] [CrossRef]
- Zhao, C.X.; Liu, J.N.; Li, B.Q.; Ren, D.; Chen, X.; Yu, J.; Zhang, Q. Multiscale Construction of Bifunctional Electrocatalysts for Long-Lifespan Rechargeable Zinc-Air Batteries. Adv. Funct. Mater. 2020, 30, 2003619. [Google Scholar] [CrossRef]
- Xu, C.; Paone, E.; Rodríguez-Padrón, D.; Luque, R.; Mauriello, F. Recent catalytic routes for the preparation and the upgrading of biomass derived furfural and 5-hydroxymethylfurfural. Chem. Soc. Rev. 2020, 49, 4273–4306. [Google Scholar] [CrossRef] [PubMed]
- Zhu, Y.F.; Kong, X.; Zheng, H.Y.; Ding, G.Q.; Zhu, Y.L.; Li, Y.W. Efficient synthesis of 2,5-dihydroxymethylfuran and 2,5-dimethylfuran from 5-hydroxymethylfurfural using mineral-derived Cu catalysts as versatile catalysts. Catal. Sci. Technol. 2015, 5, 4208–4217. [Google Scholar] [CrossRef]
- Jae, J.; Zheng, W.Q.; Lobo, R.F.; Vlachos, D.G. Production of Dimethylfuran from Hydroxymethylfurfural through Catalytic Transfer Hydrogenation with Ruthenium Supported on Carbon. ChemSusChem 2013, 6, 1158–1162. [Google Scholar] [CrossRef]
- Priecel, P.; Endot, N.A.; Carà, P.D.; Lopez-Sanchez, J.A. Fast Catalytic Hydrogenation of 2,5-Hydroxymethylfurfural to 2,5-Dimethylfuran with Ruthenium on Carbon Nanotubes. Ind. Eng. Chem. Res. 2018, 57, 1991–2002. [Google Scholar] [CrossRef]
- Wang, X.F.; Zhang, C.C.; Jin, B.T.; Liang, X.H.; Wang, Q.F.; Zhao, Z.; Li, Q.B. Pt-Carbon interaction-determined reaction pathway and selectivity for hydrogenation of 5-hydroxymethylfurfural over carbon supported Pt catalysts. Catal. Sci. Technol. 2021, 11, 1298–1310. [Google Scholar] [CrossRef]
- Luo, J.; Arroyo-Ramírez, L.; Gorte, R.J.; Tzoulaki, D.; Vlachos, D.G. Hydrodeoxygenation of HMF Over Pt/C in a Continuous Flow Reactor. AIChE J. 2015, 61, 590–597. [Google Scholar] [CrossRef]
- Shi, J.J.; Wang, Y.Y.; Yu, X.N.; Du, W.C.; Hou, Z.Y. Production of 2,5-dimethylfuran from 5-hydroxymethylfurfural over reduced graphene oxides supported Pt catalyst under mild conditions. Fuel 2016, 163, 74–79. [Google Scholar] [CrossRef]
- Wang, G.H.; Hilgert, J.; Richter, F.H.; Wang, F.; Bongard, H.J.; Spliethoff, B.; Weidenthaler, C.; Schüth, F. Platinum-cobalt bimetallic nanoparticles in hollow carbon nanospheres for hydrogenolysis of 5-hydroxymethylfurfural. Nat. Mater. 2014, 13, 294–301. [Google Scholar] [CrossRef] [PubMed]
- Mitra, J.; Zhou, X.Y.; Rauchfuss, T. Pd/C-catalyzed reactions of HMF: Decarbonylation, hydrogenation, and hydrogenolysis. Green Chem. 2015, 17, 307–313. [Google Scholar] [CrossRef]
- Yang, Y.D.; Liu, H.Y.; Li, S.P.; Chen, C.J.; Wu, T.B.; Mei, Q.Q.; Wang, Y.Y.; Chen, B.F.; Liu, H.Z.; Han, B.X. Hydrogenolysis of 5-Hydroxymethylfurfural to 2,5-Dimethylfuran under Mild Conditions without Any Additive. ACS Sustain. Chem. Eng. 2019, 7, 5711–5716. [Google Scholar] [CrossRef]
- Solanki, B.S.; Rode, C.V. Selective hydrogenolysis of 5-(hydroxymethyl) furfural over Pd/C catalyst to 2,5-dimethylfuran. J. Saudi Chem. Soc. 2019, 23, 439–451. [Google Scholar] [CrossRef]
- Zhang, K.L.; Meng, Q.L.; Wu, H.H.; He, M.Y.; Han, B.X. Selective Hydrogenolysis of 5-Hydroxymethylfurfural into 2,5-Dimethylfuran under Mild Conditions Using Pd/MOF-808. ACS Sustain. Chem. Eng. 2022, 10, 10286–10293. [Google Scholar] [CrossRef]
- Jae, J.; Zheng, W.Q.; Karim, A.M.; Guo, W.; Lobo, R.F.; Vlachos, D.G. The Role of Ru and RuO2 in the Catalytic Transfer Hydrogenation of 5-Hydroxymethylfurfural for the Production of 2,5-Dimethylfuran. ChemCatChem 2014, 6, 848–856. [Google Scholar] [CrossRef]
- Tzeng, T.W.; Lin, C.Y.; Pao, C.W.; Chen, J.L.; Nuguid, R.J.G.; Chung, P.W. Understanding catalytic hydrogenolysis of 5-hydroxymethylfurfural (HMF) to 2,5-dimethylfuran (DMF) using carbon supported Ru catalysts. Fuel Process. Technol. 2020, 199, 106225. [Google Scholar] [CrossRef]
- Bailón-García, E.; Maldonado-Hódar, F.J.; Pérez-Cadenas, A.F.; Carrasco-Marín, F. Catalysts Supported on Carbon Materials for the Selective Hydrogenation of Citral. Catalysts 2013, 3, 853–877. [Google Scholar] [CrossRef]
- Toebes, M.L.; Prinsloo, F.F.; Bitter, J.H.; van Dillen, A.J.; de Jong, K.P. Influence of oxygen-containing surface groups on the activity and selectivity of carbon nanofiber-supported ruthenium catalysts in the hydrogenation of cinnamaldehyde. J. Catal. 2003, 214, 78–87. [Google Scholar] [CrossRef]
- Breen, J.P.; Burch, R.; Gomez-Lopez, J.; Griffin, K.; Hayes, M. Steric effects in the selective hydrogenation of cinnamaldehyde to cinnamyl alcohol using an Ir/C catalyst. Appl. Catal. A Gen. 2004, 268, 267–274. [Google Scholar] [CrossRef]
- Samant, P.V.; Pereira, M.F.R.; Figueiredo, J.L. Mesoporous carbon supported Pt and Pt-Sn catalysts for hydrogenation of cinnamaldehyde. Catal. Today 2005, 102, 183–188. [Google Scholar] [CrossRef]
- Ma, H.X.; Wang, L.C.; Chen, L.Y.; Dong, C.; Yu, W.C.; Huang, T.; Qian, Y.T. Pt nanoparticles deposited over carbon nanotubes for selective hydrogenation of cinnamaldehyde. Catal. Commun. 2007, 8, 452–456. [Google Scholar] [CrossRef]
- Wang, J.; Zhao, J.R.; Fu, J.H.; Miao, C.L.; Jia, S.Y.; Yan, P.F.; Huang, J.H. Highly selective hydrogenation of 5-hydroxymethylfurfural to 2,5-bis (hydroxymethyl)furan over metal-oxide supported Pt catalysts: The role of basic sites. Appl. Catal. A Gen. 2022, 643, 118762. [Google Scholar] [CrossRef]
- Wang, S.D.; Cui, Y.H.; Zhao, C.X.; Liang, C.H.; Li, C. In Situ Fabrication of the Al2O3@NiMo Core-Shell Catalyst from LDH for Low-Pressure Hydrodeoxygenation of Fatty Acid Methyl Ester. Ind. Eng. Chem. Res. 2022, 61, 18232–18242. [Google Scholar] [CrossRef]
- Besson, M.; Gallezot, P.; Pinel, C. Conversion of Biomass into Chemicals over Metal Catalysts. Chem. Rev. 2014, 114, 1827–1870. [Google Scholar] [CrossRef] [PubMed]
- Goyal, R.; Sarkar, B.; Bag, A.; Siddiqui, N.; Dumbre, D.; Lucas, N.; Bhargava, S.K.; Bordoloi, A. Studies of synergy between metal-support interfaces and selective hydrogenation of HMF to DMF in water. J. Catal. 2016, 340, 248–260. [Google Scholar] [CrossRef]
- Li, T.T.; Ji, N.; Jia, Z.C.; Diao, X.Y.; Wang, Z.J.; Liu, Q.L.; Song, C.F.; Lu, X.B. Effects of metal promoters in bimetallic catalysts in hydrogenolysis of lignin derivatives into value-added chemicals. ChemCatChem 2020, 12, 5288–5302. [Google Scholar] [CrossRef]
- Zeng, Z.J.; Tang, Q.; Wen, B.; Luo, L.; Liu, X.X.; Xu, Q.; Zhong, W.Z. Zn-modified Co/N-C catalysts for adjustable conversion of 5-hydroxyme-thylfurfural to furan-based chemicals. J. Environ. Chem. Eng. 2024, 12, 112190. [Google Scholar] [CrossRef]
- Zu, Y.H.; Yang, P.P.; Wang, J.J.; Liu, X.H.; Ren, J.W.; Lu, G.Z.; Wang, Y.Q. Efficient production of the liquid fuel 2,5-dimethylfuran from 5-hydroxymethylfurfural over Ru/Co3O4 catalyst. Appl. Catal. B Environ. 2014, 146, 244–248. [Google Scholar] [CrossRef]
- Gao, Z.; Fan, G.L.; Liu, M.R.; Yang, L.; Li, F. Dandelion-like cobalt oxide microsphere-supported RuCo bimetallic catalyst for highly efficient hydrogenolysis of 5-hydroxymethylfurfural. Appl. Catal. B Environ. 2018, 237, 649–659. [Google Scholar] [CrossRef]
- Esen, M.; Akmaz, S.; Koc, S.N.; Gürkaynak, M.A. The hydrogenation of 5-hydroxymethylfurfural (HMF) to 2,5-dimethylfuran (DMF) with sol-gel Ru-Co/SiO2 catalyst. J. Sol-Gel Sci. Technol. 2019, 91, 664–672. [Google Scholar] [CrossRef]
- Luo, J.; Yun, H.; Mironenko, A.V.; Goulas, K.; Lee, J.D.; Monai, M.; Wang, C.; Vorotnikov, V.; Murray, C.B.; Vlachos, D.G.; et al. Mechanisms for High Selectivity in the Hydrodeoxygenation of 5-Hydroxymethylfurfural over PtCo Nanocrystals. ACS Catal. 2016, 6, 4095–4104. [Google Scholar] [CrossRef]
- Talpade, A.D.; Tiwari, M.S.; Yadav, G.D. Selective hydrogenation of bio-based 5-hydroxymethyl furfural to 2,5-dimethylfuran over magnetically separable Fe-Pd/C bimetallic nanocatalyst. Mol. Catal. 2019, 465, 1–15. [Google Scholar] [CrossRef]
- Nishimura, S.; Ikeda, N.; Ebitani, K. Selective hydrogenation of biomass-derived 5-hydroxymethylfurfural (HMF) to 2,5-dimethylfuran (DMF) under atmospheric hydrogen pressure over carbon supported PdAu bimetallic catalyst. Catal. Today 2014, 232, 89–98. [Google Scholar] [CrossRef]
- Thananatthanachon, T.; Rauchfuss, T.B. Efficient Production of the Liquid Fuel 2,5-Dimethylfuran from Fructose Using Formic Acid as a Reagent. Angew. Chem. Int. Ed. 2010, 49, 6616–6618. [Google Scholar] [CrossRef] [PubMed]
- Iriondo, A.; Mendiguren, A.; Güemez, M.B.; Requies, J.; Cambra, J.F. 2,5-DMF production through hydrogenation of real and synthetic 5-HMF over transition metal catalysts supported on carriers with different nature. Catal. Today 2017, 279, 286–295. [Google Scholar] [CrossRef]
- Umasankar, S.; Tamizhdurai, P.; Krishnan, P.S.; Narayanan, S.; Mangesh, V.L.; Shanthi, K. Effect of copper on NiCu bimetallic catalyst supported on SBA-16 for the catalytic hydrogenation of 5-hydroxymethylfurfural to 2,5-dimethylfuran. Biomass Bioenergy 2020, 143, 105868. [Google Scholar] [CrossRef]
- Shao, Y.W.; Wang, J.Z.; Sun, K.; Gao, G.M.; Li, C.; Zhang, L.J.; Zhang, S.; Xu, L.L.; Hu, G.Z.; Hu, X. Selective hydrogenation of furfural and its derivative over bimetallic NiFe-based catalysts: Understanding the synergy between Ni sites and Ni-Fe alloy. Renew. Energy 2021, 170, 1114–1128. [Google Scholar] [CrossRef]
- Sunyol, C.; Owen, R.E.; González, M.G.; Salagre, P.; Cesteros, Y. Catalytic hydrogenation of furfural to tetrahydrofurfuryl alcohol using competitive nickel catalysts supported on mesoporous clays. Appl. Catal. A Gen. 2021, 611, 117903. [Google Scholar] [CrossRef]
- Gyngazova, M.S.; Negahdar, L.; Blumenthal, L.C.; Palkovits, R. Experimental and kinetic analysis of the liquid phase hydrodeoxygenation of 5-hydroxymethylfurfural to 2,5-dimethylfuran over carbon-supported nickel catalysts. Chem. Eng. Sci. 2017, 173, 455–464. [Google Scholar] [CrossRef]
- Brandi, F.; Bäumel, M.; Shekova, I.; Molinari, V.; Al-Naji, M. 5-Hydroxymethylfurfural Hydrodeoxygenation to 2,5-Dimethylfuran in Continuous-Flow System over Ni on Nitrogen-Doped Carbon. Sustain. Chem. 2020, 1, 106–115. [Google Scholar] [CrossRef]
- Przydacz, M.; Jedrzejczyk, M.; Brzezinska, M.; Rogowski, J.; Keller, N.; Ruppert, A.M. Solvothermal hydrodeoxygenation of hydroxymethylfurfural derived from biomass towards added value chemicals on Ni/TiO2 catalysts. J. Supercrit. Fluids 2020, 163, 104827. [Google Scholar] [CrossRef]
- Kong, X.; Zhu, Y.F.; Zheng, H.Y.; Dong, F.; Zhu, Y.L.; Li, Y.W. Switchable synthesis of 2,5-dimethylfuran and 2,5-dihydroxymethyltetrahydrofuran from 5-hydroxymethylfurfural over Raney Ni catalyst. RSC Adv. 2014, 4, 60467–60472. [Google Scholar] [CrossRef]
- Kong, X.; Zhu, Y.F.; Zheng, H.Y.; Li, X.Q.; Zhu, Y.L.; Li, Y.W. Ni Nanoparticles Inlaid Nickel Phyllosilicate as a Metal-Acid Bifunctional Catalyst for Low-Temperature Hydrogenolysis Reactions. ACS Catal. 2015, 5, 5914–5920. [Google Scholar] [CrossRef]
- Kong, X.; Zheng, R.X.; Zhu, Y.F.; Ding, G.Q.; Zhu, Y.L.; Li, Y.W. Rational design of Ni-based catalysts derived from hydrotalcite for selective hydrogenation of 5-hydroxymethylfurfural. Green Chem. 2015, 17, 2504–2514. [Google Scholar] [CrossRef]
- Chen, N.M.; Zhu, Z.G.; Ma, H.K.; Liao, W.P.; Lü, H.Y. Catalytic upgrading of biomass-derived 5-hydroxymethylfurfural to biofuel 2,5-dimethylfuran over Beta zeolite supported non-noble Co catalyst. Mol. Catal. 2020, 486, 110882. [Google Scholar] [CrossRef]
- Xiang, S.; Dong, L.; Wang, Z.Q.; Han, X.; Daemen, L.L.; Li, J.; Cheng, Y.Q.; Guo, Y.; Liu, X.H.; Hu, Y.F.; et al. A unique Co@CoO catalyst for hydrogenolysis of biomass-derived 5-hydroxymethylfurfural to 2,5-dimethylfuran. Nat. Commun. 2022, 13, 3657. [Google Scholar] [CrossRef] [PubMed]
- Xiao, T.C.; Liu, X.H.; Xu, G.Y.; Zhang, Y. Phase tuning of ZrO2 supported cobalt catalysts for hydrodeoxygenation of 5-hydroxymethylfurfural to 2,5-dimethylfuran under mild conditions. Appl. Catal. B Environ. 2021, 295, 120270. [Google Scholar] [CrossRef]
- Yang, F.; Mao, J.B.; Li, S.M.; Yin, J.M.; Zhou, J.X.; Liu, W. Cobalt-graphene nanomaterial as an efficient catalyst for selective hydrogenation of 5-hydroxymethylfurfural into 2,5-dimethylfuran. Catal. Sci. Technol. 2019, 9, 1329–1333. [Google Scholar] [CrossRef]
- Xia, J.; Gao, D.; Han, F.; Li, Y.; Waterhouse, G.I.N. Efficient and Selective Hydrogenation of 5-Hydroxymethylfurfural to 2,5-Dimethylfuran Over a Non-noble CoNCx/NiFeO Catalyst. Catal. Lett. 2022, 152, 3400–3413. [Google Scholar] [CrossRef]
- Wang, J.S.; Wei, Q.H.; Ma, Q.X.; Guo, Z.Y.; Qin, F.F.; Ismagilov, Z.R.; Shen, W.Z. Constructing Co@N-doped graphene shell catalyst via Mott-Schottky effect for selective hydrogenation of 5-hydroxylmethylfurfural. Appl. Catal. B Environ. 2020, 263, 118339. [Google Scholar] [CrossRef]
- Zhang, Z.H.; Wang, C.X.; Gou, X.; Chen, H.; Chen, K.Q.; Lu, X.Y.; Ouyang, P.K.; Fu, J. Catalytic in-situ hydrogenation of 5-hydroxymethylfurfural to 2,5-dimethylfuran over Cu-based catalysts with methanol as a hydrogen donor. Appl. Catal. A Gen. 2019, 570, 245–250. [Google Scholar] [CrossRef]
- Lakshmi, D.D.; Rao, B.S.; Yogita; Lingaiah, N. Selective hydrodeoxygenation of 5-hydroxymethylfurfural to 2,5-dimethylfuran over mesoporous silica supported copper catalysts. Mater. Sci. Energy Technol. 2021, 4, 357–366. [Google Scholar] [CrossRef]
- Esteves, L.M.; Brijaldo, M.H.; Oliveira, E.G.; Martinez, J.J.; Rojas, H.; Caytuero, A.; Passos, F.B. Effect of support on selective 5-hydroxymethylfurfural hydrogenation towards 2,5-dimethylfuran over copper catalysts. Fuel 2020, 270, 117524. [Google Scholar] [CrossRef]
- Zhang, Z.N.; Liu, C.W.; Liu, D.; Shang, Y.N.; Yin, X.Q.; Zhang, P.; Mamba, B.B.; Kuvarega, A.T.; Gui, J.Z. Hydrothermal carbon-supported Ni catalysts for selective hydrogenation of 5-hydroxymethylfurfural toward tunable products. J. Mater. Sci. 2020, 55, 14179–14196. [Google Scholar] [CrossRef]
- Srivastava, S.; Jadeja, G.C.; Parikh, J. A versatile bi-metallic copper-cobalt catalyst for liquid phase hydrogenation of furfural to 2-methylfuran. RSC Adv. 2016, 6, 1649–1658. [Google Scholar] [CrossRef]
- Zhang, Z.H.; Pei, Z.H.; Chen, H.; Chen, K.Q.; Hou, Z.Y.; Lu, X.Y.; Ouyang, P.K.; Fu, J. Catalytic In-Situ Hydrogenation of Furfural over Bimetallic Cu-Ni Alloy Catalysts in Isopropanol. Ind. Eng. Chem. Res. 2018, 57, 4225–4230. [Google Scholar] [CrossRef]
- Srivastava, S.; Jadeja, G.C.; Parikh, J. Influence of supports for selective production of 2,5-dimethylfuran via bimetallic copper-cobalt catalyzed 5-hydroxymethylfurfural hydrogenolysis. Chin. J. Catal. 2017, 38, 699–709. [Google Scholar] [CrossRef]
- Zhang, Q.T.; Zuo, J.L.; Wang, L.; Peng, F.; Chen, S.Z.; Liu, Z.L. Non Noble-Metal Copper-Cobalt Bimetallic Catalyst for Efficient Catalysis of the Hydrogenolysis of 5-Hydroxymethylfurfural to 2,5-Dimethylfuran under Mild Conditions. ACS Omega 2021, 6, 10910–10920. [Google Scholar] [CrossRef] [PubMed]
- Solanki, B.S.; Rode, C.V. Selective hydrogenation of 5-HMF to 2,5-DMF over a magnetically recoverable non-noble metal catalyst. Green Chem. 2019, 21, 6390–6406. [Google Scholar] [CrossRef]
- Zhu, C.H.; Wang, H.Y.; Li, H.; Cai, B.J.; Lv, W.; Cai, C.L.; Wang, C.G.; Yan, L.; Liu, Q.Y.; Ma, L.L. Selective Hydrodeoxygenation of 5-Hydroxymethylfurfural to 2,5-Dimethylfuran over Alloyed Cu-Ni Encapsulated in Biochar Catalysts. ACS Sustain. Chem. Eng. 2019, 7, 19556–19569. [Google Scholar] [CrossRef]
- Huang, Y.B.; Chen, M.Y.; Yan, L.; Guo, Q.X.; Fu, Y. Nickel-Tungsten Carbide Catalysts for the Production of 2,5-Dimethylfuran from Biomass- Derived Molecules. ChemSusChem 2014, 7, 1068–1072. [Google Scholar] [CrossRef] [PubMed]
- Guo, D.W.; Lai, J.H.; Cheng, F.; Zhao, W.G.; Chen, H.; Li, H.; Liu, X.X.; Yin, D.L.; Yu, N.Y. Titanium silicalite-1 supported bimetallic catalysts for selective hydrogenolysis of 5-hydroxymethylfurfural to biofuel 2, 5-dimethylfuran. Chem. Eng. J. Adv. 2021, 5, 100081. [Google Scholar] [CrossRef]
- Luo, J.; Monai, M.; Wang, C.; Lee, J.D.; Duchon, T.; Dvorák, F.; Matolín, V.; Murray, C.B.; Fornasiero, P.; Gorte, R.J. Unraveling the surface state and composition of highly selective nanocrystalline Ni-Cu alloy catalysts for hydrodeoxygenation of HMF. Catal. Sci. Technol. 2017, 7, 1735–1743. [Google Scholar] [CrossRef]
- Chen, B.F.; Li, F.B.; Huang, Z.J.; Yuan, G.Q. Carbon-coated Cu-Co bimetallic nanoparticles as selective and recyclable catalysts for production of biofuel 2,5-dimethylfuran. Appl. Catal. B Environ. 2017, 200, 192–199. [Google Scholar] [CrossRef]








| Catalyst | Solvent | HMF Concentration (mg/mL) | Reaction Conditions | Conversion (%) | DMF Yield (%) | References |
|---|---|---|---|---|---|---|
| Ru/C | IPA | 10.0 | 190 °C/2.0 MPa H2/6 h | 97.0 | 81.0 | [32] |
| Ru/CNTs | Dioxane | 5.0 | 150 °C/0.2 MPa H2/1 h | 97.0 | 83.5 | [33] |
| Pt/CNTs-ALD | 1-Butanol | 12.5 | 160 °C/1.0 MPa H2/10 h | >99 | 47.0 | [34] |
| Pt/C | 1-Propanol | 10.0 | 180 °C/3.3 MPa H2 | >99 | 68.5 | [35] |
| Pt/rGO | 1-Butanol | 21.0 | 120 °C/3.0 MPa H2/2 h | >99 | 73.2 | [36] |
| Pt@HPS | 1-Butanol | 42.7 | 180 °C/0.1 MPa H2/2 h | >99 | 98.0 | [37] |
| Pd/C | Dioxane | 12.6 | 118 °C/0.2 MPa H2/15 h | >99 | 85.0 | [38] |
| Pd/C | THF | 64.0 | 80 °C/2.0 MPa H2/24 h | >99 | 95.6 | [39] |
| Pd/C | IPA | 3.9 | 170 °C/2.0684 MPa H2/4 h | >99 | 99.0 | [40] |
| Pd/MOF-808 | THF | 18.9 | 100 °C/1.0 MPa H2/3 h | >99 | >99.0 | [41] |
| Catalyst | Solvent | HMF Concentration (mg/mL) | Reaction Conditions | Conversion (%) | DMF Yield (%) | References |
|---|---|---|---|---|---|---|
| Ni/C | THF | 18.0 | 180 °C/4.5 MPa H2/2 h | >99 | 75.0 | [66] |
| Ni/NDC | Ethanol | 6.3 | 150 °C/8.0 MPa H2 | >99 | 80.0 | [67] |
| Ni/TiO2 | Dioxane | 33.3 | 220 °C/3.0 MPa H2/2 h | >99 | 85.0 | [68] |
| Raney Ni | Dioxane | 42.9 | 180 °C/1.5 MPa H2/15 h | >99 | 88.5 | [69] |
| NiSi-PS | Dioxane | 39.5 | 150 °C/1.5 MPa H2/2 h | >99 | 90.2 | [70] |
| Ni-Al2O3 | Dioxane | 42.9 | 180 °C/1.2 MPa H2/4 h | >99 | 91.5 | [71] |
| Co/Beta-DA | THF | 10.5 | 150 °C/1.5 MPa H2/3 h | >99 | 83.1 | [72] |
| Co@CoO | THF | 30.0 | 130 °C/1 MPa H2/2h | >99 | 89.0 | [73] |
| Co/Mix-ZrO2 | THF | 10.0 | 130 °C/1.0 MPa H2/2 h | >99 | 90.7 | [74] |
| Co/rGO | Ethanol | 25.0 | 200 °C/2.9 MPa H2/1 h | >99 | 94.1 | [75] |
| CoNCx/NiFeO | THF | 25.0 | 180 °C/1.0 MPa H2/6 h | >99 | 94.3 | [76] |
| Co@NGs | Ethanol | 9.0 | 200 °C/2.0 MPa H2/4 h | >99 | 94.7 | [77] |
| Cu/Al2O3 | Methanol | 14.3 | 240 °C/6 MPa H2/6 h | >99 | 73.9 | [78] |
| Cu/SBA-15 | THF | 12.6 | 180 °C/2.0 MPa H2/8 h | >99 | 90.0 | [79] |
| Cu/ZnO | Dioxane | 42.9 | 220 °C/1.5 MPa H2/5 h | >99 | 91.8 | [31] |
| Cu/Fe2O3-Al2O3 | THF | 12.6 | 148 °C/0.2 MPa H2/10 h | >99 | 93.9 | [80] |
Disclaimer/Publisher’s Note: The statements, opinions and data contained in all publications are solely those of the individual author(s) and contributor(s) and not of MDPI and/or the editor(s). MDPI and/or the editor(s) disclaim responsibility for any injury to people or property resulting from any ideas, methods, instructions or products referred to in the content. |
© 2024 by the authors. Licensee MDPI, Basel, Switzerland. This article is an open access article distributed under the terms and conditions of the Creative Commons Attribution (CC BY) license (https://creativecommons.org/licenses/by/4.0/).
Share and Cite
He, J.; Peng, J.; Ling, R.; Wang, J. Recent Progress on the Production of Liquid Fuel 2,5-Dimethylfuran via Chemoselective Hydrogenolysis Biomass-Derived 5-Hydroxymethylfurfural. Catalysts 2025, 15, 31. https://doi.org/10.3390/catal15010031
He J, Peng J, Ling R, Wang J. Recent Progress on the Production of Liquid Fuel 2,5-Dimethylfuran via Chemoselective Hydrogenolysis Biomass-Derived 5-Hydroxymethylfurfural. Catalysts. 2025; 15(1):31. https://doi.org/10.3390/catal15010031
Chicago/Turabian StyleHe, Jiadai, Jiayi Peng, Renhui Ling, and Jianjian Wang. 2025. "Recent Progress on the Production of Liquid Fuel 2,5-Dimethylfuran via Chemoselective Hydrogenolysis Biomass-Derived 5-Hydroxymethylfurfural" Catalysts 15, no. 1: 31. https://doi.org/10.3390/catal15010031
APA StyleHe, J., Peng, J., Ling, R., & Wang, J. (2025). Recent Progress on the Production of Liquid Fuel 2,5-Dimethylfuran via Chemoselective Hydrogenolysis Biomass-Derived 5-Hydroxymethylfurfural. Catalysts, 15(1), 31. https://doi.org/10.3390/catal15010031

