Electrocatalytic Hydrogen Evolution Reaction of Cobalt Triaryl Corrole Bearing Nitro Group
Abstract
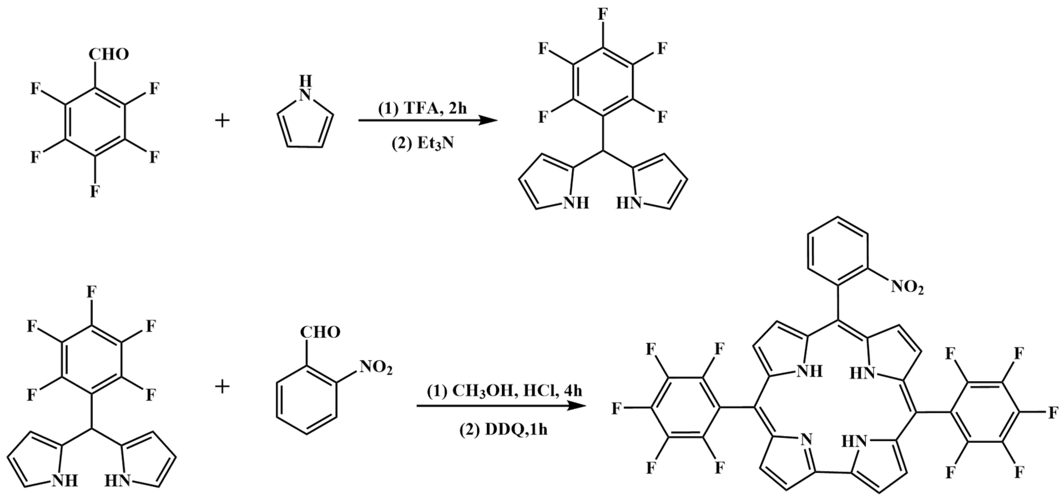
1. Introduction
2. Results and Discussion
2.1. Structural Characterization
2.1.1. UV–Vis Spectra of Free–Base Corroles and Cobalt Complexes
2.1.2. X-ray Photoelectron Spectroscopy
2.1.3. X-ray Diffraction of Single Crystal
2.2. Cyclic Voltammogram Studies
2.3. Electrocatalytic Study in DMF
2.4. Possible Catalytic Hydrogen Production Pathways
2.5. Electrocatalytic Study in Neutral Aqueous System
3. Materials and Methods
- Synthesis of 10−(2−nitrophenyl)−5,15−bis−pentafluorophenyl corrole (2−NBPC)
- Synthesis of 10−(3−nitrophenyl)−5,15−bis−pentafluorophenyl corrole (3−NBPC)
- Synthesis of 10−(4−nitrophenyl)−5,15−bis−pentafluorophenyl corrole (4−NBPC)
- Synthesis of complex 1
- Synthesis of complex 2
- Synthesis of complex 3
4. Conclusions
Supplementary Materials
Author Contributions
Funding
Data Availability Statement
Acknowledgments
Conflicts of Interest
References
- Martins, F.; Felgueiras, C.; Smitkova, M.; Caetano, N. Analysis of Fossil Fuel Energy Consumption and Environmental Impacts in European Countries. Energies 2019, 12, 964. [Google Scholar] [CrossRef]
- Liu, Y.; Lu, M.; Perng, T.; Chen, L. Plasmonic enhancement of hydrogen production by water splitting with CdS nanowires protected by metallic TiN overlayers as highly efficient photocatalysts. Nano Energy 2021, 89, 106407. [Google Scholar] [CrossRef]
- Li, S.; Feng, K.; Li, M. Identifying the main contributors of air pollution in Beijing. J. Clean. Prod. 2017, 163, S359–S365. [Google Scholar] [CrossRef]
- Lott, M.C.; Pye, S.; Dodds, P.E. Quantifying the co–impacts of energy sector decarbonisation on outdoor air pollution in the United Kingdom. Energy Policy 2017, 101, 42–51. [Google Scholar] [CrossRef]
- Wu, Z.; Adebayo, T.S.; Alola, A.A. Renewable energy intensity and efficiency of fossil energy fuels in the nordics: How environmentally efficient is the energy mix? J. Clean. Prod. 2024, 438, 140711. [Google Scholar] [CrossRef]
- Zabelin, D.; Tomšíková, K.; Zabelina, A.; Stastny, M.; Michalcova, A.; Mestek, S.; Burtsev, V.; Guselnikova, O.; Miliutina, E.; Kolska, Z.; et al. Enhancing hydrogen storage efficiency: Surface–modified boron nanosheets combined with IRMOF–20 for safe and selective hydrogen storage. Int. J. Hydrogen Energy 2024, 57, 1025–1031. [Google Scholar] [CrossRef]
- Ishaq, H.; Dincer, I.; Crawford, C. A review on hydrogen production and utilization: Challenges and opportunities. Int. J. Hydrogen Energy 2022, 47, 26238–26264. [Google Scholar] [CrossRef]
- Liponi, A.; Pasini, G.; Baccioli, A.; Ferrari, L. Hydrogen from renewables: Is it always green? The Italian scenario. Energy Convers. Manag. 2023, 276, 116525. [Google Scholar] [CrossRef]
- Suer, J.; Traverso, M.; Jäger, N. Carbon Footprint Assessment of Hydrogen and Steel. Energies 2022, 15, 9468. [Google Scholar] [CrossRef]
- Yu, Z.Y.; Duan, Y.; Feng, X.Y.; Yu, X.; Gao, M.R.; Yu, S.H. Clean and Affordable Hydrogen Fuel from Alkaline Water Splitting: Past, Recent Progress, and Future Prospects. Adv. Mater. 2021, 33, 2007100. [Google Scholar] [CrossRef]
- Zhou, K.L.; Wang, Z.; Han, C.B.; Ke, X.; Wang, C.; Jin, Y.; Zhang, Q.; Liu, J.; Wang, H.; Yan, H. Platinum single–atom catalyst coupled with transition metal/metal oxide heterostructure for accelerating alkaline hydrogen evolution reaction. Nat. Commun. 2021, 12, 3783. [Google Scholar] [CrossRef] [PubMed]
- Zhang, H.; Zhou, W.; Lu, X.F.; Chen, T.; Lou, X.W.D. Implanting Isolated Ru Atoms into Edge–Rich Carbon Matrix for Efficient Electrocatalytic Hydrogen Evolution. Adv. Energy Mater. 2020, 10, 2000882. [Google Scholar] [CrossRef]
- Liu, Z.; Qi, J.; Zeng, H.; Zeng, Y.; Wang, J.; Gu, L.; Hong, E.; Yang, M.; Fu, Q.; Chen, J.; et al. Electrochemical Preparation of Iridium Hydroxide Nanosheets with Ordered Honeycomb Structures for the Oxygen Evolution Reaction in Acid. ACS Appl. Energy Mater. 2022, 5, 6869–6877. [Google Scholar] [CrossRef]
- Hu, M.; Ming, M.; Xu, C.; Wang, Y.; Zhang, Y.; Gao, D.; Bi, J.; Fan, G. Towards High–Efficiency Hydrogen Production through in situ Formation of Well–Dispersed Rhodium Nanoclusters. ChemSusChem 2018, 11, 3253–3258. [Google Scholar] [CrossRef] [PubMed]
- Liu, H.; Wang, C.; Liu, C.; Zong, X.; Wang, Y.; Hu, Z.; Zhang, Z. Palladium nanoparticles confined in uncoordinated amine groups of metal–organic frameworks as efficient hydrogen evolution electrocatalysts. Dalton Trans. 2023, 52, 9705–9713. [Google Scholar] [CrossRef] [PubMed]
- Subbaraman, R.; Tripkovic, D.; Strmcnik, D.; Chang, K.; Uchimura, M.; Paulikas, A.P.; Stamenkovic, V.; Markovic, N.M. Enhancing Hydrogen Evolution Activity in Water Splitting by Tailoring Li+−Ni(OH)2−Pt Interfaces. Science 2011, 334, 1256–1260. [Google Scholar] [CrossRef]
- Abdelghafar, F.; Xu, X.M.; Jiang, S.P.; Shao, Z.P. Designing single–atom catalysts toward improved alkaline hydrogen evolution reaction. Mater. Rep. Energy 2022, 2, 100144. [Google Scholar] [CrossRef]
- Li, Q.; Chen, B.; Huang, L.; Zhu, S.; Qian, Y.; Wu, D.; Luo, S.; Xie, A. S–doped Ni(Fe)OOH bifunctional electrocatalysts for overall water splitting. Int. J. Hydrogen Energy 2024, 51, 1392–1406. [Google Scholar] [CrossRef]
- Li, Y.; Li, H.; Li, Y.; Peng, S.; Hu, Y.H. Fe−B alloy coupled with Fe clusters as an efficient cocatalyst for photocatalytic hydrogen evolution. Chem. Eng. J. 2018, 344, 506–513. [Google Scholar] [CrossRef]
- Nivetha, R.; Kollu, P.; Chandar, K.; Pitchaimuthu, S.; Jeong, S.K.; Grace, A.N. Role of MIL−53(Fe)/hydrated–dehydrated MOF catalyst for electrochemical hydrogen evolution reaction (HER) in alkaline medium and photocatalysis. RSC Adv. 2019, 9, 3215–3223. [Google Scholar] [CrossRef]
- Wang, H.; Niu, C.; Liu, W.; Tao, S. d−Electron tuned CoMoP for enhance 5−hydroxymethylfurfural oxidation and HER. Appl. Catal. B Environ. 2024, 340, 123249. [Google Scholar] [CrossRef]
- Diao, J.; Wang, S.; Yang, Z.; Qiu, Y.; Xu, R.; Wang, W.; Chen, K.; Li, X.; Chao, T.; Guo, X.; et al. Interfacial Electron Distribution of Co Nanoparticles Supported on N−Doped Mesoporous Hollow Carbon Spheres Endows Highly Efficient ORR, OER, and HER. Adv. Mater. Interfaces 2023, 10, 2202394. [Google Scholar] [CrossRef]
- Bai, J.; Wang, Y.; Wang, Y.; Zhang, T.; Dong, G.; Geng, D. Self–reconstruction–induced c−CoSe2 coupled with co(OH)2 from Co0.85Se For efficient HER Electrocatalysis in alkaline media. Int. J. Energy Res. 2022, 46, 12476–12484. [Google Scholar] [CrossRef]
- Moroto, K.; Miyake, K.; Shu, Y.; Toyama, Y.; Ma, J.; Tanaka, S.; Nishiyama, N.; Fukuhara, C.; Kong, C.Y. Fabrication of NiSx/C with a tuned S/Ni molar ratio using Ni2+ ions and Amberlyst for hydrogen evolution reaction (HER). Int. J. Hydrogen Energy 2020, 45, 24567–24572. [Google Scholar] [CrossRef]
- Liu, Y.; Wang, J.; Tian, Q.; Liu, M.; Wang, X.; Li, P.; Li, W.; Cai, N.; Chen, W.; Yu, F. Papillae–like morphology of Ni/Ni(OH)2 hybrid crystals by stepwise electrodeposition for synergistically improved HER. Crystengcomm 2019, 21, 3431–3438. [Google Scholar] [CrossRef]
- Lai, W.; Ge, L.; Li, H.; Deng, Y.; Xu, B.; Ouyang, B.; Kan, E. In situ Raman spectroscopic study towards the growth and excellent HER catalysis of Ni/Ni(OH)2 heterostructure. Int. J. Hydrogen Energy 2021, 46, 26861–26872. [Google Scholar] [CrossRef]
- Xu, X.M.; Pan, Y.L.; Zhong, Y.J.; Ge, L.; Jiang, S.P.; Shao, Z.P. From scheelite BaMoO4 to perovskite BaMoO3: Enhanced electrocatalysis toward the hydrogen evolution in alkaline media. Compos. Part B Eng. 2020, 198, 108214. [Google Scholar] [CrossRef]
- Islam, M.F.; Ahsan, M.; Islam, M.N.; Hossain, M.I.; Bahadur, N.M.; Aziz, M.A.; Al-Humaidi, J.Y.; Rahman, M.M.; Maiyalagan, T.; Hasnat, M.A. Recent Advancements in Ascribing Several Platinum Free Electrocatalysts Pertinent to Hydrogen Evolution from Water Reduction. Chem.-Asian J. 2024, e202400220. [Google Scholar] [CrossRef] [PubMed]
- Oyshi, T.A.; Islam, M.T.; Al-Humaidi, J.Y.; Rahman, M.M.; Hasnat, M.A. Nanoarchitectonics for optimization of a Ti/Au−IrOx electrode for enhanced catalytic performance pertinent to hydrogen evolution reaction. Int. J. Hydrogen Energy 2024, 64, 1011–1020. [Google Scholar] [CrossRef]
- Islam, M.N.; Hossain, M.M.; Maktedar, S.S.; Rahaman, M.; Rahman, M.A.; Hasnat, M.A. Ce−Doped TiO2 Fabricated Glassy Carbon Electrode for Efficient Hydrogen Evolution Reaction in Acidic Medium. Chem.-Asian J. 2024, e20230114. [Google Scholar] [CrossRef]
- Zhang, H.; Diao, J.; Liu, Y.; Zhao, H.; Ng, B.K.Y.; Ding, Z.; Guo, Z.; Li, H.; Jia, J.; Yu, C.; et al. In–Situ–Grown Cu Dendrites Plasmonically Enhance Electrocatalytic Hydrogen Evolution on Facet−Engineered Cu2O. Adv. Mater. 2023, 35, e2305742. [Google Scholar] [CrossRef] [PubMed]
- Calvary, C.A.; Hietsoi, O.; Hofsommer, D.T.; Brun, H.C.; Costello, A.M.; Mashuta, M.S.; Guo, Z.; Li, H.; Jia, J.; Yu, C.; et al. Copper bis(thiosemicarbazone) Complexes with Pendent Polyamines: Effects of Proton Relays and Charged Moieties on Electrocatalytic HER. Eur. J. Inorg. Chem. 2021, 2021, 267–275. [Google Scholar] [CrossRef]
- Zhang, Y.; Zhou, B.; Wei, Z.; Zhou, W.; Wang, D.; Tian, J.; Wang, T.; Zhao, S.; Liu, J.; Tao, L.; et al. Coupling Glucose–Assisted Cu(I)/Cu(II) Redox with Electrochemical Hydrogen Production. Adv. Mater. 2021, 33, e2104791. [Google Scholar] [CrossRef] [PubMed]
- Islam, M.N.; Ahmed, J.; Faisal, M.; Algethami, J.S.; Aoki, K.; Nagao, Y.; Harraz, F.A.; Hasnat, M.A. Efficient Electrocatalytic Hydrogen Evolution Reaction on CuO Immobilized Stainless–Steel Electrode Prepared by the SILAR Method. ChemistrySelect 2023, 8, e202301077. [Google Scholar] [CrossRef]
- Di Natale, C.; Gros, C.P.; Paolesse, R. Corroles at work: A small macrocycle for great applications. Chem. Soc. Rev. 2022, 51, 1277–1335. [Google Scholar] [CrossRef] [PubMed]
- Joseph, M.; Haridas, S. Recent progresses in porphyrin assisted hydrogen evolution. Int. J. Hydrogen Energy 2020, 45, 11954–11975. [Google Scholar] [CrossRef]
- Niu, Y.; Li, M.; Zhang, Q.; Zhu, W.; Mack, J.; Fomo, G.; Nyokong, T.; Liang, X. Halogen substituted A2B type Co(III)triarylcorroles: Synthesis, electronic structure and two step modulation of electrocatalyzed hydrogen evolution reactions. Dye. Pigm. 2017, 142, 416–428. [Google Scholar] [CrossRef]
- Mahammed, A.; Mondal, B.; Rana, A.; Dey, A.; Gross, Z. The cobalt corrole catalyzed hydrogen evolution reaction: Surprising electronic effects and characterization of key reaction intermediates. Chem. Commun. 2014, 50, 2725–2727. [Google Scholar] [CrossRef] [PubMed]
- Hao, J.X.; Liu, Z.; Xu, S.; Si, L.; Wang, L.; Liu, H. Electrocatalytic hydrogen evolution by cobalt(III) triphenyl corrole bearing different number of trifluoromethyl groups. Inorganica Chim. Acta 2024, 564, 121967. [Google Scholar] [CrossRef]
- Sudhakar, K.; Mahammed, A.; Fridman, N.; Gross, Z. Trifluoromethylation for affecting the structural, electronic and redox properties of cobalt corroles. Dalton Trans. Int. J. Inorg. Chem. 2019, 48, 4798–4810. [Google Scholar] [CrossRef]
- Yang, G.; Ullah, Z.; Yang, W.; Wook Kwon, H.; Liang, Z.X.; Zhan, X.; Yuan, G.Q.; Liu, H.Y. Substituent Effect on Ligand–Centered Electrocatalytic Hydrogen Evolution of Phosphorus Corroles. ChemSusChem 2023, 16, e202300211. [Google Scholar] [CrossRef] [PubMed]
- Wan, B.; Cheng, F.; Lan, J.; Zhao, Y.; Yang, G.; Sun, Y.; Si, L.-P.; Liu, H.-Y. Electrocatalytic hydrogen evolution of manganese corrole. Int. J. Hydrogen Energy 2023, 48, 5506–5517. [Google Scholar] [CrossRef]
- Liu, Z.Y.; Lai, J.; Yang, G.; Ren, B.P.; Lv, Z.; Si, L.; Zhang, H.; Liu, H.-Y. Electrocatalytic hydrogen production by CN− substituted cobalt triaryl corroles. Catal. Sci. Technol. 2022, 12, 5125–5135. [Google Scholar] [CrossRef]
- Ren, B.P.; Yang, G.; Lv, Z.Y.; Liu, Z.; Zhang, H.; Si, L.; Liu, H.-Y. First application of Sn (IV) corrole as electrocatalyst in hydrogen evolution reaction. Inorg. Chem. Commun. 2023, 152, 110663. [Google Scholar] [CrossRef]
- Lv, Z.Y.; Yang, G.; Ren, B.P.; Liu, Z.Y.; Zhang, H.; Si, L.P.; Liu, H.-Y.; Chang, C.-K. Electrocatalytic Hydrogen Evolution of the Cobalt Triaryl Corroles Bearing Hydroxyl Groups. Eur. J. Inorg. Chem. 2023, 26, e202200755. [Google Scholar] [CrossRef]
- Chen, H.; Huang, D.; Hossain, M.S.; Luo, G.; Liu, H. Electrocatalytic activity of cobalt tris(4−nitrophenyl)corrole for hydrogen evolution from water. J. Coord. Chem. 2019, 72, 2791–2803. [Google Scholar] [CrossRef]
- Lei, H.; Fang, H.; Han, Y.; Lai, W.; Fu, X.; Cao, R. Reactivity and Mechanism Studies of Hydrogen Evolution Catalyzed by Copper Corroles. ACS Catal. 2015, 5, 4978–5646. [Google Scholar] [CrossRef]
- Feizi, H.; Bagheri, R.; Song, Z.; Shen, J.; Allakhverdiev, S.I.; Najafpour, M.M. Cobalt/Cobalt Oxide Surface for Water Oxidation. ACS Sustain. Chem. Eng. 2019, 7, 6093–6105. [Google Scholar] [CrossRef]
- Jiang, Y.; Yang, C.; Yu, Y.; Zhou, Y.; Shang, Z.; Zhang, S.; Liu, P.; Zhu, J.; Jiang, M. Aromatic polyaroxydiazole pseudocapacitive anode materials with tunable electrochemical performance through side group engineering. J. Mater. Chem. Mater. 2023, 12, 364–374. [Google Scholar] [CrossRef]
- Lei, H.; Liu, C.; Wang, Z.; Zhang, Z.; Zhang, M.; Chang, X.; Zhang, W.; Cao, R. Noncovalent Immobilization of a Pyrene–Modified Cobalt Corrole on Carbon Supports for Enhanced Electrocatalytic Oxygen Reduction and Oxygen Evolution in Aqueous Solutions. ACS Catal. 2016, 6, 6429–6437. [Google Scholar] [CrossRef]
- Lin, H.; Hossain, M.S.; Zhan, S.; Liu, H.; Si, L. Electrocatalytic hydrogen evolution using triaryl corrole cobalt complex. Appl. Organomet. Chem. 2020, 34, e5583. [Google Scholar] [CrossRef]
- Ahmad, E.; Rai, S.; Padhi, S.K. Proton reduction by a Ni(II) catalyst and foot–of–the wave analysis for H2 evolution. Int. J. Hydrogen Energy 2019, 44, 16467–16477. [Google Scholar] [CrossRef]
- Felton, G.A.N.; Glass, R.S.; Lichtenberger, D.L.; Evans, D.H. Iron–Only Hydrogenase Mimics. Thermodynamic Aspects of the Use of Electrochemistry to Evaluate Catalytic Efficiency for Hydrogen Generation. Inorg. Chem. 2006, 45, 9181–9184. [Google Scholar] [CrossRef] [PubMed]
- Fang, J.; Lan, J.; Yang, G.; Yuan, G.; Liu, H.; Si, L. Synthesis of cobalt A2B triaryl corroles bearing aldehyde and amide pyridyl groups and their performance in electrocatalytic hydrogen evolution. New J. Chem. 2021, 45, 5127–5136. [Google Scholar] [CrossRef]
- Yan, Q.W.; Wu, L.W.; Liu, Z.; Chen, F.; Ling, C.; Liu, H.Y.; Xiao, X.-Y.; Si, L.-P. First application of antimony(III) corrole for electrocatalytic hydrogen evolution. Green. Chem. 2024, 26, 4574–4581. [Google Scholar] [CrossRef]
- Peng, W.Y.; Lan, J.; Zhu, Z.M.; Si, L.P.; Zhang, H.; Zhan, S.Z.; Liu, H.Y. Synthesis of metal (Ga, Co and Fe) 5,15−bis(pentafluorophenyl)−10−ethoxycarbonylcorrole and their electrocatalytic hydrogen evolution activity. Inorg. Chem. Commun. 2022, 140, 109453. [Google Scholar] [CrossRef]
- Xu, S.Y.; Cen, J.H.; Yang, G.; Si, L.P.; Xiao, X.Y.; Liu, H.Y. Electrocatalytic Hydrogen Evolution by Binuclear Metal (M=Co, Fe, Mn) Xanthine Bridged Bis−corrole. Chem. Res. Chin. Univ. 2024. [Google Scholar] [CrossRef]
- Lei, J.; Luo, S.; Zhan, S. A cobalt complex, a highly efficient catalyst for electro– and photochemical driven hydrogen generation in purely aqueous media. Polyhedron 2018, 154, 295–301. [Google Scholar] [CrossRef]
- Wu, L.-W.; Yao, Y.-F.; Xu, S.-Y.; Cao, X.-Y.; Ren, Y.-W.; Si, L.-P.; Liu, H.-Y. Electrocatalytic Hydrogen Evolution of Transition Metal (Fe, Co and Cu)−Corrole Complexes Bearing an Imidazole Group. Catalysts 2024, 14, 5. [Google Scholar] [CrossRef]
- Xu, X.; Zhao, Y.; Yang, G.; Si, L.P.; Zhang, H.; Liu, H.Y. Electrocatalytic hydrogen evolution of a cobalt A2B triaryl corrole complex containing –N=PPh3 group. Int. J. Hydrogen Energy 2022, 47, 19062–19072. [Google Scholar] [CrossRef]
- Gagne, R.R.; Koval, C.A.; Lisensky, G.C. Ferrocene as an internal standard for electrochemical measurements. Inorg. Chem. 1980, 19, 2854–2855. [Google Scholar] [CrossRef]











| Complex | CoIII/CoII | −NO2Ph | CoII/CoI | ||
|---|---|---|---|---|---|
| Ox 1/V | Red 1/V | Red 2/V | Ox 3/V | Red 3/V | |
| 2−NBPC−Co (1) | −0.463 | −0.779 | −1.671 | −1.807 | −1.906 |
| 3−NBPC−Co (2) | −0.435 | −0.755 | −1.541 | −1.829 | −1.920 |
| 4−NBPC−Co (3) | −0.415 | −0.735 | −1.537 | −1.813 | −1.909 |
Disclaimer/Publisher’s Note: The statements, opinions and data contained in all publications are solely those of the individual author(s) and contributor(s) and not of MDPI and/or the editor(s). MDPI and/or the editor(s) disclaim responsibility for any injury to people or property resulting from any ideas, methods, instructions or products referred to in the content. |
© 2024 by the authors. Licensee MDPI, Basel, Switzerland. This article is an open access article distributed under the terms and conditions of the Creative Commons Attribution (CC BY) license (https://creativecommons.org/licenses/by/4.0/).
Share and Cite
Zeng, J.; Cao, X.-Y.; Xu, S.-Y.; Qiu, Y.-F.; Chen, J.-Y.; Si, L.-P.; Liu, H.-Y. Electrocatalytic Hydrogen Evolution Reaction of Cobalt Triaryl Corrole Bearing Nitro Group. Catalysts 2024, 14, 454. https://doi.org/10.3390/catal14070454
Zeng J, Cao X-Y, Xu S-Y, Qiu Y-F, Chen J-Y, Si L-P, Liu H-Y. Electrocatalytic Hydrogen Evolution Reaction of Cobalt Triaryl Corrole Bearing Nitro Group. Catalysts. 2024; 14(7):454. https://doi.org/10.3390/catal14070454
Chicago/Turabian StyleZeng, Jie, Xu-You Cao, Shi-Yin Xu, Yi-Feng Qiu, Jun-Ying Chen, Li-Ping Si, and Hai-Yang Liu. 2024. "Electrocatalytic Hydrogen Evolution Reaction of Cobalt Triaryl Corrole Bearing Nitro Group" Catalysts 14, no. 7: 454. https://doi.org/10.3390/catal14070454
APA StyleZeng, J., Cao, X.-Y., Xu, S.-Y., Qiu, Y.-F., Chen, J.-Y., Si, L.-P., & Liu, H.-Y. (2024). Electrocatalytic Hydrogen Evolution Reaction of Cobalt Triaryl Corrole Bearing Nitro Group. Catalysts, 14(7), 454. https://doi.org/10.3390/catal14070454

