Benefit of LDH-Derived Mixed Oxides for the Co-Oxidation of Toluene and CO Exhausted from Biomass Combustion
Abstract
1. Introduction
2. Results and Discussions
2.1. Catalysts’ Characterization
2.2. Catalytic Tests
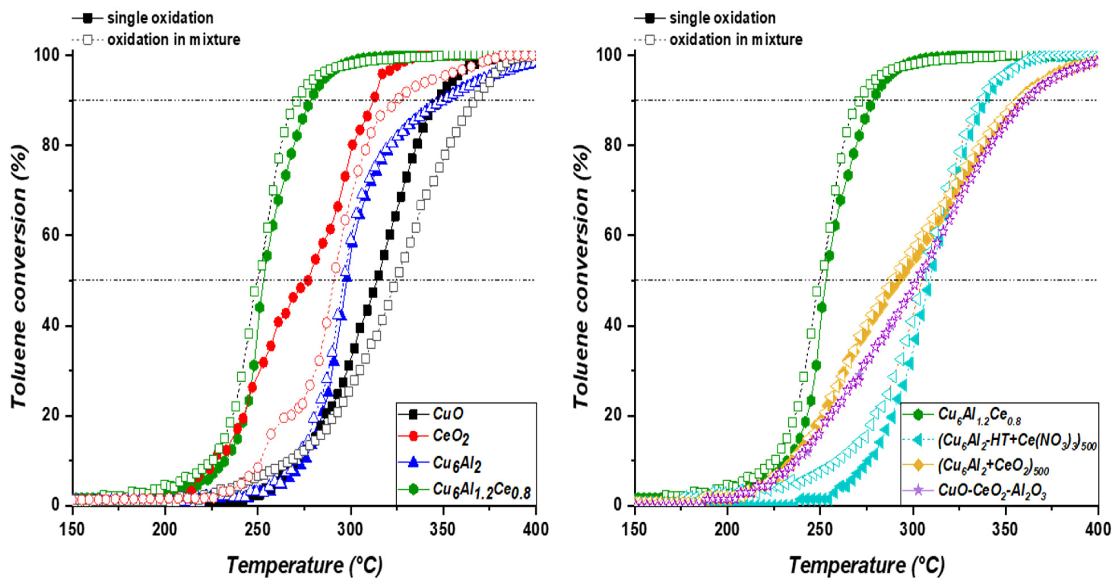
2.2.1. Individual Toluene Oxidation
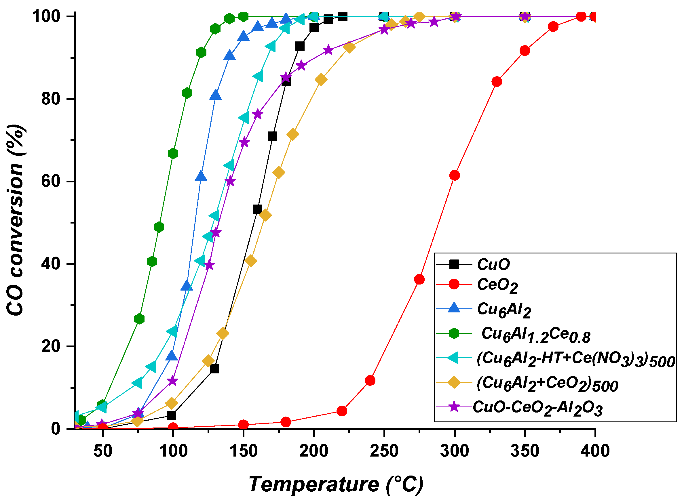
2.2.2. Individual CO Oxidation
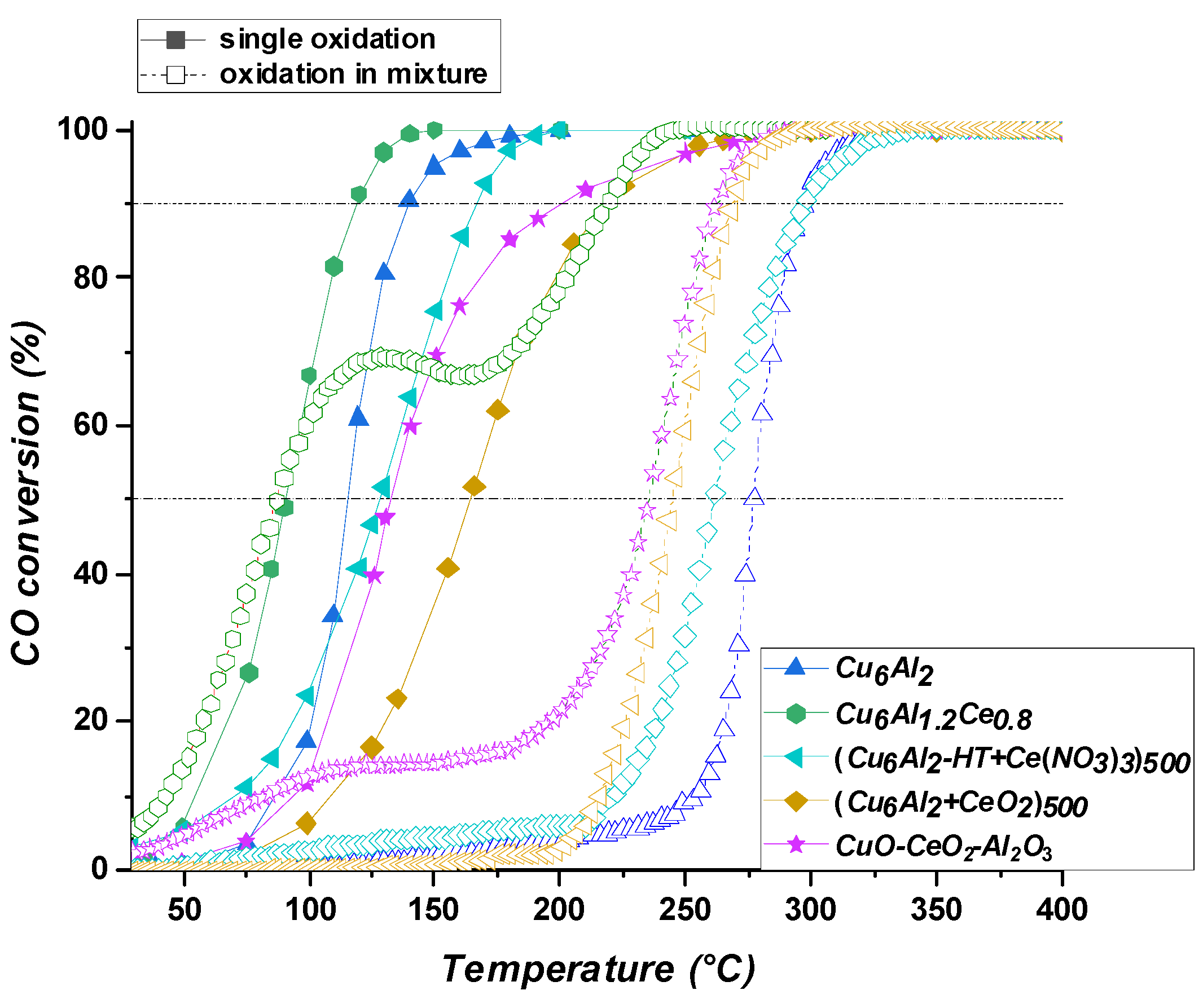
2.2.3. Toluene and CO Co-Oxidation
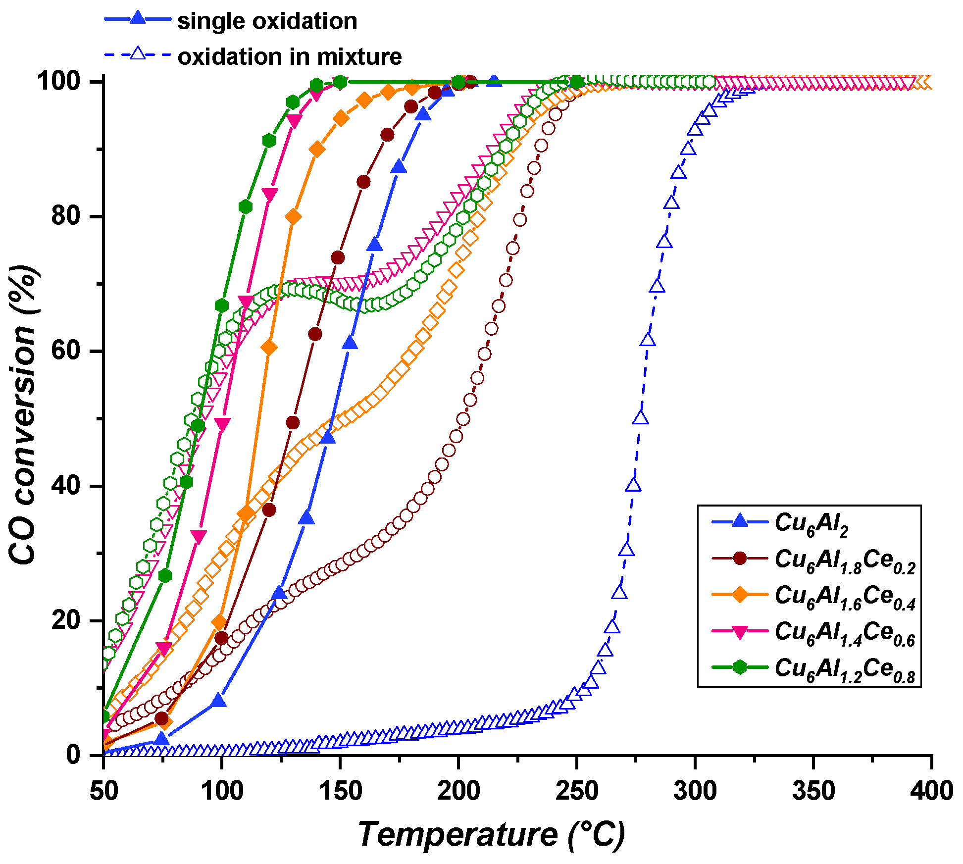
2.2.4. Influence of the Ce Fraction on the CuAl2−xCex Structure for Toluene and CO Co-Oxidation
2.2.5. CO Concentration Effect on the Toluene Oxidation in Mixture
2.2.6. Catalyst Reuse
3. Analytic Section
3.1. Reagents
3.2. Catalysts Preparation
3.3. Catalyst Characterization
3.4. Catalytic Tests
- : toluene conversion at temperature T;
- : analyzed benzene concentration at temperature T;
- : CO2 concentration produced from toluene by the following equation:
- : CO converted at temperature T;
- : initial inlet concentration of CO;
- : obtained CO concentration at temperature T by the infrared analyzer;
- refers to the detected concentrations of CO2 produced from CO.
4. Conclusions
Supplementary Materials
Author Contributions
Funding
Data Availability Statement
Acknowledgments
Conflicts of Interest
References
- Ozgen, S.; Cernuschi, S.; Caserini, S. An overview of nitrogen oxides emissions from biomass combustion for domestic heat production. Renew. Sustain. Energy Rev. 2021, 135, 110113. [Google Scholar] [CrossRef]
- Lim, M.T.; Phan, A.; Roddy, D.; Harvey, A. Technologies for measurement and mitigation of particulate emissions from domestic combustion of biomass: A review. Renew. Sustain. Energy Rev. 2015, 49, 574–584. [Google Scholar] [CrossRef]
- González, J.F.; González-Garcı, C.M.; Ramiro, A.; González, J.; Sabio, E.; Gañán, J.; Rodrı, M.A. Combustion optimisation of biomass residue pellets for domestic heating with a mural boiler. Biomass Bioenergy 2004, 27, 145–154. [Google Scholar] [CrossRef]
- Yang, C.; Kwon, H.; Bang, B.; Jeong, S.; Lee, U. Role of biomass as low-carbon energy source in the era of net zero emissions. Fuel 2022, 328, 125206. [Google Scholar] [CrossRef]
- Ross, A.B.; Jones, J.M.; Chaiklangmuang, S.; Pourkashanian, M.; Williams, A.; Kubica, K.; Andersson, J.T.; Kerst, M.; Danihelka, P.; Bartle, K.D. Measurement and prediction of the emission of pollutants from the combustion of coal and biomass in a fixed bed furnace. Fuel 2002, 81, 571–582. [Google Scholar] [CrossRef]
- Sun, J.; Shen, Z.; Zhang, L.; Zhang, Y.; Zhang, T.; Lei, Y.; Niu, X.; Zhang, Q.; Dang, W.; Han, W.; et al. Volatile organic compounds emissions from traditional and clean domestic heating appliances in Guanzhong Plain, China: Emission factors, source profiles, and effects on regional air quality. Environ. Int. 2019, 133, 105252. [Google Scholar] [CrossRef] [PubMed]
- Maxwell, D.; Gudka, B.A.; Jones, J.M.; Williams, A. Emissions from the combustion of torrefied and raw biomass fuels in a domestic heating stove. Fuel Process. Technol. 2020, 199, 106266. [Google Scholar] [CrossRef]
- He, C.; Cheng, J.; Zhang, X.; Douthwaite, M.; Pattisson, S.; Hao, Z. Recent Advances in the Catalytic Oxidation of Volatile Organic Compounds: A Review Based on Pollutant Sorts and Sources. Chem. Rev. 2019, 119, 4471–4568. [Google Scholar] [CrossRef] [PubMed]
- Zhang, H.; Zhang, X.; Wang, Y.; Bai, P.; Hayakawa, K.; Zhang, L.; Tang, N. Characteristics and Influencing Factors of Polycyclic Aromatic Hydrocarbons Emitted from Open Burning and Stove Burning of Biomass: A Brief Review. Int. J. Environ. Res. Public Health 2022, 19, 3944. [Google Scholar] [CrossRef] [PubMed]
- Brummer, V.; Teng, S.Y.; Jecha, D.; Skryja, P.; Vavrcikova, V.; Stehlik, P. Contribution to cleaner production from the point of view of VOC emissions abatement: A review. J. Clean. Prod. 2022, 361, 132112. [Google Scholar] [CrossRef]
- Genty, E.; Cousin, R.; Capelle, S.; Gennequin, C.; Siffert, S. Catalytic Oxidation of Toluene and CO over Nanocatalysts Derived from Hydrotalcite-Like Compounds (X62+Al23+): Effect of the Bivalent Cation. Eur. J. Inorg. Chem. 2012, 2012, 2802–2811. [Google Scholar] [CrossRef]
- El Khawaja, R.; Veerapandian, S.K.P.; Bitar, R.; De Geyter, N.; Morent, R.; Heymans, N.; De Weireld, G.; Barakat, T.; Ding, Y.; Abdallah, G.; et al. Boosting VOCs elimination by coupling different techniques. Chem. Synth. 2022, 2, 13. [Google Scholar] [CrossRef]
- Yang, C.; Miao, G.; Pi, Y.; Xia, Q.; Wu, J.; Li, Z.; Xiao, J. Abatement of various types of VOCs by adsorption/catalytic oxidation: A review. Chem. Eng. J. 2019, 370, 1128–1153. [Google Scholar] [CrossRef]
- Gong, P.; He, F.; Xie, J.; Fang, D. Catalytic removal of toluene using MnO2-based catalysts: A review. Chemosphere 2023, 318, 137938. [Google Scholar] [CrossRef] [PubMed]
- Zhang, Y.; Li, C.; Zhu, Y.; Du, X.; Lyu, Y.; Li, S.; Zhai, Y. Insight into the enhanced performance of toluene removal from simulated flue gas over Mn-Cu oxides modified activated coke. Fuel 2020, 276, 118099. [Google Scholar] [CrossRef]
- Wang, Q.; Li, Y.; Serrano-Lotina, A.; Han, W.; Portela, R.; Wang, R.; Bañares, M.A.; Yeung, K.L. Operando Investigation of Toluene Oxidation over 1D Pt@CeO2 Derived from Pt Cluster-Containing MOF. J. Am. Chem. Soc. 2021, 143, 196–205. [Google Scholar] [CrossRef] [PubMed]
- Guo, Y.; Wen, M.; Li, G.; An, T. Recent advances in VOC elimination by catalytic oxidation technology onto various nanoparticles catalysts: A critical review. Appl. Catal. B Environ. 2021, 281, 119447. [Google Scholar] [CrossRef]
- Scirè, S.; Liotta, L.F. supported gold catalysts for the total oxidation of volatile organic compounds. Appl. Catal. B Environ. 2012, 125, 222–246. [Google Scholar] [CrossRef]
- Liotta, L.F. Catalytic oxidation of volatile organic compounds on supported noble metals. Appl. Catal. B Environ. 2010, 100, 403–412. [Google Scholar] [CrossRef]
- Zhang, L.; Xue, L.; Lin, B.; Zhao, Q.; Wan, S.; Wang, Y.; Jia, H.; Xiong, H. Noble Metal Single-Atom Catalysts for the Catalytic Oxidation of Volatile Organic Compounds. ChemSusChem 2022, 15, e202102494. [Google Scholar] [CrossRef]
- Zhang, Z.; Jiang, Z.; Shangguan, W. Low-temperature catalysis for VOCs removal in technology and application: A state-of-the-art review. Catal. Today 2016, 264, 270–278. [Google Scholar] [CrossRef]
- Bao, L.; Zhu, S.; Chen, Y.; Wang, Y.; Meng, W.; Xu, S.; Lin, Z.; Li, X.; Sun, M.; Guo, L. Anionic defects engineering of Co3O4 catalyst for toluene oxidation. Fuel 2022, 314, 122774. [Google Scholar] [CrossRef]
- Zhang, J.; Zhang, L.; Cheng, Y.; Liu, Y. Construction of oxygen vacancies in δ-MnO2 for promoting low-temperature toluene oxidation. Fuel 2023, 332, 126104. [Google Scholar] [CrossRef]
- Carabineiro, S.A.C.; Chen, X.; Konsolakis, M.; Psarras, A.C.; Tavares, P.B.; Órfão, J.J.M.; Pereira, M.F.R.; Figueiredo, J.L. Catalytic oxidation of toluene on Ce–Co and La–Co mixed oxides synthesized by exotemplating and evaporation methods. Catal. Today 2015, 244, 161–171. [Google Scholar] [CrossRef]
- Wang, Y.; Yang, D.; Li, S.; Zhang, L.; Zheng, G.; Guo, L. Layered copper manganese oxide for the efficient catalytic CO and VOCs oxidation. Chem. Eng. J. 2019, 357, 258–268. [Google Scholar] [CrossRef]
- Kamal, M.S.; Razzak, S.A.; Hossain, M.M. Catalytic oxidation of volatile organic compounds (VOCs)—A review. Atmos. Environ. 2016, 140, 117–134. [Google Scholar] [CrossRef]
- Murindababisha, D.; Yusuf, A.; Sun, Y.; Wang, C.; Ren, Y.; Lv, J.; Xiao, H.; Chen, G.Z.; He, J. Current progress on catalytic oxidation of toluene: A review. Environ. Sci. Pollut. Res. 2021, 28, 62030–62060. [Google Scholar] [CrossRef] [PubMed]
- Li, B.; Xiong, H.; Dai, W.; Huang, Z.; Zhong, X.; Zhang, J.; Zhou, L.; Wu, K.; Zou, J.; Luo, X. Enabling the activation of lattice oxygen and high distribution of Co3+ on LaCoO3 surface through fluorine incorporation to promote toluene combustion. Appl. Catal. B Environ. Energy 2024, 347, 123828. [Google Scholar] [CrossRef]
- Zheng, Y.; Xu, W.; Yang, J.; Shan, C.; Wang, Y.; Han, R.; Zang, G.; Liu, Q. Catalytic oxidation of VOCs and CO on cobalt-based Materials: Strategies and mechanisms for improving activity and stability. Chem. Eng. J. 2024, 484, 149296. [Google Scholar] [CrossRef]
- Cheng, G.; Song, Z.; Mao, Y.; Zhang, J.; Wang, K.; Li, H.; Huang, Z. Effect of Ce2O3 phase transition on the catalytic oxidation for toluene over CeO2 catalysts. Fuel 2024, 368, 131641. [Google Scholar] [CrossRef]
- Zhao, L.; Huang, Y.; Zhang, J.; Jiang, L.; Wang, Y. Al2O3-modified CuO-CeO2 catalyst for simultaneous removal of NO and toluene at wide temperature range. Chem. Eng. J. 2020, 397, 125419. [Google Scholar] [CrossRef]
- Pérez, A.; Molina, R.; Moreno, S. Enhanced VOC oxidation over Ce/CoMgAl mixed oxides using a reconstruction method with EDTA precursors. Appl. Catal. A Gen. 2014, 477, 109–116. [Google Scholar] [CrossRef]
- Ye, Z.; Giraudon, J.-M.; Nuns, N.; Simon, P.; De Geyter, N.; Morent, R.; Lamonier, J.-F. Influence of the preparation method on the activity of copper-manganese oxides for toluene total oxidation. Appl. Catal. B Environ. 2018, 223, 154–166. [Google Scholar] [CrossRef]
- Zeng, Y.; Wang, Y.; Song, F.; Zhang, S.; Zhong, Q. The effect of CuO loading on different method prepared CeO2 catalyst for toluene oxidation. Sci. Total Environ. 2020, 712, 135635. [Google Scholar] [CrossRef] [PubMed]
- Du, Y.; Gao, F.; Zhou, Y.; Yi, H.; Tang, X.; Qi, Z. Recent advance of CuO-CeO2 catalysts for catalytic elimination of CO and NO. J. Environ. Chem. Eng. 2021, 9, 106372. [Google Scholar] [CrossRef]
- Avgouropoulos, G.; Ioannides, T.; Matralis, H. Influence of the preparation method on the performance of CuO–CeO2 catalysts for the selective oxidation of CO. Appl. Catal. B Environ. 2005, 56, 87–93. [Google Scholar] [CrossRef]
- Moreno-Román, E.J.; González-Cobos, J.; Guilhaume, N.; Gil, S. Toluene and 2-propanol mixture oxidation over Mn2O3 catalysts: Study of inhibition/promotion effects by in-situ DRIFTS. Chem. Eng. J. 2023, 470, 144114. [Google Scholar] [CrossRef]
- Mo, S.; Zhang, Q.; Sun, Y.; Zhang, M.; Li, J.; Ren, Q.; Fu, M.; Wu, J.; Chen, L.; Ye, D. Gaseous CO and toluene co-oxidation over monolithic core–shell Co3O4 -based hetero-structured catalysts. J. Mater. Chem. A 2019, 7, 16197–16210. [Google Scholar] [CrossRef]
- Bi, F.; Ma, S.; Gao, B.; Yang, Y.; Wang, L.; Fei, F.; Xu, J.; Huang, Y.; Wu, M.; Zhang, X. Non-oxide supported Pt-metal-group catalysts for efficiently CO and toluene co-oxidation: Difference in water resistance and degradation intermediates. Fuel 2023, 344, 128147. [Google Scholar] [CrossRef]
- Kang, S.B.; Hazlett, M.; Balakotaiah, V.; Kalamaras, C.; Epling, W. Effect of Pt:Pd ratio on CO and hydrocarbon oxidation. Appl. Catal. B Environ. 2018, 223, 67–75. [Google Scholar] [CrossRef]
- Kang, S.B.; Kalamaras, C.; Balakotaiah, V.; Epling, W. Zoning and Trapping Effects on CO and Hydrocarbon Light-Off in Diesel Oxidation Catalysts. Ind. Eng. Chem. Res. 2017, 56, 13628–13633. [Google Scholar] [CrossRef]
- Genty, E.; Brunet, J.; Poupin, C.; Ojala, S.; Siffert, S.; Cousin, R. Influence of CO addition on the toluene total oxidation over Co based mixed oxide catalysts. Appl. Catal. B Environ. 2019, 247, 163–172. [Google Scholar] [CrossRef]
- Genty, E.; Serhal, C.A.; El Khawaja, R.; Dib, H.; Labaki, M.; Mallard, I.; Poupin, C.; Siffert, S.; Cousin, R. Mixed Oxides Issued from Hydrotalcite Precursors for Toluene and CO Total Oxidation: Comparison of Preparation Method. J. Nanosci. Nanotechnol. 2020, 20, 1130–1139. [Google Scholar] [CrossRef]
- Yun, J.; Wu, L.; Hao, Q.; Teng, Z.; Gao, X.; Dou, B.; Bin, F. Non-equilibrium plasma enhanced oxygen vacancies of CuO/CeO2 nanorod catalysts for toluene oxidation. J. Environ. Chem. Eng. 2022, 10, 107847. [Google Scholar] [CrossRef]
- Menon, U.; Poelman, H.; Bliznuk, V.; Galvita, V.V.; Poelman, D.; Marin, G.B. Nature of the active sites for the total oxidation of toluene by CuOCeO2/Al2O3. J. Catal. 2012, 295, 91–103. [Google Scholar] [CrossRef]
- Nakagawa, K.; Ohshima, T.; Tezuka, Y.; Katayama, M.; Katoh, M.; Sugiyama, S. Morphological effects of CeO2 nanostructures for catalytic soot combustion of CuO/CeO2. Catal. Today 2015, 246, 67–71. [Google Scholar] [CrossRef]
- Zeng, Y.; Haw, K.-G.; Wang, Z.; Wang, Y.; Zhang, S.; Hongmanorom, P.; Zhong, Q.; Kawi, S. Double redox process to synthesize CuO–CeO2 catalysts with strong Cu–Ce interaction for efficient toluene oxidation. J. Hazard. Mater. 2021, 404, 124088. [Google Scholar] [CrossRef]
- Mao, L.; Song, Z.; Fan, J.; Cui, Y.; Zhang, K.; He, Q.; Zhang, R.; Wang, X. Regulating asymmetric oxygen vacancies in copper-ceria catalysts for achievement of excellent toluene catalytic oxidation. Sep. Purif. Technol. 2024, 334, 126035. [Google Scholar] [CrossRef]
- Chen, Y.; Xue, J.; Shen, X.; Chen, J.; Quarcoo, F.H.; Rac, V.; Rakić, V.; Li, X.; Du, X. Diving into the interface-mediated Mars-van Krevelen (M−vK) characteristic of CuOx-supported CeO2 catalysts. Appl. Catal. B Environ. 2024, 342, 123368. [Google Scholar] [CrossRef]
- Rawat, A.; Dhakla, S.; Lama, P.; Pal, T.K. Fixation of carbon dioxide to aryl/aromatic carboxylic acids. J. CO2 Util. 2022, 59, 101939. [Google Scholar] [CrossRef]
- Viinikainen, T.S.; Lehtonen, J.S. Toluene Oxidation in the Absence and Presence of CO, CO2, Water and H2 over ZrO2-Based Gasification Gas Clean-Up Catalysts. ChemistrySelect 2017, 2, 1663–1670. [Google Scholar] [CrossRef]
- Peng, P.; Li, J.; Mo, S.; Zhang, Q.; Shen, T.; Xie, Q. Bimetallic Pt-Co Nanoparticle Deposited on Alumina for Simultaneous CO and Toluene Oxidation in the Presence of Moisture. Processes 2021, 9, 230. [Google Scholar] [CrossRef]
- Huttunen, P.K.; Labadini, D.; Asselin, G.; Hafiz, S.S.; Gokalp, S.; Kipreos, M.D.; Foster, M. DRIFTS investigation of toluene oxidation on CeO2 nanoparticles. Surf. Sci. 2022, 720, 122042. [Google Scholar] [CrossRef]
- Zhang, J.; Wu, K.; Xiong, J.; Ren, Q.; Zhong, J.; Cai, H.; Huang, H.; Chen, P.; Wu, J.; Chen, L.; et al. Static and dynamic quantification tracking of asymmetric oxygen vacancies in copper-ceria catalysts with superior catalytic activity. Appl. Catal. B Environ. 2022, 316, 121620. [Google Scholar] [CrossRef]
- Sun, W.; Huang, Y.; Li, X.; Huang, Z.; Xu, H.; Shen, W. Catalytic Combustion of Toluene over Highly Dispersed Cu-CeOx Derived from Cu-Ce-MOF by EDTA Grafting Method. Catalysts 2021, 11, 519. [Google Scholar] [CrossRef]
- Lyu, Y.; Xu, J.; Chen, S.; Wang, S.; Liu, X. Simultaneous catalytic oxidation of toluene and CO over Cu-V/Al-Ce catalysts: Physicochemical properties-activity relationship and simultaneous oxidation mechanism. J. Hazard. Mater. 2024, 466, 133507. [Google Scholar] [CrossRef] [PubMed]
- Dib, H.; El Khawaja, R.; Rochard, G.; Poupin, C.; Siffert, S.; Cousin, R. CuAlCe Oxides Issued from Layered Double Hydroxide Precursors for Ethanol and Toluene Total Oxidation. Catalysts 2020, 10, 870. [Google Scholar] [CrossRef]
- Qu, Q.; Qiu, L.; Li, M.-Z.; Sun, G.-T.; Chen, H.-Y.; Guo, X.-H. Synergistic Effects of Pyrolysis Temperature, Iron Ion Concentration and Solid/Liquid Ratio on the Properties and Cr(VI) Removal Performance of Magnetic Carbon. J. Water Process Eng. 2023, 53, 103785. [Google Scholar] [CrossRef]
- Qu, Q.; Chen, Z.; Sun, G.-T.; Qiu, L.; Zhu, M.-Q. CoFe2O4 Nanoparticles as a Bifunctional Agent on Activated Porous Carbon for Battery-Type Asymmetrical Supercapacitor. Chem. Synth. 2024, 4, 26. [Google Scholar] [CrossRef]











| Sample | Crystallite Size (nm) | BET Surface Area (m2/g) | |
|---|---|---|---|
| CuO | CeO2 | ||
| CuO | 44.4 | - | 14 |
| CeO2 | - | 9.0 | 95 |
| Cu6Al2 | 17.0 | - | 17 |
| Cu6Al1.2Ce0.8 | 15.2 | 3.3 | 47 |
| CuO-Al2O3-CeO2 | 44.0 | 9.4 | 14 |
| (Cu6Al2-HT + Ce(NO3)3)500 | 25.1 | 9.4 | 27 |
| (Cu6Al2 + CeO2)500 | 21.0 | 4.0 | 25 |
Disclaimer/Publisher’s Note: The statements, opinions and data contained in all publications are solely those of the individual author(s) and contributor(s) and not of MDPI and/or the editor(s). MDPI and/or the editor(s) disclaim responsibility for any injury to people or property resulting from any ideas, methods, instructions or products referred to in the content. |
© 2024 by the authors. Licensee MDPI, Basel, Switzerland. This article is an open access article distributed under the terms and conditions of the Creative Commons Attribution (CC BY) license (https://creativecommons.org/licenses/by/4.0/).
Share and Cite
Paris, C.; Dib, H.; Bounoukta, C.E.; Genty, E.; Poupin, C.; Siffert, S.; Cousin, R. Benefit of LDH-Derived Mixed Oxides for the Co-Oxidation of Toluene and CO Exhausted from Biomass Combustion. Catalysts 2024, 14, 455. https://doi.org/10.3390/catal14070455
Paris C, Dib H, Bounoukta CE, Genty E, Poupin C, Siffert S, Cousin R. Benefit of LDH-Derived Mixed Oxides for the Co-Oxidation of Toluene and CO Exhausted from Biomass Combustion. Catalysts. 2024; 14(7):455. https://doi.org/10.3390/catal14070455
Chicago/Turabian StyleParis, Caroline, Hadi Dib, Charf Eddine Bounoukta, Eric Genty, Christophe Poupin, Stéphane Siffert, and Renaud Cousin. 2024. "Benefit of LDH-Derived Mixed Oxides for the Co-Oxidation of Toluene and CO Exhausted from Biomass Combustion" Catalysts 14, no. 7: 455. https://doi.org/10.3390/catal14070455
APA StyleParis, C., Dib, H., Bounoukta, C. E., Genty, E., Poupin, C., Siffert, S., & Cousin, R. (2024). Benefit of LDH-Derived Mixed Oxides for the Co-Oxidation of Toluene and CO Exhausted from Biomass Combustion. Catalysts, 14(7), 455. https://doi.org/10.3390/catal14070455

