Synthesis, Characterization of the Novel Heterojunction Photocatalyst Sm2NdSbO7/BiDyO3 for Efficient Photodegradation of Methyl Parathion
Abstract
1. Introduction
2. Findings and Analysis
2.1. XRD Analysis
2.2. FTIR Analysis
2.3. Raman Analysis
2.4. UV–Vis Diffuse Reflectance Spectra
2.5. Performance Characterization of Sm2NdSbO7/BiDyO3 Heterojunction Photocatalysts
2.6. Electrochemical Characterization
2.7. Optical Characterization
2.8. Photocatalytic Activity
2.9. Mechanism Study
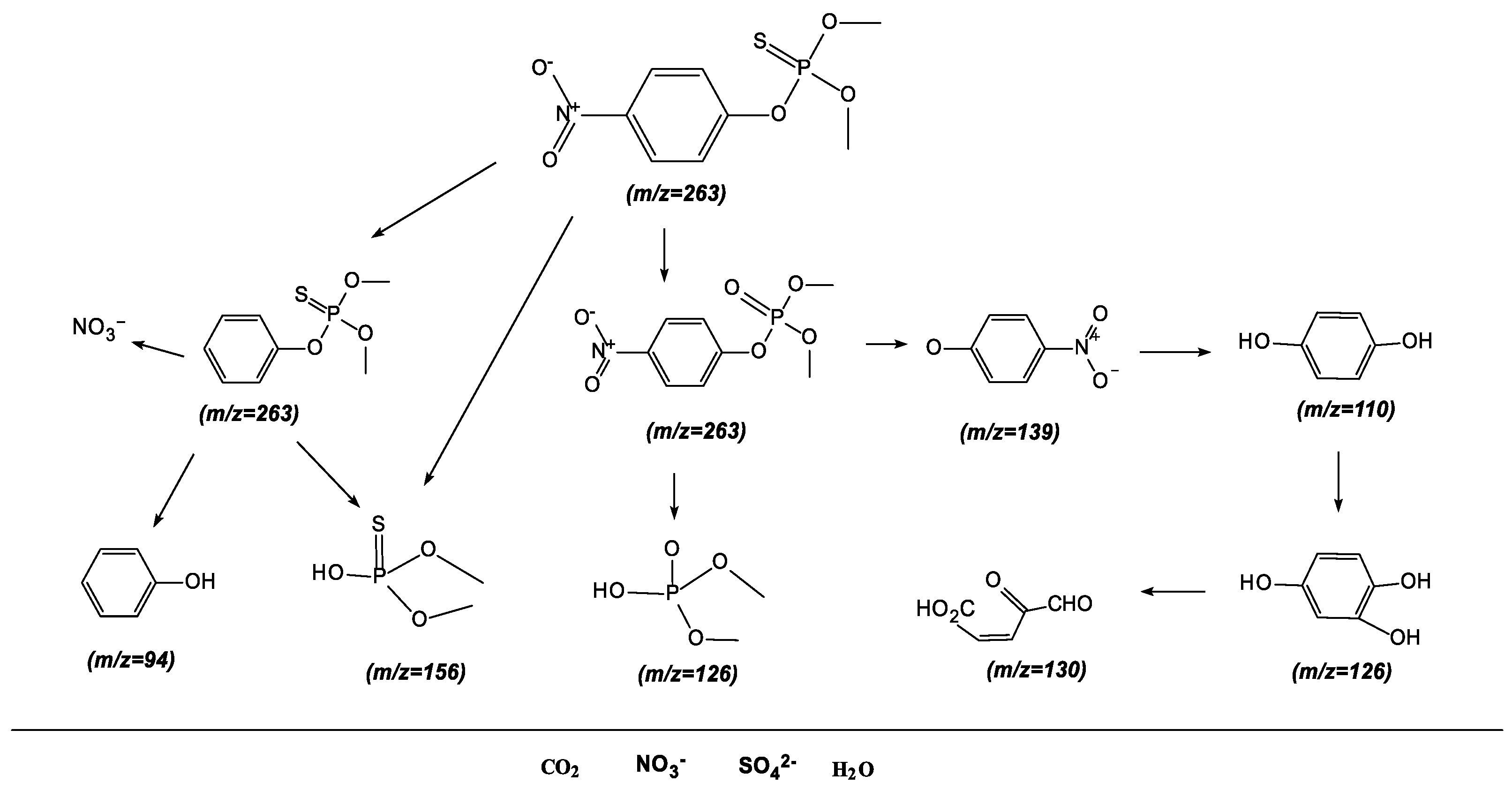
2.10. Analysis of Possible Photocatalytic Degradation Mechanisms
3. Materials and Methods
3.1. Materials and Reagents
3.2. Preparation Method of Sm2NdSbO7
3.3. Preparation Method of BiDyO3
3.4. Synthesis of N-Doped TiO2
3.5. Synthesis of Sm2NdSbO7/BiDyO3 Heterojunction Photocatalysts
- (1)
- Sm2NdSbO7 and BiDyO3, respectively, were weighed and evenly mixed, then added to the ball mill to be ground into a powder;
- (2)
- The above powder was taken to dry, pressed into sheets, put it into a high-temperature sintering furnace for sintering, raising the temperature from room temperature to 400 °C at a heating rate of 10 °C/min, and then maintained at 400 °C for 4 h. Then, the temperature was raised from 400 °C to 800 °C at a heating rate of 9 °C/min, and then maintained at 800 °C for 12 h. The temperature was then raised from 800 °C to 1250 °C at a heating rate of 8 °C/min, then maintained at 1250 °C for 30 h. Finally, the first sintered tablet sample was cooled from 1250 °C to room temperature at a cooling rate of 8 °C/min.
- (3)
- The above first sintering tablet was taken, crushed, pressed into a sheet, and then placed in a high-temperature sintering furnace for sintering. The temperature was raised from room temperature to 500 °C at a heating rate of 10 °C/min, and then maintained at 500 °C for 5 h. Then, the temperature was raised from 500 °C to 900 °C at a heating rate of 9 °C/min, and maintained at 900 °C for 15 h. The temperature was raised from 900 °C to 1300 °C at a heating rate of 8 °C/min, and then maintained at 1300 °C for 25 h. Finally, the second sintered tablet sample was obtained by cooling from 1300 °C to room temperature at a cooling rate of 7.5 °C/min.
- (4)
- The above second sintering tablet was taken and crushed again, pressed into a sheet, and placed in a high-temperature sintering furnace for sintering. The temperature was raised from room temperature to 550 °C at a heating rate of 10 °C/min, and then maintained at 550 °C for 4 h. Then, the temperature was raised from 550 °C to 950 °C at a heating rate of 9 °C/min, and it was then maintained at 950 °C for 16 h. The temperature was raised from 950 °C to 1350 °C at a heating rate of 8 °C/min, and then maintained at 1350 °C for 35 h. Finally, the third sintered tablet sample was obtained by cooling from 1350 °C at a cooling rate of 7 °C/min.
- (5)
- The above third sintered tablet sample was then taken and crushed to obtain the Sm2NdSbO7/BiDyO3 powder catalytic material.
3.6. Characterizations
3.7. Photoelectrochemical Experiments
3.8. Experimental Setup and Procedure
4. Conclusions
Author Contributions
Funding
Data Availability Statement
Conflicts of Interest
References
- Derbalah, A.; Chidya, R.; Jadoon, W.; Sakugawa, H. Temporal trends in organophosphorus pesticides use and concentrations in river water in Japan, and risk assessment. J. Environ. Sci. 2019, 79, 135–152. [Google Scholar] [CrossRef] [PubMed]
- John, E.M.; Shaike, J.M. Chlorpyrifos: Pollution and remediation. Environ. Chem. Lett. 2015, 13, 269–291. [Google Scholar] [CrossRef]
- Dahshan, H.; Megahed, A.M.; Abd-Elall, A.M.M.; Abd-El-Kader, M.A.G.; Nabawy, E.; Elbana, M.H. Monitoring of pesticides water pollution-The Egyptian River Nile. J. Environ. Health Sci. 2016, 14, 15. [Google Scholar] [CrossRef] [PubMed]
- Zhang, F.; Cao, X.L.; Tian, D.M.; Li, H.B. Synthesis of Coumarin-Pillararene as a Selective Fluorescent Probe for Methyl-Parathion. Chin. J. Chem. 2015, 33, 368–372. [Google Scholar] [CrossRef]
- Ji, X.Y.; Wang, Q.; Zhang, W.D.; Yin, F. Research advances in organophosphorus pesticide degradation: A review. Fresen Environ. Bull. 2016, 5, 1556–1561. [Google Scholar]
- Sirotkina, M.; Lyagin, I.; Efremenko, E. Hydrolysis of organophosphorus pesticides in soil: New opportunities with ecocompatible immobilized His6-OPH. Int. Biodeterior. Biodegrad. 2012, 68, 18–23. [Google Scholar] [CrossRef]
- Harrache, Z.; Abbas, M.; Aksil, T.; Trari, M. Thermodynamic and kinetics studies on adsorption of indigo carmine from aqueous solution by activated carbon. Microchem. J. 2019, 144, 180–189. [Google Scholar] [CrossRef]
- Li, M.X.; Wang, H.T.; Wu, S.J.; Li, F.T.; Zhi, P.D. Adsorption of hazardous dyes indigo carmine and acid red on nanofiber membranes. RSC Adv. 2012, 2, 900–907. [Google Scholar] [CrossRef]
- Namini, A.S.; Delbari, S.A.; Mousavi, M.; Ghasemi, J.B. Synthesis and characterization of novel ZnO/NiCr2O4 nanocomposite for water purification by degradation of tetracycline and phenol under visible light irradiation. Mater. Res. Bull. 2021, 139, 111247. [Google Scholar] [CrossRef]
- Mokhtari, F.; Tahmasebi, N. Hydrothermal synthesis of W-doped BiOCl nanoplates for photocatalytic degradation of rhodamine B under visible light. J. Phys. Chem. Solids 2021, 149, 109804. [Google Scholar] [CrossRef]
- Subhan, M.A.; Rifat, T.P.; Saha, P.C.; Alam, M.M.; Asiri, A.M.; Rahman, M.M.; Akter, S.; Raihan, T.; Azad, A.K.; Uddin, J. Enhanced visible light-mediated photocatalysis, antibacterial functions and fabrication of a 3-chlorophenol sensor based on ternary Ag2O·SrO·CaO. RSC Adv. 2020, 10, 11274–11291. [Google Scholar] [CrossRef] [PubMed]
- Chandiran, A.K.; Abdi-Jalebi, M.; Nazeeruddin, M.K.; Grätzel, M. Analysis of Electron Transfer Properties of ZnO and TiO2 Photoanodes for Dye-Sensitized Solar Cells. ACS Nano 2014, 8, 2261–2268. [Google Scholar] [CrossRef] [PubMed]
- Himmah, S.W.; Diantoro, M.; Astarini1, N.A.; Tiana1, S.K.G.; Nasikhudin; Hidayat, A.; Taufiq, A. Structural, morphological, optical, and electrical properties of TiO2/ZnO rods multilayer films as photoanode on dye-sensitized solar cells. J. Phys. Conf. Ser. 2021, 1816, 012095. [Google Scholar] [CrossRef]
- Volnistem, E.A.; Bini, R.D.; Silva, D.M.; Rosso, J.M.; Dias, G.S.; Cotica, L.F.; Santos, I.A. Intensifying the photocatalytic degradation of methylene blue by the formation of BiFeO3/Fe3O4 nanointerfaces. Ceram. Int. 2020, 46, 18768–18777. [Google Scholar] [CrossRef]
- Volnistem, E.A.; Bini, R.D.; Dias, G.S.; Cotica, L.F.; Santos, I.A. Photodegradation of methylene blue by mechano synthesized BiFeO3 submicron particles. Ferroelectrics 2018, 534, 190–198. [Google Scholar] [CrossRef]
- Zou, Z.G.; Ye, J.H.; Arakawa, H. Photocatalytic behavior of a new series of In0.8M0.2TaO4 (M = Ni, Cu, Fe) photocatalysts in aqueous solutions. Catal. Lett. 2001, 75, 209–213. [Google Scholar] [CrossRef]
- Xing, Y.L.; Yin, X.T.; Que, Q.H.; Que, W.X. Fabrication of Ag2O-Bi2Sn2O7 heterostructured nanoparticles for enhanced photocatalytic activity. J. Nanosci. Nanotechnol. 2018, 18, 4306–4310. [Google Scholar] [CrossRef] [PubMed]
- Higashi, M.; Abe, R.; Sayama, K.; Sugihara, H.; Abe, Y. Improvement of photocatalytic activity of titanate pyrochlore Y2Ti2O7 by addition of excess Y. Chem. Lett. 2005, 34, 1122–1123. [Google Scholar] [CrossRef]
- Wang, M.H.; Zhu, C.Z.; Hu, H.S.; Lin, S.J.; Zhou, L.F.; Wang, Z.Z.; Wang, H.; Zhang, T.M.; Li, Y.H.; Yang, D.Y.; et al. Correlation between radiation resistance and structural factors of ABO3-type perovskites. Nim. B 2023, 536, 88–96. [Google Scholar] [CrossRef]
- Luan, J.F.; Tan, W.C. Preparation, photophysical and photocatalytic property characterization of Sm2FeSbO7 during visible light irradiation. Chin. J. Inorg. Chem. 2018, 34, 1950–1965. [Google Scholar]
- Chen, D.; Ray, A.K. Removal of toxic metal ions from wastewater by semiconductor photocatalysis. Chem. Eng. Sci. 2001, 56, 1561–1570. [Google Scholar] [CrossRef]
- Ramos-Delgado, N.A.; Gracia-Pinilla, M.A.; Maya-Trevino, L.; Hinojosa-Reyes, L.; Guzman-Mar, J.; Hernández-Ramírez, A. Solar photocatalytic activity of TiO2 modified with WO3 on the degradation of an organophosphorus pesticide. J. Hazard. Mater. 2013, 263 Pt 1, 36–44. [Google Scholar] [CrossRef]
- Yu, J.; Wang, S.; Low, J.; Xiao, W. Enhanced photocatalytic performance of direct Z-scheme g-C3N4-TiO2 photocatalysts for the decomposition of formaldehyde in air. Phys. Chem. Chem. Phys. 2013, 15, 16883–16890. [Google Scholar] [CrossRef] [PubMed]
- Hu, S.Z.; Li, F.Y.; Fan, Z.P.; Gui, J.Z. The effect of H2-CCl4 mixture plasma treatment on TiO2 photocatalytic oxidation of aromatic air contaminants under both UV and visible light. Chem. Eng. J. 2014, 236, 285–292. [Google Scholar] [CrossRef]
- Zou, X.; Li, X.; Zhao, Q.; Liu, S. Synthesis of LaVO4/TiO2 heterojunction nanotubes by sol-gel coupled with hydrothermal method for photocatalytic air purification. J. Colloid. Interf. Sci. 2012, 383, 13–18. [Google Scholar] [CrossRef]
- Medina-Valtierra, J.; Frausto-Reyes, C.; Ramirez-Ortiz, J.; Camarillo-Martinez, G. Self-cleaning test of doped TiO2-coated glass plates under solar exposure. Ind. Eng. Chem. Res. 2009, 48, 598–606. [Google Scholar] [CrossRef]
- Hebeish, A.A.; Abdelhady, M.M.; Youssef, A.M. TiO2 nanowire and TiO2 nanowire doped Ag-PVP nanocomposite for antimicrobial and self-cleaning cotton textile. Carbohyd. Polym. 2013, 91, 549–559. [Google Scholar] [CrossRef]
- Khavar, A.H.C.; Moussavi, G.; Mahjoub, A.R.; Satari, M.; Abdolmaleki, P. Synthesis and visible-light photocatalytic activity of In, S-TiO2@rGO nanocomposite for degradation and detoxification of pesticide atrazine in water. Chem. Eng. J. 2018, 345, 300–311. [Google Scholar] [CrossRef]
- Zhang, Z.; Li, A.; Cao, S.W.; Bosman, M.; Li, S.; Xue, C. Direct evidence of plasmon enhancement on photocatalytic hydrogen generation over Au/Pt-decorated TiO2 nanofibers. Nanoscale 2014, 6, 5217–5222. [Google Scholar] [CrossRef]
- Zhang, N.; Shi, J.; Mao, S.S.; Guo, L. Co3O4 quantum dots: Reverse micelle synthesis and visible-light-driven photocatalytic overall water splitting. Chem. Commun. 2014, 50, 2002–2004. [Google Scholar] [CrossRef]
- Kohantorabi, M.; Moussavi, G.; Oulego, P.; Giannakis, S. Radical-based degradation of sulfamethoxazole via UVA/PMS-assisted photocatalysis, driven by magnetically separable Fe3O4@CeO2@BiOI nanospheres. Sep. Purif. Technol. 2021, 267, 118665. [Google Scholar] [CrossRef]
- Huang, J.G.; Zhao, X.G.; Zheng, M.Y.; Li, S.; Wang, Y.; Liu, X.J. Preparation of N-doped TiO2 by oxidizing TiN and its application on phenol degradation. Water Sci. Technol. 2013, 68, 934–939. [Google Scholar] [CrossRef]
- Mohammadi, K.; Sadeghi, M.; Azimirad, R. Facile synthesis of SrFe12O19 nanoparticles and its photocatalyst application. J. Mater. Sci. Mater. Electron. 2017, 28, 10042–10047. [Google Scholar] [CrossRef]
- Mohammadi, K.; Sadeghi, M.; Azimirad, R.; Ebrahimi, M. Barium hexaferrite nanoparticles: Morphology-controlled preparation, characterization and investigation of magnetic and photocatalytic properties. J. Mater. Sci. Mater. Electron. 2017, 28, 9983–9988. [Google Scholar] [CrossRef]
- Shieh, D.L.; Lin, Y.S.; Yeh, J.H.; Chen, S.C.; Lin, B.C.; Lin, J.L. N-doped, porous TiO2 with rutile phase and visible light sensitive photocatalytic activity. Chem. Commun. 2012, 48, 2528–2530. [Google Scholar] [CrossRef]
- Zhou, X.; Lu, J.; Jiang, J.; Li, X.; Lu, M.; Yuan, G.; Wang, Z.; Zheng, M.; Seo, H.J. Simple fabrication of N-doped mesoporous TiO2 nanorods with the enhanced visible light photocatalytic activity. Nanoscale Res. Lett. 2014, 9, 34. [Google Scholar] [CrossRef]
- Chen, X.; Burda, C. The electronic origin of the visible-light absorption properties of C-, N- and S-doped TiO2 nanomaterials. J. Am. Chem. Soc. 2008, 130, 5018–5019. [Google Scholar] [CrossRef]
- Li, H.; Zhang, X.; Huo, Y.; Zhu, J. Supercritical preparation of a highly active S-doped TiO2 photocatalyst for methylene blue mineralization. Environ. Sci. Technol. 2007, 41, 4410–4414. [Google Scholar] [CrossRef]
- Li, Z.; Ding, D.; Ning, C. P-Type hydrogen sensing with Al-and V-doped TiO2 nanostructures. Nanoscale Res. Lett. 2013, 8, 25. [Google Scholar] [CrossRef]
- Pan, L.; Wang, S.; Zou, J.J.; Huang, Z.F.; Wang, L.; Zhang, X. Ti3+-defected and V-doped TiO2 quantum dots loaded on MCM-41. Chem. Commun. 2014, 50, 988–990. [Google Scholar] [CrossRef]
- Zhang, Z.; Shao, C.; Zhang, L.; Li, X.; Liu, Y. Electrospun nanofibers of V-doped TiO2 with high photocatalytic activity. J. Colloid. Interface Sci. 2010, 351, 57–62. [Google Scholar] [CrossRef]
- Liu, G.; Han, C.; Pelaez, M.; Zhu, D.; Liao, S.; Likodimos, V.; Ioannidis, N.; Kontos, A.G.; Falaras, P.; Dunlop, P.S.; et al. Synthesis, characterization and photocatalytic evaluation of visible light activated C-doped TiO2 nanoparticles. Nanotechnology 2012, 23, 294003. [Google Scholar] [CrossRef]
- Yu, J.; Zhou, P.; Li, Q. New insight into the enhanced visible-light photocatalytic activities of B-, C- and B/C-doped anatase TiO2 by first-principles. Phys. Chem. Chem. Phys. 2013, 15, 12040–12047. [Google Scholar] [CrossRef]
- Zhang, W.J.; Ma, Z.; Du, L.; Li, H. Role of PEG4000 in sol-gel synthesis of Sm2Ti2O7 photocatalyst for enhanced activity. J. Alloy. Compd. 2017, 704, 26–31. [Google Scholar] [CrossRef]
- Wang, S.X.; Li, W.; Wang, S.; Jiang, J.M.; Chen, Z.H. Synthesis of well-defined hierarchical porous La2Zr2O7 monoliths via non-alkoxidesolegel process accompanied by phase separation. Micropor. Mesopor. Mat. 2016, 221, 32–39. [Google Scholar] [CrossRef]
- Zou, Z.; Ye, J.; Arakawa, H. Preparation, structural and photophysical properties of Bi2InNbO7 compound. J. Mater. Sci. 2000, 19, 1909–1911. [Google Scholar]
- Shin, H.; Byun, T.H. Effect of Pt loading onto ball-milled TiO2 on the visible-light photocatalytic activity to decompose rhodamine B. Res. J. Chem. Environ. 2013, 17, 41–46. [Google Scholar]
- Kanhere, P.; Shenai, P.; Chakraborty, S.; Ahuja, R.; Zheng, J.; Chen, Z. Mono- and co-doped NaTaO3 for visible light photocatalysis. Phys. Chem. Chem. Phys. 2014, 16, 16085–16094. [Google Scholar] [CrossRef]
- Daskalaki, V.M.; Antoniadou, M.; Li Puma, G.; Kondarides, D.I.; Lianos, P. Solar light-responsive Pt/CdS/TiO2 photocatalysts for hydrogen production and simultaneous degradation of inorganic or organic sacrificial agents in wastewater. Environ. Sci. Technol. 2010, 44, 7200–7205. [Google Scholar] [CrossRef]
- Xing, C.C.; Zhang, Y.; Liu, Y.P.; Wang, X.; Li, J.S.; Martinez-Alanis, P.R.; Spadaro, M.C.; Guardia, P.; Arbiol, J.; Llorca, J.; et al. Photodehydrogenation of ethanol over Cu2O/TiO2 heterostructures. Nanomaterials 2021, 11, 1399. [Google Scholar] [CrossRef]
- Stathi, P.; Solakidou, M.; Deligiannakis, Y. Lattice defects engineering in W-, Zr-doped BiVO4 by flame spray pyrolysis: Enhancing photocatalytic O2 evolution. Nanomaterials 2021, 11, 501. [Google Scholar] [CrossRef]
- Li, X.; Yan, X.; Lu, X.; Zuo, S.; Li, Z.; Yao, C.; Ni, C. Photo-assisted selective catalytic reduction of NO by Z-scheme natural clay based photocatalyst: Insight into the effect of graphene coupling. J. Catal. 2018, 357, 59–68. [Google Scholar] [CrossRef]
- Oussama, B.; Nhu-Nang, V.; Aymen, A.A.; Van, Q.L.; Phuong, N.T. Recent advances in designing and developing efficient sillenite-based materials for photocatalytic applications. Adv. Colloid Interface Sci. 2024, 327, 103136. [Google Scholar]
- Nasiripur, P.; Zangiabadi, M.; Baghersad, M.H. Visible light photocatalytic degradation of methyl parathion as chemical warfare agents simulant via GO-Fe3O4/Bi2MoO6 nanocomposite. J. Mol. Struct. 2021, 1243, 130875. [Google Scholar] [CrossRef]
- Zangiabadi, M.; Mehrabi, F.; Nasiripur, P.; Baghersad, M.H. Visible-light-driven photocatalytic degradation of methyl parathion as chemical warfare agent simulant by NiO/Bi2MoO6 heterojunction photocatalyst. J. Mol. Struct. 2022, 1256, 132472. [Google Scholar] [CrossRef]
- Nowak, M.; Kauch, B.; Szperlich, P. Determination of energy band gap of nanocrystalline SbSI. Rev. Sci. Instrum. 2009, 80, 046107. [Google Scholar] [CrossRef]
- Mohan, S.; Kaur, S.; Singh, D.P.; Kaur, P. Structural and luminescence properties of samarium doped lead alumino borate glasses. Opt. Mater. 2017, 73, 223–233. [Google Scholar] [CrossRef]
- Goh, K.H.; Haseeb, A.S.M.A.; Wong, Y.H. Effect of Oxidation Temperature on Physical and Electrical Properties of Sm2O3 Thin-Film Gate Oxide on Si Substrate. J. Electron. Mater. 2016, 45, 5302–5312. [Google Scholar] [CrossRef]
- Yuvakkumar, R.; Hong, S.I. Nd2O3: Novel synthesis and characterization. J. Sol-Gel Sci. Technol. 2015, 73, 511–517. [Google Scholar] [CrossRef]
- Bosca, M.; Pop, L.; Borodi, G.; Pascuta, P.; Culea, E. XRD and FTIR structural investigations of erbium-doped bismuth–lead–silver glasses and glass ceramics. J. Alloys Compd. 2009, 479, 579–582. [Google Scholar] [CrossRef]
- Pascuta, P.; Culea, E. FTIR spectroscopic study of some bismuth germanate glasses containing gadolinium ions. Mater. Lett. 2008, 62, 4127–4129. [Google Scholar] [CrossRef]
- Kaviyarasu, K.; Sajan, D.; Devarajan, P.A. A rapid and versatile method for solvothermal synthesis of Sb2O3 nanocrystals under mild conditions. Appl. Nanosci. 2012, 3, 529–533. [Google Scholar] [CrossRef]
- Rada, S.; Rus, L.; Rada, M.; Zagrai, M.; Culea, E.; Rusu, T. Compositional dependence of structure, optical and electrochemical properties of antimony(III) oxide doped lead glasses and vitroceramics. Ceram. Int. 2014, 40, 15711–15716. [Google Scholar] [CrossRef]
- Janani, B.; Okla, M.K.; Abdel-Maksoud, M.A.; AbdElgawad, H.; Thomas, A.M.; Raju, L.L.; Al-Qahtani, W.H.; Khan, S.S. CuO loaded ZnS nanoflower entrapped on PVA-chitosan matrix for boosted visible light photocatalysis for tetracycline degradation and anti-bacterial application. J. Environ. Manag. 2022, 306, 114396. [Google Scholar] [CrossRef]
- Cheng, T.; Gao, H.; Liu, G.; Pu, Z.; Wang, S.; Yi, Z.; Wu, X.; Yang, H. Preparation of core-shell heterojunction photocatalysts by coating CdS nanoparticles onto Bi4Ti3O12 hierarchical microspheres and their photocatalytic removal of organic pollutants and Cr(VI) ions. Colloids Surf. A Physicochem. Eng. Asp. 2022, 633, 127918. [Google Scholar] [CrossRef]
- Isari, A.A.; Hayati, F.; Kakavandi, B.; Rostami, M.; Motevassel, M.; Dehghanifard, E. N, Cu co-doped TiO2@functionalized SWCNT photocatalyst coupled with ultrasound and visible-light: An effective sono-photocatalysis process for pharmaceutical wastewaters treatment. Chem. Eng. J. 2020, 392, 123685. [Google Scholar] [CrossRef]
- Li, R.; Cai, M.; Xie, Z.; Zhang, Q.; Zeng, Y.; Liu, H.; Liu, G.; Lv, W. Construction of heterostructured CuFe2O4/g-C3N4 nanocomposite as an efficient visible light photocatalyst with peroxydisulfate for the organic oxidation. Appl. Catal. B-Environ. 2019, 244, 974–982. [Google Scholar] [CrossRef]
- Shao, B.; Liu, X.; Liu, Z.; Zeng, G.; Liang, Q.; Liang, C.; Cheng, Y.; Zhang, W.; Liu, Y.; Gong, S. A novel double Z-scheme photocatalyst Ag3PO4/Bi2S3/Bi2O3 with enhanced visible-light photocatalytic performance for antibiotic degradation. Chem. Eng. J. 2019, 368, 730–745. [Google Scholar] [CrossRef]
- Hadjiev, V.G.; Iliev, M.N.; Sasmal, K.; Sun, Y.Y.; Chu, C.W. Raman spectroscopy of RFeAsO (R=Sm, La). Phys. Rev. B 2008, 77, 220505. [Google Scholar]
- Bahareh, K.; Habibi, M.H. High photocatalytic activity of light-driven Fe2TiO5 nanoheterostructure toward degradation of antibiotic metronidazole. J. Ind. Eng. Chem. 2019, 80, 292–300. [Google Scholar] [CrossRef]
- Refat, M.S.; Elsabawy, K.M. Infrared spectra, Raman laser, XRD, DSC/TGA and SEM investigations on the preparations of selenium metal, (Sb2O3, Ga2O3, SnO and HgO) oxides and lead carbonate with pure grade using acetamide precursors. Bull. Mater. Sci. 2011, 34, 873–881. [Google Scholar] [CrossRef]
- Gilliam, S.J.; Jensen, J.O.; Banerjee, A.; Zeroka, D.; Kirkby, S.J.; Merrow, C.N. A theoretical and experimental study of Sb4O6: Vibrational analysis, infrared, and Raman spectra. Spectrochim. Acta. A Mol. Biomol. Spectrosc. 2004, 60, 425–434. [Google Scholar] [CrossRef]
- Chahine, A.; Et-tabirou, M.; Pascal, J.L. FTIR and Raman spectra of the Na2O–CuO–Bi2O3–P2O5 glasses. Mater. Lett. 2004, 58, 2776–2780. [Google Scholar] [CrossRef]
- Sharma, N.D.; Singh, J.; Vijay, A.; Samanta, K.; Pandey, S.D. Investigations of anharmonic effects via phonon mode variations in nanocrystalline Dy2O3, Gd2O3 and Y2O3. J. Raman Spectrosc. 2017, 48, 822–828. [Google Scholar] [CrossRef]
- Zhou, F.; Kang, K.; Maxisch, T.; Ceder, G.; Morgan, D. The electronic structure and band gap of LiFePO4 and LiMnPO4. Solid State Commun. 2004, 132, 181–186. [Google Scholar] [CrossRef]
- Tauc, J.; Grigorov, R.; Vancu, A. Optical properties and electronic structure of amorphous germanium. Phys. Status Solidi 1966, 15, 627–637. [Google Scholar] [CrossRef]
- Butler, M.A. Photoelectrolysis with YFeO3 electrodes. J. Appl. Phys. 1977, 48, 1914–1920. [Google Scholar] [CrossRef]
- Cui, B.Y.; Cui, H.T.; Li, Z.R.; Dong, H.Y.; Li, X.; Zhao, L.F.; Wang, J.W. Novel Bi3O5I2 hollow microsphere and its enhanced photocatalytic activity. Catalysts 2019, 9, 709. [Google Scholar] [CrossRef]
- Vallejo, W.; Cantillo, A.; Salazar, B.; Diaz-Uribe, C.; Ramos, W.; Romero, E.; Hurtado, M. Comparative study of ZnO thin films doped with transition metals (Cu and Co) for methylene blue photodegradation under visible irradiation. Catalysts 2020, 10, 528. [Google Scholar] [CrossRef]
- Liu, B.Y.; Du, J.Y.; Ke, G.L.; Jia, B.; Huang, Y.J.; He, H.C.; Zhou, Y.; Zou, Z.G. Boosting O2 Reduction and H2O Dehydrogenation Kinetics: Surface N-Hydroxymethylation of g-C3N4 Photocatalysts for the Efficient Production of H2O2. Adv. Funct. Mater. 2022, 32, 2111125. [Google Scholar] [CrossRef]
- Liu, C.; Feng, Y.; Han, Z.T.; Sun, Y.; Wang, X.Q.; Zhang, Q.F.; Zou, Z.G. Z-scheme N-doped K4Nb6O17/g-C3N4 heterojunction with superior visible-light-driven photocatalytic activity for organic pollutant removal and hydrogen production. Chin. J. Catal. 2021, 42, 164–174. [Google Scholar] [CrossRef]
- Ma, Q.; Kumar, R.K.; Xu, S.Y.; Koppens, F.H.L.; Song, J.C.W. Photocurrent as a multiphysics diagnostic of quantum materials. Nat. Rev. Phys. 2023, 5, 170–184. [Google Scholar] [CrossRef]
- Cheng, Y.X.; Ye, J.H.; Lai, L.; Fang, S.; Guo, D.Y. Ambipolarity Regulation of Deep-UV Photocurrent by Controlling Crystalline Phases in Ga2O3 Nanostructure for Switchable Logic Applications. Adv. Electron. Mater. 2023, 9, 2201216. [Google Scholar] [CrossRef]
- Annadi, A.; Gong, H. Success in both p-type and n-type of a novel transparent AgCuI alloy semiconductor system for homojunction devices. Appl. Mater. Today 2020, 20, 100703. [Google Scholar] [CrossRef]
- Cheng, T.; Gao, H.; Sun, X.; Xian, T.; Wang, S.; Yi, Z.; Liu, G.; Wang, X.; Yang, H. An excellent Z-scheme Ag2MoO4/Bi4Ti3O12 heterojunction photocatalyst: Construction strategy and application in environmental purification. Adv. Powder Technol. 2021, 32, 951–962. [Google Scholar] [CrossRef]
- Deonikar, V.G.; Patil, S.S.; Tamboli, M.S.; Ambekar, J.D.; Kulkarni, M.V.; Panmand, R.P.; Umarji, G.G.; Shinde, M.D.; Rane, S.B.; Munirathnam, N.R.; et al. Growth study of hierarchical Ag3PO4/LaCO3OH heterostructures. Phys. Chem. Chem. Phys. 2017, 19, 20541–20550. [Google Scholar] [CrossRef] [PubMed]
- Patil, S.S.; Tamboli, M.S.; Deonikar, V.G.; Umarji, G.G.; Ambekar, J.D.; Kulkarni, M.V.; Kolekar, S.S.; Kale, B.B.; Patil, D.R. Magnetically separable Ag3PO4/NiFe2O4 composites with enhanced photocatalytic activity. Dalton Trans. 2015, 44, 20426–20434. [Google Scholar] [CrossRef] [PubMed]
- Balakrishnan, G.; Velavan, R.; Mujasam Batoo, K.; Raslan, E.H. Microstructure, optical and photocatalytic properties of MgO nanoparticles. Results Phys. 2020, 16, 103013. [Google Scholar] [CrossRef]
- Ali, T.; Tripathi, P.; Azam, A.; Raza, W.; Ahmed, A.S.; Ahmed, A.; Muneer, M. Photocatalytic performance of Fe-doped TiO2nanoparticles under visible-light irradiation. Mater. Res. Express 2017, 4, 015022. [Google Scholar] [CrossRef]
- Zhuang, Y.; Luan, J. Improved photocatalytic property of peony-like InOOH for degrading norfloxacin. Chem. Eng. J. 2020, 382, 122770. [Google Scholar] [CrossRef]
- Chen, J.; Zhao, X.; Kim, S.G.; Park, N.G. Multifunctional Chemical Linker Imidazoleacetic Acid Hydrochloride for 21% Efficient and Stable Planar Perovskite Solar Cells. Adv. Mater. 2019, 31, 1902902. [Google Scholar] [CrossRef] [PubMed]
- Gao, Z.W.; Wang, Y.; Ouyang, D.; Liu, H.; Huang, Z.F.; Kim, J.; Choy, W.C.H. Triple Interface Passivation Strategy-Enabled Efficient and Stable Inverted Perovskite Solar Cells. Small Methods 2020, 4, 2000478. [Google Scholar] [CrossRef]
- Chen, J.; Kim, S.-G.; Ren, X.; Jung, H.S.; Park, N.-G. Effect of bidentate and tridentate additives on the photovoltaic performance and stability of perovskite solar cells. J. Mater. Chem. A 2019, 7, 4977–4987. [Google Scholar] [CrossRef]
- Jiang, L.B.; Yuan, X.Z.; Zeng, G.M.; Liang, J.; Chen, X.H.; Yu, H.B.; Wang, H.; Wu, Z.B.; Zhang, J.; Xiong, T. In-situ synthesis of direct solid-state dual Z-scheme WO3/g-C3N4/Bi2O3 photocatalyst for the degradation of refractory pollutant. Appl. Catal. B 2018, 227, 376–385. [Google Scholar] [CrossRef]
- Wang, J.H.; Zou, Z.G.; Ye, J.H. Synthesis, structure and photocatalytic property of a new hydrogen evolving photocatalyst Bi2InTaO7. Mater. Sci. Forum 2003, 423–425, 485–490. [Google Scholar] [CrossRef]
- Kohno, M.; Ogura, S.; Sato, K.; Inoue, Y. Properties of photocatalysts with tunnel structures: Formation of a surface lattice O− radical by the UV irradiation of BaTi4O9 with a pentagonal-prism tunnel structure. Chem. Phys. Lett. 1997, 267, 72–76. [Google Scholar] [CrossRef]
- Kudo, A.; Kato, H.; Nakagawa, S. Water Splitting into H2 and O2 on New Sr2M2O7 (M = Nb and Ta) Photocatalysts with layered perovskite structures: Factors affecting the photocatalytic activity. J. Phys. Chem. B 2000, 104, 571–575. [Google Scholar] [CrossRef]



























| Atom | x | y | z | Occupation Factor |
|---|---|---|---|---|
| Sm | 0 | 0 | 0 | 1 |
| Nd | 0.5 | 0.5 | 0.5 | 0.5 |
| Sb | 0.5 | 0.5 | 0.5 | 0.5 |
| O(1) | −0.185 | 0.125 | 0.125 | 1 |
| O(2) | 0.125 | 0.125 | 0.125 | 1 |
| Atom | x | y | z | Occupation Factor |
|---|---|---|---|---|
| Bi | 0.5 | 0.5 | 0.5 | 1 |
| Dy | 0 | 0 | 0 | 1 |
| O | 0.25 | 0 | 0 | 0.5 |
Disclaimer/Publisher’s Note: The statements, opinions and data contained in all publications are solely those of the individual author(s) and contributor(s) and not of MDPI and/or the editor(s). MDPI and/or the editor(s) disclaim responsibility for any injury to people or property resulting from any ideas, methods, instructions or products referred to in the content. |
© 2024 by the authors. Licensee MDPI, Basel, Switzerland. This article is an open access article distributed under the terms and conditions of the Creative Commons Attribution (CC BY) license (https://creativecommons.org/licenses/by/4.0/).
Share and Cite
Luan, J.; Li, J.; Yao, Y.; Niu, B.; Hao, L.; Wang, Y.; Li, Z. Synthesis, Characterization of the Novel Heterojunction Photocatalyst Sm2NdSbO7/BiDyO3 for Efficient Photodegradation of Methyl Parathion. Catalysts 2024, 14, 346. https://doi.org/10.3390/catal14060346
Luan J, Li J, Yao Y, Niu B, Hao L, Wang Y, Li Z. Synthesis, Characterization of the Novel Heterojunction Photocatalyst Sm2NdSbO7/BiDyO3 for Efficient Photodegradation of Methyl Parathion. Catalysts. 2024; 14(6):346. https://doi.org/10.3390/catal14060346
Chicago/Turabian StyleLuan, Jingfei, Jun Li, Ye Yao, Bowen Niu, Liang Hao, Yichun Wang, and Zhe Li. 2024. "Synthesis, Characterization of the Novel Heterojunction Photocatalyst Sm2NdSbO7/BiDyO3 for Efficient Photodegradation of Methyl Parathion" Catalysts 14, no. 6: 346. https://doi.org/10.3390/catal14060346
APA StyleLuan, J., Li, J., Yao, Y., Niu, B., Hao, L., Wang, Y., & Li, Z. (2024). Synthesis, Characterization of the Novel Heterojunction Photocatalyst Sm2NdSbO7/BiDyO3 for Efficient Photodegradation of Methyl Parathion. Catalysts, 14(6), 346. https://doi.org/10.3390/catal14060346

