Abstract
Thiamethoxam is a second-generation neonicotinoid pesticide that is used worldwide. In this study, a three-dimensional electrode-enhanced ozone catalytic oxidation system (3DE-GAC-O3) was constructed to pretreat thiamethoxam wastewater, with granular active carbon as the particle electrode. The effects of catalytic oxidation time, current density, ozone concentration, initial thiamethoxam concentration, pH, and particle electrode dosage on thiamethoxam degradation were investigated. A response surface method based on the Box–Behnken design was employed to optimize the 3DE-GAC-O3 process. The results revealed that the 3DE-GAC-O3 system exhibited higher efficiency compared with the 3D electrode method, ozone catalytic oxidation, or 2DE-O3. The optimal operating conditions included a particle electrode dosage, ozone concentration, current density, solution pH, catalytic oxidation time, and initial thiamethoxam concentration of 18 g/dm3, 12 g/h, 25 A/m2, 7, 300 min, and 500 mg/dm3, respectively. The corresponding chemical oxygen demand removal rate reached 93.86 ± 0.95%. Thiamethoxam degradation followed a second-order reaction kinetics equation, and the rate constant decreased with increasing the initial thiamethoxam concentration. Free-radical quenching experiments indicated that both O2∙− and ∙OH were present within the 3DE-GAC-O3 system, with ∙OH being the predominant species. A GC-MS analysis revealed the formation of several intermediate products, which were characterized based on the mass fragmentation pattern. Additionally, a probable degradation pathway for thiamethoxam was proposed. Therefore, 3DE-GAC-O3 is an efficient method for the pretreatment of thiamethoxam wastewater.
1. Introduction
Thiamethoxam is a second-generation neonicotinoid pesticide with a broad insecticidal range and a high insecticidal efficacy [1,2]. It has been used extensively in agricultural production [3]. The global thiamethoxam market was valued at around $2300 million in 2022. However, its widespread use has resulted in significant amounts of thiamethoxam-contaminated wastewater. Thiamethoxam’s stable structure makes biological degradation challenging and time-consuming [4]. The physico-chemical process is an essential pretreatment method to break down the structure of thiamethoxam and, therefore, improve its biodegradability [5].
The common physico-chemical methods for pesticide wastewater include the adsorption process [6], the plasma degradation process [7], photocatalytic oxidation [8], wet catalytic oxidation [9], Fenton oxidation [10], supercritical water oxidation [11], and ozone catalytic oxidation [12]. Ozone catalytic oxidation has been an attractive approach due to fast and stable degradation, easy operation, and no secondary pollution [13,14]. However, the mass-transfer efficiency of ozone from the gas phase to the liquid phase is limited, thus leading to a relatively low ozone utilization and low degradation efficiency for high concentrations of pesticide wastewater [15].
Electrochemical three-dimensional (3D) electrode technology is based on electrochemical reactions that degrade organic pollutants. A three-dimensional electrode system is created by adding the particle electrode as the third pole to the initial two-dimensional electrode system. It is more favorable to the electrochemical reaction than the two-dimensional (2D) electrode system because it has more active sites and a greater specific surface area. The degradation mechanism involves both direct oxidation-reduction reactions of organic pollutants on the electrode and the generation of active hydroxyl radicals during the electrolysis process to facilitate organic degradation [16]. Previous research has demonstrated that the mass transfer of liquid-phase ozone can be efficiently enhanced by an electric field [17]. Hence, a combined electrode–ozone catalytic oxidation technology may be feasible to improve ozone utilization and, therefore, enhance the mineralization capacity of recalcitrant pollutants. Wang et al. [18] employed a combined 3D electrolysis, granular activated carbon (GAC) and an ozone process (3DE-GAC-O3) to treat nitrobenzene (initial nitrobenzene concentration 6 mg/dm3). The TOC removal efficiency of 3DE-GAC-O3 increased by 38.95% compared with that of ozone alone at 120 min. Zhan et al. [19] also found that the combination of the 3D electrochemical process with ozonation could achieve a synergistic effect for pollutant degradation in pharmaceutical-production wastewater. However, the efficacy of the 3D electrolysis and ozonation combination process in treating wastewater with high concentrations of thiamethoxam is currently unknown.
In this study, a 3D electrode-enhanced ozone catalytic oxidation system (3DE-GAC-O3) was supported on granular active carbon (GAC), which was previously prepared and demonstrated significant catalyst activity, as the catalyst and particle electrode. The 3DE-GAC-O3 system was used to degrade high-concentration thiamethoxam wastewater.
The purpose of the study is to (1) investigate the effects of reaction time, current density, ozone concentration, initial thiamethoxam concentration, pH, and particle electrode dosage on thiamethoxam degradation by 3DE-GAC-O3; (2) optimize the 3DE-GAC-O3 process by a response surface method based on the Box–Behnken design; (3) explore the reaction kinetics, and identify the intermediate products; and finally, propose a probable degradation pathway for thiamethoxam.
2. Results and Discussion
2.1. Comparison of 3DE-GAC-O3, GAC-O3, 3DE-GAC, and 2DE-O3
Significant differences in the treatment efficiencies of thiamethoxam wastewater were observed among GAC-O3, 3DE-GAC, and 3DE-GAC-O3 (Figure 1). Within the experimental reaction time, the COD concentration of the wastewater treated with the integrated technology was consistently lower compared with that treated with GAC-O3 and 3DE-GAC. At a reaction time of 300 min, the COD removal rate achieved by the integrated technology was 92.81%, which is 26.36% higher than that achieved by GAC-O3. This demonstrates the three-dimensional electrode electrochemical-enhanced ozone catalytic oxidation of thiamethoxam. During the electrochemical oxidation process, the carbon-felt cathode generates H2O2 in situ (Equation (1)), which can react with ozone to produce ·OH (Equation (2)). Compared to 3DE-GAC, the COD removal rate in 3DE-GAC-O3 is 51.71% higher, indicating the enhanced effect of ozone introduction. Ozone can react with organic contaminants either by directly oxidizing them or indirectly through the oxidation by ∙OH [20]. In addition, ozone can elevate the conductivity of the solution and, consequently, enhance the current density, which in turn, may lead to an increased removal rate of pollutants [21].
Figure 1.
Thiamethoxam degradation efficiencies achieved by three-dimensional electrode-enhanced ozone catalytic oxidation (3DE-GAC-O3), ozone catalytic oxidation (GAC-O3), three-dimensional electrode electrolysis (3DE-GAC), and two-dimensional electrode-enhanced ozone oxidation (2DE-O3). Experimental conditions were: particle electrode dosage 15 g/dm3, current density 24 A/m2, ozone concentration 12 g/h, pH 7, initial concentration of thiamethoxam 500 mg/dm3, and catalytic oxidation time 300 min. c0 represents the initial COD concentration of thiamethoxam wastewater (mg/dm3), and ct represents the COD concentration of thiamethoxam wastewater at time t (mg/dm3).
Much higher COD removal rates were achieved using the 3DE-GAC-O3 than the 2D-O3 (Figure 1). This result is consistent with previous studies [19,22]. It is well known that the granular activated carbon (GAC) enhanced O3 decomposition and generation of ·OH [23]. The GAC-loaded metal has been reported to possess more active sites and higher catalytic activities due to enhanced electron-transfer abilities [20]. Furthermore, particle electrodes can be polarized by an external electric field, thus forming a large number of charged bipolar microelectrodes [24]. Similar to the main electrodes, the particle electrode of the 3D electrode reactor has the ability to oxidize contaminants by electrocatalytically generating various types of potent oxidizing agents.
2.2. Effects of The Operating Parameters
2.2.1. Reaction Time
Figure 2a illustrates the effect of reaction time on the degradation of thiamethoxam in wastewater by 3DE-GAC-O3. Evidently, as the reaction time increased, the COD removal rate increased. As the reaction time increased from 60 to 300 min, the COD removal rate increased from 46.6% to 91.4%. During the initial reaction stage (120 min), the COD removal rate increased rapidly, essentially reaching 70.4% at 120 min. This can be attributed to the synergistic action of the adsorption of GAC and the electric field [25]. Under appropriate voltage/current density conditions, the activated carbon became polarized, thus forming microelectrodes, enhancing its electroabsorption or oxidation capacity, and promoting thiamethoxam degradation. In the later stages of the reaction, as the concentration of thiamethoxam in the wastewater decreased, the amount of thiamethoxam diffused to the electrode surface per unit of time decreased. This weakened the concentration gradient effect and reduced the mass-transfer efficiency [26]. Consequently, the rate of increase in the COD removal rate decreased during the later stages of the reaction.

Figure 2.
Effects of operating parameters on the thiamethoxam degradation. (a) reaction time; (b) current density; (c) ozone concentration; (d) initial thiamethoxam concentration; (e) initial pH; (f) particle electrode dosage. Experimental conditions were: particle electrode dosage 15 g/dm3, current density 24 A/m2, ozone concentration 12 g/h, pH 7, initial concentration of thiamethoxam 500 mg/dm3, and catalytic oxidation time 300 min. c0 represents the initial COD concentration of thiamethoxam wastewater (mg/dm3), and ct represents the COD concentration of thiamethoxam wastewater at time t (mg/dm3).
2.2.2. Current Density
With an increase in current density, the COD removal rate first increased and then decreased (Figure 2b). The COD concentration reached its lowest value (62.22 mg/dm3), and the COD removal rate reached its maximum at a current density of 24 A/m2. Below 24 A/m2, the COD removal rate increased with the current density. This can be attributed to the enhanced driving force of the electrochemical catalytic oxidation with an increasing current density, which accelerates the rate of electron transfer, increases the degree of repolarization of the activated carbon particle electrode, and generates more hydroxyl radicals with a strong oxidative capacity (Equations (3) and (4)), thus leading to a higher thiamethoxam degradation rate [22]. However, when the current density exceeded 24 A/m2, the COD removal rate decreased with increasing current density. This is because higher current densities lead to more side reactions (hydrogen and oxygen evolution reactions), which increase energy consumption, decrease current efficiency, and weaken the degradation efficiency of thiamethoxam [27].
2.2.3. Ozone Concentration
Ozone concentration is a critical factor that influences the number of active hydroxyl radicals in the system, as well as affects the ozone mass-transfer rates and liquid-phase ozone concentrations [28]. An increase in ozone concentration in the liquid phase accelerated the formation of hydroxyl radicals and enhanced the degradation rate of thiamethoxam. In particular, during the initial stages, when the thiamethoxam concentration is relatively high, the consumption rate of ozone is high, and the liquid-phase ozone concentration plays a crucial role in the degradation of thiamethoxam. However, when the ozone concentration becomes too high, excess ozone may react with hydroxyl radicals, thus leading to the generation of relatively stable substances, such as peroxyl radicals and hydrogen peroxide. This results in reduced ozone and hydroxyl radical concentrations in the solution, which, in turn, decreases the degradation rate [29]. As shown in Figure 2c, with an increasing ozone concentration, the COD removal rate initially increased rapidly and then slightly decreased.
2.2.4. Initial Thiamethoxam Concentration
At initial thiamethoxam concentrations of 150, 250, 500, 625, and 750 mg/dm3, the COD removal rates were 88.12%, 87.35%, 91.61%, 80.90%, and 83.40%, respectively. Evidently, as the initial thiamethoxam concentration increased, the COD removal rate decreased. However, note that the quantity of COD removed increased with increasing the initial thiamethoxam concentration (Figure 2d). Zhao et al. [30] reported that, as the initial thiamethoxam concentration increases, the molar ratio of thiamethoxam to ozone also increases, thus leading to higher ozone consumption. This can enhance the mass-transfer driving force of ozone from the gas phase to the liquid phase, thereby improving the ozone utilization efficiency and promoting thiamethoxam degradation. However, when the thiamethoxam concentration is excessively high, the thiamethoxam degradation rate decreases. This may be because of the high concentration of thiamethoxam, which is more likely to generate deposits on the electrode surface. This reduces the active area on the electrode surface, thereby hindering the electrochemical reactions and decreasing the electrochemical degradation efficiency [31].
2.2.5. Initial pH
Extreme acidity and alkalinity are detrimental to thiamethoxam degradation. Herein, the maximum COD removal rate (91.4%) was achieved at pH 7 (Figure 2e). Additionally, no significant differences were observed in the COD removal rates between pH 3 and 11, and between pH 5 and 9. Note that, under acidic conditions, the ozone mass-transfer efficiency decreases, thus leading to reduced ozone levels in the liquid phase, which weakens both the direct and indirect oxidation reactions of ozone on thiamethoxam [32]. However, acidic environments can enhance solution conductivity and electrolyte mobility, thereby improving electrochemical oxidation [33]. Research indicates that indirect ozone oxidation reactions are more likely to occur under neutral or slightly alkaline conditions [34]. These reactions involve a series of chain reactions that generate highly oxidative ·OH radicals (Equations (5)–(8)), which enhance the degradation of thiamethoxam [35]. However, under alkaline conditions, the electrochemical oxidation of the 3D electrode may be inhibited.
2.2.6. Particle Electrode Dosage
Different dosages of particle electrodes had a significant impact on the degradation effectiveness (Figure 2f). As the particle electrode dosage increased, the COD removal rate initially increased and then decreased. The maximum COD removal rate (93.59%) was achieved at a particle-electrode dosage of 20 g/dm3. However, when the particle electrode dosage was further increased to 30 g/dm3, the COD removal rate decreased to 83.89%. Essentially, increasing the number of particle electrodes increases the concentration of polarized particles in the reactor, thereby enhancing electrochemical oxidation [36]. Simultaneously, more particle electrodes catalyze the active sites for ozone, thus intensifying the indirect oxidation reactions of ozone. However, beyond a certain threshold, an excess of particle electrodes saturates the effective polarization. Moreover, an excessive amount of particle electrodes deposited at the bottom of the device can increase the short-circuiting current proportion, thereby reducing the degradation efficiency of thiamethoxam [37].
2.3. Response Surface Methodology Optimization
Table S2 lists the process conditions and results of 17 runs using the Box–Behnken design. A second-order polynomial regression model was used to fit the response surface experimental data, thereby resulting in a quadratic regression model for the COD removal rate (Y1) in terms of the following independent variables: particle electrode dosage (X1), current density (X2), and ozone concentration (X3).
An analysis of variance (ANOVA) indicated that the F-value of the model was 81.25, with p < 0.0001 (Table S3), thus indicating that the model was highly significant and the differences in the fitted model were statistically significant. The coefficient of determination (R2) for the regression equation was 0.9905, thus implying that 99.05% of the variation in the response values originated from the selected factors; this indicates a good fit for the model. The p-value for the lack of fit was 0.6779 (>0.05), thus suggesting that other factors had minimal interference with the experimental results, and the experimental residuals were due to random errors. The adjusted R2 value was 0.9783, and the coefficient of variation (C.V.%) was 0.9858, thus indicating that the regression equation explained 97.83% of the experimental data. The order of magnitude of the influence of each factor on the thiamethoxam removal rate was X2 > X1 > X3, with the particle electrode dosage and current density having a highly significant impact on the thiamethoxam removal rate, whereas the ozone concentration had a significant effect. The order of the influence of the interaction terms on the COD removal rate was X1X2 > X1X3 > X2X3, and the order of the influence of the quadratic terms on COD removal rate was X22 > X32 > X12. Figure 3 shows the relationship between the particle electrode dosage, current density, and thiamethoxam removal rate. Evidently, the interactions X1X2 and X1X3 had a significant impact on the COD removal rate, with steep contour lines resembling ellipses, whereas the contour lines for X2X3 were circular, thus indicating a weaker interaction.

Figure 3.
Three-dimensional (3D) response surface plots (a–c): effects of particle electrode (X1) and current density (X2), particle electrode (X1) and ozone concentration (X3), current density (X2) and ozone concentration (X1) on the COD removal rate response; and two-dimensional (2D) contour line graph (d–f).
The optimal process parameters were a particle electrode dosage, current density, and ozone concentration of 18.37 g/dm3, 25.48 A/m2, and 12.08 g/h, respectively. For operational convenience, the chosen process conditions were 18 g/dm3, 25 A/m2, and 12 g/h, respectively, with a predicted optimum removal rate of 94.24%. The actual removal rate of COD using the optimal process conditions was 93.86 ± 0.95%, which is in good agreement with the predicted value.
2.4. Reaction Kinetics
Under the optimal conditions determined by response surface methodology, different initial concentrations (150, 250, 500, 625, and 750 mg/dm3) of thiamethoxam wastewater were treated. Samples were collected at 0, 60, 120, 180, 240, and 300 min, and the COD concentration was measured. The experimental data were analyzed by fitting with zero-order, first-order, and second-order kinetic equations (Equations (10)–(12)) to obtain the kinetic parameters (Table 1).
Table 1.
The fitting results of zero-order, first-order, and second-order kinetic models for thiamethoxam degradation.
Zero-order kinetic equation:
First-order kinetic equation:
Second-order kinetic equation:
where c0 is the initial COD concentration of thiamethoxam wastewater (mg/dm3); ct is the COD concentration of thiamethoxam wastewater at time t (mg/dm3); k0 is the rate constant of zero-order kinetic reaction (mg/(L·min)); k1 is the rate constant of first-order kinetic reaction (min–1); k2 is the rate constant of second-order kinetic reaction (L/(mg·min)); and t is the reaction time (min).
The second-order kinetic equations for thiamethoxam wastewater at different initial concentrations yielded relatively high correlation coefficients, ranging from 0.9821 to 0.9987. This indicated that the degradation of thiamethoxam by 3DE-GAC-O3 followed second-order reaction kinetics. Moreover, the rate constant of the second-order reaction decreased as the initial thiamethoxam concentration increased. The kinetic analysis demonstrated a linear relationship between the reciprocal concentration of thiamethoxam and time. It indicated that the half-life of the reaction did not remain constant but rather increased as the concentration decreased. This could be explained by the fact that a decreasing reactant concentration resulted in fewer molecular collision possibilities, which, in turn, decreased the reaction rate.
2.5. Free-Radical Quenching Experiment
The primary free radicals within the reaction system were identified through free-radical quenching experiments. Benzoquinone and TBA were employed to quench O2∙− and ∙OH generated in 3DE-GAC-O3. The outcomes of these experiments are illustrated in Figure 4. The COD removal of 3DE-GAC-O3 decreased significantly after the addition of TBA. Specifically, the degradation rate decreased from 93.13% to 74.99%, 58.16%, and 46.16% with the addition of 10, 20, and 30 mmol/L of TBA to the reaction solution, respectively. Similarly, upon the addition of 10, 20, and 30 mmol/L of BQ to the reaction solution, the COD removal rate decreased to 81.09%, 69.16%, and 60.17%, respectively. The decrease observed was notably more pronounced with the addition of TBA than BQ. Therefore, it was inferred that both O2∙− and ∙OH were present within the 3DE-GAC-O3 system, with ∙OH being the predominant species and O2∙− acting as a synergistic agent in achieving the effective removal of thiamethoxam.
Figure 4.
Effect of free-radical quenchers on the degradation of thiamethoxam were: (a) TBA, (b) BQ. Experimental conditions were: particle electrode dosage 18 g/dm3, current density 25 A/m2, ozone concentration 12 g/h, pH 7, initial concentration of thiamethoxam 500 mg/dm3, and catalytic oxidation time 300 min. c0 represents the initial COD concentration of thiamethoxam wastewater (mg/dm3), and ct represents the COD concentration of thiamethoxam wastewater at time t (mg/dm3).
2.6. Degradation Products and Degradation Pathway
Some studies have indicated that the thermal stability and high polarity of neonicotinoid compounds may affect the accuracy of GC-MS analysis, thus requiring the derivatization of analytes before extraction [38]. However, some researchers believe that derivatization is unnecessary [39,40]. In the pre-experiments, GC-MS analysis was conducted on samples with and without derivatization, and the results revealed that the absence of derivatization had no significant impact on the GC-MS results. Using the same GC-MS conditions, thiamethoxam standard samples were tested, and the results revealed consistent peak retention times and main ion fragments (m/z), which matched the literature values for thiamethoxam. The experimental retention time for thiamethoxam was 20.59 min. This indicates that the substance in question was thiamethoxam. As the degradation time increased, the abundance of the substance gradually decreased (Figure S1), thus demonstrating the feasibility and effectiveness of the 3D electrode-enhanced ozone catalytic oxidation in the degradation of thiamethoxam.
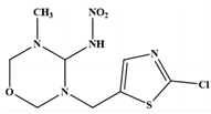
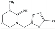
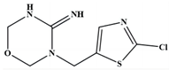
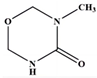
Based on the literature and the major ion fragments (m/z) in mass spectrometry (Figure S2), eight intermediate degradation products were separated and identified (Table 2) [41,42,43]. Typically, the reactions between ozone and organic compounds can be categorized as electrophilic, nucleophilic, and polar-addition reactions [44]. The molecular structure of thiamethoxam includes a hydrogenated oxadiazine ring and an aromatic five-membered heterocycle. The hydrogenated oxadiazine ring is less stable and can be preferentially attacked during degradation. Therefore, the degradation reaction pathway of thiamethoxam is speculated to be as shown in Figure 5. Essentially, first, H2O undergoes a nucleophilic addition to the nitro group of thiamethoxam to form product 2 and nitric acid. Subsequently, product 2 undergoes further demethylation to form product 3. During the oxidation of ozone and the anode, the hydrogenated oxadiazine ring structure of product 2 opens, thereby forming product 4. Simultaneously, in the presence of active hydroxyl radicals, product 2 can generate a substance with a molecular structure of C10H17N3O3S, which is the best precursor for products 7 and 8. However, this substance (C10H17N3O3S) is not detected during degradation. Mir et al. [45] analyzed the possible route for the photocatalytic degradation of thiamethoxam; however, they did not detect C10H17N3O3S in the experiments. Thus, this degradation product is unstable and can easily degrade into subsequent products. Product 3 undergoes further catalytic decomposition, thus leading to cleavage of the chain to form products 5 and 6. Product 6 forms through the nucleophilic substitution of chlorine by hydroxyl radicals; additionally, it can also be produced through a reduction reaction at the cathode to form product 9. Thus, thiamethoxam is not directly mineralized; rather, it is transformed into intermediate degradation products before being ultimately oxidized into small molecules, such as CO2 and H2O.
Table 2.
GC-MS identification of thiamethoxam and intermediates formed during the three-dimensional electrode-enhanced ozone catalytic oxidation (3DE-GAC-O3) process.
Figure 5.
Possible thiamethoxam degradation pathway by three-dimensional electrode-enhanced ozone catalytic oxidation (3DE-GAC-O3).
2.7. Economic Analysis
The operating expenses of 3DE-GAC-O3 encompass both power consumption and material usage, including carbon-felt electrode and GAC. Considering a daily treatment volume of 100 cube meters, the replacement cost for carbon-felt electrode and GAC amounts to approximately 0.12 USD/m3. Notably, power-consuming equipment, such as the ozone generator (16 kw) and voltage regulator (8 kw), contribute to the electricity cost, calculated at a price of 0.11 USD/kW·h, totaling 0.64 USD/m3. Thus, the overall operating cost is estimated to be around 0.76 USD/m3.
3. Materials and Methods
3.1. Chemicals
Thiamethoxam (C8H10ClN5O3S, 95.0% purity) was purchased from Macklin Biochemical Co., Ltd. (Shanghai, China). The particle electrode used in the experiment was laboratory made and composed of GAC with a particle size of 3.0 ± 0.2 mm. All the reagents used in the experiments were of analytical grade (Table S1).
3.2. Experimental Device and Method
The experimental device utilized herein was a homemade Plexiglass case (25 cm × 15 cm × 25 cm) with an effective volume of 8 L (Figure 6). The left and right sides were equipped with electrode fixers, and the bottom was equipped with an aeration tray with a diameter of 10 cm. Commercially available carbon felt was used as the anode and cathode plate, and the carbon felt size was 250 mm × 250 mm × 3 mm. The anode and cathode plates were connected to a DC-regulated power supply (WYJ-30V/10A, Delixi Electric Co., Ltd., Wenzhou, China) using wires, and the aeration disc interface was connected to a high-concentration ozone generator (FL-820ET, Feili Electrical Technology Co., Ltd., Shenzhen, China) to provide ozone to the device. An electromagnetic air pump (ACO-001, Raoping Xingcheng Aquarium Products Co., Ltd., Chaozhou, China) was used to increase the aeration volume.
Figure 6.
Schematic diagram of the experimental device.
Thiamethoxam wastewater (8 L) was added to the reactor, and 1 g/dm3 NaCl was used as the electrolyte. The pH of the wastewater was adjusted using 1 mol/L NaOH and HCl. Samples were collected at specific intervals to measure the chemical oxygen demand (COD) concentration and calculate the removal rate. The effects of the various catalytic oxidation times (0, 60, 120, 180, 240, and 300 min), current density (8, 16, 24, 32, and 40 A/m2), ozone intensity (6, 8, 10, 12, 14, and 16 g/h), initial thiamethoxam concentration (150, 250, 500, 625, and 750 mg/dm3), particle electrode dosage (10, 15, 20, 25, and 30 g/dm3), and pH (3, 5, 7, 9, and 11) on thiamethoxam degradation were studied to investigate their effects on thiamethoxam degradation. The experiments were conducted in triplicate.
Three factors that significantly influenced thiamethoxam degradation were selected as independent variables, with the COD removal rate as the response variable. Using the Design-Expert 13 software, a response surface experimental design was conducted following the Box–Behnken principle, with three factors at three levels, to determine the optimal process conditions. The experimental data obtained under optimal conditions were fitted using the reaction kinetics equation. To investigate the reactive oxygen species in the 3DE-GAC-O3 reaction system, tert-butanol (TBA, 10, 20, and 30 mmol/L) and benzoquinone (BQ, 10, 20, and 30 mmol/L) were used to quench the hydroxyl radicals (∙OH) and superoxide radicals (O2∙−), respectively. Thiamethoxam and its intermediate products were detected using gas chromatography–mass spectrometry (GC-MS). The samples were pre-treated before analysis. Fifty mL of water samples were adjusted to almost neutral and then extracted three times with 100 mL of dichloromethane. Afterward, the extract was treated with anhydrous sodium sulfate to remove the water before measurement.
3.3. Analytical Methods
Chemical oxygen demand concentrations were measured according to the Chinese SEPA Standard Methods [46]. The intermediate products of thiamethoxam were detected using a gas chromatography–mass spectrometry (GC-MS) instrument (Agilent 5975C, Agilent, Santa Clara, CA, USA), a DB-5 chromatographic column (30 m × 250 μm × 0.25 μm). High-purity helium gas was selected as the carrier gas with a flow rate of 1 mL/min. The injection method was a splitless injection, with an injection-port temperature of 250 °C and an injection volume of 1 μL.
The gas chromatography temperature program was as follows. The initial temperature was set to 50 °C and held for 1 min and then increased at a rate of 10 °C/min to 210 °C, at which it was held for 3 min. Subsequently, the temperature was further increased at a rate of 10 °C/min to 250 °C, at which it was held for 5 min. The mass spectrometer source temperature was set to 250 °C, with a solvent delay time of 4 min. The electron impact (EI) energy was set to 70 eV, and data acquisition was performed in selected reaction monitoring (SRM) mode. The mass spectrometry (MS) scan range was 50–500 m/z. The obtained mass spectrometry data were analyzed using the AMDIS 32 software for comparison and identification.
The COD removal rate was calculated using the following equation:
where c0 presents the initial COD concentration of thiamethoxam wastewater (mg/dm3); ct presents the COD concentration of thiamethoxam wastewater at time t (mg/dm3).
The mean relative deviation (MRD) was calculated by the following equation [47]:
where is the COD concentration of thiamethoxam wastewater at experimental point i (mg/dm3); is the COD concentration of thiamethoxam wastewater at point i of the experiment calculated by kinetic modeling (mg/dm3); is the mean values of experimentally obtained COD concentration of thiamethoxam wastewater (mg/dm3); and n is number of experimental points.
3.4. Statistical Analysis
The results were presented as their mean and standard deviation (SD). All data analyses were conducted using SPSS software (ver.17.0). One-way ANOVA was employed to determine significant differences at a significance level of p < 0.05. Post hoc comparisons were performed using Tukey’s honest significant difference (HSD) test.
4. Conclusions
A three-dimensional electrode can effectively enhance the ozone catalytic oxidation treatment of thiamethoxam wastewater; when combined together, the COD removal rate becomes significantly higher than those of ozone catalytic treatment and 3D electrode electrolysis alone. The optimal 3DE-GAC-O3 process conditions for thiamethoxam degradation included a particle electrode dosage, current density, ozone concentration, pH, catalytic oxidation time, and initial thiamethoxam concentration of 18 g/dm3, 25 A/m2, 12 g/h, 7, 300 min, and 500 mg/dm3, respectively. The influence of current density, particle electrode dosage, and ozone concentration on the COD removal rate was in the order of current density > particle electrode dosage > ozone concentration. The thiamethoxam degradation process conformed to a second-order reaction kinetics equation. Hydroxyl radicals were identified as the predominant species, with O2∙− serving as a synergistic agent, contributing to the effective removal of thiamethoxam. GC-MS analysis was used to monitor the degradation of thiamethoxam, and sufficient structural information was obtained to identify the eight intermediates. The various compounds detected during the degradation process demonstrated the feasibility and effectiveness of 3DE-GAC-O3 for the degradation of thiamethoxam. Thus, 3DE-GAC-O3 is a promising technology for the degradation of thiamethoxam in wastewater.
Supplementary Materials
The following supporting information can be downloaded at: https://www.mdpi.com/article/10.3390/catal14040245/s1, Table S1. Chemicals used in this experiment. Table S2. Design and results of response surface analysis test. Table S3. Analysis of variance of the quadratic model. Figure S1. Gas chromatogram of the thiamethoxam degradation products at different time. Figure S2. Mass spectrum of thiamethoxam and its intermediate products.
Author Contributions
W.Z.: Investigation, formal analysis, and writing—original draft. J.X.: Conceptualization, methodology, and writing—original draft. X.J.: Supervision and validation. J.S.: Investigation and formal analysis. S.C.: Supervision, writing—review and editing. X.M.: Validation and visualization. J.L.: Supervision and validation. All authors have read and agreed to the published version of the manuscript.
Funding
This work was financially supported by the Science and Technology Program of Wenzhou, China (No. ZG2020024; S20220007).
Data Availability Statement
The original contributions presented in the study are included in the article/Supplementary Materials; further inquiries can be directed to the corresponding author.
Conflicts of Interest
The authors declare that they have no known competing financial interests or personal relationships that could have appeared to influence the work reported in this paper.
References
- Deng, Y.; Liu, R.; Zheng, M.; Wang, Z.; Yu, S.; Zhou, Y.; Zhou, Z.; Diao, J. From the first to third generation of neonicotinoids: Implication for saving the loss of fruit quality and flavor by pesticide applications. J. Agric. Food Chem. 2020, 70, 15415–15429. [Google Scholar] [CrossRef] [PubMed]
- Tang, T.; Zhao, M.; Wang, P.; Huang, S.; Fu, W. Control efficacy and joint toxicity of thiamethoxam mixed with spirotetramat against the Asian citrus psyllid, Diaphorina citri Kuwayama. Pest Manag. Sci. 2020, 77, 168–176. [Google Scholar] [CrossRef] [PubMed]
- Jan, S.; Singh, B.; Bhardwaj, R.; Singh, R.; Alsahli, A.A.; Kaushik, P.; Ahmad, P. The pesticide thiamethoxam induced toxicity in Brassica juncea and its detoxification by Pseudomonas putida through biochemical and molecular modifications. Chemosphere 2023, 342, 140111. [Google Scholar] [CrossRef] [PubMed]
- Sadaria, A.M.; Supowit, S.D.; Halden, R.U. Mass balance assessment for six neonicotinoid insecticides during conventional wastewater and wetland treatment: Nationwide reconnaissance in united states wastewater. Environ. Sci. Technol. 2016, 50, 6199–6206. [Google Scholar] [CrossRef] [PubMed]
- Qi, W.; Singer, H.; Berg, M.; Müller, B.; Pernet-Coudrier, B.; Liu, H.; Qu, J. Elimination of polar micropollutants and anthropogenic markers by wastewater treatment in Beijing, China. Chemosphere 2015, 119, 1054–1061. [Google Scholar] [CrossRef] [PubMed]
- Bojić, D.V.; Kostić, M.M.; Radović-Vučić, M.D.; Velinov, N.D.; Najdanović, S.M.; Petrović Milica, M.; Bojić, A.L. Removal of the herbicide 2,4-dichlorophenoxyacetic acid from water by using an ultrahighly efficient thermochemically activated carbon. Hem. Ind. 2019, 73, 223–237. [Google Scholar] [CrossRef]
- Petrović, M.; Rančev, S.; Đorđević, M.P.; Najdanović, S.; Velinov, N.; Vučić, M.R.; Bojić, A. Electrochemically synthesized Molybdenum oxides for enhancement of atmospheric pressure non-thermal pulsating corona plasma induced degradation of an organic compound. Chem. Eng. Sci. 2021, 230, 116209. [Google Scholar] [CrossRef]
- Li, Z.Y.; Song, W.; Zhang, L. The degradation of organophosphorous pesticide wastewater by sonophotocatalytic oxidation technology. Adv. Mater. Res. 2013, 781–784, 2184–2188. [Google Scholar] [CrossRef]
- Wang, S.; Yang, Q.; Bai, Z.; Wang, S.; Chen, H.; Cao, Y. Catalytic wet air oxidation of wastewater of the herbicide fomesafen production with CeO2-TiO2 catalysts. Environ. Sci. Technol. 2015, 32, 389–396. [Google Scholar] [CrossRef]
- Pliego, G.; Zazo, J.A.; Pariente, M.I.; Rodríguez, I.; Petre, A.L.; Leton, P.; García, J. Treatment of a wastewater from a pesticide manufacture by combined coagulation and Fenton oxidation. Environ. Sci. Pollut. Res. 2014, 21, 12129–12134. [Google Scholar] [CrossRef]
- Tang, X.Y.; Wang, S.Z.; Qian, L.L.; Li, Y.H. Treatment of organic phosphorus pesticides manufacturing wastewater by supercritical water oxidation. Adv. Mater. Res. 2013, 788, 434–439. [Google Scholar] [CrossRef]
- Cao, S.; Chen, L.; Zhao, M.; Liu, A.; Wang, M.; Sun, Y. Advanced treatment of phosphorus pesticide wastewater using an integrated process of coagulation and ozone catalytic oxidation. Catalysts 2022, 12, 103. [Google Scholar] [CrossRef]
- Wang, H.; Zhan, J.; Gao, L.; Yu, G.; Komarneni, S.; Wang, Y. Kinetics and mechanism of thiamethoxam abatement by ozonation and ozone-based advanced oxidation processes. J. Hazard. Mater. 2020, 390, 122180. [Google Scholar] [CrossRef] [PubMed]
- Li, X.; Fu, L.; Chen, F.; Zhao, S.; Zhu, J.; Yin, C. Application of Heterogeneous Catalytic Ozonation in Wastewater Treatment: An Overview. Catalysts 2023, 13, 342. [Google Scholar] [CrossRef]
- Liu, S.; Chen, P.; Yang, T.; Wu, P.; Liu, C.; He, J.; Jiang, W. Intensification of gas-liquid mass-transfer efficiency by introducing a superaerophilic surface in the ozonation process. Ind. Eng. Chem. Res. 2022, 61, 10955–10968. [Google Scholar] [CrossRef]
- Meng, X.; Ren, Y.; Zhang, X.; Liu, J.; Ding, Y.; Gao, G.; Jiang, W. Study on 3D electrochemical degradation of tetracycline hydrochloride by using Fe/Cu/Mn trimetal-doped granular activated carbon: Reactor, mechanism and regeneration. Sep. Purif. Technol. 2023, 324, 124526. [Google Scholar] [CrossRef]
- Li, Y.L. Experimental investigation on ozone mass transfer coefficient enhanced by electric field in liquid phase. Adv. Mater. Res. 2013, 864–867, 2139–2144. [Google Scholar] [CrossRef]
- Wang, T.; Song, Y.; Ding, H.; Liu, Z.; Baldwin, A.; Wong, I.; Li, H.; Zhao, C. Insight into synergies between ozone and in-situ regenerated granular activated carbon particle electrodes in a three-dimensional electrochemical reactor for highly efficient nitrobenzene degradation. Chem. Eng. J. 2020, 394, 124852. [Google Scholar] [CrossRef]
- Zhan, J.; Li, Z.; Yu, G.; Pan, X.; Wang, J.; Zhu, W.; Han, X.; Wang, Y. Enhanced treatment of pharmaceutical wastewater by combining three-dimensional electrochemical process with ozonation to in situ regenerate granular activated carbon particle electrodes. Sep. Purif. Technol. 2019, 208, 12–18. [Google Scholar] [CrossRef]
- Xiong, W.; Chen, N.; Feng, C.; Liu, Y.; Ma, N.; Deng, J.; Xing, L.; Gao, Y. Ozonation catalyzed by iron- and/or manganese-supported granular activated carbons for the treatment of phenol. Environ. Sci. Pollut. Res. 2019, 26, 21022–21033. [Google Scholar] [CrossRef]
- Sun, Y.; Chen, A.; Zhu, S.; Sun, W.; Shah, K.J.; Zheng, H. Degradation of chloramphenicol using Ti-Sb/attapulgite ceramsite particle electrodes. Water Environ. Res. 2019, 91, 756–769. [Google Scholar] [CrossRef] [PubMed]
- Cho, S.; Kim, C.; Hwang, I. Electrochemical degradation of ibuprofen using an activated-carbon-based continuous-flow three-dimensional electrode reactor (3DER). Chemosphere 2020, 259, 127382. [Google Scholar] [CrossRef] [PubMed]
- Ma, D.H.; Chen, L.J.; Wu, Y.C.; Liu, R. Evaluation of the removal of antiestrogens and antiandrogens via ozone and granular activated carbon using bioassay and fluorescent. Chemosphere 2016, 153, 346–355. [Google Scholar] [CrossRef] [PubMed]
- Yu, D.; Cui, J.; Li, X.; Zhang, H.; Pei, Y. Electrochemical treatment of organic pollutants in landfill leachate using a three-dimensional electrode system. Chemosphere 2020, 243, 125438. [Google Scholar] [CrossRef] [PubMed]
- Zhang, C.; Jiang, Y.; Li, Y.; Hu, Z.; Zhou, L.; Zhou, M. Three-dimensional electrochemical process for wastewater treatment: A general review. Chem. Eng. J. 2013, 228, 455–467. [Google Scholar] [CrossRef]
- Can, W.; Yao-Kun, H.; Qing, Z.; Min, J. Treatment of secondary effluent using a three-dimensional electrode system: COD removal, biotoxicity assessment, and disinfection effects. Chem. Eng. J. 2014, 243, 1–6. [Google Scholar] [CrossRef]
- Shi, H.; Wang, Q.; Ni, J.; Xu, Y.; Song, N.; Gao, M. Highly efficient removal of amoxicillin from water by three-dimensional electrode system within granular activated carbon as particle electrode. J. Water Process. Eng. 2020, 38, 101656. [Google Scholar] [CrossRef]
- Real, F.J.; Acero, J.L.; Benitez, F.J.; Matamoros, E. Elimination of neonicotinoids by ozone-based advanced oxidation processes: Kinetics and performance in real water matrices. Sep. Purif. Technol. 2022, 301, 121975. [Google Scholar] [CrossRef]
- Fijołek, L.; Malaika, A.; Biernacki, W.; Nawrocki, J. H2O2 Generation during carbon ozonation-factors influencing the process and their implications. Ozone Sci. Eng. 2019, 41, 128–136. [Google Scholar] [CrossRef]
- Zhao, Q.; Ge, Y.; Zuo, P.; Shi, D.; Jia, S. Degradation of thiamethoxam in aqueous solution by ozonation: Influencing factors, intermediates, degradation mechanism and toxicity assessment. Chemosphere 2016, 146, 105–112. [Google Scholar] [CrossRef]
- Liu, Z.; Wang, F.; Li, Y.; Xu, T.; Zhu, S. Continuous electrochemical oxidation of methyl orange waste water using a three-dimensional electrode reactor. J. Environ. Sci. 2011, 23, 70–73. [Google Scholar] [CrossRef] [PubMed]
- Oliveira, T.F.; Chedeville, O.; Cagnon, B.; Fauduet, H. Degradation kinetics of DEP in water by ozone/activated carbon process: Influence of pH. Desalination 2011, 269, 271–275. [Google Scholar] [CrossRef]
- Bhagawati, P.B.; Shivayogimath, C.B. Electrochemical technique for paper mill effluent degradation using concentric aluminum tube electrodes (CATE). J. Environ. Health Sci. Eng. 2021, 19, 553–564. [Google Scholar] [CrossRef] [PubMed]
- Liu, Z.; Teng, Y.; Xu, Y.; Zheng, Y.; Zhang, Y.; Zhu, M.; Sun, Y. Ozone catalytic oxidation of biologically pretreated semi-coking wastewater (BPSCW) by spinel-type MnFe2O4 magnetic nanoparticles. Sep. Purif. Technol. 2021, 278, 118277. [Google Scholar] [CrossRef]
- Guan, Z.; Guo, Y.; Li, S.; Feng, S.; Deng, Y.; Ou, X.; Ren, J.; Sun, S.; Liang, J. Decomplexation of heterogeneous catalytic ozonation assisted with heavy metal chelation for advanced treatment of coordination complexes of Ni. Sci. Total Environ. 2020, 732, 139223. [Google Scholar] [CrossRef] [PubMed]
- Pourali, P.; Fazlzadeh, M.; Aaligadri, M.; Dargahi, A.; Poureshgh, Y.; Kakavandi, B. Enhanced three-dimensional electrochemical process using magnetic recoverable of Fe3O4@GAC towards furfural degradation and mineralization. Arab. J. Chem. 2022, 15, 103980. [Google Scholar] [CrossRef]
- Chen, J.; Zhang, B.; Wang, B.; Cui, C.; Wang, S.; Wang, J.; Zhang, W. Enhanced degradation of quinoline in three-dimensional electro-Fenton system using catalytic Fe-Co-Ni-P/g-C3N4 particles. Int. J. Electrochem. Sci. 2022, 17, 221296. [Google Scholar] [CrossRef]
- Watanabe, E.; Baba, K.; Eun, H. Simultaneous determination of neonicotinoid insecticides in agricultural samples by solid-phase extraction cleanup and liquid chromatography equipped with diode-array detection. J. Agric. Food Chem. 2007, 55, 3798–3804. [Google Scholar] [CrossRef] [PubMed]
- Urzedo, A.P.F.M.; Diniz, M.E.R.; Nascentes, C.C.; Catharino, R.R.; Eberlin, M.N.; Augusti, R. Photolytic degradation of the insecticide thiamethoxam in aqueous medium monitored by direct infusion electrospray ionization mass spectrometry. J. Mass. Spectrom. 2007, 42, 1319–1325. [Google Scholar] [CrossRef]
- Watanabe, E. Review of sample preparation methods for chromatographic analysis of neonicotinoids in agricultural and environmental matrices: From classical to state-of-the-art methods. J. Chromatogr. A 2021, 1643, 462042. [Google Scholar] [CrossRef]
- Meijide, J.; Gómez, J.; Pazos, M.; Sanromán, M.A. Degradation of thiamethoxam by the synergetic effect between anodic oxidation and fenton reactions. J. Hazard. Mater. 2016, 319, 43–50. [Google Scholar] [CrossRef]
- Žabar, R.; Komel, T.; Fabjan, J.; Kralj, M.B.; Trebše, P. Photocatalytic degradation with immobilised TiO2 of three selected neonicotinoid insecticides: Imidacloprid, thiamethoxam and clothianidin. Chemosphere 2012, 89, 293–301. [Google Scholar] [CrossRef]
- Fenoll, J.; Garrido, I.; Hellín, P.; Flores, P.; Navarro, S. Photodegradation of neonicotinoid insecticides in water by semiconductor oxides. Environ. Sci. Pollut. Res. 2015, 22, 15055–15066. [Google Scholar] [CrossRef]
- Mouele, E.S.M.; Tijani, J.O.; Badmus, K.O.; Pereao, O.; Babajide, O.; Fatoba, O.O.; Zhang, C.; Shao, T.; Sosnin, E.; Tarasenko, V.; et al. A critical review on ozone and co-species, generation and reaction mechanisms in plasma induced by dielectric barrier discharge technologies for wastewater remediation. J. Environ. Chem. Eng. 2021, 9, 105758. [Google Scholar] [CrossRef]
- Mir, N.A.; Khan, A.; Muneer, M.; Vijayalakhsmi, S. Photocatalytic degradation of a widely used insecticide thiamethoxam in aqueous suspension of TiO2: Adsorption, kinetics, product analysis and toxicity assessment. Sci. Total Environ. 2013, 458–460, 388–398. [Google Scholar] [CrossRef]
- State Environmental Protection Administration of China. Water and Wastewater Monitoring and Analysis Methods, 4th ed.; China Environmental Science Press: Beijing, China, 2002; pp. 210–213. [Google Scholar]
- Najdanović, S.M.; Petrović, M.M.; Kostić, M.M.; Velinov, N.D.; Vučić, M.D.R.; Matović, B.Ž.; Bojić, A.L. New Way of Synthesis of Basic Bismuth Nitrate by Electrodeposition from Ethanol Solution: Characterization and Application for Removal of RB19 from Water. Arab. J. Sci. Eng. 2019, 44, 9939–9950. [Google Scholar] [CrossRef]
Disclaimer/Publisher’s Note: The statements, opinions and data contained in all publications are solely those of the individual author(s) and contributor(s) and not of MDPI and/or the editor(s). MDPI and/or the editor(s) disclaim responsibility for any injury to people or property resulting from any ideas, methods, instructions or products referred to in the content. |
© 2024 by the authors. Licensee MDPI, Basel, Switzerland. This article is an open access article distributed under the terms and conditions of the Creative Commons Attribution (CC BY) license (https://creativecommons.org/licenses/by/4.0/).








