Abstract
Red mud was modified by impregnation with Co element loading. The Co-RM catalyst was characterized using scanning electron microscopy (SEM), X-ray powder diffraction (XRD), X-ray fluorescence (XRF), and UV full-band scanning. The results showed that the modified Co-RM catalyst successfully loaded the Co element and formed an irregular pore structure on the surface, thereby increasing the number of active sites of the red mud catalyst and effectively improving the degradation efficiency of tetracycline. Under the optimal conditions of a catalyst dosage of 0.3 g/L, a persulfate dosage of 3 g/L, a reaction temperature of 50 °C, and a pH value of 7, a removal rate of 50 mg/L of tetracycline can be achieved: 89.5% after 90 min. The effects of common anions and humic acids in water, as well as radical quenchers (anhydrous ethanol and tert-butanol), on the degradation of tetracycline were investigated. The results showed that Cl−, CO32−, HCO3−, H2PO4−, NO32−, HPO42−, and humic acids showed inhibitory effects on the degradation of tetracycline, while SO42− showed a promoting effect on the degradation of tetracycline. The free radical quenching experiment showed that the most important free radicals that can degrade tetracycline in the system are sulfate radicals.
1. Introduction
Emerging pollutants (EPs) are newly discovered pollutants or pollutants of concern caused by human activities that pose a threat to the environment or human health, but for which other environmental regulations do not yet apply [1]. Due to the high biological activity and difficult degradation properties of new pollutants, they continue to accumulate in aquatic ecosystems, continue to have toxic effects on aquatic organisms, and ultimately endanger human health and the ecological balance. The new pollutants mainly include medicines and personal care products, antibiotic resistance genes, endocrine disruptors, disinfection byproducts, etc. Antibiotics, one of the four typical new pollutants, have been frequently detected in various water bodies in recent years. Tetracycline antibiotics are widely used in various fields such as human medicine, veterinary medicine, and prevention and control of animal and plant diseases [2]. However, due to the certain biological activity of tetracycline, there is a risk of harm to the environment. Tetracycline antibiotics can cause harmful effects such as inhibiting microbial activity, hindering microbial photosynthesis, disrupting the balance of the enzyme system, and inhibiting microbial growth [3].Therefore, it is particularly important to develop an effective method to remove new pollutants such as tetracycline from the environment.
Currently, the main methods for treating tetracycline antibiotic wastewater are physical methods, biological methods, and advanced oxidation technologies [4]. The physical methods mainly include adsorption, hydrolysis, and photolysis [5]. The physical adsorption method is an efficient and economical water treatment technology, but it only serves as a concentration and enrichment method for tetracycline and does not achieve real conversion and degradation. The biological treatment methods of tetracycline mainly include the activated sludge method and membrane bioreactor method [6]. Due to the inherent biological toxicity and extremely low bioavailability of antibiotic molecules, it is difficult to effectively apply the biological treatment method. The efficiency of the biological treatment is not good, and more sludge was generated, resulting in secondary pollution and other problems. The chemical oxidation method is considered an effective method for treating tetracycline antibiotic wastewater due to its ability to completely oxidize and degrade antibiotics. Advanced oxidation technology based on free radical reactions is an effective means of removing organic matter. Common advanced oxidation technologies include photochemical oxidation, ozone oxidation, ultrasonic oxidation, Fenton and Fenton-like reactions [7]. They are characterized by the production of hydroxyl radicals (OH.), but their removal effect compared to tetracycline antibiotics is average. In recent years, advanced persulfate-based oxidation technologies have been widely used to treat difficult-to-degrade pollutants due to their low cost, easy operation, and easy control [8]. Persulfate oxidation as a new method for removing refractory organic pollutants has received considerable attention. Peroxydisulfate (PDS) is a commonly used substrate in the catalytic process, which can be activated by activation methods such as heat, alkali [9], ultraviolet radiation [10], and metals to produce various active species. Meanwhile, PDS has high solubility and stability in water, which is advantageous for its application in the treatment of soil and groundwater pollution.
Although advanced oxidation technology has good new pollutant removal efficiency, there are still some difficulties and challenges in advanced oxidation technology. Catalysts for the catalytic activation of persulfate systems have problems such as expensive raw materials, poor recyclability, and poor treatment efficiency. In recent years, there has been a lot of research on red mud as a functional environmental material. The main components of red mud are metal oxides, including elements such as iron, silicon, aluminum, calcium, and titanium [11]. These metal oxides are common active components of catalytically activated persulfate systems. The red mud particles themselves are generally small and have a large specific surface area. After physical and chemical treatment, red mud can be used in environmental protection areas such as wastewater, exhaust gas treatment, and soil maintenance [12]. However, the current treatment methods for abandoned red mud mainly involve open-field filling or the construction of dams, which has long resulted in the waste of land resources and serious environmental pollution [13]. Moreover, the elements leaching from red mud may induce toxicity in human cells. Therefore, the application of red mud in the field of catalytic persulfate oxidation has broad developmental prospects. Currently, studies have reported the successful activation of peroxides with transition metal-loaded red mud, but research on the activation of persulfates by red mud is still insufficient.
In this study, we modified red mud with cobalt (Co-RM) as a catalyst and studied its degradation capability of tetracycline in an activated persulfate system. To investigate the optimal removal conditions of tetracycline in the Co-RM/PDS system, the preparation of the Co-RM catalysts was optimized. The effects of PDS dosage, catalyst dosage, initial concentration, temperature, pH, and coexisting ions on the removal rate of tetracycline in the Co-RM/PDS system were studied. The prepared catalyst was subjected to characterization analysis and the main active species of the reaction system were examined by radical quenching experiments. The aim of this study is to achieve solid waste resource utilization, and the result of which can provide certain theoretical foundations and technical support for the degradation of tetracycline in the Co-RM/PDS system.
2. Results and Discussion
2.1. Optimization of Co-RM Catalyst Preparation Conditions
We first investigated the preparation process of the red mud-based catalyst, which included the choice of transition metal, the acidification, and the concentration of the transition medal. By loading RM with three different metals, Co, Cu, and Zn, the effects of pristine red mud and catalysts loaded with different types of metals on the removal rate of tetracycline were investigated. As shown in Figure 1a, the removal rate of tetracycline was similar between the Co-RM/PDS system and the Cu-RM/PDS system with a reaction time of 0–75 min. At a reaction time of 90 min, the removal rates of tetracycline in the Co-RM/PDS system and the Cu-RM/PDS system were 88.3% and 86.6%, respectively, indicating that the Co-RM catalyst has a better effect on activating PDS for the removal of tetracycline. The reason for this phenomenon could be the continuous self-cycling of Co2+ during the catalytic reaction process, which completes the activation of persulfate [14]. Therefore, among the RM catalysts prepared by the loading of transition metal elements, the effect of activating PDS with red mud loaded with cobalt is the best. Therefore, the Co-RM catalyst was selected to activate PDS to remove tetracycline.
Figure 1.
Optimization of Co-RM catalyst preparation conditions. (a) Effects of different supported metal types on catalytic performance. (b) Effect of supported metal acidification on catalytic performance. (c) Effect of metal loading on catalytic performance.
Figure 1b shows that the removal rate of tetracycline in the Zn-RM/PDS system is only 64% for a 90 min reaction using the acidified Zn-RM catalyst, which is lower than the removal rate of tetracycline in the RM/PDS system. When using the Co-RM catalyst, the removal rate of tetracycline in the Co-RM/PDS system was 83% and the removal rate of tetracycline in the Cu-RM/PDS system was 80%, both of which were higher than the tetracycline removal rate of the RM/PDS system. As shown in the Figure 1b, the removal rate of tetracycline in the catalyst-activated PDS system prepared by acidification is lower than that of the non-acidified catalyst-activated PDS system, which means that the acidification of RM-loaded metal has an inhibitory effect on the degradation of tetracycline. The possible reason for this phenomenon is that the acidified RM catalyst has difficulty in activating PDS for the generation of the reactive oxygen species and non-radical species [15]. At the same time, the acidification modification reduces the pH of the catalyst so that it can no longer react at the optimal pH, thereby reducing the removal rate of tetracycline.
The cobalt nitrate concentration is an important parameter for modulating the degradation. As shown in Figure 1c, the Co-RM/PDS system significantly improves the removal rate of tetracycline with an increasing Co concentration. At a cobalt nitrate concentration of 0.1 mol/L, the Co-RM/PDS system achieved a tetracycline removal rate of 90.1%. As the reaction time increased, the removal rate of tetracycline for the Co-RM/PDS system further increased. When the Co concentration in the solution decreased to 0.035 mol/L, the removal effect of tetracycline in the Co-RM/PDS system was similar to that of the Co concentration of 0.1 mol/L. Therefore, a Co concentration of 0.035 mol/L is chosen as the optimal concentration. As the concentration of Co increases, the amount of Co element and its oxide components loaded on the surface of the red mud gradually increases [16], and the available amount of the Co element and its oxides on the surface of the red mud increases, which can provide more active sites for the catalytic degradation of tetracycline by the Co-RM catalyst.
2.2. Characterization of Co-RM Catalysts
When looking at the scanning electron microscopy images of red mud, it can be found that the shape of the red mud particles is mainly rhombohedral. Particles of different sizes and shapes aggregate to form a porous structure with narrow pores. Transition metal loading and calcination treatment changed the morphology of the red mud, which resulted in the formation of irregular pore-like structures on the surface of the red mud, increased the specific surface area of the red mud, and further increased the number of active red mud sites. After use, the porous structure of the red mud was damaged to a certain extent, indicating the participation of the Co-RM catalyst during the degradation of tetracycline [17].
As shown in Figure 2d, the main components of the red mud sample are Fe2O3, SiO2, and alumina. The most characteristic peak among the three samples is Fe2O3 (JCPDS No. 86-055), which appears at 33.1° and 35.6°. The influence of the loading and calcination process on the crystal structure of the red mud is not significant, and the diffraction peaks observed in the three samples are basically the same. In addition to the widely used Fe2O3, there are also SiO2, TiO2, and Al2O3. Comparing the XRD patterns in the graph, it can be found that the diffraction peak of TiO2 before and after use disappears in the loaded red mud and does not appear in the Co-RM patterns before and after use. The loaded cobalt red mud prepared in this experiment did not show any cobalt-related crystal phases in the XRD spectra before and after use. The possible reason for this could be that the intensity of the diffraction peak of Co2O3 or Co3O4 is very low, and the peak is very broad, which makes it difficult to observe in the XRD spectra. The above results indicate that the crystallinity of cobalt on the surface of the red mud is relatively low and the average particle size is smaller. At the same time, it indicates that cobalt is more evenly distributed on the surface of the red mud, which could enhance its catalytic effect.
Figure 2.
Scanning electron microscopy of the original red mud and Co-loaded red mud before and after use (a) original red mud (b) Co-RM before use (c) Co-RM after use. (d) XRD patterns of RM before and after using Co-RM, Original RM, Co RM, and Co RM after utilization of RM.
The main oxide composition of the Co-RM phase before and after use was analyzed using an X-ray fluorescence spectrometer (XRF) as shown in Table 1. The original RM is mainly composed of Al2O3, SiO2, Fe2O3, and TiO2 before and after use, with Al2O3 having the highest content. The cobalt-loaded red mud before and after use contains 7.278% and 6.171% Co2O3, respectively, while the original red mud does not contain Co2O3 in its composition, indicating that the Co element was successfully loaded onto the original RM. After 90 min of reaction time, the percentage of Co2O3 in the Co-RM component decreased by 1.107%, indicating that Co2O3 was involved in the activated persulfate degradation reaction of tetracycline in the system.
Table 1.
Bulk chemical composition of the original RM, Co-RM before use, and Co-RM after use (%).
2.3. Optimization of Operating Conditions for Degradation of Tetracycline by Co-RM/PDS
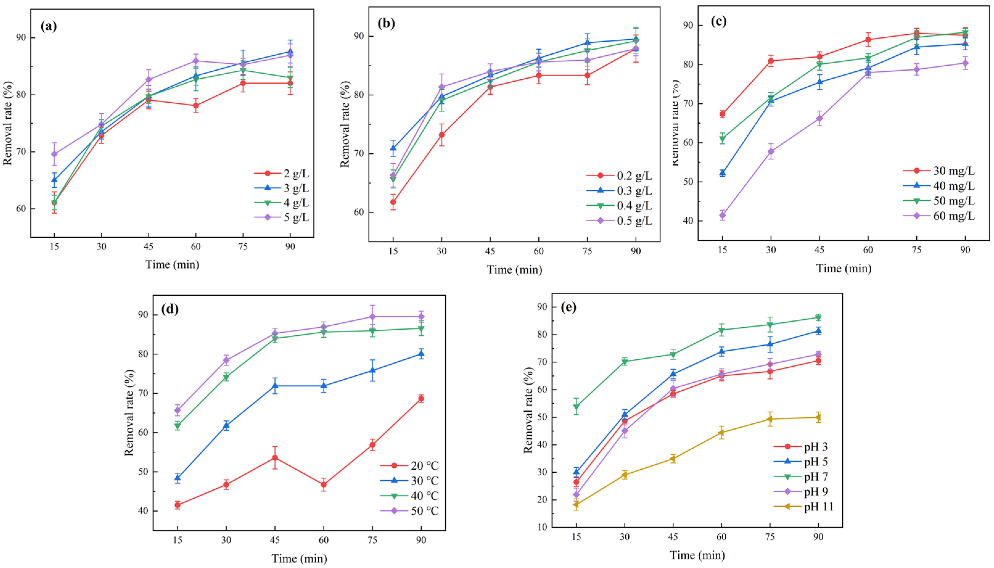
We optimized the experimental conditions for the degradation of tetracycline using the Co-RM/PDS system. From Figure 3a, it can be seen that at a PDS dosage of 2 g/L to 5 g/L, the removal rate of tetracycline in the Co-RM/PDS system is positively correlated with the PDS dosage. When the reaction time was between 75 and 90 min, and the PDS dose was increased from 2 g/L to 3 g/L, the removal rate of tetracycline in the Co-RM/PDS system increased by 5.6%. With a reaction time of 90 min, the removal rate of tetracycline in the Co-RM/PDS system was 87.6% at a PDS dosage of 3 g/L. As the PDS dose further increased to 4 g/L and 5 g/L, the efficiency of tetracycline removal in the Co-RM/PDS system decreased by 4.6% and 0.7%, respectively. The reason for this phenomenon could be that the Co-RM/PDS system generates more active radicals such as SO4−·, ·OH, etc., with an increasing PDS dosage. These active radicals promote the removal of tetracycline, thereby improving the removal rate of tetracycline. As the PDS dosage is increased, the active free radicals generated by the Co-RM catalyst in the solution increase and quenching reactions occur between the generated free radicals, resulting in some PDS being consumed, but no effective free radicals are generated, thereby reducing the active free radical removal rate of tetracycline in the Co-RM/PDS system.
Figure 3.
Effect of (a): Effect of PDS dosage on tetracycline removal rate; (b): Effect of catalyst dosage on tetracycline removal rate; (c): Effect of initial tetracycline concentration on tetracycline removal rate; (d): Influence of reaction temperature on tetracycline removal rate; (e): Influence of pH on tetracycline removal rate.
In Figure 3b, it can be seen that the Co-RM/PDS system has the highest removal rate of tetracycline after a 60 min reaction time at a Co-RM catalyst dosage of 0.3 g/L. As the reaction progresses, the tetracycline removal rate reaches 89.5% after 90 min. When the dosage of Co-RM catalyst was 0.2 g/L, 0.3 g/L, and 0.4 g/L, respectively, the removal rates of tetracycline were 87.9%, 89.5%, and 89.2% after a 90 min reaction time. It can be concluded that as the dosage of the Co-RM catalyst increases, the removal rate of tetracycline in the Co-RM/PDS system increases. There are two possible reasons for this trend: The first possible reason is that the reaction of the Co-RM-catalyzed PDS to remove tetracycline mainly occurs on the surface of the Co-RM catalyst. Increasing the dosage of the Co-RM catalyst can provide more active sites, which can improve the ability of the catalyst to activate the persulfate and generate more oxidizing sulfate radicals, thereby increasing the removal rate of tetracycline. The second possible reason is that red mud has a certain adsorption effect. As the dosage of the Co-RM catalyst increases, tetracycline undergoes a certain adsorption effect, which also enhances the removal effect of tetracycline.
As shown in Figure 3c, the removal rate of tetracycline in the Co-RM/PDS system is 80.4% when the reaction time is 90 min and the initial tetracycline concentration is 60 mg/L. When the initial tetracycline concentration decreases to 40 mg/L, the removal rate of tetracycline in the Co-RM/PDS system is 85.3% after 90 min of reaction time. If the initial tetracycline concentration is further reduced to 30 mg/L, the removal rate of tetracycline increases to 87.5%. At initial concentrations of 30 mg/L and 60 mg/L tetracycline, the removal rate of tetracycline in the Co-RM/PDS system decreased by 7.1%. It can be seen that as the initial concentration of tetracycline increases, the removal rate of tetracycline in the Co-RM/PDS system also decreases. This is because if the amount of catalyst and oxidant added remains constant, the number of free radicals generated by activation in the system is generally constant. Therefore, in situations where the concentration of pollutants is low, free radicals have more opportunities to come into contact with pollutants, increasing the likelihood of oxidation of the pollutants. This results in a higher degradation efficiency of tetracycline in systems with lower tetracycline concentrations. In addition, at very low initial concentrations of pollutants, correspondingly fewer intermediate products are formed during the oxidation process. This means that tetracycline occupies a favorable position in competitive reactions and is therefore more susceptible to oxidation. Therefore, the removal rate of tetracycline in the Co-RM/PDS system increases with a decrease in the initial concentration of tetracycline.
As shown in Figure 3d, the removal rates of tetracycline in the Co-RM/PDS system at 20 °C, 30 °C, 40 °C, and 50 °C were 68.6%, 80%, 86%, and 89.5%, respectively, after 90 min of reaction time. As the reaction temperature increased from 20 to 50 °C, the removal rate of tetracycline in the Co-RM/PDS system increased by 20.9%. It can be seen that the Co-RM/PDS system continuously improves the removal rate of tetracycline with increasing temperature. The reason for this phenomenon is that an increase in temperature means an increase in the thermal activation effect, which is also one of the ways of activating persulfates. Increasing the temperature can promote the cleavage of the O-O bond in PDS, thereby generating active SO4−· free radicals [18]. Due to the Le Chatelier principle, an increase in temperature promotes the progress of the endothermic reaction. Since the activation of persulfate using Co-RM is an endothermic reaction, an increase in temperature promotes the formation of SO4−· in the forward direction, thereby improving the removal rate of tetracycline.
In Figure 3e, it can be seen that during the 90 min reaction at pH 3, the removal rate of tetracycline is only 70.6%. At pH 5, more than 80% of the tetracycline in the solution is broken down. At pH 7, the removal rate of tetracycline in the Co-RM/PDS system reaches 86.3%. As the pH continues to increase, the efficiency of tetracycline removal decreases significantly. At a pH of 11, the removal rate of tetracycline in the solution is only 50%. It can be concluded that the catalytic activity of the Co-RM catalyst is better when the pH value is in the range of 5–7. When the solution is in a peracid or alkaline state, the oxidation ability of the Co-RM/PDS system is somewhat inhibited. A possible reason for this is that the SO4−· produced by the Co-RM/PDS system undergoes self-quenching free radical reactions in acidic environments, while SO4−· reacts with H2O or OH− in alkaline environments. Ultimately, a large amount of ·OH is generated due to the higher redox potential of SO4−· (E = 2.5–3.1 V) compared to hydroxyl radicals (E = 2.8 V) [19]. Therefore, the oxidation capability of the Co-RM/PDS reaction system decreases in alkaline environments and the removal efficiency of tetracycline also decreases.
2.4. Interferance Study on Tetracycline Removal in the Co-RM/PDS Reaction System
In Figure 4a, it can be seen that during the 90 min reaction, when the Cl− concentrations were 0.01 mol/L, 0.05 mol/L, and 0.1 mol/L, the removal rates of tetracycline in the Co-RM rose/PDS system were 86.9%, 85.6%, and 84.9%, respectively. The decrease in tetracycline removal rate was not significant. As the Cl− concentration continues to increase, the removal rate of tetracycline in the Co-RM/PDS system continues to decrease. It can be concluded that as the Cl− concentration increases, the ability of the reaction system to degrade tetracycline continuously decreases. Cl− plays an inhibitory role in the removal process of tetracycline in the Co-RM/PDS system. This may be because the added Cl− is adsorbed by the Co-RM catalyst and occupies the active sites on the catalyst surface, resulting in a reduction in the ability of the catalyst to activate the PDS and a reduction in the SO4−· generated by the system. Another possible reason is that Cl− can undergo electron transfer with a large amount of SO4−· and a small amount of ·OH in the system, producing Cl· radicals with a low activity that quench SO4−· [20], thereby reducing the removal rate of tetracycline in the Co-RM/PDS system.
Figure 4.
Effects of anions and natural organic matter in water on the removal rate of tetracycline in the Co-RM/PDS reaction system: (a) Cl−; (b) CO32−; (c) HCO3−; (d) HPO42−; (e) H2PO4−; (f) SO42−; (g) NO32−; (h) HA; on the removal rate of tetracycline in the Co-RM/PDS reaction system.
In Figure 4b, it can be seen that at CO32− concentrations of 0.01 mol/L, 0.05 mol/L, and 0.1 mol/L, the removal rates of tetracycline in the Co-RM/PDS system were 71.9%, 67.9%, and 67.3%, respectively, after 90 min of reaction time. With an increasing CO32− concentration, the removal rate of tetracycline further decreases. This shows that CO32− has an inhibitory effect on the ability of the reaction system to break down tetracycline. The possible reason for this is that CO32− can trap SO4−· and ·OH [21]. The oxidation ability of the carbonate radicals produced is weaker than that of the sulfate radicals and the hydroxyl radicals, which makes the degradation of tetracycline in the reaction system difficult, resulting in a reduction in the tetracycline removal rate.
In Figure 4c, it can be seen that a low concentration of HCO3− (0.01 mol/L) can inhibit the removal rate of tetracycline by 19.4%, and the inhibition effect is not concentration dependent. The significant inhibitory effect of HCO3− is due to the fact that HCO3− can consume SO4−· [22], where SO4−· serves as the main active free radical for the degradation of tetracycline in the Co-RM/PDS reaction system [23]. Therefore, the decrease in the SO4−· concentration caused by HCO3− leads to a dramatic decrease in the removal rate of tetracycline.
HPO42− has a similar inhibition effect as shown in Figure 4d. When the concentrations of HPO42− were 0.01 mol/L, 0.05 mol/L, and 0.1 mol/L, respectively, the removal rates of tetracycline were 70%, 69%, and 69% after 90 min of reaction time. Studies have shown that the inhibitory effect of inorganic anions may be due to their ability to remove active free radicals in the system or convert them into weak oxidizing free radicals [24]. HPO42− can react with SO4−· and ·OH to form weakly oxidizing HPO42−· [25], thereby reducing the tetracycline removal rate of the Co-RM/PDS system.
H2PO4− can also inhibit the degradation of tetracycline. As shown in Figure 4e, at a H2PO4− concentration of 0.01 mol/L, the removal rate of tetracycline in the Co-RM/PDS system is 73.5% after 90 min of reaction time. Compared with the H2PO4− concentration of 0 mol/L, the removal rate of tetracycline decreased by 15.4%, while when the H2PO4− concentration increased to 0.05 mol/L, the removal rate of tetracycline was decreased by 21%. We speculated that H2PO4− can react with the SO4−· and ·OH in the system [26], thereby reducing the amount of oxidizing substances in the solution. Meanwhile, H2PO4− can hydrolyze to H+ and react with OH− to form H2O [27].
On the contrary, SO42− has a minor promoting effect on the degradation. As shown in Figure 4f, compared with the SO42− concentration at 0 mol/L, the Co-RM/PDS system improved the removal efficiency of tetracycline by 1.4%, 2.4%, and 3.3%, respectively. It can be seen that with an increasing SO42− concentration, the removal rate of tetracycline in the Co-RM/PDS system further increases. A possible reason for this phenomenon is that SO42− provides electrons to high valence Co metal ions, thereby reducing the valence state of Co metal ions, thereby promoting the circulation between high and low valence metal ions and the formation of SO4−·.
In Figure 4g, it can be seen that the removal rates of tetracycline by the Co-RM/PDS system were 76.5%, 75.8%, and 69.3%, respectively, at NO32− concentrations of 0.01 mol/L, 0.05 mol/L. L and 0.1 mol/L for 90 min reaction. As the NO32− concentration continues to increase, the removal rate of tetracycline continues to decrease. When the NO32− concentration was 0.01 mol/L, 0.05 mol/L, and 0.1 mol/L, the removal rates of tetracycline decreased by 9.8%, 10.5%, and 17%, respectively. It can be seen that increasing the NO32− concentration enhances the inhibitory effect of NO32− on the removal of tetracycline in the Co RM/PDS system. This may be because the NO32− present in the solution can react with SO4−· and ·OH to form weak oxidizing NO32− [28], thereby inhibiting the removal effect of tetracycline by the Co RM/PDS system.
From Figure 4h, it can be seen that at a humic acid concentration of 10 mg/L, the removal rate of tetracycline does not decrease significantly. After 90 min of reaction time, the removal rate of tetracycline in the Co-RM/PDS system is 83.7%. When the humic acid concentration is 30 mg/L and 50 mg/L, the removal rates of tetracycline in the Co-RM/PDS system after 90 min of reaction are only 52.6% and 46.7%, respectively. This indicates that the higher the concentration of humic acid in the solution, the lower the removal rate of tetracycline. Humic acid plays an inhibitory role in the removal process of tetracycline in the Co-RM/PDS system. Humic acid inhibits the oxidation ability of the reaction system to some extent, which may be due to the competition ratio between organic material in humic acid and tetracycline in the system. Some free oxidation radicals react with humic acid, resulting in a downward trend in the tetracycline removal rate.
2.5. Radical Scavengers Involved in the Degradation of Tetracycline
During the catalytic activation of the PDS reaction, in addition to the formation of SO4−·, ·OH are also formed because the sulfate radicals can react with water molecules to form hydroxyl radicals. Therefore, when using activated PDS technology to break down target pollutants, both sulfate radicals and hydroxyl radicals might be present in the reaction system. To investigate the dominant radical scavenger involved in the degradation reaction, different quenching agents were added to the reaction system for the free radical quenching experiments. The presence of alcohols with α–H (such as anhydrous ethanol) have higher reaction rates with SO4−· and ·OH, so they can be used as scavengers for SO4−· and ·OH at the same time. The reaction rate of alcohols without α–H (like tert-butylalcohol (TBA)) and ·OH are 1000 times higher than alcohols with α–H and SO4−· [29], so ·OH can be selectively removed. Therefore, in this study, anhydrous ethanol and TBA were selected as radical scavengers to identify the dominant free radicals in the system. By comparing the degradation status of tetracycline in two different reaction systems, it can be determined which free radical plays a dominant role in the reaction.
In Figure 5, it can be seen that the removal rate of tetracycline in the Co-RM/PDS system increases continuously with time when the added TBA concentration is 100 mmol/L. After 90 min of reaction time, the removal rate of tetracycline was 83.6%. When 500 mmol/L TBA was added to the reaction system, the removal rate of tetracycline in the Co-RM/PDS system decreased to 79.7%. The decrease in removal rate by the addition of TBA indicated that ·OH is involved in the degradation process. After adding 100 mmol/L and 500 mmol/L anhydrous ethanol, the removal rates of tetracycline in the Co-RM/PDS system were only 74.5% and 69.6%, respectively, after 90 min of reaction time, where the inhibition rate of anhydrous ethanol is higher than that of TBA. Since anhydrous ethanol is a scavenger for SO4−· and ·OH, while TBA can selectively scavenge ·OH, we deduced that both SO4−· and ·OH are involved in the degradation of tetracycline in the Co-RM/PDS catalytic system.
Figure 5.
The Effect of the Free Radical Quencher on TC Removal Efficiency in Co-RM/PDS System.
2.6. Mechanism Discussion
In Figure 6a, it can be seen that the maximum absorption wavelength of tetracycline before the reaction is 357 nm. The absorption of tetracycline decreases significantly after 30 min of reaction time, and the characteristic absorption peak of tetracycline at 357 nm essentially disappeared after 90 min, indicating that the tetracycline was completely degraded. At the same time, a new characteristic absorption peak appeared at 364.5 nm with a decreased absorption after 30 and 60 min, suggesting that the tetracycline may have formed intermediate products during the degradation process, which were subsequently degraded. Furthermore, we used three-dimensional fluorescence spectrometry to verify the existence of the intermediates. As shown in Figure 6b–e, new fluorescence peak domains appeared at Em/Ex = 375–450 nm/275–325 nm (highlighted in red rectangle) after 30 min and 60 min of reaction time and disappeared after 90 min, indicating the formation of fluvic acids as an intermediate during degradation [30]. The EEM results confirmed that intermediate products were formed during degradation, which is consistent with the UV-Vis absorption results.
Figure 6.
The three-dimensional fluorescence spectrum of tetracycline before and after degradation; (a) react 0 min (b) react 30 min (c) react 60 min (d) react 90 min. UV-Vis scanning spectral changes during the process of tetracycline degradation (e). (The red rectangle was used to emphasize the new fluorescence peak domain).
3. Experimental
3.1. Materials
Chemical reagents such as copper nitrate, cobalt nitrate, zinc nitrate, iron nitrate, sulfuric acid, hydrochloric acid, sodium hydroxide, tert-butyl alcohol, sodium thiosulfate, sodium persulfate, anhydrous ethanol, sodium chloride, sodium bicarbonate, potassium sulfate, anhydrous sodium carbonate, potassium dihydrogen phosphate, and dipotassium phosphateand humic acid were all purchased from Chemical Reagent (Nanjing, China) Co., Ltd. Tetracycline was purchased from Aladdin Reagent (Shanghai, China) Co., Ltd. Red mud was obtained from an alumina production plant (Chongqing, China). All reagents are analytically pure reagents, and the experimental water is self-made ultrapure water.
3.2. Preparation of Catalysts
Red mud was dried in an oven to remove moisture. It was ground through an 80 sieve and dried at 80 °C for 8 h. The dried red mud was weighed and placed on a watch glass. Then, 1.0219 g of cobalt nitrate hexahydrate, 2.016 g of zinc nitrate, and 1.997 g of copper nitrate were weighed and dissolved in 100 mL of ultrapure water, respectively, forming a stock transition metal solution with a concentration of 0.1 mol/L. A volume of 100 mL of the transition metal (Co, Zn, Cu) nitrate solution was slowly dropped onto the red mud. The solution was soaked overnight, dried at 80 °C, and heated at 500 °C for 4 h in a muffle furnace, and metal-modified red mud catalyst was obtained.
3.3. Characterization of Catalysts
Scanning electron microscopy (SEM) images were captured using a FET Quanta 400 FEG (Hitachi SU-8220, Hitachi High-Technologies Corporation Suita, Tokyo, Japan). XRD (Bruker D8 Venture, Bruker AXS, Karlsruhe, Germany) was used to analyze the crystal structure. XRF(PANalytical Axios, Malvern Panalytical, Almelo, Netherlands) was used to qualitatively and quantitatively determine the elemental content.
3.4. Catalytic Oxidation of Tetracycline
A mass of 0.06 g of catalyst and 0.6 g of PDS were added to a beaker containing 200 mL of 50 mg/L tetracycline solution. Then, 2 mL of reaction solution were stirred for 15, 30, 45, 60, 75, and 90 min, respectively, and filtered through a 0.45 µm filter membrane. The absorbance of the filtrate at 355 nm was recorded using UV-vis spectrophotometry (UV-5500, Yuan xi Instrument Co., Ltd., Shanghai, China). To investigate the degradation mechanism, the reaction was stopped at 0, 30, 60, and 90 min by adding a quenching agent (sodium thiosulfate), and the fluorescence intensity of the filtrate was recorded using excited emission matrix spectrometry (EEMs, FLS980, Edinburgh Instruments, Livingston, Scotland, UK).
4. Conclusions
In this paper, modified red mud catalysts with Co, Cu, and Zn metals were prepared using the impregnation method and their catalytic oxidation of tetracycline was studied. In order to optimize the production conditions of the metal-modified red mud, the type of transition metal, acidification, and the amount of metal were investigated. The Co-loaded red mud (Co-RM) formed irregular pore-like structures on the surface and showed great catalytic ability to degrade tetracycline. The optimal catalytic reaction conditions are pH 7 solutions with 0.3 g/L Co-RM and 3 g/L PDS at 50 °C, and a tetracycline concentration range between 30–50 mg/L, which can be used to achieve the highest removal rate of 89.5%. Anions such as Cl−, CO32−, HCO3−, H2PO4−, NO32−, HPO42−, and humic acids have an inhibitory effect on the breakdown of tetracycline, while SO42− shows a promoting effect on the breakdown of tetracycline. The results of the free radical quenching experiments showed that both sulfate radicals and hydroxyl radicals are consumed to oxidize tetracycline in the presence of PDS. The oxidation of tetracycline can produce intermediate products such as fluvic acid. The Co-RM/PDS catalyst, reused with the red mud from industrial waste, provided a new strategy for activating persulfate, and showed good degradation of tetracycline, which could potentially be used in the field of water purification.
Author Contributions
Conceptualization, Y.Y., Q.W., C.Z., K.J.S. and Y.S.; methodology, Y.Y., Q.W., C.Z., K.J.S. and Y.S.; validation, Y.Y., Q.W., C.Z., K.J.S. and Y.S.; formal analysis, K.J.S. and Y.S.; investigation, Y.Y., Q.W. and Y.S.; resources, Y.S.; data curation, C.Z., K.J.S. and Y.S.; writing—original draft preparation, Y.Y., Q.W., K.J.S. and Y.S.; writing—review and editing, K.J.S. and Y.S.; visualization, Y.S.; supervision, Y.S.; project administration, C.Z. and Y.S.; funding acquisition, Y.S. All authors have read and agreed to the published version of the manuscript.
Funding
This research was supported by the National Natural Science Foundation of China (No. 51508268), Natural Science Foundation of Jiangsu Province in China (No. BK20201362), and 2018 Six Talent Peaks Project of Jiangsu Province (JNHB-038).
Data Availability Statement
Data is contained within the article.
Conflicts of Interest
The authors declare no conflict of interest.
References
- Jiao, W.; Zhou, Q.; Li, A.; Yao, Z. Study on Rapid Enrichment Method for New Water Pollutants. Environ. Sci. Technol. 2021, 44, 216–223. [Google Scholar]
- Wang, G.L.; Feng, J.L.; Luo, L.; Lou, L.P. Distribution, diffuse, and removal of tetracyclines and sulfonamide antibiotic resistance genes in wastewater treatment plant: A review. Ying Yong Sheng Tai Xue Bao 2019, 30, 2875–2882. [Google Scholar] [CrossRef]
- Jiang, L.; Chen, S.; Yin, D. Effects of Tetracycline on Photosynthesis and Antioxidant Enzymes of Microcystis aeruginosa. J. Ecol. Rural Environ. 2010, 26, 564–567. [Google Scholar]
- Wang, C.; Li, C. Research progress on the distribution and treatment technology of tetracycline antibiotics. Appl. Chem. Ind. 2023, 52, 1807–1812. [Google Scholar]
- Shao, Y.; Xi, B.; Cao, J.; Gao, R.; Xu, Q.; Zhang, H.; Liu, S. Occurrence of Antibiotics and Their Removal Mechanism in Municipal Sewage Treatment Plants. Enuivon. Sci. Technol. 2013, 36, 85. [Google Scholar]
- Wang, Z.; Bai, M.; Li, X.; Weng, L.; Ye, H. Research progress on the microbial degradation of tetracycline antibiotics. J. Agro-Environ. Sci. 2022, 41, 2779–2786. [Google Scholar]
- Su, J.; Li, Y. Research progress on advanced oxidation processes for treatment of refining wastewater. Mod. Chem. Ind. 2023, 43, 71. [Google Scholar]
- Zhang, L.; Xiao, P. Research progress on treatment of antibiotic wastewater by activated persulfate oxidation. Ind. Water Treat. 2021, 41, 29–35. [Google Scholar]
- Zhu, J.; Luo, Q.; Guo, L.; Liu, X.; Liu, J.; Li, B.; Meng, L. Remediation of chlorobenzene-contaminated waste water using a combination of thermal-and alkaline-activated persulfate. Environ. Chem. 2013, 32, 2256–2262. [Google Scholar]
- An, D.; Westerhoff, P.; Zheng, M.X.; Wu, M.Y.; Yang, Y.; Chiu, C.A. UV-activated persulfate oxidation and regeneration of NOM-Saturated granular activated carbon. Water Res. 2015, 73, 304–310. [Google Scholar] [CrossRef] [PubMed]
- Ying, C.A.O.; Weidong, L.I.; Yangai, L.I.U. Properties of Red Mud and Current Situation of Its Utilization. Bull. Chin. Ceram. Soc. 2007, 26, 143–145. [Google Scholar]
- Wang, L.; Xie, X.; Wen, X. Application of red mud in the remediation of environmental pollution. J. Guilin Inst. Technol. 2004, 24, 381–383. [Google Scholar]
- Li, B.; Zhang, B.; Ning, P.; He, L.; Zuo, X. Present status and prospect of red mud resource utilization and safety treatment. Chem. Ind. Eng. Prog. 2018, 37, 714–723. [Google Scholar]
- Hou, L.; Qing, H.; Ji, Q. Research progress on catalysts, principles and mechanisms of Fenton-like reactions. Environ. Chem. 2022, 41, 1843–1855. [Google Scholar]
- Xu, B.H.; An, Q.; Deng, S.M.; Li, Z.; Yang, Z.H.; Wu, H.Y.; Ye, Z.H. Acid-modified red mud biochar for the degradation of tetracycline: Synergistic effect of adsorption and nonradical activation. J. Environ. Manag. 2023, 347, 11. [Google Scholar] [CrossRef]
- Li, H.-N.; Xu, B.-B.; Qi, F.; Sun, D.-Z. Preparation of red mud loaded Co catalysts: Optimization using response surface methodology (RSM) and activity evaluation. Huan Jing Ke Xue 2013, 34, 4376–4385. [Google Scholar]
- Wu, Q.; Sun, W.Q.; Shah, K.J.; Sun, Y.J. Modi-Red Mud Loaded CoCatalyst Activated Persulfate Degradation of Ofloxacin. Magnetochemistry 2023, 9, 203. [Google Scholar] [CrossRef]
- Ge, Y.-J.; Cai, X.-W.; Lin, H.; Xu, M.-Y.; Shen, Y.-T.; Zhou, D.; Qian, M.-J.; Deng, J. Base Activation of Peroxymonosulfate for the Degradation of Ciprofloxacin in Water. Huan Jing Ke Xue 2017, 38, 5116–5123. [Google Scholar] [CrossRef] [PubMed]
- Su, Y.; Zhang, L.; Wang, F.; Wang, Y.; Su, H.; Chen, P.; Lv, W.; Yao, K.; Liu, G. Degradation mechanism of ketoprofen by Fe~(2+)/potassium peroxy monosulfate(PMS) oxidation process in aqueous. Environ. Chem. 2016, 35, 1753–1761. [Google Scholar]
- He, Y.; Chen, Y.; Lu, L.; Tang, M.; Zhuang, Z.; Gao, N. Degradation of sulfapyridine in aqueous solution by UV/H2O2 and UV/PS technology. Appl. Chem. Ind. 2016, 45, 815–819. [Google Scholar]
- Liang, C.J.; Wang, Z.S.; Mohanty, N. Influences of carbonate and chloride ions on persulfate oxidation of trichloroethylene at 20 °C. Sci. Total Environ. 2006, 370, 271–277. [Google Scholar] [CrossRef] [PubMed]
- Sharma, J.; Mishra, I.M.; Dionysiou, D.D.; Kumar, V. Oxidative removal of Bisphenol A by UV-C/peroxymonosulfate (PMS): Kinetics, influence of co-existing chemicals and degradation pathway. Chem. Eng. J. 2015, 276, 193–204. [Google Scholar] [CrossRef]
- Tian, D.; Wang, Y.; Song, W.; Li, M.; Li, X.; Lu, X. Degradation of Rhodamine B in aqueous solution by UV/PMS system: Kinetics and reaction mechanism. Acta Sci. Circumstantiae 2018, 38, 1868–1876. [Google Scholar]
- Golshan, M.; Kakavandi, B.; Ahmadi, M.; Azizi, M. Photocatalytic activation of peroxymonosulfate by TiO2 anchored on cupper ferrite (TiO2@CuFe2O4) into 2,4-D degradation: Process feasibility, mechanism and pathway. J. Hazard. Mater. 2018, 359, 325–337. [Google Scholar] [CrossRef]
- Guo, M.; Wang, F.; Zhang, X.; Xu, J. Removal mechanism of benzene and chlorobenzene in water by modified biochar activates persulfate. China Environ. Sci. 2020, 40, 5280–5289. [Google Scholar]
- Li, J.; Xu, M.J.; Yao, G.; Lai, B. Enhancement of the degradation of atrazine through CoFe2O4 activated peroxymonosulfate (PMS) process: Kinetic, degradation intermediates, and toxicity evaluation. Chem. Eng. J. 2018, 348, 1012–1024. [Google Scholar] [CrossRef]
- Feng, S.-F.; Deng, S.-P.; Du, J.-W.; Ma, X.-Y.; Lu, Y.-A.; Gao, N.-Y.; Deng, J. Heterogeneous Activation of Peroxymonosulfate with Three-dimensional Ordered Mesoporous Co3O4 for the Degradation of Rhodamine B. Huan Jing Ke Xue 2016, 37, 4247–4254. [Google Scholar] [CrossRef]
- Qi, C.D.; Liu, X.T.; Lin, C.Y.; Zhang, X.H.; Ma, J.; Tan, H.B.; Ye, W. Degradation of sulfamethoxazole by microwave-activated persulfate: Kinetics, mechanism and acute toxicity. Chem. Eng. J. 2014, 249, 6–14. [Google Scholar] [CrossRef]
- Chen, L.; Peng, X.Z.; Liu, J.H.; Li, J.J.; Wu, F. Decolorization of Orange II in Aqueous Solution by an Fe(II)/sulfite System: Replacement of Persulfate. Ind. Eng. Chem. Res. 2012, 51, 13632–13638. [Google Scholar] [CrossRef]
- Song, T.H.; Kang, C.Y.; Wang, X.L. Optimization and Analysis of Ag-TiO2 Nanotube Electrode for the Degradation of Tetracycline. J. Nanoelectron. Optoelectron. 2017, 12, 752–757. [Google Scholar] [CrossRef]
Disclaimer/Publisher’s Note: The statements, opinions and data contained in all publications are solely those of the individual author(s) and contributor(s) and not of MDPI and/or the editor(s). MDPI and/or the editor(s) disclaim responsibility for any injury to people or property resulting from any ideas, methods, instructions or products referred to in the content. |
© 2024 by the authors. Licensee MDPI, Basel, Switzerland. This article is an open access article distributed under the terms and conditions of the Creative Commons Attribution (CC BY) license (https://creativecommons.org/licenses/by/4.0/).





