Abstract
A huge variety of chemical commodities are built from propylene molecules, and its conventional production technologies (naphtha steam cracking and fluid catalytic cracking) are unable to satisfy C3H6’s increasing requirements. In this scenario, Direct Propane Dehydrogenation (PDH) provides a practical and reliable route for supplying this short demand due to the economic availability of the raw material (C3H8) and the high propylene selectivities. The main challenges of propane dehydrogenation technology are related to the design of very active catalysts with negligible byproduct formation. In particular, the issue of catalyst deactivation by coke deposition still requires further development. In addition, PDH is a considerable endothermic reaction, and the efficiency of this technology is strictly related to heat transfer management. Thus, this current review specifically discusses the recent advances in highly dispersed bimetallic and trimetallic catalysts proposed for the PDH reaction in both conventional-heated and microwave-heated reactors. From the point of view of catalyst development, the recent research is mainly addressed to obtain nanometric and single-atom catalysts and core–shell alloys: atomically dispersed metal atoms promote the desorption of surface-bonded propylene and inhibit its further dehydrogenation. The discussion is focused on the alternative formulations proposed in the last few years, employing active species and supports different from the classical Pt-Sn/Al2O3 catalyst. Concerning the conventional route of energy-supply to the catalytic bed, the advantage of using a membrane as well as fluidized bed reactors is highlighted. Recent developments in alternative microwave-assisted dehydrogenation (PDH) employing innovative catalytic systems based on silicon carbide (SiC) facilitate selective heating of the catalyst. This advancement leads to improved catalytic activity and propylene selectivity while effectively reducing coke formation. Additionally, it promotes environmental sustainability in the ongoing electrification of chemical processes.
1. Introduction
Industrial processes and transportation systems are spewing greenhouse gases (GHGs) at an alarming rate. These unchecked emissions are disrupting the planet’s delicate ecological balance. In response to this crisis, the Intergovernmental Panel on Climate Change (IPCC) has set a bold goal: achieving net-zero global emissions by 2050 [1,2,3]. This target aims to curb GHGs, particularly carbon dioxide (CO2), and minimize their detrimental effects on our climate. A staggering 81% of global energy production in 2019 relied on burning fossil fuels, according to the International Energy Agency (IEA) [4]. These fuels are the lifeblood of large-scale industries like cement, steel, chemicals, fertilizers, refineries, and coal-fired power plants [5]. Specifically, the majority of direct emissions occur during the production of high-temperature processes such as ammonia, methanol, and olefins [6]. While these industries are crucial for our development, they are also major contributors to global GHG emissions. To reach net-zero emissions, these industrial sectors need a major overhaul. They must move beyond fossil fuels and embrace cleaner alternatives. This transition can be achieved through a two-pronged approach:
- Clean Energy Revolution: Industries need to switch from fossil fuels to low- or zero-emission energy sources. Renewable energy options like solar, wind, and geothermal power offer a sustainable future.
- Innovation for Efficiency: Advancements in heat integration and energy efficiency through innovative processes can reduce emissions. Carbon capture and storage technologies also play a vital role in trapping emitted CO2 and preventing it from reaching the atmosphere [7].
It is crucial to emphasize that the way we generate electricity has undergone a dramatic change in recent decades. While fossil fuels like coal, natural gas, and oil still hold a dominant position, there is a clear trend toward renewable energy sources playing a much bigger role and becoming more reliable [8]. In this scenario, electric energy stands as a significant alternative for supplying heat to high-temperature processes, thereby substituting the conventional heating methods reliant on the combustion of fossil fuels. Incorporating non-traditional heat supply methods into reactors forms a key aspect of the power-to-heat solution, representing a fundamental shift in reactor and process design. Indeed, adopting an alternative heating method would necessitate the removal of the firebox, thereby significantly impacting the plant’s footprint [8]. This modification would lead to heightened volumetric heat loads alongside constraints on heat transfer and temperature gradients. There are different options for electrifying a chemical reactor: microwave-assisted heat transfer, in which the heat is generated by the movement of polar molecules subjected to the alternating electric field of the microwaves [9]; ohmic or Joule heating obtained by means of an electric current passing through resistive conductors [10]; induction heating achieved through an alternating current that generates a magnetic field, inducing an electrical current and providing thermal energy [11]. The implementation of these technologies in heterogeneous catalysis aims to provide the heat necessary for the reaction directly to the catalyst by exploiting the volumetric and selective nature of the specific electrified heating method.
Among the large-scale industrial processes, olefin production is one of the most energy-intensive technologies. It involves endothermic reactions that require high temperatures (>500 °C) and huge heat fluxes. In this context, propylene is recognized as a key building block for the production of many chemical raw materials [12], such as polypropylene, propylene oxide, acrylonitrile, cumene, and others [13], and its production exerts a profound impact on the global economy. Nowadays, the dehydrogenation of propane (PDH) is the most attractive process for obtaining propylene, assuring high yield and selectivity values. In addition, the reaction generates 1 mol of H2 and 1 mol of C3H6 per mole of C3H8 reacted (1); thus, the process allows for obtaining two contemporary high-value products. The commercialized Lummus Catofin and UOP Oleflex PDH processes have improved propylene yield compared to traditional energy and carbon-intensive processes like steam cracking of naphtha and fluid catalytic cracking. However, there are still limitations related to catalyst stability and heat management that need to be addressed [14].
The primary criticism of the PDH reaction is its endothermic nature, which necessitates high temperatures. These high-temperature conditions lead to several side reactions, including the thermal cracking of propane into methane and ethylene, hydrogenolysis, and coke deposition, which cause the rapid deactivation of the catalyst [15]. As a result, frequent catalyst regeneration cycles are needed, complicating the process and reducing productivity. Moreover, the Pt-Sn-based catalysts, known for their superior activity and performance in the PDH reaction, experience sintering due to thermal shock during oxidation.
Despite the numerous efforts made to mitigate the limitations of this process, ongoing scientific research is dedicated to exploring innovative solutions aimed at optimizing both the catalyst formulation and the heating method. As previously mentioned, the conventional systems employed for providing energy into the process are accountable for inadequate heat management, leading to significant impacts on process efficiency and the environment. In this review, a detailed overview of traditional catalysts and reactor configurations is provided, highlighting the inherent limitations of conventional PDH processes. These limitations include excessive coking, which leads to reduced catalyst activity and increased operating costs, and challenges in achieving high propylene selectivity, a critical factor in maximizing product yield. To address these challenges, the scientific community has been actively exploring innovative microwave heating technologies for PDH processes. These technologies aim to provide more efficient and controlled heat transfer to the catalysts, thereby reducing coking rates and improving propylene selectivity. Our work delves into recent technological advancements in both the conventional and microwave catalytic formulations for the PDH process.
2. Conventional Catalysts and Reactors for Propane Dehydrogenation
Propane dehydrogenation is a highly endothermic and equilibrium-limited reaction [16]; thus, selecting suitable catalysts is mandatory to achieve high activity as well as selectivity and to disadvantage coking/cracking pathways [17]. Several authors have reported that the activation of the first C-H bond of propane is the rate-determining step of the PDH reaction, and numerous metal-oxide-based catalysts, as well as non-oxide-based catalysts, have been selected for propane dehydrogenation, including Pt, CrOx, VOx, GaOx, ZrO2, carbides, nitrides, and carbon material-based formulations, which helped preventing cracking reactions [12,18,19,20]. Many researchers employed platinum-based catalysts (exploiting Pt activity for the dehydrogenation of light hydrocarbons), generally supported on Al2O3, and added Sn as a promoter: Pt-Sn catalysts showed increased selectivity to propene as well as decreased deactivation due to coke formation, thanks to a duplex electronic/geometric effect [21]. In fact, Sn atoms are involved in the donation of electronic charge to Pt, decreasing the binding energy of dehydrogenated species on the platinum surface and inhibiting deep dehydrogenation/coking pathways. On the other hand, tin assures the surface dilution of platinum ensembles, with a consequent enhancement in propene selectivity and decrease in cracking phenomena; Sn atoms can also act as nucleation sites, preventing Pt sintering during regeneration cycles [22,23].
In the last few years, scientists investigated the structure-performance relationship for the propane dehydrogenation reaction over Pt-based catalysts (both geometric and electronic effects upon the addition of Cr, Mn, Fe, Co, Cu, Zn, Ga, Sn as promoters) by studying intermetallic compounds, encapsulation, defect engineering (i.e., oxygen vacancies), single atom alloys, dual atoms catalysts, and core–shell bimetallic alloys [24]. Single-atom alloys (SAAs) are a subclass of single-atom catalysts and consist of a reactive dopant metal atomically dispersed in a second metal host. In this regard, in fact, it was reported that the regulation of the geometrical as well as electronic properties of the catalyst is the most effective strategy to enhance propane conversion, propylene selectivity, and anti-coking activity. Thus, the synthesis of nanocatalysts with well-defined morphologies, along with enhanced particle dispersion, as well as improved electronic redistribution and transfer, is crucial [25]. In this paragraph, the main catalysts employed from 2019 are classified based on the selected promoter and/or support by comparing their performances for PDH reaction.
Jang et al. [26] investigated the stability of a Pt-Sn/γ-Al2O3 catalyst prepared by the incipient wetness co-impregnation method in comparison with a commercial formulation deposited on Puralox SBA. The high strength of Lewis acid sites was able to prevent active phase particles from sintering thanks to the strong metal–support interactions. Moreover, the relationship between Lewis acid sites and coke deposition was elucidated: Lewis acid sites on the alumina surface were initially responsible for coke precursor formation; thereafter, Lewis acid sites were gradually opened, and aliphatic hydrocarbons were transformed into aromatic compounds. As a result, only 0.6 wt% of coke was deposited on the prepared formulation, while 8.6 wt% of coke was measured in the case of the commercial catalyst after 20 h of test at 590 °C.
A series of un-promoted Pt single-atom catalysts supported on Al2O3 were tested for propane dehydrogenation along with Pt small clusters and nanoparticle (NPs) catalysts [27]. All the catalytic samples were prepared via a simple impregnation method in which the Pt particle size was controlled by changing the Pt loading. The catalyst containing Pt particles with an atomic-level dispersion achieved the highest activity and propylene selectivity. In fact, platinum centers are positively charged, assuring preferential adsorption of propane. At the same time, the C3H6 adsorbed on the atomically dispersed active metal is preferentially desorbed instead of being over-dehydrogenated. As a result, the atomically dispersed Pt/Al2O3 catalyst, which also contained a reduced Pt loading instead of the clusters, as well as nanoparticles case, is a very effective catalyst for propane dehydrogenation.
Although Pt is the most widespread active species for propane dehydrogenation, Hannagan et al. [28] found that Rh atoms dispersed in Cu (RhCu single-atom-alloy catalyst) are very active and selective for the PDH reaction. The atomic dispersion of Rh in the SAA catalyst assured facile C-H bond activation, avoiding, at the same time, over-dehydrogenation that leads to coke formation. As a result, a stable propane formation rate of almost 2 × 10−4 molC3H6∙molplatinum-group-metal−1∙s−1 was recorded for almost 50 h at 350 °C. Similarly, Zhou et al. [29] prepared a high-stable single-atom catalyst for PDH consisting of Ru single atoms deposited on nitrogen-doped carbon. The high activity and selectivity of the proposed catalyst were related to the presence of peripheral N species around the Ru1 center. In fact, the atomically dispersed Ru particles are stabilized by the inner N-shell, thus inhibiting the structure-sensitive propane cracking. On the other hand, the outer N shell enhances electron accumulation at the Ru1 center and increases the charge repulsion, promoting propylene desorption. As a result, the propylene selectivity reached 92%, while the deactivation rate was significantly lower with respect to the conventional catalysts.
Gallium oxide has also been proposed as a dehydrogenation catalyst due to its high dehydrogenation activity and environmental friendliness [12]. A Pt-Ga2O3 catalyst supported on Al2O3, after H2-reduction, displayed a gallium oxide surface defective with oxygen vacancies, which promotes the formation of Ga-H species able to serve as active species for propane dehydrogenation. During PDH tests performed at 600 °C, C3H8/H2 = 1:1 and WHSV = 50 h−1, for a 3 wt% content of Ga2O3, by increasing the Pt loading in the interval 0.003–0.3, the propylene formation rate displayed a volcano-shaped profile, with a maximum recorded by fixing the platinum content to 0.03 wt%. In fact, the propylene formation rate increased linearly with the surface concentration of Ca-H species, which is the maximum for a Pt loading of 0.03 wt% [30]. Kwon et al. [31] prepared a Ga-containing Al2O3 support by a one-pot sol-gel synthesis method; the same technique was also employed for the successive deposition of Pt and Ce. During stability tests performed at 620 °C, WHSV = 5.4 h−1 and a stream containing 20 vol% of C3H8, the highest performance was recorded for a Ce content of 2 wt%. The latter loading, in fact, allowed obtaining atomically dispersed Ce3+ sites on the Al2O3 support, which stabilized Pt0 species and prevented platinum sintering.
It was also demonstrated that Ti nanosheets, which normally display very low activity for the PDH reaction, become promising catalysts for propane dehydrogenation when combined with Ni. In this regard, Chen et al. [32] deposited the Ni phase (by simple wet impregnation) onto a TiO nanosheet supported on Al2O3 during tests carried out at 600 °C, C3H8/H2 = 1 and WHSV = 3 h−1, the propylene selectivity reached 94%. In fact, a defective TiOx overlayer, which consists of tetracoordinate Ti sites with oxygen vacancies, was formed during preparation and displayed high activity for the reaction of interest. Moreover, the Ni phase, present at the subsurface, acted as an electronic promoter, accelerating the C-H bond activation and facilitating H2 desorption from the TiOx overlayer.
In the framework of Pt-free catalysts, Ma et al. [33] proposed a Ni/Al2O3 nanoparticle catalyst prepared by the deposition–precipitation method for the PDH reaction. Isolated Ni sites were obtained by settling Ni2+ cations into Al3+ vacancies on the γ-Al2O3 support. The single-site Ni catalyst, due to its special structural stability, displayed superior performance compared to conventional NP Ni catalysts, with a propylene selectivity higher than 93% at 580 °C and WHSV of 0.3 h−1. Similarly, a Zn/γ-Al2O3 catalyst, prepared via the chemical vapor deposition technique, was tested at 550 °C under a 15 vol% C3H8 stream, displaying a superior performance with respect to the same sample prepared via conventional impregnation [34]. In fact, the interaction of Zn vapors with Al2O3 led to the formation of surface Zn2+ cations, particularly active for propane conversion as well as H2 dissociation. The consequent formation of zinc hydride species contributed to increased propylene selectivity, which almost reached 90%. The same authors demonstrated that the catalyst’s performance is mainly related to the surface concentration of Zn2+: by increasing the zinc loading in the interval 2–6 wt%, no significant variation in the surface composition was observed, proving that low Zn content is sufficient to reach high activity and selectivity.
Concerning the support choice, as described above, the use of Al2O3 for the deposition of Pt nanoparticles modified by Tin addition assures high propylene selectivity due to the formation of intermetallic PtSn NPs, which are also able to reduce the coke formation rate. However, under the typical operative conditions of propane dehydrogenation, the PtSn nanoparticles may separate on the Al2O3 support, forming segregate SnOx, as well as Pt phases, which cause a rapid catalyst deactivation by coking. In order to overcome this issue, high quantities are used: the Sn:Pt atomic ratio generally varies from 4 to 5, thus increasing the formation of PtSn NPs. On the other hand, H2 co-feeding was also proposed as an interesting way to reduce the carbon formation rate. However, in the latter case, a lowering in the thermodynamic limit of per-pass propane conversion is observed, with a consequent decrease in productivity. In this regard, Motagamwala et al. [35] prepared a Pt-Sn catalyst supported on silica with nanoparticle dimensions lower than 2 nanometers (Figure 1). During the catalyst preparation, the two precursors were mixed to form a heterometallic Pt-Sn coordination complex in which the two metals are in immediate contact.
Figure 1.
Particle size distribution of the PtSn NPs over the Pt-Sn/SiO2 catalyst. Each bar represents a diameter value and its height corresponds to the number of particles that fall within that value. The red curve shows the best-fit normal distribution for the data [35].
In fact, the Pt-Sn precursor is atomically mixed, and the very small intermetallic particles formed during the catalyst reduction also display a benign interaction with the SiO2 support, avoiding Sn as well as Pt segregation and the formation of the SnOx phases. Under a stream containing 16 vol% propane in helium and by fixing a WHSV of 4.7 h−1, the SiO2-based catalyst displayed a near-thermodynamic conversion at 580 °C (of almost 66%), with a selectivity higher than 99%. On the contrary, the Al2O3-based sample displayed a reduced propane conversion (22%) as well as lower propylene selectivity. Thus, the Pt-Sn/SiO2 catalyst displayed very high stability and selectivity in comparison with other catalysts tested under similar conditions.
Zeolites have also been proposed as promising supports for the Pt-Sn phase [36]. Wang et al. [37] subsequently deposited Sn and Pt via the impregnation method over a dealuminated H-beta support (become Si-beta) and investigated the catalyst activity, as well as selectivity for PDH reaction at 550 °C and WHSV = 1 h−1. The interaction between Pt and Sn species confined in the Si-beta zeolite enhanced Pt particles dispersion assured an improved stability with respect to the sample supported on the H-beta zeolite: as a result, almost no deactivation was recorded during 5 h of time-on-stream.
A nanometric Pt-Mn material was prepared via a combination of surface organometallic chemistry, as well as thermolytic molecular precursor approach, and subsequently supported on silica via the consecutive grafting of Mn, as well as Pt, precursor on surface OH groups. In the prepared catalyst, Mn is mainly present as a single site on the support surface; only almost 30 wt% of Mn is incorporated within segregated Pt2Mn nanoparticles [38]. The prepared material displayed high robustness: after six regeneration cycles, a propane conversion of almost 37%, along with a propane selectivity of almost 98%, was still recorded at 550 °C (Figure 2).
Figure 2.
Conversion and selectivity levels over a Pt-Mn/SiO2 catalyst during consecutive regeneration levels [38]; T = 550 °C and WHSV = 1160 h−1. Used with permission from Rochlitz, Journal of the American Chemical Society. Copyright 2022 American Chemical Society.
Nakaya et al. [39] prepared a single-atom Pt included in a thermally stable PtGa compound by the pore-filling impregnation method, using SiO2 as support. Moreover, threefold hollow Pt3 ensembles were successfully blocked upon platinum addition, while the single-atom-like isolated Pt1 sites remained, displaying high selectivity towards propylene (Figure 3). Thus, a stable conversion of 30% was observed for 96 h at 600 °C. A PtGa/Al2O3 catalyst was coated by silica layers and tested for the PDH reaction. In particular, the obtained structure was able to ensure the exposition and the stabilization of isolated Pt atoms in the Ga cluster of silica, as well as the alumina interlayer. In fact, thanks to the protection of thin silica layers, Ga species are highly stabilized at the cluster state; these clusters are able to change the charge distribution around Pt sites, thus enhancing the PDH performance. As a result, after 32 h of stability test performed at 450 °C under a 2.5 vol%C3H8/2.5 vol%H2 stream, the propylene productivity rate was higher than 0.4 mol∙gcatalyst−1∙h−1 while a value lower than 0.2 was recorded over the uncoated catalyst under the same operative conditions [40].
Figure 3.
Propane conversion (a) and propene selectivity (b) as a function of TOS over PtGa/SiO2, PtGa–Pb/SiO2 catalysts; gas feed: C3H8:H2:He = 3.9:5.0:40 mL min−1 at 600 °C; exposed Pt: 4.5 µmol [39].
Chen et al. [41] successfully prepared an atomically ordered PtZn4 intermetallic alloy via the incipient wetness impregnation method. The surface PtZn4 ensembles were key active site structures: the geometrical-isolated and electron-rich-Pt sites promote the first and second C-H cleavage of propane molecules, inhibiting, at the same time, further dehydrogenation of surface-bounded propylene. As a result, during stability tests carried out at 500 °C and WHSV = 4 h−1 under a C3H8/H2 ratio of 1, the recorded deactivation rate was 0.002 h−1, with a catalyst lifetime of 160 h. On the contrary, considerably lower stability was recorded over a Pt-Sn/Al2O3 catalyst, which displayed a deactivation rate of 0.01 h−1, with a catalyst lifetime of only 100 h. Moreover, during four successive regeneration cycles, only a slight change in activity and selectivity was recorded over the PtZn catalyst. Rochlitz et al. [42] investigated the effect of Ti-doping in silica-supported PtZn catalysts. Ti sites at the metal–support surface prevented PtZn nanoparticles sintering, and the improved catalytic performance with respect to the Ti-free sample was not ascribed to PtZn NPs coverage by means of TiOx species, which was not significant in this case. Rather, it was sufficient to have Ti species in close proximity to the PtZn nanoparticles. As a result, after a 120 h stability test carried out at 550 °C and WHSV = 482 h−1, Ti addition resulted in a conversion increase from 18 to 26% and a propylene selectivity growth from 88 to 97%. Concerning the catalysis of Pt-Zn PHD catalysts, another key aspect is related to the stabilization of platinum single sites as well as clusters by Zn incorporation into zeolites. In this regard, Liu et al. [43] prepared subnanometric Pt clusters coordinated to framework Zn-atoms in Silicate-1 by using the hydrothermal method. When Zn was absent in the catalyst, Pt atoms were weakly bonded to silanol groups. Conversely, the Pt-Zn bonds resulted in single sites Pt1Zn1, which played a fundamental role in the C-H activation. The authors prepared catalysts at different Zn:Pt ratios, observing that higher zinc contents promote the C-H bond breaking and the β-H elimination, which was identified as the rate-determining step.
An ultra-thin functional layer of ZnO was deposited on SiO2 via chemical vapor deposition, while Pt nanoparticles were added by the incipient wetness impregnation method [44]. The obtained Pt1Zn1 alloy nanoparticles displayed a PDH activity 1.5 times higher than that of the catalyst prepared via the conventional route. Moreover, after 12 h of time-on-stream under a 20%C3H8 stream, the propylene selectivity was as high as 97%.
A Pt-free catalyst containing zinc as an active phase and supported on non-acidic-SiO2 was simply prepared by a physical mixing procedure: supported ZnOx species were generated in situ under treatment in a reducing atmosphere at 550 °C, in which the OH groups contained within the support react with Zn atoms [45]. The space-time yield (STY) of propene formation was measured for the above sample and for a commercial K-CrOx/Al2O3 catalyst over a series of reaction/regeneration steps, and the results of stability tests carried out at 550 °C and C3H8/H2 ratio of 2, are compared in Figure 4. The novel catalyst displayed a STY of propene formation about three times higher than the K-CrOx/Al2O3, with a selectivity towards the craking product of almost 1 half.
Figure 4.
Space-time yield of propane formation over ZnO-silicate (green circles) and K-CrOx/Al2O3 (red circles) catalysts; T = 550 °C: C3H8:H2:N2 = 4:2:4, total flowrate = 6 mL∙min−1, mcat = 0.302 g [45].
A series of Pt-Co catalysts supported on SiO2 was prepared via the incipient wetness impregnation method with a fixed Pt content (2 wt%) and a Co content ranging in the interval 0.6–4 wt% [46]. Propane dehydrogenation tests were carried out at 550 °C; the results obtained under conditions of zero deactivation and 20% propane conversion are compared in Table 1. Despite being tested under severe operative conditions (i.e., H2 co-feeding), all the catalysts displayed high propylene selectivity. In particular, the latter selectivity slightly decreased by increasing the Co loading. This result can be ascribed both to hydrogen adsorption on the neighboring Co atoms and to the different subsurface compositions of the nanoparticles. The excess of Co led to the formation of larger nanoparticles, as well as a reduced availability of the Pt3Co phase on the catalyst surface. In fact, at low Co loading, the bimetallic nanoparticles formed a Pt3Co intermetallic surface alloy with a Pt-rich core. Conversely, the formation of a Co-rich core, observed at higher cobalt loadings, negatively affected catalyst selectivity.
Table 1.
Results of propane dehydrogenation tests carried out at 550 °C under a stream containing 2 vol% C3H8, 1 vo% H2, and balance N2; space velocity was varied to achieve constant propane conversion (20%) [46].
Similarly, Purdy et al. [47] tested Pt-V/SiO2 catalysts prepared at different metal loadings by the incipient wetness impregnation method. During propane dehydrogenation tests carried out at 550 °C under a stream containing 2.5 vol% of C3H8 in N2, the increase in Pt loading from 2 to 5 wt% resulted in identical propylene selectivities despite the fact that the particle composition was different in the two cases. Characterization measurements, in fact, showed that only the surface and near-surface layers (the only ones affecting the catalyst activity and selectivity) have the same composition. Thus, an alloy layer with a thickness of 2–3 atomic layers displayed the same performance as a pure-phase alloy.
Compared to single-atom catalysts, dual-atom samples are expected to facilitate the adsorption/desorption of the substrates during PDH reaction [48]. In this regard, Chai et al. [49] prepared a hetero-dual atom catalyst with Zn1Co1 phases anchored on N-doped carbon (Zn1Co1/NC) by a competitive complexation strategy; the sample was tested under a C3H8/H2/He = 5:5:90 stream at 600 °C and a space velocity of 0.2 g∙s∙cm−3. Figure 5 compares the performance of the novel catalyst with respect to the single-atom formulations (Zn1/NC and Co1/NC). Zn-containing samples displayed increased C3H8 conversion, while Co presence enhanced the C3H6 selectivity. In fact, the bridged N atoms between Zn1 and Co1 were able to promote the C-H bond scission in propane molecule while the N-colligated Zn1Co1 ensemble with its dynamically changing structure offered a feasible channel for the desorption of C3H6.
Figure 5.
C3H8 conversion and C3H6 selectivity over various catalysts [49]; C3H8/H2/He = 5:5:90 stream, 600 °C and a space velocity = 0.2 g∙s∙cm−3.
The results described above (summarized in Table 2) highlight the research efforts toward the identification of highly active, selective, and stable catalysts for the PDH reaction.
Table 2.
Main results of propane dehydrogenation tests described in Section 2.
To that end, nanometric (with isolated metallic sites) and single-atom (atomically dispersed) catalysts have been widely proposed for their specific geometric and electronic properties, which enhance metal–support interactions, as well as active species dispersion. Moreover, it was found that, for atomically dispersed metals, the catalytic performance for the PDH reaction is strictly related to the surface and near-surface layers concentration of the active species; thus, in many cases, low metal loadings are sufficient to reach adequate propane conversion as well as propylene selectivity.
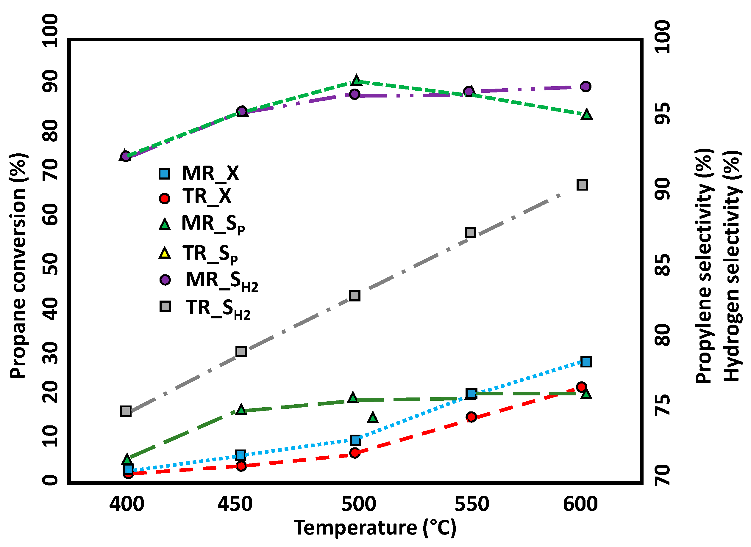
The main technologies designed for propane dehydrogenation are the Oleflex and the Catofin process. In the first case, multiple parallel packed-bed reactors are involved in a cyclic process: during regeneration, the deactivated bed is shut down, and the reacting stream is switched to the second bed. On the other hand, Catofin is based on continuous regeneration, with fluidized bed reactors applied in the conversion section and the outlet catalyst from the reactor fed to the regenerator [50]. However, the main disadvantages of traditional technologies are related to coke formation, reaction thermodynamic limitations, and high operating temperatures. In fact, coke formation during the PDH reaction severely weakens the catalytic activity and undermines the stability. In order to enhance both catalytic performance and propylene production, the coupling of production and separation units in a unique step has been successfully proposed [51]. Propane dehydrogenation is a highly endothermic reaction, and the consequent operative temperatures are responsible for reduced selectivity and coke deposition on the catalyst surface. Conversely, the integration of a low-temperature dehydrogenation reactor and an H2-permselective membrane assures working at lower temperatures, thus reducing the frequency of regeneration cycles. The comparison of a membrane (MR) and a traditionally packed bed reactor (TR), operating at 3 bar in the interval 400–600 °C under a sweep ratio N2/C3H8 of 6 with a commercial Pt-Sn/Al2O3 catalyst and a Pd-Ag membrane (Figure 6), revealed that the MR mode achieved at lower temperatures the same propane conversion and propylene selectivity of the traditional configuration [52]. In addition, Dangwal et al. [53] found that selective H2 removal during the PDH reaction operated in a packed bed silicate membrane reactor over a Pt/Al2O3 catalyst significantly reduced the formation of side products (i.e., methane). In particular, they identified the optimal operative conditions for maximizing propane conversion, as well as propylene yield and selectivity: the values of 49, 97, and 47% (respectively) were found at 600 °C and 5 atm. Similarly, Ricca et al. demonstrated that the integration of a Pd-based membrane in a PDH reactor can ensure an increase in propylene productivity by up to 50% [54]. It was also demonstrated that by alloying a Pd-based membrane with copper, it is possible to reduce the propene interaction with the membrane: due to the increased electron density of the d-orbitals, C3H6 adsorption on the membrane surface, which is normally responsible for its reduced performance, was considerably weakened [55].
Figure 6.
PDH performances in a traditional reactor (TR) and membrane reactor (MR) reported in terms of propane conversion (X), propylene selectivity (Sp), and hydrogen selectivity (SH2) over a Pt-Sn/Al2O3 catalyst and in the presence of a Pd-Ag membrane [52].
A CrOx/Al2O3 catalyst, typically employed for the Catofin process, was combined with a SAPO-34 zeolite membrane reactor, which was operated for 240 h (interspersed with 120 regeneration cycles) at 600 °C and WHSV = 3.6 h−1: a consistent performance was observed during the long-term stability test, maintaining a similar H2 permeability as well as H2/C3H8 selectivity with respect to the fresh membrane [56]. The relevant performance of the SAPO-34 membranes is related to the presence of a very thin (almost 2 µm, Figure 7) zeolite layer as well as to the asymmetric morphology of the hollow fiber. In fact, due to the presence of large finger pores close to the inner side of the Al2O3 hollow fiber substrate, mass transfer resistance is significantly lower than the traditional substrates employed for membrane fabrication [57,58]. Similarly, Wang et al. [59] combined a BBCN perovskite membrane with a Co/SiO2 catalyst and operated the propane dehydrogenation reaction at 650 °C for 50 h: the resulting propylene yield and selectivity (of 50 and 74%, respectively) were almost twice the values recorded in the conventional packed bed reactor.
Figure 7.
Scheme of a nanoporous zeolite-sheltered Pd-hollow fiber membrane employed for the PDH reaction [58]. Used with permission from Pati, ACS Applied Nano Materials. Copyright 2020 American Chemical Society.
During the PDH reaction at 500 °C and 4 bar of pressure difference, Brencio et al. [60] compared the performance of a conventional Pd-Ag membrane and a Pd-Ag double-skinned membrane, which is characterized by the presence of a protective layer on the top of the H2-selective layer, able to reduce mechanical erosion phenomena (typical of fluidized bed membrane reactors). As a result, the novel configuration allowed for increasing the H2 permeance from 1.56 to 2.28·10−6 mol∙m−2 s−1∙Pa−1. However, a faster deactivation of the double-skinned membrane was observed: due to the addition of the ceramic Al2O3 protective layer, a higher number of active sites available in the controlling step of the deactivation reaction are present in the latter configuration [61]. A zeolite layer was also deposited on the outer side of an ultrathin (1 µm) Pd membrane, which displayed enhanced performance in the presence of C3H8 as well as C3H6 compared to the only internal Pd-coated membranes. In fact, the presence of uniform nanosize pores (0.4 nm) in the zeolite layer assures a barrier for the hydrocarbons and promotes selective H2 permeation. As a result, during PDH reaction with 30% of C3H8 using a Cr/Al2O3 catalyst at 600 °C, an increase of 15% in the propane conversion with respect to the conventional fixed bed reactor was recorded.
Almallahi et al. [62] designed a reactor for the propane conversion to propylene in which a Pt-Sn/SiO2 catalyst is packed in the inside wall of a hollow-tube silica–alumina hydrogen membrane. This integrated system allowed for achieving propane conversions > 140% of the thermodynamic conversion and a C3H6 selectivity higher than 98% with no deactivation of the system components.
In the last few years, mixed matrix membranes have also been proposed as efficient devices for H2 separation during PDH reactions. In particular, the combination of zeolitic imidazolate framework-8 nanoplates with pristine membranes allowed a separation factor of almost 280 to be reached [63].
The industrialized technologies employed for the PDH process suffer from problems such as frequent catalyst regeneration and reaction heat supply issues. An interesting strategy to alleviate these shortcomings lies in the employment of fluidized bed reactors (FBR): the catalytic particles are moved to the regenerator, and the heat released during coke combustion can supply part of the energy required for the endothermic reaction [64,65]. Moreover, fluidized bed reactors have obvious advantages in terms of heat and mass transfer enhancement through the catalytic bed in comparison with packed bed configurations [66]. For the propane dehydrogenation technology, fluidized bed reactors with very low residence time have been proposed in the last years: such configurations allow for a greater extent of hot catalyst heat exploiting and reducing, at the same time, the impact of the feed impurities, with limited NOX and CO2 emission compared to Oleflex and Catofin processes. However, it is mandatory to develop catalytic formulations with enhanced activity and selectivity even at very low residence times [62]. For example, for a Cr-based catalyst tested in an FBR [67], it was found that reduced chromium contents (lower than 1%), as well as calcination under inert atmospheres, help minimize COx formation and increase propylene selectivity at very short times.
Song et al. [68] tested two catalysts (Pt-based and Cr-based formulations) in a fluidized bed reactor at 650 °C by changing the WHSV in the interval 0.93–4.98 h−1: both the samples (Figure 8) displayed an increase in the conversion rate with the reduction in reactants concentration. However, at every selected space velocity, the Cr-based catalyst showed enhanced activity, with a considerable reduction in the operative costs.
Figure 8.
Propane conversion in a fluidized bed reactor over various catalysts at 650 °C and WHSV = 0.93–4.98 h−1 [68]. Used with permission from Song, Industrial & Engineering Chemistry Research. Copyright 2022 American Chemical Society.
The activity and selectivity of a VOx/γ-Al2O3 catalyst were investigated in a bubbling fluidized bed at 770 °C, observing that oxygen addition can improve propylene yield. In fact, the re-oxidation of active species is the rate-limiting step, and the oxygen co-feeding in an equimolar ratio (10/10) with respect to propane allowed for reaching a C3H6 selectivity of almost 90% [69]. Similarly, Balogun et al. [70] highlighted the positive effects of CO2 co-feeding during the PDH reaction in a fluidized bed over a MoOx/La2O3–γAl2O3: in the absence of CO2, propylene yield was 28% at 600 °C while carbon dioxide addition increased the yield to 35.2% at 550 °C [71].
In order to exploit the positive effect of easy catalyst particle movement, as well as improved propane conversion, Brencio et al. [72] investigated the effect of coupling FBR with H2-selective membranes. In particular, they employed a K-promoted PtSn/Al2O3 catalyst and a double-skinned Pd-Ag membrane. At fixed operative conditions (500 °C, 2 bar, C3H8/N2 = 30/70), the propylene yield was always higher in the FBMR compared to the FBR. Moreover, by reducing the ratio between the superficial gas velocity (Uo) and the minimum fluidization velocity (Umf) from 3 to 1.5, the C3H6 yield increased from 24 to 43%.
Compared to conventional packed bed reactors, membrane reactors, as well as fluidized bed reactors, have been proposed as valid alternatives to improve heat/mass transfer and reduce coking phenomena. However, the energy supply to the dehydrogenation reactor is still an open question at present, and electrification technologies offer an interesting way to overcome this issue.
3. Microwave-Assisted PDH
3.1. Fundamentals of Microwave Heating and Catalytic Solutions
Since the magnetron’s groundbreaking inception in 1940, microwaves have completely transformed a wide array of industries. From agriculture and food processing to ceramics, analytical chemistry, pharmaceuticals, cosmetics, and materials synthesis, the impact of this innovation was prominent [73]. Microwave heating is well-established in organic chemistry and homogeneous catalytic reactions. Its application in heterogeneous reactions is rapidly expanding, thanks to its ability to selectively heat catalysts or active sites. To better understand the advantages of using microwave heating and heterogeneous catalysis in the PDH process for couples, an outline of microwave heating fundamentals is provided below.
When the matter is exposed to the electromagnetic field, it can conduct, reflect, or absorb microwave radiation. The different nature of the interaction between microwaves and materials depends on the dielectric, magnetic, and thermal properties of the materials [73]. The dielectric properties are described by the dielectric constant (ε′), i.e., the ability of the material to store electric energy, and the dielectric loss (ε″), which is the dissipation of electric energy to heat. The dielectric constant and the dielectric loss constitute the real and imaginary parts of the permittivity (ε*), as shown in Equation (2).
ε* = ε′ − j ε″
Similarly, permeability property (3) is a complex function that involves the magnetic energy stored in the matter (µ′) and the magnetic energy converted into heat (µ″), as follows:
µ* = µ′ − j µ
The permittivity and permeability properties are responsible for the dielectric and magnetic heating, respectively. Lastly, the resultant volumetric power absorbed (P) can be expressed by the following equation:
where |E| and |H| constitute the microwave electric and magnetic field intensity, respectively; σ represents the electrical conductivity; f is the frequency; ε0 and μ0 are the dielectric constant and the magnetic permeability in the vacuum; and εr″ and μr″ are the relative dielectric and the relative magnetic loss.
Equation (4) clarifies that a material’s ability to absorb heat from microwave radiation depends on its unique electrical, dielectric, and magnetic properties. Dielectric loss is typically the major contributor. These properties vary significantly from one material to another, leading to diverse responses to microwave radiation across different substances. The dielectric solid materials, which are interesting for heterogeneous catalysis, can absorb microwave energy through polarization phenomena. The high-frequency electromagnetic field causes the dipoles to rotate with the applied electric field, generating friction and heat. Microwave heating leads to volumetric and selective heating, making it a potential tool for selectively providing thermal energy to the catalyst in the PDH reaction. By selecting the appropriate microwave-susceptible materials as catalysts, it is possible to create a significant temperature difference between the catalyst and the gas phase, limiting the homogeneous side reactions and the coke formation. A critical challenge for the catalyst used in microwave-assisted PDH is to have dual functionality. It should exhibit high performance in terms of conversion, selectivity, stability, and mechanical resistance while also being susceptible to microwaves for efficient heating. The most common strategy to satisfy this duality involves choosing a material with high microwave capability as a support for the catalyst. In this regard, the penetration depth of a material is an important parameter that provides a significant indication of the material’s ability to absorb microwave energy. It is defined as the depth in the material at which the microwave power drops to 1/e (~37%) of its initial value [73], and it is described by the following Equation (5):
where is the wavelength of microwave radiation.
Equation (5) effectively illustrates the differences between microwave and conventional heating methods. In traditional heating methods, infrared radiation penetrates only a short distance, leading to surface heating. This heat then gradually transfers to the core of the materials. In contrast, microwaves have a greater penetration depth, which allows for volumetric heating throughout the materials [74]. Moreover, particle size (d) is essential in microwave heating. When the particle size is small compared to the microwave penetration depth (low d/Dp ratio), the particles behave like a transparent material. Conversely, if the particle size is significantly larger than the penetration depth (high d/Dp ratio), most of the microwave energy is reflected, which restricts heating to the surface [75].
Table 3 illustrates the penetration depth of commonly used materials in chemical engineering applications at room temperature at a microwave frequency of 2.45 GHz [74,75].
Table 3.
Penetration depth of microwaves (2.45 GHz) into solid materials at 25 °C [74,75].
The penetration depth of a material refers to how deeply microwaves can travel into it. As the penetration depth increases, the material’s ability to absorb microwave energy and generate heat decreases. In contrast, materials with lower penetration depths are capable of more efficient microwave heating. Common catalysts like ZSM-5 and Al2O3 exhibit poor microwave heating efficiency [76], whereas carbonaceous materials, such as carbon-based compounds or materials containing carbon, are particularly intriguing for microwave applications due to their excellent microwave absorbance. Moreover, carbon-based materials are frequently selected for implementation in catalytic processes due to their widespread availability in nature, cost-effectiveness, exceptional electrical conductivity, relatively inert surface, and large surface area [77]. In fact, activated carbon, carbon black, and graphitic materials have consistently served as catalysts or catalyst supports in heterogeneous reaction systems over several decades [77]. Among the carbon-based materials, silicon carbide (SiC) is renowned for its large dielectric loss, resistance to oxidation, chemical inertness, and versatile configurations (rod, plate, tube, powder) [75]. Additionally, it exhibits high thermal conductivity (up to 400 W·m−1·K−1), playing an essential role in catalyst heat management [74]. Equation (5) shows that penetration depth is influenced by the frequency and dielectric properties, which also depend on temperature. This factor is crucial when selecting materials for the catalyst in a PDH reactor, as it operates at high temperatures. Consequently, the properties of the material may change during the process. Furthermore, the catalytic PDH process is influenced by catalyst coking. As an excellent microwave receptor, especially in the absence of oxygen, coke can create hot spots and temperature gradients, which affect operational controllability. Coke deposits can alter the electromagnetic field, leading to a decrease in catalyst temperature and, consequently, affecting propane conversion [78]. To mitigate the effects of these hot spots, catalyst-coated structured beds, such as silicon carbide (SiC) monoliths, can be used [76]. Julian et al. [78] studied the thermal evolution of the dielectric properties of both fresh and spent Mo/ZSM-5 catalysts after the reaction of the non-oxidative methane coupling reaction, carbon nanotubes, α- and β-SiC (summarized in Figure 9), which are suitable for microwave-assisted processes influenced by catalyst coking, illustrating the role of coke and exploring strategies to mitigate its detrimental effect. Figure 9A elucidates the extent to which the presence of coke affects the dielectric constant and loss factor. It is observed that these parameters become increasingly significant as the catalyst transitions from a fresh to a spent state, particularly at elevated temperatures.
Figure 9.
Dielectric properties: (A) fresh and spent catalytic Mo/ZSM-5 powders (for MNOC process); (B) carbon nanotubes and SiC powders (100–250 µm) with different crystalline phases (cubic and hexagonal) [78].
The presence of the microwave field causes the delocalized π electrons in carbonaceous materials to shift, converting microwave energy into heat. As a result, the dielectric properties of the catalyst change not only due to temperature variations but also because of the ongoing chemical reaction [78]. As depicted in Figure 9B, SiC and carbon nanotube powders demonstrated a dielectric constant with an order of magnitude greater than Mo/ZSM-5, highlighting the potential of SiC as a superior microwave-responsive catalyst support. Notably, the formation of carbon nanotubes during catalyst coking could further enhance microwave absorption due to their inherently higher loss factor than SiC, causing undesirable hot spot formation [78]. Consequently, there are numerous key considerations for developing novel catalytic solutions. While research on microwave-assisted PDH reactions is still in its infancy, recent publications provide valuable insights into the advantages and limitations of this innovative approach, guiding future research efforts. The findings from scientific investigations into innovative microwave catalytic systems for the PDH reaction, as outlined in Table 3, are elaborated upon above. Ramirez et al. [79] explored the use of microwave irradiation in the oxidative PDH as a strategy to reduce the gas phase temperatures, minimizing the homogeneous formation of undesired products over a VMgO catalyst deposited on SiC-structured supports.
As depicted in Figure 10, a comparison between microwave heating and conventional heating at 600 °C revealed differences in product distribution. Specifically, the authors [79] demonstrated that the formation of ethylene and methane was significantly reduced under microwave heating. This reduction was attributed to the temperature difference between the gas and solid phases, which disfavors the homogeneous pathways (see Figure 11). Consequently, there was a substantial increase in propylene selectivity when transitioning from conventional heating to microwave heating technology.
Figure 10.
Product distribution of VMgO/SiC monolith at 600 °C reaction temperature with conventional and MW heating (10 vol% propane, 5 vol% oxygen, 85 vol% helium) [79]. Used with permission from Ramirez, Chemical Engineering Journal. Copyright 2020 Elsevier.
Figure 11.
PDH reaction pathways occur in both MW heating and conventional heating [79].
The microwave-assisted oxidative PDH reaction over V-based catalysts was further examined by Ma et al. [80], who replaced O2 with CO2 as a milder oxidant to reduce the over-oxidation of propylene and promote carbon neutrality. The researchers synthesized Va-La-doped mesoporous silica nanospheres (V-La-MSNS) combined with 20–40 mesh SiC to examine the influence of lanthanum doping and microwave heating on the catalytic performance for CO2 oxidative PDH. The results demonstrated that the presence of La improves the catalyst activity, leading to increased propane conversion and reduced propylene selectivity. The experimental test over the V-La-MSNS catalyst, in contrast to the previous work by Ramirez et al. [79], revealed that microwaves had a positive effect on propane conversion; however, the selectivity was lower than that of the conventionally heated reactor. The authors of [80] associated the decrease in selectivity with the “hot spots” effect. Microwave irradiation creates large temperature gradients, referred to as “hot spots”, within the catalyst bed. The temperature in these hot spots can be 100–200 °C higher than the average temperature of the catalyst bed. While the high temperature in these areas enhances catalytic activity, leading to increased propane conversion, it can also promote side reactions that result in a decrease in propylene selectivity. Wang et al. [81] investigated the microwave-assisted direct propane dehydrogenation (PDH) reaction using Co-Sn/NC, where cobalt serves as the active phase, tin functions as the promoter, and carbon nitride acts as the microwave receptor support. The direct dehydrogenation process has gained increasing attention due to a significant drawback in oxidative PDH. This drawback is that the oxidative process requires a high ratio of oxidants to paraffin, which can lead to the oxidation of the desired olefin products. This reaction could produce unwanted oxidized byproducts that negatively impact the selectivity of the overall process. It was found [81] that the Co-Sn/NC catalyst exhibits a significantly reduced reaction temperature for direct propane dehydrogenation (PDH) under microwave irradiation compared to conventional reaction methods. In the conventional mode, propane conversion was only 3.2% at 450 °C, whereas the microwave reaction mode achieved a propane conversion of 15%. Although the authors of [81] suggest that the presence of hot spots on the catalysts can accelerate microwave-driven gas–solid catalytic reactions, they argue that it is challenging to consider these hot spots as active sites, given that their sizes can range from 90 to 1000 µm. Their kinetic studies revealed that the apparent activation energy for the Co-Sn/NC catalyst decreased from 59.58 kJ·mol−1 in the conventional reaction mode to 20.58 kJ·mol−1 in the microwave reaction mode. This indicates that the catalyst operates effectively at lower reaction temperatures when microwave irradiation is applied. Kwak et al. [82] investigated the direct PDH process using microwave heating over a SiC monolith filled with Pt-Sn/SiO2 catalyst pellets. They observed a significant reduction in coke formation under microwave irradiation compared to conventional heating. Additionally, the microwave-assisted process exhibited slower sintering and improved activity, durability, and selectivity. Under conditions far from equilibrium (500 °C, high flow rates), the time-on-stream (TOS) performance of microwave heating was notably superior to conventional heating. However, under equilibrium conditions, the conversion was primarily governed by pressure and temperature, leading to less significant differences between the two heating methods. Typically, Pt-based catalysts deactivate rapidly in PDH due to coke deposition. The presence of Sn promotes propylene desorption, which can lead to further coke formation and deactivation. The authors attributed deactivation to the loss of active PtSn sites. Under microwave irradiation, particle growth was significantly suppressed, and PtSn nanoparticles remained relatively intact. The authors hypothesized that microwaves facilitate the removal of coke precursors from the PtSn sites to the support. These coke precursors, which strongly absorb microwaves, create nanoscale temperature gradients that promote their hydrogenation on the metal and subsequent desorption or migration to the support. This finding has significant implications for the commercial PDH process. Excessive coke formation often necessitates lower operating temperatures, resulting in reduced reaction rates, larger reactors, and frequent regeneration cycles. This latter issue ultimately reduces productivity and accelerates catalyst deactivation. By mitigating coke formation and improving catalyst stability, microwave-assisted PDH offers a promising approach to enhance the efficiency and sustainability of this important industrial process. Ma et al. [83] studied the catalytic activity of ZnO/Silicalite-1 catalyst mixed with SiC (20–40 mesh) and treated with HNO3 solution for microwave-assisted CO2-oxidative propane dehydrogenation (PDH). They found that acid leaching positively impacted catalytic performance by reducing particle size, improving ZnO distribution, and modifying catalyst acidity, which facilitated propylene desorption. After a 6 h time-on-stream test, the microwave-assisted reaction exhibited higher catalytic activity compared to conventional heating. Additionally, microwaves increased propylene selectivity from 87% to 96% at 600 °C. The same researchers, as already observed in their previous study [80], revealed that microwaves reduced the apparent activation energy from 154 kJ·mol−1 to 105.9 kJ·mol−1. This reduction is attributed to two factors:
- Direct energy input: microwaves directly interact with the reaction system, lowering the activation energy barrier.
- Thermal heating: a portion of the microwave energy is converted into heat, contributing to the overall energy input.
Recent advancements in the development of bifunctional ZnO/Silicalite-1 microwave catalysts for the CO2-oxidative PDH were performed by the works of Nie et al. [84,85,86,87], who observed the positive effect of additional promoters on the catalytic performance such as Y, Co, Bi, and K. Y is known for its excellent thermal stability and high dehydrogenation activity compared to other rare earth elements [84]. Co is of interest due to its abundance, low toxicity, and ability to accelerate CO2 activation. Furthermore, Co has excellent magnetic properties suitable for microwave heating [85]. Bi, a common semimetal, has been shown to effectively absorb and convert CO2, leveraging the activity of its lone electron pairs [86]. K, as an alkali metal, promotes the inverse reverse-Boudouard reaction, which mitigates the carbon accumulation on the catalyst and enhances the propylene selectivity [87].
Table 4 presents immediate information on the advancements in microwave catalysts for the propane dehydrogenation (PDH) reaction mentioned earlier. Notably, it shows that all the studies were conducted using a quartz reactor immersed in a microwave cavity, which imposes limitations on the mechanical stability and compactness of the systems. Additionally, with the exception of the works by Ramirez et al. [79,82] and Kwak et al. [82], which utilized a pyrometer and Fiber Bragg Grating, the other studies relied on thermocouples placed within the catalytic bed. These thermocouples do not guarantee accurate temperature measurements in the microwave cavity. Regarding catalyst performance, despite variations in WHSV and given the reaction temperatures of 500–600 °C, from the table, it can be inferred that for the oxidative PDH process, ZnO-based catalysts demonstrate superior performance. They achieve a propane conversion of 70% and a propylene selectivity of 93%. Meanwhile, the microwave-assisted direct PDH reaction performed exceptionally well with the Pt/Sn-based catalysts studied by Kwak et al. [82], achieving a remarkable 99% propylene selectivity and exhibiting greater stability compared to other studies. In conclusion, it is clear that microwave-assisted PDH catalysis requires further investigation. A significant hurdle remains in stabilizing catalysts, especially considering the challenges associated with controlling microwave systems, particularly when catalyst morphology and properties evolve during reactions. Additionally, the majority of experimental studies focus on oxidative PDH, while the limited research on direct PDH often involves highly diluted propane feedstocks, conditions that deviate significantly from industrial requirements.
Table 4.
Catalytic systems for the microwave-assisted PDH reaction (XC3H8 and SC3H6 refer, respectively, to propane conversion and propylene selectivity).
3.2. Microwave Equipment and Reactor Configurations
The PDH reaction has been explored in various solid–fluid reactor configurations for microwave heating, including fixed beds, coated monoliths, and packed monoliths (Figure 12) [76,88]. Fixed beds, a classic configuration, utilize pellets composed of a microwave-absorbing material like SiC mixed with the catalyst. However, contact points between particles can lead to hot spot formation and arcing, particularly aggravated by coke deposition, a common PDH byproduct [76]. This makes process control challenging. To address these issues, coated monoliths offer lower pressure drops and enhanced heat and mass transfer. SiC monoliths or open-cell foams (e.g., SiC or cordierite) can serve as both microwave receptors and structured catalyst supports [89]. While advantageous, coated monoliths have a significantly lower catalyst inventory compared to fixed beds, limiting the amount of catalyst that can be loaded [74]. Packed monoliths involve filling monolith channels with catalyst pellets [82]. This configuration allows for a large catalyst inventory while using a highly conductive and microwave-susceptible material. Nevertheless, similar to fixed beds, hot spot formation remains a concern.
Figure 12.
Solid–fluid reactors for microwave heating.
It is essential to underscore that the selection of catalyst configuration is intrinsically linked to the geometry of the microwave cavity and reactor. The electromagnetic field plays a pivotal role in determining power dissipation and the resultant temperature profile within the reactor. The standing wave pattern generated by microwaves within a cavity is influenced by various factors, including the shape and dimensions of both the reactor and cavity. Alterations in catalyst pellet size can lead to significant modifications in the temperature profile and overall performance of the reactor, even within a fixed cavity and reactor framework [74]. Presently, microwave-assisted propane dehydrogenation (PDH) processes are primarily examined at the laboratory scale, utilizing quartz reactors situated within microwave cavities. Unlike traditional chemical reactors, methodologies for the design of microwave cavities and reactors are still evolving. A prominent challenge in this field is the precise measurement of temperature within the microwave cavity. Thermocouples are unsuitable for applications in microwave cavities due to their metallic components, which can interact adversely with electromagnetic waves, leading to erroneous measurements and possible sparks [73]. Consequently, alternative temperature measurement tools, such as optical fibers, pyrometers, and infrared (IR) thermal cameras, are commonly employed during microwave heating. While optical fibers are metal-free and suitable for in situ temperature measurements, their applicability is restricted to relatively low temperatures (approximately 300 °C) [74]. Conversely, pyrometers and IR thermal cameras are viable for high-temperature assessments; however, they are limited to measuring surface temperatures. As such, the achievement of accurate temperature measurements within microwave reactors presents a considerable challenge, and effective control of temperature distribution remains problematic [76]. Without adequate temperature control, non-uniform temperature fields may arise, which can hinder microwave penetration into the reactor. Additionally, the preference for multimode applicators over single-mode designs presents further challenges at larger scales. As a result, heating reactors with larger diameters remains difficult. Generally, energy efficiency increases with scale, rendering laboratory-scale studies inadequate for estimating both energy requirements and the efficiency of processes at larger scales [73]. This situation arises from the observation that small quantities of materials convert only a minor portion of microwaves into heat, thereby resulting in substantial microwave reflection and diminished energy efficiency. To optimize energy efficiency, it is crucial that the cavity is utilized at maximum sample load capacity. However, achieving higher energy efficiency with a larger sample load may lead to inadequate heating rates and non-uniform heating.
4. Conclusions
In the search for more efficient PDH catalysts, scientists highlighted that the modulation of geometrical and electronic properties of the catalyst is the most effective strategy to enhance propane conversion, propylene selectivity, and anti-coking activity. In this regard, atomically dispersion of the active phase plays a crucial role. The preparation method, the meal loading, and the physiochemical properties of the support (especially in terms of acidity and/or oxygen vacancies) are key factors in controlling the formation of single-metal sites. When active phase clusters are available on the surface, the catalytic sites are electron-rich, and the cleavage of C-H bond in propane molecule is enhanced; in other cases, the synthesis of hetero dual-atom ensembles with an electronic changing structure offered a feasible channel for the desorption of C3H6. It was also clear that the choice of the system for energy supply to the catalytic bed affects the catalyst performance: improved heat management assures higher activity and selectivity. Recent studies have examined the application of microwave technology as an alternative heating method for the PDH reaction. These studies involve the development of catalytic systems that fulfill the requirements for both high catalytic efficiency and significant microwave heating capability, utilizing silicon carbide as the catalyst support and microwave receptor. While numerous challenges still require further research, findings indicate that microwave heating enhances PDH process performance by increasing the reaction rate and mitigating coke formation due to its selective heating characteristics.
Author Contributions
Conceptualization, V.P., O.M. and C.R.; methodology, V.P.; formal analysis, V.P., O.M. and C.R.; investigation, O.M. and C.R.; resources, V.P.; writing—review and editing, O.M. and C.R.; supervision, V.P. All authors have read and agreed to the published version of the manuscript.
Funding
This research received no external funding.
Data Availability Statement
No new data were created or analyzed in this study. Data sharing is not applicable to this article.
Conflicts of Interest
The authors declare no conflicts of interest.
Abbreviations
| PDH | Propane dehydrogenation |
| GHG | Greenhouse gas |
| IPCC | Panel on Climate Change |
| IEA | International Energy Agency |
| MW | Microwave |
| NPs | Nanoparticles |
| WHSV | Weight Hourly Space Velocity |
| STY | Space-time yield |
| FBR | Fluidized bed reactor |
| FBM | Fluidized bed membrane reactor |
| Uo | Superficial gas velocity |
| Umf | Minimum fluidization velocity |
References
- Lal, A.; You, F. Climate sustainability through a dynamic duo: Green hydrogen and crypto driving energy transition and decarbonization. Proc. Natl. Acad. Sci. USA 2024, 121, e2313911121. [Google Scholar] [CrossRef]
- Fu, C.; Lu, L.; Pirabi, M. Advancing green finance: A review of climate change and decarbonization. Digit. Econ. Sustain. Dev. 2024, 2, 1. [Google Scholar] [CrossRef]
- Moreno, J.; Moreno, J.; Campagnolo, L.; Campagnolo, L.; Boitier, B.; Boitier, B.; Nikas, A.; Nikas, A.; Koasidis, K.; Koasidis, K.; et al. The impacts of decarbonization pathways on Sustainable Development Goals in the European Union. Commun. Earth Environ. 2024, 5, 136. [Google Scholar] [CrossRef]
- Kumar, A.; Tiwari, A.K.; Milani, D. Decarbonizing hard-to-abate heavy industries: Current status and pathways towards net-zero future. Process. Saf. Environ. Prot. 2024, 187, 408–430. [Google Scholar] [CrossRef]
- Victor, N.; Nichols, C. Impact of Carbon Dioxide Removal Technologies on Deep Decarbonization: EMF 37 MARKAL–NETL Modeling Results. Energy Clim. Chang. 2024, 5, 100143. [Google Scholar] [CrossRef]
- Eryazici, I.; Ramesh, N.; Villa, C. Electrification of the chemical industry—Materials innovations for a lower carbon future. MRS Bull. 2021, 46, 1197–1204. [Google Scholar] [CrossRef]
- Eardley, S.; Choi, J.-K.; Hong, T.; An, J. Decarbonization potential of regional combined heat and power development. Renew. Sustain. Energy Rev. 2024, 189, 114038. [Google Scholar] [CrossRef]
- Ambrosetti, M. A perspective on power-to-heat in catalytic processes for decarbonization. Chem. Eng. Process. Process Intensif. 2022, 182, 109187. [Google Scholar] [CrossRef]
- Palma, V.; Barba, D.; Cortese, M.; Martino, M.; Renda, S.; Meloni, E. Microwaves and Heterogeneous Catalysis: A Review on Selected Catalytic Processes. Catalysts 2020, 10, 246. [Google Scholar] [CrossRef]
- Meloni, E.; Iervolino, G.; Ruocco, C.; Renda, S.; Festa, G.; Martino, M.; Palma, V. Electrified Hydrogen Production from Methane for PEM Fuel Cells Feeding: A Review. Energies 2022, 15, 3588. [Google Scholar] [CrossRef]
- Kim, Y.T.; Lee, J.-J.; Lee, J. Electricity-driven reactors that promote thermochemical catalytic reactions via joule and induction heating. Chem. Eng. J. 2023, 470, 144333. [Google Scholar] [CrossRef]
- Chen, S.; Chang, X.; Sun, G.; Zhang, T.; Xu, Y.; Wang, Y.; Pei, C.; Gong, J. Propane dehydrogenation: Catalyst development, new chemistry, and emerging technologies. Chem. Soc. Rev. 2021, 50, 3315–3354. [Google Scholar] [CrossRef] [PubMed]
- Zhang, Y.; Zhou, Y.; Shi, J.; Zhou, S.; Sheng, X.; Zhang, Z.; Xiang, S. Comparative study of bimetallic Pt-Sn catalysts supported on different supports for propane dehydrogenation. J. Mol. Catal. A Chem. 2014, 381, 138–147. [Google Scholar] [CrossRef]
- Yang, F.; Zhang, J.; Shi, Z.; Chen, J.; Wang, G.; He, J.; Zhao, J.; Zhuo, R.; Wang, R. Advanced design and development of catalysts in propane dehydrogenation. Nanoscale 2022, 14, 9963–9988. [Google Scholar] [CrossRef] [PubMed]
- Kumar, P.; Srivastava, V.C. Elucidation of Catalytic Propane Dehydrogenation Using Theoretical and Experimental Approaches: Advances and Outlook. Energy Fuels 2023, 37, 18369–18394. [Google Scholar] [CrossRef]
- Li, Q.; Sui, Z.; Zhou, X.; Chen, D. Kinetics of propane dehydrogenation over Pt–Sn/Al2O3 catalyst. Appl. Catal. A Gen. 2011, 398, 18–26. [Google Scholar] [CrossRef]
- Akporiaye, D.; Jensen, S.F.; Olsbye, U.; Rohr, F.; Rytter, E.; Rønnekleiv, M.; Spjelkavik, A.I. A Novel, Highly Efficient Catalyst for Propane Dehydrogenation. Ind. Eng. Chem. Res. 2001, 40, 4741–4748. [Google Scholar] [CrossRef]
- Li, K.; Cai, X.; Liu, H.; Liu, X.; Shan, Y.; Feng, X.; Chen, D. Recent progress in the development of catalysts for propane dehydrogenation in the presence of CO2. React. Chem. Eng. 2024, 9, 1292–1312. [Google Scholar]
- Jiang, F.; Zeng, L.; Li, S.; Liu, G.; Wang, S.; Gong, J. Propane Dehydrogenation over Pt/TiO2–Al2O3 Catalysts. ACS Catal. 2015, 5, 438–447. [Google Scholar] [CrossRef]
- Otroshchenko, T.; Sokolov, S.; Stoyanova, M.; Kondratenko, V.A.; Rodemerck, U.; Linke, D.; Kondratenko, E.V. Ein unkonventionelles Katalysatorsystem auf der Basis von ZrO2 für die Propandehydrierung: Konzept, Synthese und aktive Zentren. Angew. Chem. 2015, 127, 16107–16111. [Google Scholar] [CrossRef]
- Kaylor, N.; Davis, R.J. Propane dehydrogenation over supported Pt-Sn nanoparticles. J. Catal. 2018, 367, 181–193. [Google Scholar] [CrossRef]
- Pham, H.N.; Sattler, J.J.H.B.; Weckhuysen, B.M.; Datye, A.K. Role of Sn in the Regeneration of Pt/γ-Al2O3 Light Alkane Dehydrogenation Catalysts. ACS Catal. 2016, 6, 2257–2264. [Google Scholar] [CrossRef] [PubMed]
- Wu, J.; Peng, Z.; Bell, A.T. Effects of composition and metal particle size on ethane dehydrogenation over PtxSn100−x/Mg(Al)O (70≤ x ≤100). J. Catal. 2014, 311, 161–168. [Google Scholar] [CrossRef]
- Bian, K.; Zhang, G.; Zhu, J.; Wang, X.; Wang, M.; Lou, F.; Liu, Y.; Song, C.; Guo, X. Promoting Propane Dehydrogenation with CO2 over the PtFe Bimetallic Catalyst by Eliminating the Non-selective Fe(0) Phase. ACS Catal. 2022, 12, 6559–6569. [Google Scholar] [CrossRef]
- Chen, S.; Pei, C.; Sun, G.; Zhao, Z.-J.; Gong, J. Nanostructured Catalysts toward Efficient Propane Dehydrogenation. Accounts Mater. Res. 2020, 1, 30–40. [Google Scholar] [CrossRef]
- Jang, E.J.; Lee, J.; Jeong, H.Y.; Kwak, J.H. Controlling the acid-base properties of alumina for stable PtSn-based propane dehydrogenation catalysts. Appl. Catal. A Gen. 2019, 572, 1–8. [Google Scholar] [CrossRef]
- Zhang, W.; Wang, H.; Jiang, J.; Sui, Z.; Zhu, Y.; Chen, D.; Zhou, X. Size Dependence of Pt Catalysts for Propane Dehydrogenation: From Atomically Dispersed to Nanoparticles. ACS Catal. 2020, 10, 12932–12942. [Google Scholar] [CrossRef]
- Hannagan, R.T.; Giannakakis, G.; Réocreux, R.; Schumann, J.; Finzel, J.; Wang, Y.; Michaelides, A.; Deshlahra, P.; Christopher, P.; Flytzani-Stephanopoulos, M.; et al. First-principles design of a single-atom-alloy propane dehydrogenation catalyst. Science 2021, 372, 1444–1447. [Google Scholar] [CrossRef]
- Zhou, Y.; Wei, F.; Qi, H.; Chai, Y.; Cao, L.; Lin, J.; Wan, Q.; Liu, X.; Xing, Y.; Lin, S.; et al. Peripheral-nitrogen effects on the Ru1 centre for highly efficient propane dehydrogenation. Nat. Catal. 2022, 5, 1145–1156. [Google Scholar] [CrossRef]
- Zhang, T.; Pei, C.; Sun, G.; Chen, S.; Zhao, Z.; Sun, S.; Lu, Z.; Xu, Y.; Gong, J. Synergistic Mechanism of Platinum-GaOx Catalysts for Propane Dehydrogenation. Angew. Chem. Int. 2022, 61, e202201453. [Google Scholar] [CrossRef] [PubMed]
- Kwon, H.C.; Park, Y.; Park, J.Y.; Ryoo, R.; Shin, H.; Choi, M. Catalytic Interplay of Ga, Pt, and Ce on the Alumina Surface Enabling High Activity, Selectivity, and Stability in Propane Dehydrogenation. ACS Catal. 2021, 11, 10767–10777. [Google Scholar] [CrossRef]
- Chen, S.; Xu, Y.; Chang, X.; Pan, Y.; Sun, G.; Wang, X.; Fu, D.; Pei, C.; Zhao, Z.J.; Su, D.; et al. Defective TiOx overlayers catalyze propane dehydrogenation promoted by base metals. Science 2024, 385, 295–300. [Google Scholar] [CrossRef]
- Ma, R.; Gao, J.; Kou, J.; Dean, D.P.; Breckner, C.J.; Liang, K.; Zhou, B.; Miller, J.T.; Zou, G. Insights into the Nature of Selective Nickel Sites on Ni/Al2O3 Catalysts for Propane Dehydrogenation. ACS Catal. 2022, 12, 12607–12616. [Google Scholar] [CrossRef]
- Serykh, A.I.; Agafonov, Y.A. On the nature of active sites in alumina-supported zinc propane dehydrogenation catalysts. Mol. Catal. 2020, 493, 111055. [Google Scholar] [CrossRef]
- Motagamwala, A.H.; Almallahi, R.; Wortman, J.; Igenegbai, V.O.; Linic, S. Stable and selective catalysts for propane dehydrogenation operating at thermodynamic limit. Science 2021, 373, 217–222. [Google Scholar] [CrossRef]
- Qu, Z.; Sun, Q. Advances in zeolite-supported metal catalysts for propane dehydrogenation. Inorg. Chem. Front. 2022, 9, 3095–3115. [Google Scholar] [CrossRef]
- Wang, Y.; Hu, Z.-P.; Tian, W.; Gao, L.; Wang, Z.; Yuan, Z.-Y. Framework-confined Sn in Si-beta stabilizing ultra-small Pt nanoclusters as direct propane dehydrogenation catalysts with high selectivity and stability. Catal. Sci. Technol. 2019, 9, 6993–7002. [Google Scholar] [CrossRef]
- Rochlitz, L.; Pessemesse, Q.; Fischer, J.W.A.; Klose, D.; Clark, A.H.; Plodinec, M.; Jeschke, G.; Payard, P.-A.; Copéret, C. A Robust and Efficient Propane Dehydrogenation Catalyst from Unexpectedly Segregated Pt2Mn Nanoparticles. J. Am. Chem. Soc. 2022, 144, 13384–13393. [Google Scholar] [CrossRef] [PubMed]
- Nakaya, Y.; Hirayama, J.; Yamazoe, S.; Shimizu, K.-I.; Furukawa, S. Single-atom Pt in intermetallics as an ultrastable and selective catalyst for propane dehydrogenation. Nat. Commun. 2020, 11, 2838. [Google Scholar] [CrossRef]
- Wang, P.; Yao, J.; Jiang, Q.; Gao, X.; Lin, D.; Yang, H.; Wu, L.; Tang, Y.; Tan, L. Stabilizing the isolated Pt sites on PtGa/Al2O3 catalyst via silica coating layers for propane dehydrogenation at low temperature. Appl. Catal. B Environ. 2022, 300, 120731. [Google Scholar] [CrossRef]
- Chen, S.; Zhao, Z.-J.; Mu, R.; Chang, X.; Luo, J.; Purdy, S.C.; Kropf, A.J.; Sun, G.; Pei, C.; Miller, J.T.; et al. Propane Dehydrogenation on Single-Site [PtZn4] Intermetallic Catalysts. Chem 2021, 7, 387–405. [Google Scholar] [CrossRef]
- Rochlitz, L.; Fischer, J.W.A.; Pessemesse, Q.; Clark, A.H.; Ashuiev, A.; Klose, D.; Payard, P.-A.; Jeschke, G.; Copéret, C. Ti-Doping in Silica-Supported PtZn Propane Dehydrogenation Catalysts: From Improved Stability to the Nature of the Pt–Ti Interaction. JACS Au 2023, 3, 1939–1951. [Google Scholar] [CrossRef] [PubMed]
- Liu, Y.; Bhowmick, A.; Liu, D.; Caratzoulas, S.; Vlachos, D.G. Propane Dehydrogenation on PtxZny Active Sites in Silicalite-1. Angew. Chem. Int. 2024, e202414578. [Google Scholar] [CrossRef]
- Ingale, P.; Knemeyer, K.; Preikschas, P.; Ye, M.; Geske, M.; D’Alnoncourt, R.N.; Thomas, A.; Rosowski, F. Design of PtZn nanoalloy catalysts for propane dehydrogenation through interface tailoring via atomic layer deposition. Catal. Sci. Technol. 2020, 11, 484–493. [Google Scholar] [CrossRef]
- Zhao, D.; Tian, X.; Doronkin, D.E.; Han, S.; Kondratenko, V.A.; Grunwaldt, J.-D.; Perechodjuk, A.; Vuong, T.H.; Rabeah, J.; Eckelt, R.; et al. In situ formation of ZnOx species for efficient propane dehydrogenation. Nature 2021, 599, 234–238. [Google Scholar] [CrossRef] [PubMed]
- Cesar, L.G.; Yang, C.; Lu, Z.; Ren, Y.; Zhang, G.; Miller, J.T. Identification of a Pt3Co Surface Intermetallic Alloy in Pt–Co Propane Dehydrogenation Catalysts. ACS Catal. 2019, 9, 5231–5244. [Google Scholar] [CrossRef]
- Purdy, S.C.; Ghanekar, P.; Mitchell, G.M.; Kropf, A.J.; Zemlyanov, D.Y.; Ren, Y.; Ribeiro, F.H.; Delgass, W.N.; Greeley, J.P.; Miller, J.T. Origin of Electronic Modification of Platinum in a Pt3V Alloy and Its Consequences for Propane Dehydrogenation Catalysis. ACS Appl. Energy Mater. 2020, 3, 1410–1422. [Google Scholar] [CrossRef]
- Jiao, D.; Liu, Y.; Cai, Q.; Zhao, J. Coordination tunes the activity and selectivity of the nitrogen reduction reaction on single-atom iron catalysts: A computational study. J. Mater. Chem. A 2021, 9, 1240–1251. [Google Scholar] [CrossRef]
- Chai, Y.; Chen, S.; Chen, Y.; Wei, F.; Cao, L.; Lin, J.; Li, L.; Liu, X.; Lin, S.; Wang, X.; et al. Dual-Atom Catalyst with N-Colligated Zn1Co1 Species as Dominant Active Sites for Propane Dehydrogenation. J. Am. Chem. Soc. 2024, 146, 263–273. [Google Scholar] [CrossRef]
- Jowkary, H.; Farsi, M.; Rahimpour, M. Supporting the propane dehydrogenation reactors by hydrogen permselective membrane modules to produce ultra-pure hydrogen and increasing propane conversion: Process modeling and optimization. Int. J. Hydrogen Energy 2020, 45, 7364–7373. [Google Scholar] [CrossRef]
- Palo, E.; Salladini, A.; Morico, B.; Palma, V.; Ricca, A.; Iaquaniello, G. Application of Pd-Based Membrane Reactors: An Industrial Perspective. Membranes 2018, 8, 101. [Google Scholar] [CrossRef] [PubMed]
- Saidi, M.; Safaripour, M. Pure Hydrogen and Propylene Coproduction in Catalytic Membrane Reactor-Assisted Propane Dehydrogenation. Chem. Eng. Technol. 2020, 43, 1402–1415. [Google Scholar] [CrossRef]
- Dangwal, S.; Ronte, A.; Mahmodi, G.; Zarrintaj, P.; Lee, J.S.; Saeb, M.R.; Gappa-Fahlenkamp, H.; Kim, S.-J. Propane Dehydrogenation Reaction in a High-Pressure Zeolite Membrane Reactor. Energy Fuels 2021, 35, 19362–19373. [Google Scholar] [CrossRef]
- Ricca, A.; Truda, L.; Iaquaniello, G.; Palo, E.; Palma, V. Pd-membrane Integration in a Propane Dehydrogenation Process for Highly Selective Propylene Production. Int. J. Membr. Sci. Technol. 2018, 5, 1–15. [Google Scholar] [CrossRef]
- Pati, S.; Ashok, J.; Dewangan, N.; Chen, T.; Kawi, S. Ultra-thin (~1 μm) Pd–Cu membrane reactor for coupling CO2 hydrogenation and propane dehydrogenation applications. J. Membr. Sci. 2020, 595, 117496. [Google Scholar] [CrossRef]
- Gan, Z.; Dewangan, N.; Wang, Z.; Liu, S.; Tan, X.; Kawi, S. Highly efficient and stable hydrogen permeable membrane reactor for propane dehydrogenation. J. Membr. Sci. 2024, 701, 122724. [Google Scholar] [CrossRef]
- Wang, Z.; Xu, J.; Pati, S.; Chen, T.; Deng, Y.; Dewangan, N.; Meng, L.; Lin, J.Y.; Kawi, S. High H2 permeable SAPO-34 hollow fiber membrane for high temperature propane dehydrogenation application. AIChE J. 2020, 66, e16278. [Google Scholar] [CrossRef]
- Pati, S.; Dewangan, N.; Wang, Z.; Jangam, A.; Kawi, S. Nanoporous Zeolite-A Sheltered Pd-Hollow Fiber Catalytic Membrane Reactor for Propane Dehydrogenation. ACS Appl. Nano Mater. 2020, 3, 6675–6683. [Google Scholar] [CrossRef]
- Wang, Z.; Bian, Z.; Dewangan, N.; Xu, J.; Kawi, S. High-performance catalytic perovskite hollow fiber membrane reactor for oxidative propane dehydrogenation. J. Membr. Sci. 2019, 578, 36–42. [Google Scholar] [CrossRef]
- Brencio, C.; Fontein, F.; Medrano, J.; Di Felice, L.; Arratibel, A.; Gallucci, F. Pd-based membranes performance under hydrocarbon exposure for propane dehydrogenation processes: Experimental and modeling. Int. J. Hydrogen Energy 2022, 47, 11369–11384. [Google Scholar] [CrossRef]
- Brencio, C.; Gough, R.; Bouter, A.d.L.D.; Arratibel, A.; Di Felice, L.; Gallucci, F. Kinetic model for Pd-based membranes coking/deactivation in propane dehydrogenation processes. Chem. Eng. J. 2022, 452, 139125. [Google Scholar] [CrossRef]
- Almallahi, R.; Wortman, J.; Linic, S. Overcoming limitations in propane dehydrogenation by codesigning catalyst-membrane systems. Science 2024, 383, 1325–1331. [Google Scholar] [CrossRef] [PubMed]
- Kim, M.; Yoo, S.; Kwon, O.; Choi, E.; Choi, W.; Ji, H.; Won, J.C.; Kim, Y.H.; Kim, D.W. ZIF-8 nanoplate/6FDA-DAM membrane for hydrogen extraction from propane dehydrogenation process. J. Membr. Sci. 2023, 685, 121952. [Google Scholar] [CrossRef]
- Du, Y.; Zhang, L.; Berrouk, A.S. Exergy analysis of propane dehydrogenation in a fluidized bed reactor: Experiment and MP-PIC simulation. Energy Convers. Manag. 2019, 202, 112213. [Google Scholar] [CrossRef]
- Du, Y.; Berrouk, A.S.; Sun, L.; Sun, W.; Fang, D.; Ren, W. Experimental and Computational Fluid Dynamics Investigations of Light Alkane Dehydrogenation in a Fluidized Bed Reactor. Energy Fuels 2019, 33, 4177–4189. [Google Scholar] [CrossRef]
- Ruocco, C.; Cortese, M.; Martino, M.; Palma, V. Fuel grade bioethanol reforming in a fluidized bed reactor over highly durable Pt-Ni/CeO2-SiO2 catalysts. Chem. Eng. Process. Process. Intensif. 2022, 174, 108888. [Google Scholar] [CrossRef]
- Song, C.; Park, H.; Choi, W.C.; Park, Y.K.; Park, D.S. Initial catalytic behavior of chromium oxide during induction period of fluidized dehydrogenation of propane. Chem. Eng. J. 2022, 440, 135860. [Google Scholar] [CrossRef]
- Song, C.; Wang, J.; Wang, S.; Wen, J. Experimental and Theoretical Study of the Impact of Operating Conditions on Catalytic Propane Dehydrogenation in a Fluidized Bed Reactor. Ind. Eng. Chem. Res. 2022, 61, 12434–12447. [Google Scholar] [CrossRef]
- Khraibet, S.A.; Mazloom, G.; Banisharif, F. Comparative Study of Different Two-Phase Models for the Propane Oxidative Dehydrogenation in a Bubbling Fluidized Bed Containing the VOx/γ-Al2O3 Catalyst. Ind. Eng. Chem. Res. 2021, 60, 9729–9738. [Google Scholar] [CrossRef]
- Balogun, M.L.; Gambo, Y.; Adamu, S.; Ba-Shammakh, M.S.; Hossain, M.M. Kinetic modeling of oxidative dehydrogenation of propane with CO2 over MoOx/La2O3–Al2O3 in a fluidized bed. AIChE J. 2023, 69, e17903. [Google Scholar] [CrossRef]
- Balogun, M.L.; Adamu, S.; Bakare, I.A.; Ba-Shammakh, M.S.; Hossain, M.M. CO2 Assisted Oxidative Dehydrogenation of Propane to Propylene over Fluidizable MoO3/La2O3-γAl2O3 Catalysts. J. CO2 Util. 2020, 42, 101329. [Google Scholar] [CrossRef]
- Brencio, C.; Di Felice, L.; Gallucci, F. Fluidized Bed Membrane Reactor for the Direct Dehydrogenation of Propane: Proof of Concept. Membranes 2022, 12, 1211. [Google Scholar] [CrossRef] [PubMed]
- Muley, P.D.; Wang, Y.; Hu, J.; Shekhawat, D. Microwave-assisted heterogeneous catalysis. Catalysis 2021, 33, 1–37. [Google Scholar] [CrossRef]
- Goyal, H.; Chen, T.-Y.; Chen, W.; Vlachos, D.G. A review of microwave-assisted process intensified multiphase reactors. Chem. Eng. J. 2021, 430, 133183. [Google Scholar] [CrossRef]
- Amini, A.; Latifi, M.; Chaouki, J. Electrification of materials processing via microwave irradiation: A review of mechanism and applications. Appl. Therm. Eng. 2021, 193, 117003. [Google Scholar] [CrossRef]
- Chen, W.; Malhotra, A.; Yu, K.; Zheng, W.; Plaza-Gonzalez, P.J.; Catala-Civera, J.M.; Santamaria, J.; Vlachos, D.G. Intensified microwave-assisted heterogeneous catalytic reactors for sustainable chemical manufacturing. Chem. Eng. J. 2021, 420, 130476. [Google Scholar] [CrossRef]
- Koyuncu, D.D.E. Microwave-assisted non-oxidative ethane dehydrogenation over different carbon materials. Diam. Relat. Mater. 2020, 110, 108130. [Google Scholar] [CrossRef]
- Julian, I.; Pedersen, C.M.; Achkasov, K.; Hueso, J.L.; Hellstern, H.L.; Silva, H.; Mallada, R.; Davis, Z.J.; Santamaria, J. Overcoming Stability Problems in Microwave-Assisted Heterogeneous Catalytic Processes Affected by Catalyst Coking. Catalysts 2019, 9, 867. [Google Scholar] [CrossRef]
- Ramirez, A.; Hueso, J.L.; Mallada, R.; Santamaria, J. Microwave-activated structured reactors to maximize propylene selectivity in the oxidative dehydrogenation of propane. Chem. Eng. J. 2020, 393, 124746. [Google Scholar] [CrossRef]
- Ma, Z.; Xu, W.; Wang, Q.; Zhou, Q.; Zhou, J. Highly effective microwave catalytic oxidative dehydrogenation of propane by CO2 over V-La-doped dendritic mesoporous silica-based microwave catalysts. Chem. Eng. J. 2022, 435, 135081. [Google Scholar] [CrossRef]
- Wang, Q.; Xu, W.; Ma, Z.; Yu, F.; Chen, Y.; Liao, H.; Wang, X.; Zhou, J. Highly Effective Direct Dehydrogenation of Propane to Propylene by Microwave Catalysis at Low Temperature over Co−Sn/NC Microwave Catalyst. ChemCatChem 2021, 13, 1009–1022. [Google Scholar] [CrossRef]
- Kwak, Y.; Wang, C.; Kavale, C.A.; Yu, K.; Selvam, E.; Mallada, R.; Santamaria, J.; Julian, I.; Catala-Civera, J.M.; Goyal, H.; et al. Microwave-assisted, performance-advantaged electrification of propane dehydrogenation. Sci. Adv. 2023, 9, eadi8219. [Google Scholar] [CrossRef]
- Ma, Z.; Zhou, Q.; Liu, X.; Zhou, J.; Xu, W. Acid-leaching treated ZnO-based materials as highly efficient microwave catalysts for oxidative dehydrogenation of propane by CO2. Chem. Eng. J. 2024, 490, 151752. [Google Scholar] [CrossRef]
- Nie, F.; Liu, X.; Sun, H.; Tang, L.; Zhou, J.; Xu, W. Suppressed Active Site Loss by Y-Doped ZnO/Silicalite-1 for Superior CO2 Oxidative Propane Dehydrogenation Performance by Microwave Catalysis. Ind. Eng. Chem. Res. 2024, 63, 15023–15037. [Google Scholar] [CrossRef]
- Nie, F.; Sun, H.; Li, T.; You, Z.; Zhou, J.; Xu, W. Cobalt-promoted Zn encapsulation within silicalite-1 for oxidative propane dehydrogenation with CO2 by microwave catalysis at low temperature. Inorg. Chem. Front. 2024, 11, 6350–6366. [Google Scholar] [CrossRef]
- Nie, F.; Sun, H.; Liu, X.; Zhou, J.; Xu, W. Enhanced microwave-catalytic performance for CO2 oxidative propane dehydrogenation by acidified and Bi-doped ZnO-based microwave catalysts. J. Environ. Chem. Eng. 2024, 12, 114291. [Google Scholar] [CrossRef]
- Nie, F.; Liu, X.; Sun, H.; Zhou, J.; Xu, W. Microwave catalytic oxidative dehydrogenation of propane by CO2 over ZnK/Silicalite-1 catalysts by acid treatment. Appl. Catal. B Environ. 2024, 357, 124332. [Google Scholar] [CrossRef]
- Goyal, H. Process intensification using microwave heated multiphase reactors. Chem. Eng. Process Process. Intensif. 2022, 178, 109026. [Google Scholar] [CrossRef]
- Muccioli, O.; Meloni, E.; Renda, S.; Martino, M.; Brandani, F.; Pullumbi, P.; Palma, V. NiCoAl-Based Monolithic Catalysts for the N2O Intensified Decomposition: A New Path towards the Microwave-Assisted Catalysis. Processes 2023, 11, 1511. [Google Scholar] [CrossRef]
Disclaimer/Publisher’s Note: The statements, opinions and data contained in all publications are solely those of the individual author(s) and contributor(s) and not of MDPI and/or the editor(s). MDPI and/or the editor(s) disclaim responsibility for any injury to people or property resulting from any ideas, methods, instructions or products referred to in the content. |
© 2024 by the authors. Licensee MDPI, Basel, Switzerland. This article is an open access article distributed under the terms and conditions of the Creative Commons Attribution (CC BY) license (https://creativecommons.org/licenses/by/4.0/).











