WS2-Assisted Electrochemical Activation of Peroxymonosulfate for Eliminating Organic Pollutant in Water
Abstract
1. Introduction
2. Results and Discussion
2.1. Characterizations
2.2. Decolorization of AO7 Under Different Systems
2.3. Influence of Operational Factors
2.3.1. Effect of WS2 Dosage
2.3.2. Effect of PMS Concentration
2.3.3. Effect of Current Density
2.3.4. Effect of Initial pH
2.4. Effect of Coexisting Substances and Application in Real Water
2.5. Mechanistic Investigation
2.6. Stability of WS2
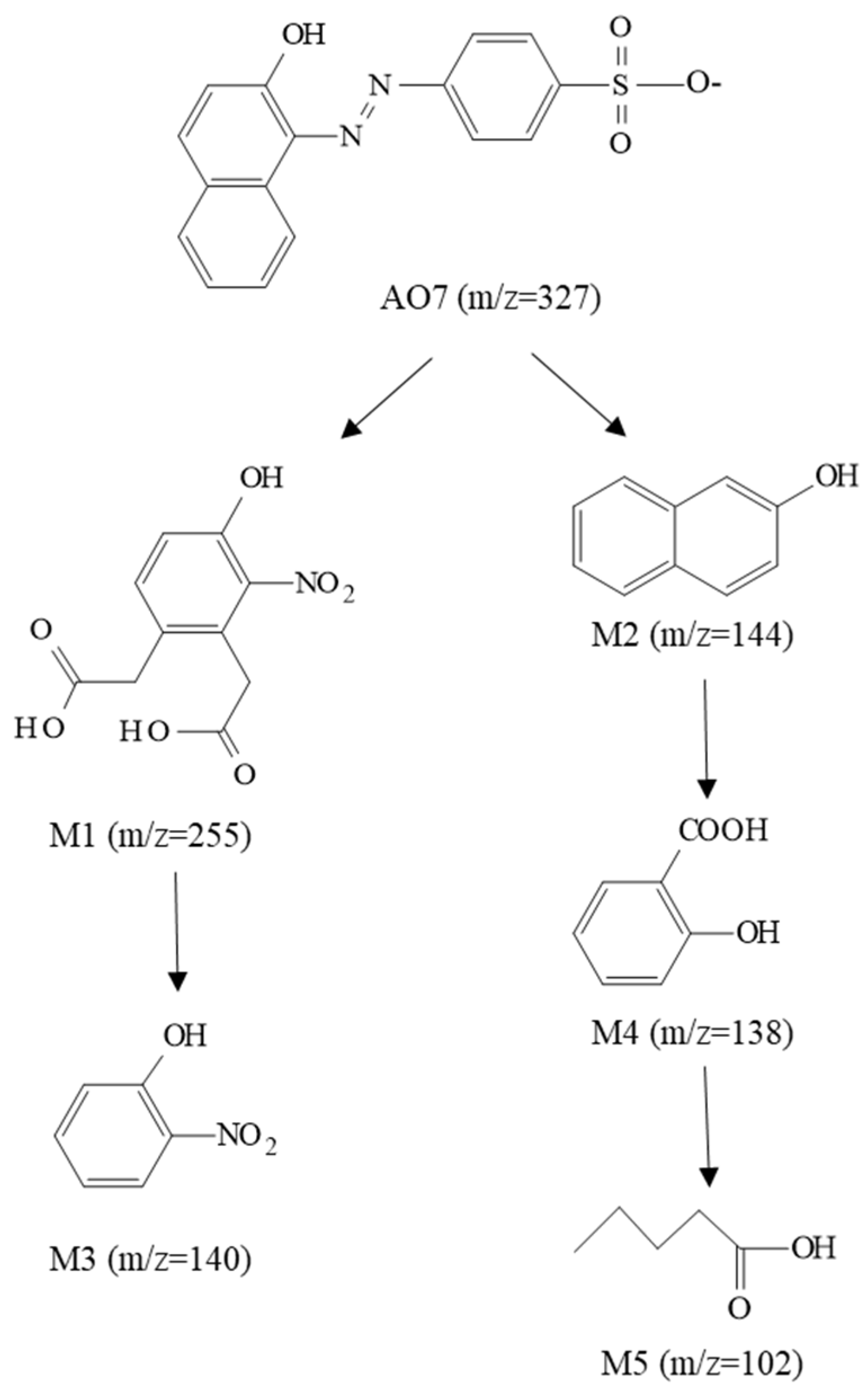
2.7. Degradation Pathway and Product Toxicity Prediction
3. Materials and Methods
3.1. Chemicals
3.2. Experiments
3.3. Characterization
4. Conclusions
Author Contributions
Funding
Data Availability Statement
Acknowledgments
Conflicts of Interest
References
- Chen, Y.D.; Shao, Y.; Li, O.Y.; Liang, J.M.; Tang, S.Q.; Li, Z.S. WS2-cocatalyzed peroxymonosulfate activation via an enhanced Fe(III)/Fe(II) cycle toward efficient organic pollutant degradation. Chem. Eng. J. 2022, 442, 13. [Google Scholar] [CrossRef]
- Zhao, Z.F.; Lin, L.; Liu, S.S.; Chen, Y.Q.; Daniels, S.V.; Xu, Z.J.; Chen, Z.H.; Li, H.T.; Wu, Y.Q.; Guo, L.L.; et al. Unveiling the versatile performance of transition metal sulfides in peroxymonosulfate activation. Chem. Eng. J. 2024, 497, 12. [Google Scholar] [CrossRef]
- Tian, L.; Qiao, H.; Huang, Z.Y.; Qi, X. Li-Ion Intercalated Exfoliated WS2 Nanosheets with Enhanced Electrocatalytic Hydrogen Evolution Performance. Cryst. Res. Technol. 2021, 56, 6. [Google Scholar] [CrossRef]
- Meng, L.; Zhang, Y.H.; Hu, S.; Wang, X.F.; Liu, C.S.; Guo, Y.D.; Wang, X.R.; Yan, X.H. Two dimensional WS2 lateral heterojunctions by strain modulation. Appl. Phys. Lett. 2016, 108, 4. [Google Scholar] [CrossRef]
- Sun, Y.F.; Darling, A.J.; Li, Y.W.; Fujisawa, K.; Holder, C.F.; Liu, H.; Janik, M.J.; Terrones, M.; Schaak, R.E. Defect-mediated selective hydrogenation of nitroarenes on nanostructured WS2. Chem. Sci. 2019, 10, 10310–10317. [Google Scholar] [CrossRef]
- Chen, Z.; He, S.X.; Zhu, M.S.; Wei, C.H. The effect of peroxymonosulfate in WS2 nanosheets for the removal of diclofenac: Information exposure and degradation pathway. Chemosphere 2020, 245, 9. [Google Scholar] [CrossRef]
- Gou, G.; Kang, S.R.; Zhao, H.L.; Liu, C.; Li, N.W.; Lai, B.; Li, J. Efficient peroxymonosulfate activation through a simple physical mixture of FeS2 and WS2 for carbamazepine degradation. Sep. Purif. Technol. 2022, 290, 11. [Google Scholar] [CrossRef]
- Luo, H.P.; Zhou, X.; Guo, X.J.; Fang, Z.Y.; Chen, Q.Y.; Zhou, J. WS2 as highly active co-catalyst for the regeneration of Fe(II) in the advanced oxidation processes. Chemosphere 2021, 262, 10. [Google Scholar] [CrossRef]
- Fu, J.Y.; Feng, L.; Liu, Y.Z.; Zhang, L.Q.; Li, S. Electrochemical activation of peroxymonosulfate (PMS) by carbon cloth anode for sulfamethoxazole degradation. Chemosphere 2022, 287, 11. [Google Scholar] [CrossRef]
- Zhang, Q.Y.; Sun, X.Q.; Dang, Y.; Zhu, J.J.; Zhao, Y.; Xu, X.X.; Zhou, Y.Z. A novel electrochemically enhanced homogeneous PMS-heterogeneous CoFe2O4 synergistic catalysis for the efficient removal of levofloxacin. J. Hazard. Mater. 2022, 424, 12. [Google Scholar] [CrossRef]
- Hou, Y.; Sun, X.Q.; Dang, Y.; Yu, S.; Chen, S.L.; Tang, J.L.; Zhang, L.; Zhou, Y.Z. Electrochemical Acceleration of Redox Reaction Cycles on the Surface of Fe2O3-MnO2 Cathode to Activate the Peroxymonosulfate for the Efficient Removal of Levofloxacin. J. Electrochem. Soc. 2022, 169, 11. [Google Scholar] [CrossRef]
- Balapure, K.; Bhatt, N.; Madamwar, D. Mineralization of reactive azo dyes present in simulated textile waste water using down flow microaerophilic fixed film bioreactor. Bioresour. Technol. 2015, 175, 1–7. [Google Scholar] [CrossRef] [PubMed]
- Rawat, D.; Mishra, V.; Sharma, R.S. Detoxification of azo dyes in the context of environmental processes. Chemosphere 2016, 155, 591–605. [Google Scholar] [CrossRef] [PubMed]
- Xu, Y.; Lin, H.; Li, Y.K.; Zhang, H. The mechanism and efficiency of MnO2 activated persulfate process coupled with electrolysis. Sci. Total Environ. 2017, 609, 644–654. [Google Scholar] [CrossRef]
- Wu, J.; Zhang, H.; Qiu, J.J. Degradation of Acid Orange 7 in aqueous solution by a novel electro/Fe2+/peroxydisulfate process. J. Hazard. Mater. 2012, 215, 138–145. [Google Scholar] [CrossRef]
- Lin, H.; Zhang, H.; Hou, L.W. Degradation of C. I. Acid Orange 7 in aqueous solution by a novel electro/Fe3O4/PDS process. J. Hazard. Mater. 2014, 276, 182–191. [Google Scholar] [CrossRef] [PubMed]
- Li, J.; Lin, H.; Zhu, K.M.; Zhang, H. Degradation of Acid Orange 7 using peroxymonosulfate catalyzed by granulated activated carbon and enhanced by electrolysis. Chemosphere 2017, 188, 139–147. [Google Scholar] [CrossRef] [PubMed]
- Miao, F.; Liu, Z.H.; Kang, X.; Cheng, C.; Mao, X.Y.; Li, R.M.; Lin, H.; Zhang, H. Electro-enhanced heterogeneous activation of peroxymonosulfate via acceleration of Fe(III)/Fe(II) redox cycle on Fe-B catalyst. Electrochim. Acta 2021, 377, 11. [Google Scholar] [CrossRef]
- Yan, S.D.; Xiong, W.H.; Xing, S.Y.; Shao, Y.Q.; Guo, R.; Zhang, H. Oxidation of organic contaminant in a self-driven electro/natural maghemite/peroxydisulfate system: Efficiency and mechanism. Sci. Total Environ. 2017, 599, 1181–1190. [Google Scholar] [CrossRef]
- How, Z.T.; Blackwood, D.J. Degradation of Acid Orange 7 through radical activation by electro-generated cuprous ions. J. Environ. Chem. Eng. 2019, 7, 8. [Google Scholar] [CrossRef]
- Chen, L.; Wang, C.; He, W.J.; Li, H.B.; Ye, Z.H.; Xu, Y. Enhanced catalytic activities of natural iron ore in peroxymonosulfate activation assisted by WS2 for rapid degradation of pollutants. Sep. Purif. Technol. 2024, 328, 12. [Google Scholar] [CrossRef]
- Yao, Y.W.; Teng, G.G.; Yang, Y.; Huang, C.J.; Liu, B.C.; Guo, L. Electrochemical oxidation of acetamiprid using Yb-doped PbO2 electrodes: Electrode characterization, influencing factors and degradation pathways. Sep. Purif. Technol. 2019, 211, 456–466. [Google Scholar] [CrossRef]
- Peng, Y.T.; Tang, H.M.; Yao, B.; Gao, X.; Yang, X.; Zhou, Y.Y. Activation of peroxymonosulfate (PMS) by spinel ferrite and their composites in degradation of organic pollutants: A Review. Chem. Eng. J. 2021, 414, 19. [Google Scholar] [CrossRef]
- Song, H.R.; Yan, L.X.; Jiang, J.; Ma, J.; Zhang, Z.X.; Zhang, J.M.; Liu, P.X.; Yang, T. Electrochemical activation of persulfates at BDD anode: Radical or nonradical oxidation? Water Res. 2018, 128, 393–401. [Google Scholar] [CrossRef]
- Bu, L.J.; Ding, J.; Zhu, N.Y.; Kong, M.H.; Wu, Y.T.; Shi, Z.; Zhou, S.Q.; Dionysiou, D.D. Unraveling different mechanisms of persulfate activation by graphite felt anode and cathode to destruct contaminants of emerging concern. Appl. Catal. B Environ. 2019, 253, 140–148. [Google Scholar] [CrossRef]
- Zhao, G.Q.; Zou, J.; Chen, X.Q.; Liu, L.K.; Wang, Y.K.; Zhou, S.; Long, X.Q.; Yu, J.G.; Jiao, F.P. Iron-based catalysts for persulfate-based advanced oxidation process: Microstructure, property and tailoring. Chem. Eng. J. 2021, 421, 46. [Google Scholar] [CrossRef]
- Huang, R.F.; Zhu, Y.M.; Curnan, M.T.; Zhang, Y.Q.; Han, J.W.; Chen, Y.; Huang, S.B.; Lin, Z. Tuning reaction pathways of peroxymonosulfate-based advanced oxidation process via defect engineering. Cell Rep. Phys. Sci. 2021, 2, 18. [Google Scholar] [CrossRef]
- Lee, J.; von Gunten, U.; Kim, J.H. Persulfate-Based Advanced Oxidation: Critical Assessment of Opportunities and Roadblocks. Environ. Sci. Technol. 2020, 54, 3064–3081. [Google Scholar] [CrossRef]
- Wang, S.Z.; Liu, Y.; Wang, J.L. Peroxymonosulfate Activation by Fe-Co-O-Codoped Graphite Carbon Nitride for Degradation of Sulfamethoxazole. Environ. Sci. Technol. 2020, 54, 10361–10369. [Google Scholar] [CrossRef]
- Luo, M.F.; Zhang, H.; Shi, Y.; Zhao, J.; Feng, C.; Yin, J.L.; Liu, Y.; Zhou, P.; Xiong, Z.K.; Lai, B. Electrochemical activation of periodate with graphite electrodes for water decontamination: Excellent applicability and selective oxidation mechanism. Water Res. 2023, 240, 10. [Google Scholar] [CrossRef]
- Xiao, Y.F.; Ji, J.H.; Zhu, L.L.; Bao, Y.; Liu, X.Y.; Zhang, J.L.; Xing, M.Y. Regeneration of zero-valent iron powder by the cocatalytic effect of WS2 in the environmental applications. Chem. Eng. J. 2020, 383, 8. [Google Scholar] [CrossRef]
- Fantauzzi, M.; Elsener, B.; Atzei, D.; Rigoldi, A.; Rossi, A. Exploiting XPS for the identification of sulfides and polysulfides. RSC Adv. 2015, 5, 75953–75963. [Google Scholar] [CrossRef]
- Shen, J.H.; Horng, J.J.; Wang, Y.S.; Zeng, Y.R. The use of reactive index of hydroxyl radicals to investigate the degradation of acid orange 7 by Fenton process. Chemosphere 2017, 182, 364–372. [Google Scholar] [CrossRef]
- Chen, L.; Ji, H.D.; Qi, J.J.; Huang, T.B.; Wang, C.C.; Liu, W. Degradation of acetaminophen by activated peroxymonosulfate using Co(OH)2 hollow microsphere supported titanate nanotubes: Insights into sulfate radical production pathway through CoOH+ activation. Chem. Eng. J. 2021, 406, 15. [Google Scholar] [CrossRef]
- Du, Y.F.; Dai, M.; Cao, J.F.; Peng, C.S.; Ali, I.; Naz, I.; Li, J.Y. Efficient removal of acid orange 7 using a porous adsorbent-supported zero-valent iron as a synergistic catalyst in advanced oxidation process. Chemosphere 2020, 244, 10. [Google Scholar] [CrossRef]
- Stirling, R.; Walker, W.S.; Westerhoff, P.; Garcia-Segura, S. Techno-economic analysis to identify key innovations required for electrochemical oxidation as point-of-use treatment systems. Electrochim. Acta 2020, 338, 9. [Google Scholar] [CrossRef]












| System | Pollutants | Reaction Conditions | Degradation Efficiency (%) | Ref. |
|---|---|---|---|---|
| Electro/PDS/MnO2 | Acid Orange 7 (0.14 mmol/L) | [MnO2] = 0.6 g/L, [PDS] = 4.2 mmol/L, j = 12 mA/cm2, reaction time 30 min | 98.1 | [14] |
| Electro/Fe2+/S2O82− | Acid Orange 7 (0.1 mmol/L) | [Na2SO4] = 0.1 mol/L, [S2O82−] = 12 mmol/L, j = 16.8 mA/cm2, reaction time 30 min | 85.1 | [15] |
| Electro/Fe3O4/PDS | Acid Orange 7 (25 mg/L) | [PDS] = 10 mmol/L, [Fe3O4] = 0.8 g/L, j = 8.4 mA/cm2, [Na2SO4] = 50 mmol/L, reaction time 30 min | 79.6 | [16] |
| Electro/GAC/PMS | Acid Orange 7 (100 mg/L) | [PMS] = 10 mmol/L, [GAC] = 0.5 g/L, j = 16 mA/cm2, [Na2SO4] = 50 mmol/L, reaction time 30 min | 75.8 | [17] |
| Electro/Fe-B/PMS | Acid Orange 7 (50 mg/L) | [PMS] = 10 mmol/L, [Fe-B] = 0.5 g/L, j = 2 mA/cm2, [Na2SO4] = 50 mmol/L, reaction time 30 min | 73.6 | [18] |
| Electro/NM/PS | Acid Orange 7 (50 µmol/L) | [NM] = 0.5 g/L, [PDS] = 10 mmol/L, j = 100 mA/cm2, [Na2SO4] = 50 mmol/L, reaction time 30 min | ~58 | [19] |
| Electro/Cu2+/PDS | Acid Orange 7 (0.1 mmol/L) | [PDS] = 4 mmol/L, j = 0.5 mA/cm2, reaction time 30 min | ~54 | [20] |
| Electro/WS2/PMS | Acid Orange 7 (10 mg/L) | [PMS] = 1 mmol/L, [WS2] = 1 g/L, j = 1 mA/cm2, [Na2SO4] = 50 mmol/L, reaction time 30 min | 95.8 | This study |
| Number | Compound | Molecular Formula | m/z | Molecule Structure |
|---|---|---|---|---|
| M1 | (2-ethyl-4-hydroxy-3-nitrophenyl) acetic acid | C10H9NO7 | 255 | ![]() |
| M2 | β-Naphtalenol | C10H8O | 144 | ![]() |
| M3 | 2-nitrophenol | C6H5NO3 (H+) | 140 | ![]() |
| M4 | Salycilic acid | C7H6O3 | 138 | ![]() |
| M5 | Pentanoic acid | C5H10O2 | 102 | ![]() |
Disclaimer/Publisher’s Note: The statements, opinions and data contained in all publications are solely those of the individual author(s) and contributor(s) and not of MDPI and/or the editor(s). MDPI and/or the editor(s) disclaim responsibility for any injury to people or property resulting from any ideas, methods, instructions or products referred to in the content. |
© 2024 by the authors. Licensee MDPI, Basel, Switzerland. This article is an open access article distributed under the terms and conditions of the Creative Commons Attribution (CC BY) license (https://creativecommons.org/licenses/by/4.0/).
Share and Cite
Du, W.; Xia, X.; Li, Z.; Liu, F.; Xu, Y. WS2-Assisted Electrochemical Activation of Peroxymonosulfate for Eliminating Organic Pollutant in Water. Catalysts 2024, 14, 763. https://doi.org/10.3390/catal14110763
Du W, Xia X, Li Z, Liu F, Xu Y. WS2-Assisted Electrochemical Activation of Peroxymonosulfate for Eliminating Organic Pollutant in Water. Catalysts. 2024; 14(11):763. https://doi.org/10.3390/catal14110763
Chicago/Turabian StyleDu, Wenxuan, Xiren Xia, Zhen Li, Fuzhen Liu, and Yin Xu. 2024. "WS2-Assisted Electrochemical Activation of Peroxymonosulfate for Eliminating Organic Pollutant in Water" Catalysts 14, no. 11: 763. https://doi.org/10.3390/catal14110763
APA StyleDu, W., Xia, X., Li, Z., Liu, F., & Xu, Y. (2024). WS2-Assisted Electrochemical Activation of Peroxymonosulfate for Eliminating Organic Pollutant in Water. Catalysts, 14(11), 763. https://doi.org/10.3390/catal14110763





