Oxidation of Geraniol on Vermiculite—The Influence of Selected Parameters on the Oxidation Process
Abstract
1. Introduction
2. Results
2.1. Instrumental Studies of Vermiculite
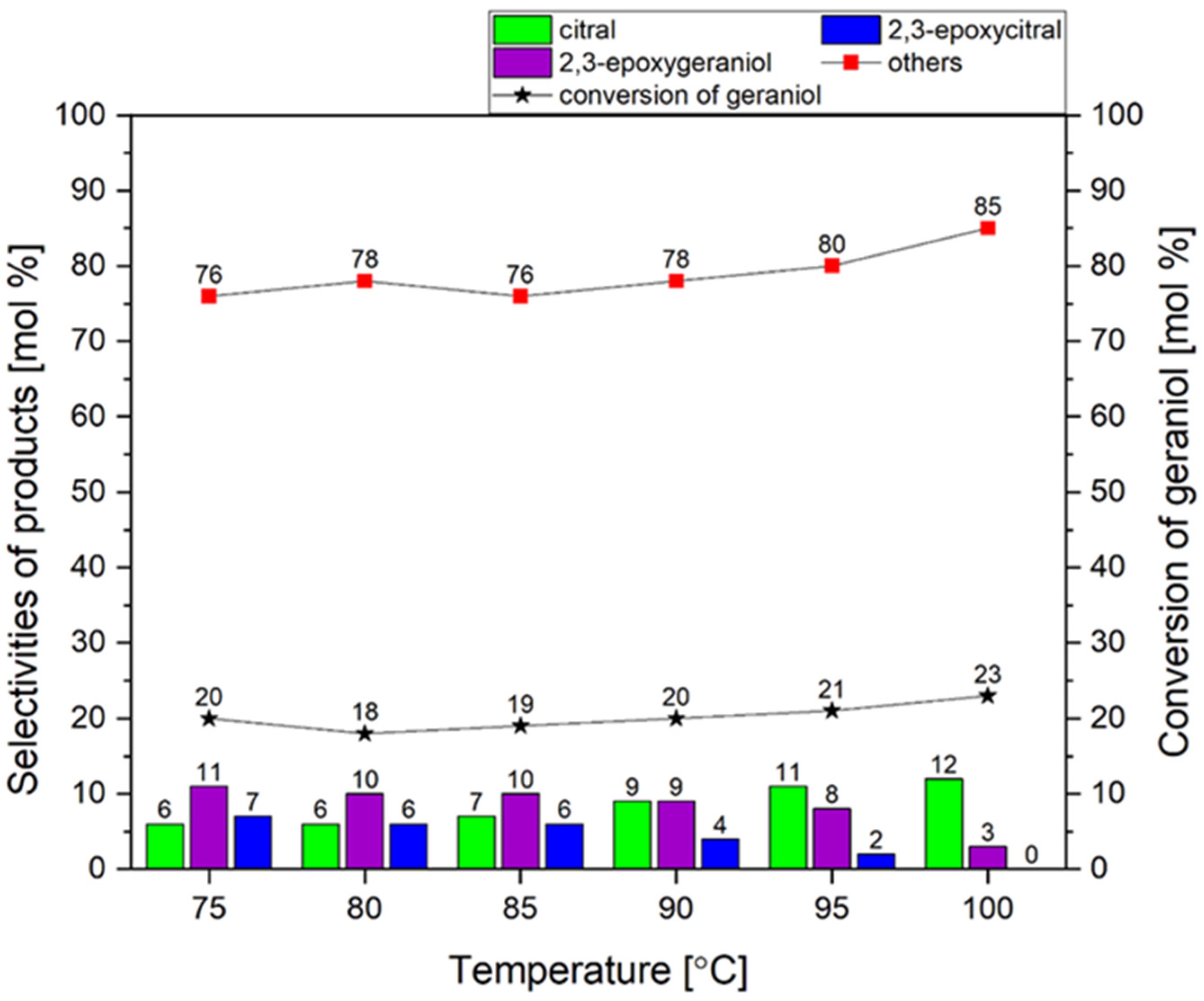
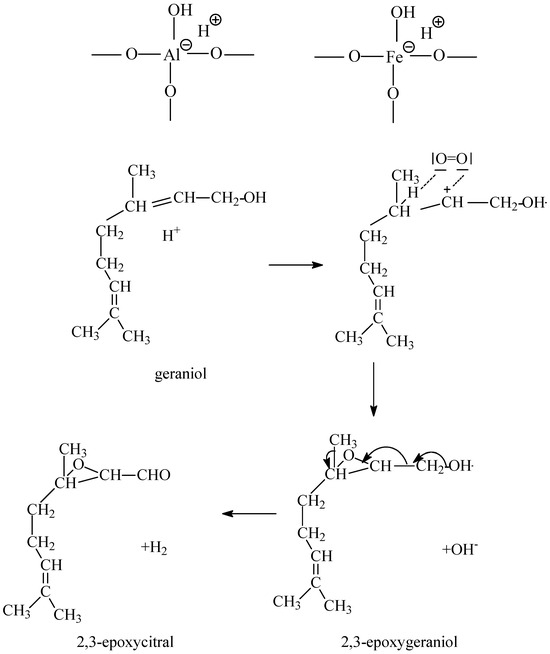
2.2. Vermiculite Catalytic Tests
3. Materials and Methods
3.1. Vermiculite Materials Used in Catalytic Tests
3.2. Characteristics of Vermiculite with Instrumental Methods
3.3. Oxidation of Geraniol over Vermiculite
3.4. Identification of the Products of Transformation of Geraniol by the Gas Chromatography Method
4. Conclusions
Author Contributions
Funding
Institutional Review Board Statement
Informed Consent Statement
Data Availability Statement
Conflicts of Interest
References
- Baker, B.P.; Grant, J.A. Geraniol Profile; New York State IPM Program: Geneva, NY, USA, 2018; pp. 1–13. [Google Scholar]
- Mączka, W.; Wińska, K.; Grabarczyk, M. One Hundred Faces of Geraniol. Molecules 2020, 25, 3303. [Google Scholar] [CrossRef] [PubMed]
- Asgarian, Z.S.; Palou, L.; Lima de Souza, R.F.; Quintanilla, P.G.; Taberner, V.; Karimi, R.; Pérez-Gago, M.B. Hydroxypropyl Methylcellulose and Gum Arabic Composite Edible Coatings Amended with Geraniol to Control Postharvest Brown Rot and Maintain Quality of Cold-Stored Plums. Foods 2023, 12, 2978. [Google Scholar] [CrossRef] [PubMed]
- Fajdek-Bieda, A.; Wróblewska, A.; Miądlicki, P.; Szymańska, A.; Dzięcioł, M.; Booth, A.M.; Michalkiewicz, B. Influence of Technological Parameters on the Isomerization of Geraniol Using Sepiolite. Catal. Lett. 2020, 150, 901–911. [Google Scholar] [CrossRef]
- Chen, W.; Viljoen, A.M. Geraniol—A review of a commercially important fragrance material. S. Afr. J. Bot. 2010, 76, 643–651. [Google Scholar] [CrossRef]
- Lin, L.; Long, N.; Qiu, M.; Liu, Y.; Sun, F.; Dai, M. The Inhibitory Efficiencies of Geraniol as an Anti-Inflammatory, Antioxidant, and Antibacterial, Natural Agent Against Methicillin-Resistant Staphylococcus aureus Infection in vivo. Infect. Drug Resist. 2021, 5, 2991–3000. [Google Scholar] [CrossRef]
- Sharmeen, J.B.; Mahomoodally, F.M.; Zengin, G.; Maggi, F. Essential Oils as Natural Sources of Fragrance Compounds for Cosmetics and Cosmeceuticals. Molecules 2021, 26, 666. [Google Scholar] [CrossRef]
- Jin, L.; Dai, B. TiO2 activation using acid-treated vermiculite as a support: Characteristics and photoreactivity. Appl. Surf. Sci. 2012, 258, 3386–3392. [Google Scholar] [CrossRef]
- Stoch, L. Minerały Ilaste; Wydawnictwa Geologiczne: Warszawa, Poland, 1974; pp. 293–303.
- Wang, Y.; Sun, Z. Modified preparation, and characteristic of vermiculite as catalysts support for catalytic pyrolysis. E3S Web Conf. 2021, 271, 04009. [Google Scholar] [CrossRef]
- Low, M.J.D.; Bartner, P.L.; Krishnamurthy, R. The catalytic properties of vermiculite. J. Res. Inst. Catal. Hokkaido Univ. 1965, 13, 66–70. [Google Scholar]
- Ravichandran, J.; Sivasankar, B. Properties and Catalytic Activity of Acid-Modified Montmorillonite and Vermiculite. Clays Clay Miner. 1997, 45, 854–858. [Google Scholar] [CrossRef]
- Stawiński, W.; Freitas, O.; Chmielarz, L.; Węgrzyn, A.; Komędera, K.; Błachowski, A.; Figueiredo, S. The influence of acid treatments over vermiculite based material as adsorbent for cationic textile dyestuffs. Chemosphere 2016, 153, 115–129. [Google Scholar] [CrossRef] [PubMed]
- Barczewski, M.; Kurańska, M.; Sałasińska, K.; Aniśko, J.; Szulc, J.; Szafraniak-Wiza, I.; Prociak, A.; Polaczek, K.; Uram, K.; Surmacz, K.; et al. Comprehensive Analysis of the Influence of Expanded Vermiculite on the Foaming Process and Selected Properties of Composite Rigid Polyurethane Foams. Polymers 2022, 14, 4967. [Google Scholar] [CrossRef]
- Simmons, K.J. Vermiculite. Available online: https://pubs.usgs.gov/periodicals/mcs2023/mcs2023-vermiculite.pdf (accessed on 15 November 2023).
- Grigorova, I. Possibilities of vermiculite fine waste utilization. In Proceedings of the XXVII International Mineral Processing Congress, Santiago, Chile, 20–24 October 2014; pp. 134–142. [Google Scholar]
- Locko, G.A.; Frank, W.C. Oppenauer Oxidation of Geraniol/Nerol. U.S. Patent P. 4,663,488, 1987. [Google Scholar]
- Chauhan, S.M.S.; Parkash, S.; Mohapatra, P.P. Oxidation of geraniol and related volatile terpenoids with iodosylbenzene catalysed by 5,lO,15,20-tetrakis(2′,6′-dichlorophenyl)porphyrinatoiron(III) chloride in dichloromethane, aqueous SDS and CTAB micelles. Indian J. Chem. 1997, 36B, 312–317. [Google Scholar]
- Baumstark, A.L.; Franklin, P.J.; Vasquez, P.C.; Crow, B.S. Kinetics of the Epoxidation of Geraniol and Model Systems by Dimethyldioxirane. Molecules 2004, 9, 117–124. [Google Scholar] [CrossRef]
- Bäcktorp, C.; Hagvall, L.; Börje, A.; Karlberg, A.-T.; Norrby, P.-O.; Nyman, G. Mechanism of Air Oxidation of the Fragrance Terpene Geraniol. J. Chem. Theory Comput. 2008, 4, 101–106. [Google Scholar] [CrossRef]
- Weng, D.C.J.; Latip, J.B.; Hasbullah, S.A.B.; Sastrohamidjojo, H. Separation of Geraniol from Citronellol by Selective Oxidation of Geraniol to Geranial. Sains Malays. 2015, 44, 1183–1188. [Google Scholar] [CrossRef]
- Thi, L.T.X. Selective and efficient oxidation of unsaturated alcohols as constituents in essential oils. J. Sci. Technol. 2016, 54, 320–327. [Google Scholar]
- Cubillos, J.; Martínez, J.J.; Rojas, H.; Marín-Astorga, N. Oxidation of geraniol using niobia modified with hydrogen peroxide. Rev. Fac. Ing. Univ. Antioq. 2019, 91, 106–112. [Google Scholar] [CrossRef]
- da Silva, M.J.; Torresa, J.A.V.; Vilanculo, C.B. Vanadium-doped phosphomolybdic acids as catalysts for geraniol oxidation with hydrogen peroxide. RSC Adv. 2022, 12, 11796–11806. [Google Scholar] [CrossRef]
- Campos, A.M.; Moreno, S.; Molina, R. Characterization of vermiculite by XRD andnd spectroscopic techniques. Earth Sci. Res. J. 2010, 13, 108–118. [Google Scholar]
- Patra, K.; Mittal, V.K.; Bera, S.; Sengupta, A.; Sahu, A.K.; Valsala, T.P.; Sathe, D.B.; Bhatt, R.B. Role of Mg2+ and K+ ions in retention of radio-cesium (137Cs+) in vermiculite clay. J. Hazard. Mater. Adv. 2024, 13, 100411. [Google Scholar] [CrossRef]
- Chen, X.; Tong, D.; Fang, Z.; Gao, Z.; Yu, W. Acid Leaching Vermiculite: A Multi-Functional Solid Catalyst with a Strongly Electrostatic Field and Brönsted Acid for Depolymerization of Cellulose in Water. Molecules 2022, 27, 3149. [Google Scholar] [CrossRef] [PubMed]
- Samojeden, B.; Grzybek, T.; Kowal, J.; Szymaszek, A.; Jabłońska, M.; Gläser, R.; Motak, M. The influence of holmium on catalytic properties of Fe or Cu-modified vermiculites. Physicochem. Probl. Miner. Process. 2019, 55, 1484–1495. [Google Scholar]
- Chmielarz, L.; Kowalczyk, A.; Michalik, M.; Dudek, B.; Piwowarska, Z.; Matusiewicz, A. Acid-activated vermiculites and phlogophites as catalysts for the DeNOx process. Appl. Clay Sci. 2010, 49, 156–162. [Google Scholar] [CrossRef]
- Vilcocq, L.; Spinola, V.; Moniz, P.; Duarte, L.C.; Carvalheiro, F.; Fernandes, C.; Castilho, P. Acid-modified clays as green catalysts for the hydrolysis of hemicellulosic oligosaccharides. Catal. Sci. Technol. 2015, 5, 4072–4080. [Google Scholar] [CrossRef]
- Fajdek-Bieda, A.; Wróblewska, A.; Miądlicki, P.; Konstanciak, A. Conversion of geraniol into useful value-added products in the presence of catalysts of natural origin: Diatomite and alum. Materials 2022, 15, 2449. [Google Scholar] [CrossRef]
















| Catalyst Type | Acid-Site Concentration [mmol/g] |
|---|---|
| TS-1 | 1.490 |
| Vermiculite | 1.049 |
| ZSM-5 | 1.475 |
Disclaimer/Publisher’s Note: The statements, opinions and data contained in all publications are solely those of the individual author(s) and contributor(s) and not of MDPI and/or the editor(s). MDPI and/or the editor(s) disclaim responsibility for any injury to people or property resulting from any ideas, methods, instructions or products referred to in the content. |
© 2024 by the authors. Licensee MDPI, Basel, Switzerland. This article is an open access article distributed under the terms and conditions of the Creative Commons Attribution (CC BY) license (https://creativecommons.org/licenses/by/4.0/).
Share and Cite
Gajewska, S.; Wróblewska, A.; Fajdek-Bieda, A.; Kamińska, A.; Sreńscek-Nazzal, J.; Miądlicki, P.; Michalkiewicz, B. Oxidation of Geraniol on Vermiculite—The Influence of Selected Parameters on the Oxidation Process. Catalysts 2024, 14, 714. https://doi.org/10.3390/catal14100714
Gajewska S, Wróblewska A, Fajdek-Bieda A, Kamińska A, Sreńscek-Nazzal J, Miądlicki P, Michalkiewicz B. Oxidation of Geraniol on Vermiculite—The Influence of Selected Parameters on the Oxidation Process. Catalysts. 2024; 14(10):714. https://doi.org/10.3390/catal14100714
Chicago/Turabian StyleGajewska, Sylwia, Agnieszka Wróblewska, Anna Fajdek-Bieda, Adrianna Kamińska, Joanna Sreńscek-Nazzal, Piotr Miądlicki, and Beata Michalkiewicz. 2024. "Oxidation of Geraniol on Vermiculite—The Influence of Selected Parameters on the Oxidation Process" Catalysts 14, no. 10: 714. https://doi.org/10.3390/catal14100714
APA StyleGajewska, S., Wróblewska, A., Fajdek-Bieda, A., Kamińska, A., Sreńscek-Nazzal, J., Miądlicki, P., & Michalkiewicz, B. (2024). Oxidation of Geraniol on Vermiculite—The Influence of Selected Parameters on the Oxidation Process. Catalysts, 14(10), 714. https://doi.org/10.3390/catal14100714

