Abstract
The conceptual design and engineering of an integrated catalytic reactor requires a thorough understanding of the prevailing mechanisms and phenomena to ensure a safe operation while achieving desirable efficiency and product yields. The necessity and importance of these requirements are demonstrated in this investigation in the case of novel membrane-assisted reactors tailored for CO2 hydrogenation. Firstly, a carbon molecular sieve membrane was developed for simultaneous separation of CO2 from a hot post-combustion CO2-rich stream, followed by directing it along a packed-bed of hybrid CuO-ZnO/ZSM5 catalysts to react with hydrogen and produce DiMethyl Ether (DME). The generated water is removed from the catalytic bed by permeation through the membrane which enables reaction equilibrium shift towards more CO2-conversion. Extra process intensification was achieved using a membrane-assisted reactive distillation reactor, where similarly several such parallel membranes were erected inside a catalytic bed to form a reactive-distillation column. This provides the opportunity for a synchronized separation of CO2 and water by a membrane, mixing the educts (i.e., hydrogen and CO2) and controlling the reaction along the catalytic bed while distilling the products (i.e., methanol, water and DME) through the catalyst loaded column. The hybrid catalyst and carbon molecular sieve membrane were developed using the synthesis methods and proved experimentally to be among the most efficient compared to the state-of-the-art. In this context, selective permeation of the membrane and selective catalytic conversion of hybrid catalysts under the targeted operating temperature range of 200–260 °C and 10–20 bar pressure were studied. For the membrane, the obtained high flux of selective CO2-permeation was beyond the Robeson upper bound. Moreover, in the hybrid catalytic structure, a combined methanol and DME yield of 15% was secured. Detailed results of catalyst and membrane synthesis and characterization along with catalyst test and membrane permeation tests are reported in this paper. The performance of various configurations of integrated catalytic and separation systems was studied through an experimentally supported simulation along with the systematic analysis of the conceptual design and operation of such reactive distillation. Focusing on the subnano-/micro-meter scale, the performance of sequential reactions while considering the interaction of the involved catalytic materials on the overall performance of the hybrid catalyst structure was studied. On the same scale, the mechanism of separation through membrane pores was analyzed. Moreover, looking at the micro-/milli-meter scale in the vicinity of the catalyst and membrane, the impacts of equilibrium shift and the in-situ separation of CO2 and steam were analyzed, respectively. Finally, at the macro-scale separation of components, the impacts of established temperature, pressure and concentration profiles along the reactive distillation column were analyzed. The desired characteristics of the integrated membrane reactor at different scales could be identified in this manner.
1. Introduction
1.1. Motivation and Strategic View
For sustainably reducing global CO2-emission it is crucial to target the CO2-generating sectors with priority, where the highest impacts can be secured via synchronizing the targeted requirements relying on the available technological solutions [1,2]. Considering the significance of the overall emitted CO2 from the industrial sector, in particular steel plants, developing an efficient technology for reducing their CO2-emission can be considered as a prioritized choice from the strategic point of view [2,3]. Decarbonizing a steel plant by improving the energy efficiency of the production line seems to be a remote possibility. Instead, capturing the emitted CO2 from the targeted off-gas stream (e.g., the exhaust of a blast furnace) and producing green-fuel for partially making-up of the required fossil-base fuel is technically feasible and conceptually an attractive solution since it contributes to the overall reduction in carbon dioxide emissions. Therefore, it is becoming a part of the strategy for sustainable design and retrofitting the steel plants with far-reaching environmental, economic and societal impacts. Nonetheless, from a technical point of view and considering the targeted operating pressure, temperature and concentration of the involved gaseous species, developing such technology for efficient local CO2 capture-conversion and utilization of the produced fuel in the same combustion chamber is challenging. For the most part, however, this can be potentially addressed using an integrated membrane-assisted catalytic CO2-hydrogenation to Dimethyl Ether (DME) process, since DME with its relatively high energy efficiency can serve as a make-up fuel in such large-scale furnaces [4]. Nevertheless, this process is still in development and its required characteristics should be carefully analyzed and adapted in different scales to become a large-scale globally accepted established technology for this application [2,5]. These include addressing the requirement of the separation and conversion sections in the catalyst, membrane, reactor and process scales. In doing so, the state-of-the-art and scientific progress in the catalyst, membrane, reactor, etc., are reviewed first, followed by a description of the proposed methodology for the design of a sustainable integrated process for this application.
1.2. State-of-the-Art and Potential Solutions in Different Scales
1.2.1. Catalyst for CO2 Hydrogenation to Methanol and Its Dehydration to Dimethyl Ether
The reactions representing the targeted catalytic paths including the conversion of CO2 (hydrogenation reaction for methanol production) and producing DME (methanol dehydration) are, respectively, listed as reaction 1 and reaction 2.
These catalytic reactions, respectively, occur on bimetallic (e.g., benchmark CuO-ZnO) and zeolite (e.g., benchmark ZSM5) catalysts [5,6]. Simultaneously, forward and reverse water gas shift (WGS) reactions 3 are also happening primarily along with reaction 1.
There are other side reactions involved, such as carbon monoxide hydrogenation and carbon oxide methanation, with a less-significant contribution in shaping the reactor output composition under the mild reaction conditions (pressure and temperature, respectively, up to 20 bar and 260 °C) targeted in this research. This range has been selected to ensure that efficient in-situ CO2 separation and catalytic conversion [7,8] including hydrogenation and methanol dehydration reactions over a hybrid catalytic structure [6], can take place simultaneously. Without having such restrictions, a wide range of catalytic materials and operating conditions could be utilized for the hydrogenation reactor [7,9,10,11] and methanol dehydration [12] reactor separately. An extensive review of single-step CO2-hydrogenation to DME, its requirements and restrictions can be found elsewhere [6,13].
After selecting the catalytic materials (benchmark CuO-ZnO and ZSM5), analyzing the phenomena in the scale of individual catalytic sites, and identifying the targeted range of operating parameters, the next step is to analyze the phenomena in the scale reflecting the structural characteristics of hybrid of two catalytic materials. In general, such relations between the catalytic behavior, structural characteristics and the preparation methods for this family of catalysts have not been thoroughly studied. Therefore, developing an active, selective and stable catalyst for CO2 hydrogenation has been demonstrated to be a challenging task, but highly rewarding [13,14].
1.2.2. Hybrid Catalysts for CO2 Hydrogenation to Dimethyl Ether
The material-chemical-structural characteristics of the benchmark CuO-ZnO and ZSM5 catalytic materials have been analyzed extensively [7,9,10,11,12]. Having analyzed the reported data in the literature in this regard, different synthesis methods were applied in tailoring the material-structural-chemical characteristics of hybrid catalysts for one-step CO2-hydrogenation to DME in the early stage of this research [6]. It has been demonstrated that by selecting the right synthesis method and material composition of hybrid catalysts, enabling a well-dispersion of the active components across the hybrid catalytic structure, DME-selectivity and yield could be improved [5,6,13].
After analyzing the characteristics of hybrid catalytic structures, the next step is to include the in-situ reactants dosing and product removal in the integrated reactor-scale reflecting the impacts of external transport phenomena on the performance of the catalytic reactor.
1.2.3. Membrane: CO2-Dosing and Water Removal
There are three main approaches to addressing the limitations regarding thermodynamic equilibrium conversion of CO2 to methanol [6,13,15] represented in reaction 1. The first approach comprises using a proper set of operating temperatures, pressure and reactant ratio (H2/CO2). In that context, the techno-economic requirements of such a hybrid catalytic system, in particular, the cost of the hydrogen and carbon dioxide and their downstream separation should be taken into consideration. As a result, the ranges of variation of these parameters have been fixed by defining the mild range of operating pressure and temperature and the overall H2/CO2 has been selected in this research to be stoichiometric. However, establishing a locally high H2/CO2 using a membrane CO2-dosing along the bed can improve the carbon dioxide conversion, methanol selectivity and yield [8]. In fact, using a molecular sieve carbon membrane is a promising separation concept in this regard not only as it is compatible with the composition but also with the high temperature of the targeted CO2-rich streams (e.g., steel mill gas). It has been demonstrated that such membranes with proper specifications [16] can be used for such tasks promising an energy-efficient separation process with a lower carbon footprint.
The second approach focuses on further converting methanol to other valuable products, which has been targeted to be DME in this research and materialized by developing a hybrid catalytic structure as described in Section 1.2.2. The third approach targets shifting the equilibrium by removing the products (e.g., water) through a perm-selective membrane from the catalytic bed [17,18].
In this research, all three approaches have been simultaneously implemented in designing a novel integrated membrane reactor. In such a membrane reactor, through a tailored carbon molecular sieve membrane, CO2 is dosed from a CO2-rich stream into the bed of hybrid catalyst to be converted to methanol and then DME, while the produced water permeates through the same membrane into the CO2-rich hot gas stream. This enables an efficient process intensification for in-situ separation and conversion of CO2 to DME. Several of such membrane reactor structures are assembled in the form of membrane-assisted reactive distillation for further reactor integration and process intensification as explained in the next Section 1.2.4.
This enables analyzing the impact of macro-scale distillation on tuning the temperature and concentration profile along the catalytic bed and thereby on the performance of the integrated catalytic-separation system.
1.2.4. Integrated Reactor and Process Intensification
Different levels of reactor integration and process intensification, which could be established for this catalytic process are reviewed in this section. From one side, a reactive distillation concept has been demonstrated [19] capable of efficiently integrating the methanol dehydration catalytic reactor and distillation-separation of the products (i.e., DME and water). Full conversion of methanol, handling the light non-condensable gaseous components (e.g., dissolved carbon oxides and H2), and tuning the reaction intensity and temperature profile along the bed to secure high purity of the distilled DME, have been also among the capabilities demonstrated by such an integrated system [19].
On the other side, an improved methanol selectivity and yield have been secured using an integrated membrane reactor, where through an inorganic membrane CO2 is separated from a CO2-rich stream (e.g., off-gas of the blast furnace with 23% CO2) and simultaneously distributed along the hydrogenation catalytic bed to be converted to methanol [8]. Selecting a proper membrane, which also enables simultaneous water removal from the catalytic bed, is known to be beneficial for the catalytic hydrogenation system [17,18,20]. This is particularly adapted in this research and applied in the form of a novel integrated membrane reactor, capable of simultaneous CO2-dosing and water removal, for CO2-hydrogenation to DME production.
2. Multi-Scale Analysis
In this section, after reviewing the general design-operation concept of the hybrid catalysts, membrane, and the integrated membrane reactor, through a multi-scale analysis-design approach, the know-hows and knowledge in different-scales required for the design of an efficient large-scale integrated reactor are explained. This is established in the form of an integrated reactive-distillation structure, promising significant process intensification potentials and improved energy efficiency in reference to the process consisting of a sequence of catalytic and separation modules. The detailed design and operating performance of the investigated process scenarios are explained in this section. In this context, the materials and methods utilized to analyze and tailor the characteristics in different scales of such configurations, shaping the performance of the phenomena in catalyst-scale, membrane and the integrated reactor scale and ultimately the process scale are reviewed here.
2.1. Catalyst
2.1.1. Material Selection and Synthesis
The applied multi-scale analysis in this research starts with systematically analyzing the involved phenomena and the material-chemical-structural characteristics of the catalysts and how to establish the desired ones in designing an efficient catalyst for CO2-hydrogenation to DME. In the first step by focusing on CO2-hydrogenation to methanol, it has been demonstrated that the well-dispersed active metal oxides (e.g., copper and zinc) across the CO2-hydrogenation catalyst, usually being established in the form of smaller particles for instance through coprecipitation synthesis, result in higher catalytic conversion and methanol yield [7,10]. The relatively larger pore-volume and pore-size obtained through the coprecipitation synthesis method are also partially responsible for the relatively higher CO2-conversion and methanol yield obtained in this case. Sequential precipitation synthesis of the CuO and ZnO in (50% CuO-50% ZnO) methanol-synthesis catalyst has shown a 2/3 reduction in the accessibility of the gaseous species to the catalytic hydrogenation surface area compared to the corresponding co-precipitated catalyst. These have been indicated through a comparative study of the measured BET surface area for these catalysts [6,21]. Such a comparative study included several catalysts synthesized via various methods also for hybrid catalysts. For instance, 94% further reduction in the surface of the catalytic hydrogenation area in the sequentially precipitated -SP- hybrid catalyst in comparison to the co-precipitated -CP- hybrid catalyst (33% CuO-33% ZnO-33% ZSM5) for CO2-to-DME was observed. The CP hybrid catalyst in any case, however, reduces the access to the methanol-dehydration catalytic structure (e.g., ZSM5). As another general observation, impregnating the active metals (e.g., Cu and Zn) can result in less restriction on the accessibility of the gaseous species to the support structure. In particular, impregnating CuO and ZnO, either being simultaneously (Co-Impregnated -CI-) or in sequence (Sequentially Impregnated -SI-) introduced into the zeolite structure (constituting 2/3 of the hybrid catalyst structure), less significantly restricts the access of the reactants to the micropore area of the support. The catalytic hydrogenation materials do not provide an effective high surface area in this case. In fact, the impregnation method results in a less-distributed hydrogenation active material across the hybrid catalytic structure, and therefore, overall CO2 conversion is reduced [21]. Hinting to a relatively less restricted access, the results of TPD analysis (Table 1) also indicate that the representative medium acidity strength of ZSM5 is reflected proportional to its weight percentage in the impregnated hybrid catalyst [6]. These data also indicate a slightly further reduction in the accessibility in the SI hybrid catalyst compared to the CI one. This is in line with the overall observed surface area measurements for these catalysts. The recorded overall surface area and ammonia-adsorption for the catalysts synthesized via coprecipitation (CP) and sequentially-precipitation (SP) methods with the same composition CuO-ZnO-ZSM5 (33%-33%-33%) showed a similar trend (See Table 1). These data also indicate a relatively more restricted access in the SP catalyst.
Table 1.
The surface chemical-structural characteristics of the investigated hybrid catalysts.
Having considered all these, the experimentally observed performances of the CP catalyst were selected to be used for the rest of the analysis reported in this paper because; (a) it can secure a significant CO2-conversion even in the form of a hybrid catalyst, (b) it represents (at least theoretically) a homogeneously distributed catalytic materials for the consecutive reactions, which might secure even significant level of methanol-selectivity and DME yield, (c) considering the relatively larger pore-volume in such CP hybrid catalyst, the observed water condensation in its structure serves as a reference as how much this phenomena can be avoided in the scale of hybrid catalytic structure. The synthesis procedures of the single-coprecipitated catalyst for methanol synthesis and the hybrid coprecipitated catalyst for direct DME production are provided here and the detailed synthesis of the other catalysts mentioned above along with their characterization results are found elsewhere [6,21].
Coprecipitated catalyst for methanol production and hybrid catalyst for DME production:
The details of the coprecipitation synthesis recipe have been reported earlier [6,21]. As the first step of this synthesis procedure, separate aqueous solutions of copper nitrate Cu(NO3)2·3H2O (purchased from VWR Chemicals, Radnor, PA, USA), zinc nitrate Zn(NO3)2·6H2O and sodium carbonate Na2CO3 (both purchased from Sigma Aldrich, St. Louis, MO USA), each with a molarity of 0.2 M were prepared. The metal nitrate solutions were mixed to establish a light blue solution with a mole ratio of 50Cu:50Zn; 400 mL of this solution and 500–600 mL of the precipitant carbonate solution were dropwise added to 600 mL of De-Ionized (DI) water under vigorous stirring of 500 rpm. The metal nitrates and the precipitant solutions were added with controlled drop-rates for each solution while maintaining the pH of the solution around 7 ± 0.2 at the temperature range of 60–65 °C. After obtaining the precipitate, it was aged for 2 h at the same temperature and stirring conditions. Then, the precipitate was washed with hot DI water and filtered and then dried at 80 °C. After crushing and pelletizing the dried solid, it was sieved to obtain the desired size fraction (100–250 µm) and then calcined at 360 °C. The CP methanol catalyst is at this stage ready to be characterized and tested.
For the hybrid hydrogenation-dehydration CP DME catalyst, a similar procedure as explained above was followed with the only difference being that the 400 mL of the mixed metal nitrate (light blue) and 500–600 mL of the precipitant solutions were both added dropwise to 600 mL of demineralized water containing 3.2 g of H-ZSM5 (after calcination) under stirring at 500 rpm to obtain the targeted hybrid CuO-ZnO/ZSM5 catalyst.
2.1.2. Catalytic Performance Test for Various Hybrid Catalytic Bed Structures
Having considered the targeted process integration, the catalysts have been tested in an operating temperature range of 160–280 °C under a mild operating pressure of up to 20 bar [6,7].
In this section, starting with the performance of CP dual catalyst, the effect of operating parameters, namely temperature and residence time (reflected through Gas Hourly Space Velocity -GHSV-), on the catalytic performance of CO2-hydrogenation to methanol and DME are reviewed. The catalysts were tested in a bench-scale fixed bed reactor with an inner diameter of 7.75 mm, equipped with a backpressure regulator and compact GC analyzer Interscience 4.0. More detailed specifications of the reactor setup and testing procedure can be found elsewhere [6,21,22]
Figure 1 represents a typical impact of varying operating temperatures on different performance indicators of the CP and CI hybrid catalysts [21]. Compared to the CI hybrid catalyst, the relatively better performance indicators of the CP hybrid catalyst are highlighted in this figure. The only recorded performance indicator that was higher for the CI hybrid catalyst was DME selectivity. This can be explained considering the recorded lower CO2-conversion and the larger portion of zeolite content and less accessibility restriction of the gaseous species to the zeolite support in the hybrid CI catalyst compared to the CP hybrid catalyst.
Figure 1.
Representing the effect of varying operating temperature on the performance of two reference hybrid catalysts [CP: Co-Precipitated catalyst, CI: Co-Impregnated catalyst; P: 20 bar; H2/CO2 = 3; GHSV: 200 h−1].
This range of tested temperatures, namely 200–260 °C, not only covers the common temperature range, where CuO-ZnO and ZSM5 catalysts have been recommended to be utilized as a hybrid catalyst [6,7] but also reflects the temperature profile along the integrated reactor system investigated in this research. As seen in Figure 1, DME selectivity and methanol selectivity (for the targeted CP dual catalyst) are reduced by increasing the temperature, while CO-selectivity, CO2-conversion and thereby the yield of desired products increase. Ensuring distributed catalytic materials for CO2-hydrogenation across the whole catalytic structure from one side and less restriction in accessibility to the zeolite structure on the other side, were identified to be two important aspects in designing the characteristics in the scale of the internal meso-micro dimensions of a hybrid catalyst particle.
In the next scale, namely a micrometer-millimeter scale covering the interactions between the catalytic particles, the performance of various mixed-bed of hydrogenation and methanol dehydration catalysts was analyzed. In this manner, the performance of a bed made of CuO-ZnO catalyst followed by a bed of ZSM5 catalyst as a two-layer catalytic bed along with the performance of a 10-layer bed of a sequence of similar structure were experimentally tested. As a reference state representing a complete macro-scale mixed bed of these catalysts, a fully mixed bed of these catalysts’ particles “Physical Mixing” was also tested [6,21]. The comparative results of their performances indicated similar trends as observed for the hybrid catalysts (shown in Figure 1) in terms of CO2-conversion and CO-selectivity as well as methanol and DME selectivity. It was demonstrated that the yield of desired products (i.e., methanol and DME) could be improved [6] using a well-mixed bed of these catalytic materials.
GHSV is another variable, which should be set to ultimately improve the catalytic performance according to the conditions in different sections of the macro-scale integrated reactor. It has been experimentally observed that in the studied range of variables in this research, reducing the contact time, through increasing the GHSV, both CO2-conversion and the yield of the desired products (i.e., methanol and DME) are reduced. Methanol selectivity was found to be less affected by varying the contact time. The thermal operation of the reaction is significantly affected by the intensity of this exothermic reaction, which should be reflected in the interpretation of such observations.
Typical trends of the impact of varying H2/CO2 ratio on the catalytic performance of the CO2-hydrogenation to methanol and CO2-hydrogenation to DME have been investigated [7,21,22]. A higher H2/CO2 ratio than stoichiometric ratio 3 increases methanol and DME selectivity, while as expected it reduces the CO2-conversion and the per-pass yield of the desired products. This has been demonstrated not only in a co-feed fixed-bed reactor, but also by establishing a local high H2/CO2 ratio in a membrane reactor [8]. This parameter and such impacts will be utilized in designing the integrated reactors in this research.
The effect of varying operating pressure was experimentally studied in the range of 10–20 bar and demonstrated to be less-straightforward [6,7,21,22]. On one hand, increasing pressure will result in an increase in the CO2-conversion. On the other hand, its impact on the selectivity towards methanol and DME depends on the structural characteristics of the catalysts as well as the set of operating conditions, under which the effect of pressure is being investigated. Generally, higher pressure is in favor of higher methanol production, but not necessarily higher DME production. It should be also highlighted that selecting the operating pressure in the targeted integrated reactor in this research is strongly related also to the performance of the membrane, which is studied in the next section. On the other hand, using a higher H2/CO2 ratio improves the CO2-conversion and methanol selectivity. Therefore, the membrane-assisted reactor engineering scenario, where dosing CO2 with a lower partial pressure and a local low H2/CO2 ratio along the catalytic bed can address these potentials and would be conceptually attractive. At the end of this section, using lower temperatures not only from a thermodynamic point of view is expected to shift the equilibrium in favor of selective methanol and DME production, but also kinetically been demonstrated to be favorable in that regard. CO2-conversion, however, would suffer by decreasing the temperature. The impact of temperature in the form of establishing a desired temperature profile along the catalytic bed should be primarily addressed through feeding strategy, establishing the desired reaction intensity profile along the bed and tuning the gas composition along the bed for instance via bulk-separation mechanism such as distillation.
2.2. Membrane and Material Processing
This section provides an overview of the specifications and the performance of the membrane tailored for the applications investigated in this research, namely for integrating catalytic CO2-hydrogenation with steel mill gas treatment in the form of an integrated membrane reactor and membrane-assisted reactive distillation systems.
2.2.1. Membrane Synthesis and Potentials
A carbon Molecular Sieve Membrane (CMSM) was used in this research for the separation of CO2 from steel mill off-gas with an assimilated composition of 4% H2, 22.4 CO2, and 73.6% N2. In fact, steel mill gas contains approximately 22% mole-fraction of CO2 and similar content of CO as well as a small portion of methane (about 4%), which were not included in the experimental analysis primarily due to the safety restriction of the testing-facility. Their portion was considered to act like the nitrogen content (originally around 50%). The impact of the water content of the steel mill gas, however, was qualitatively considered by running a controlled-saturated and water-saturated gas feed in the experimentations.
In particular, it is targeted in this research to integrate an in-situ selective CO2-separation through the membrane with the adjacent catalytic CO2-conversion, where CO2 is simultaneously distributed along the catalytic bed while being ideally hydrogenated to methanol [8] and DME. The general characteristics of this CMSM, including its capability to operate at high temperature and pressure [16] along with the available potential in tuning the synthesis parameters to tailor its selective separation performance, are the main advantages of this type of membrane for the targeted application in this research.
An asymmetric porous alumina tube with an inner diameter (ID) of 7 mm and outer diameter (OD) of 14 mm with an external layer of 100 nm average pore size, supplied by Inopore GmbH, was used as the support for each membrane preparation-batch of the experimental demonstration/study. At each batch, three membranes were prepared using similar materials, preparation conditions and synthesis procedures, indicating a reproducible performance. At first, the tubular alumina support was connected to a dense alumina tube, on one side to form the permeate side outlet, while the other side of the support was blocked via glass sealings prepared at 950 °C with 10 min curing-time. The details of the general assembly can be found in our earlier publication [16].
Firstly, 69 g (0.73 mol) of phenol (99%, CAS No. 108-95-2) was melted at 60 °C in a four neck round bottom glass flask, which was equipped with a reflux condenser. Then, 1.5 g of oxalic acid (98%, CAS No. 144-62-7) was added to the solution, the temperature was raised to 90 °C and 52 g (0.64 mol) of formaldehyde solution (37% VWR chemicals, CAS No. 50-00-0) was added dropwise to the solution. The reaction was carried out for 8 h, the solution was centrifuged at 20 °C and was rinsed three times using denoised water with a speed of 4000 rpm for 15 min in each step. The oligomer was collected in a porcelain dish and was vacuum dried at 30 °C for 24 h. In the next step, 28 g of the resulted oligomer was dissolved in 92 g of N-methyl-2-pyrrolidone (NMP, 99.5%, CAS No. 872-50-4) in a high shear mixer (Thinky ARE-250) with 1800 rpm speed for a duration of 30 min in two-stages of mixing. Then, 0.3 g of oxalic acid was added to the solution and mixed for 20 min at 2000 rpm. In the next step, 1.8 g of formaldehyde solution was added to the solution and mixed for two cycles of 30 min at 1500 rpm and 1.2 weight percentage (wt.%) of ethylenediamine (99.9%, CAS No. 107-15-3) was added to the solution and mixed for 30 min at 1000 rpm. The supported membranes were established by dip-coating the support in a dipping solution and drying it in accordance with the thermal-treatment and carbonization methods. All the chemicals were added to the membrane preparation procedure without further purification.
The synthesized membrane, with the characteristics reported in Table 2, was selected for the experimental study in this research. The superior selective performance of CMSM for CO2-separation from steel mill gas has been demonstrated in the form of CO2/N2 ideal selectivity Robeson upper bound [16]. General information about the synthesis, characterization and typical separation performance of CMSM, in particular, for similar high temperature-pressure permeation tasks, can be found in earlier publications [16,23,24].
Table 2.
The characteristics of the CMSM used for the permselectivity tests.
After carefully identifying the proper CO2-selective carbon membrane, its permeation towards CO2, H2O, H2 and other involved components was experimentally measured.
2.2.2. Membrane Separation Performance: Permeation Study and Screening the Conditions
Performance indicators of the selected CMSM around the targeted range of operating conditions, namely 150–260 °C and 5–30 bar, assimilating its separation behavior in the investigated integrated reactors in this research, in particular, in the membrane-assisted reactive distillation system, are reviewed in this section.
For assimilating the operation of the integrated reactors under different operating conditions, we tuned and set the temperature around the membrane and the pressure in the retentate and permeate sides of the high-pressure permeation test setup at different levels. The flowrate and the gas compositions of the outlet gas streams leaving the retentate and permeate sections in these setups were, respectively, measured using Horiba VP1.3 and Agilent Micro GC Avian 490. More information about the permeation test setup can be found in our previous publications [16].
The CO2-permeation of the CMSM was studied under different operating conditions and states of the membrane, namely dry, atmospheric saturated and saturated at 5 bar pressure of the permeate-stream. This is represented quantitatively by the values of the CO2-concentration permeated across the CMSM, which can be tracked while changing the operating temperature and pressure as shown in Figure 2.

Figure 2.
Representing the effect of varying operating temperature and feed pressure on the separation performance of the CMSM (a) recorded trend of CO2 concentration in the permeate side by varying temperature under different permeate pressures; (b) recorded trend of CO2 concentration in the permeate side by varying temperature for dry and saturated (atmospheric and 5 bar pressure in the permeate side) membranes; (c) recorded trend of H2 concentration in the permeate side by varying temperature under different permeate pressure; (d) recorded trend of H2 concentration in the permeate side by varying temperature for dry and saturated (atmospheric and 5 bar pressure in the permeate side) membranes; (e) recorded trend of N2 concentration in the permeate side by varying temperature under different permeate pressure; (f) recorded trend of N2 concentration in the permeate side by varying temperature for dry and saturated (atmospheric and 5 bar pressure in the permeate side) membranes.
Figure 2a shows that securing a greater mass transfer driving force across the membrane, by establishing a smaller pressure on the permeate side, increases the CO2-permeation as indicated by the recorded higher concentration of CO2 on the permeate side. In fact, the catalytic bed is positioned on the CO2-permeated side in the membrane-assisted integrated reactors studied in this research. Therefore, the value of pressure on the permeate side along with the values of other parameters are determined in accordance with their effects on both the catalytic and separation performances. Figure 2b shows that setting the lowest pressure (atmospheric pressure) on the permeate side can even further facilitate the permeation, especially at lower temperatures. However, the catalytic performance under such low pressure is significantly hampered.
By increasing the temperature, the absolute value of permeance (mol·m−2·s−1·Pa−1) increases for each component in a single-component permeation [16]. However, the permeation of CO2, H2 and N2 could show different trends and intensities in competition with each other while varying temperatures. For instance, the CO2 adsorption-solution is the dominant governing mass transfer mechanism across the membrane in the presence of water. Therefore, a varying temperature in the presence or absence of water affects the CO2 permeation for the dry and saturated states of the membrane differently (Figure 2b). In this manner, as seen in Figure 2a,b, the increase in temperature can result in a decrease in relative CO2 permeate percentage. This is due to the fact that by increasing temperature; (a) some of the other components (e.g., hydrogen) permeate faster than CO2, and (b) the adsorption diffusion as the main CO2 transport mechanism is weakened. This is indicated by the recorded increasing trend of permeate-percentages with the rising temperature under most sets of operating conditions (Figure 2c,d), in particular, for the saturated membranes. The observed trend of CO2-permeate while changing the temperature can be explained by analyzing its impact on the CO2-adsorption diffusion mechanism, and by tracking the reverse but yet complementary trend of the recorded hydrogen-permeate (mol%). In this manner, the inhibiting effect of temperature on CO2 separation boosts the competitive hydrogen diffusion. This explains why hydrogen permeation across dry membranes is higher than the saturated ones as shown in Figure 2d.
The permeation trends of reference nitrogen while changing the temperature have been also shown in Figure 2e,f, indicating that molecular sieving is the dominant mass transfer mechanism for nitrogen. In particular, the ascending nitrogen concentration on the permeate side while using a dry membrane is an indication of the relatively straightforward relation between the nitrogen permeation and operating temperature in this case. The recorded real selectivity CO2/N2 representing a normalized qualitative indicator of the CMSM in terms of CO2-separation performance under different operating temperatures and pressures is also shown in Figure 3.

Figure 3.
Representing the effect of varying operating temperature and feed pressure on the separation performance of the CMSM (a) recorded trend of real CO2/N2 selectivity through dry membrane while varying temperature under different feed pressures; (b) recorded trend of real CO2/N2 selectivity trough saturated membrane while varying temperature under different feed pressures; (c) recorded trend of real CO2/N2 selectivity by varying temperature for dry and saturated (atmospheric and 5 bar pressure in the permeate side) membranes; (d) recorded trend of real H2/N2 selectivity through dry membrane while varying temperature under different feed pressures; (e) recorded trend of real H2/N2 selectivity through dry membrane while varying temperature under different feed pressures; (f) recorded trend of real H2/N2 selectivity by varying temperature for dry and saturated (atmospheric and 5 bar pressure in the permeate side) membranes; (g) recorded trend of real H2/CO2 selectivity by varying temperature under different permeate pressures; (h) recorded trend of real H2/CO2 selectivity by varying temperature for dry and saturated (atmospheric and 5 bar pressure in the permeate side) membranes].
This relationship can be also tracked in Figure 3a,b. As seen in Figure 3b for instance, the absolute values of relative selectivity of CO2/N2 are higher than in Figure 3a, indicating that the relative CO2-separation is intensified through the adsorption diffusion mechanism using a saturated membrane. Tracking the represented trends of the relative selectivity of CO2/N2 for different operating pressures and temperatures for the dry membrane (Figure 3a) is even more straightforward. Figure 3a clearly shows that by increasing pressure and decreasing temperature, the relative selectivity of CO2/N2 increases. The trends shown in Figure 3b should be analyzed considering the effect of varying operating pressure and temperature through impacting the mechanism governing the CO2-separation across the membrane. The impact of temperature in this regard can be clearly seen in Figure 3c, where using dry membrane real selectivity CO2/N2 decreases monotonically by increasing temperature. This reflects the straightforward contribution of the molecular sieving mechanism in the absence of water. Again, here (in Figure 3c) it can be seen that the maximum pressure difference across the membrane has resulted in higher permeation.
On one hand, since the presence and the intensity of the interaction of water with CO2 under different operating temperatures do not follow a monotonic pattern, such a straightforward trend was not expected and observed for the saturated membrane.
On the other hand, since molecular sieving is the governing mass transfer mechanism for both hydrogen and nitrogen [16], varying pressure similarly affects their overall separation performance trends. Therefore, no clear trend is observed in Figure 3d with regard to the impact of pressure on H2/N2 selective permeation. Having considered the tight competition of H2 and CO2 in permeating through the dry membrane, similar behavior regarding the impact of temperature on the H2/N2 and CO2/N2 selective permeation was observed, especially in the low operating temperature range. The saturated membrane in this range, however, showed a relatively higher (by comparing Figure 3b,e) and descending CO2/N2 selectivity permeation profile, while increasing the temperature (Figure 3b) reduces the CO2-permeation through weakening the adsorption diffusion mechanism. This can be tracked by comparing the recorded trends of CO2/N2 and H2/N2 real selectivities for the dry membrane in Figure 3c,f in the absence of water and, in particular, at higher temperature ranges. Comparing the trends for the saturated membranes on the other side indicates the strong contribution of the adsorption-diffusion mechanism in facilitating the CO2-permeation. The dominant effect of such phenomena is also responsible for the recorded real H2/CO2 selectivity to be lower than 1 for the saturated membranes, while it is higher than 1 for the dry membrane as shown in Figure 3g,h. As shown in Figure 3h, the observed ascending real H2/CO2 permeation selectivity of saturated membranes with rising temperature, where CO2-adsorption diffusion is weekend, is also in line with this analysis. For the dry membrane in the absence of water, the competition between CO2 and H2-permeation is tighter favoring the latter at higher temperatures, where molecular sieving becomes dominant. In this manner, as seen in Figure 3g, except for the low temperatures, the real H2/CO2 selectivity is not significantly affected by the set pressure on the permeate side. This is especially the case at the higher temperatures corresponding to the operating temperature of the integrated reactor in this research. This along with the impact of the interaction of gaseous species with water on the quantity and qualitative selective separation performance of the membrane needs to be carefully accounted for in the design of the integrated reactors. Possible interaction with methanol should be also taken into consideration as it and water are the side products of the targeted reactions in the studied integrated reactors in this research. This water content is much higher than the water content of the steel mill gas.
2.2.3. Membrane Separation Performance: In-Situ Separation in Integrated Reactors
In this section, the observed separation performance of the membrane while CO2, H2, N2 and H2O compete to permeate through it are assimilated with its separation performance in the proposed membrane reactor and membrane-assisted reactive distillation in this research.
A hydrophilic membrane is preferred for the membrane-assisted integrated reactors in this application as it potentially facilitates water and even possibly methanol-removal out of the reactive atmosphere. CO2 permeates from CO2-rich streams by the driving force of a sharp CO2 partial-pressure gradient across the membrane into the catalytic bed, where its concentration due to rapid consumption can secure a high H2/CO2 ratio. In fact, only establishing a CO2-dosing along such membrane-assisted integrated reactors enables an improved removal of methanol and water in comparison to the co-feeding of H2 and CO2. The reason for this is that the partial pressure of CO2 and H2 in the catalytic bed of the later one is high, and therefore, they (CO2 and possibly hydrogen) can permeate out along with the targeted water and/or methanol, which makes such a design implausible. The next key-design aspect, besides ensuring the CO2-dosing and in-situ removal of water, is to enable selective CO2 permeation to be facilitated over hydrogen through the established permeation mechanism under a targeted set of conditions. This should be materialized by selecting the synthesis procedure and tailoring the chemical-material-structural characteristics of the membrane support and its synthesized layers.
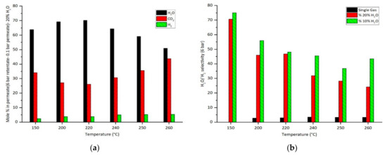
The tested synthesized CMSM in this research showed a high hydrophilicity and permeation selectivity towards carbon dioxide in the presence of water in competition with the reactions’ reactants and products under targeted operating ranges of temperatures and pressure, identified for the catalytic reactions thoroughly studied at Section 2.1. This includes studying, in particular, the impact of water presence in the steel mill gas as well as the water generated during the CO2-hydrogenation and methanol dehydration reactions. By injecting different levels of steam (i.e., 10% and 20%) and applying the targeted range of temperature (150–260 °C), permeation of carbon dioxide, hydrogen and nitrogen in a mixture of all components (i.e., set I [30% CO2, 50% H2, 20% H2O] and set II [30% CO2, 60% H2, 10% H2O]) through the membrane was tested. It was observed that when the membrane pores are filled with water when the feed gas contains a significant portion of steam, assimilating the water content generated through catalytic hydrogenation and dehydration reaction in the integrated reactor, loss of hydrogen will be reduced and separation of CO2 is facilitated. The selected values of mole fractions of carbon dioxide and hydrogen in this experimental study represent the average value of each of these components in the retentate and permeate sides. Figure 4 depicts the recorded typical trends.
Figure 4.
Analyzing the impact of water content on the membrane separation performance; (a) the recorded trend of hydrogen, carbon dioxide and water permeation indicated by their measure mole fraction in the permeate side, (b) preventing effect of water on hydrogen permeation under different sets of operating conditions.
The observed trend of permeation of all three components (i.e., H2, CO2, H2O) in the form of tracking their mole fraction in the permeate side while changing temperature is shown in Figure 4a. The contribution of the adsorption-diffusion mechanism in facilitating CO2 permeation along with water is pronounced at low temperature ranges. At a higher temperature range, the wall of the membrane pores becomes drier and directly interacts with all three components rather than staying wet. Therefore, by reducing the water permeation at high temperatures, the contribution of interactive CO2-permeation becomes lager reflecting its relatively higher content (30% CO2 and 20% water). Hydrogen permeation governed by molecular sieving is facilitated at higher temperatures, indicated by its recorded rising trend of mole fraction of hydrogen on the permeate side as shown in Figure 4a. This is particularly seen in Figure 4b, where the H2O/H2 selectivity reduces by increasing the temperature. This is inline with the ascending trend of single-component hydrogen permeation by increasing temperature.
It should be highlighted that usually, the hydrogen content of steel mill-gas (about 10%) is higher than its considered value in this research. The higher hydrogen content of such CO2-rich gas acts as extra assurance that the predicted separation and reaction performance of the integrated reactors investigated in this research could be obtained in real applications.
The reported permeation behaviors in this section hint that in the membrane-assisted integrated reactor (a) selecting the pressure in the CO2-permeate side (the catalytic bed) is determined primarily by the kinetic requirements and then because of relatively less significant impact on the separation performance, (b) using a hydrophilic membrane under water saturation is expected to be the desired scenario, which favours higher CO2-separation and lower hydrogen permeation-loss, (c) the temperature profile along the membrane and the catalytic bed should be tailored considering the requirements for both the separation and reaction. These will be addressed in the design of integrated reactors in the next sections.
2.3. Evolutionary Analysis of the Integrated Reactor-Separation Systems
In the previous section, the impacts of operating conditions including temperature, pressure and gas compositions in both the retentate and permeate sites of the membranes on selective CO2-separation were reviewed using experimental data. In this section, the conceptual design and the considerations regarding the desired operation and the technical characteristics of the catalysts and membranes are reviewed. In the reactor-scale, utilizing a proper reactant feeding strategy could improve both the micro-scale and macro-scale operation of the reactor. This, along with other design aspects and operating parameters, should be synchronized to secure an improved performance of the whole integrated system through shifting the equilibrium in different scales in favor of the energy-efficient high selective CO2-conversion to DME.
2.3.1. Integrated Reactors: Membrane Reactor
In the proposed integrated reactors in this research, overcoming the thermodynamic equilibrium is materialized in three different scales, namely catalyst-scale (phenomena on the nano-micro scale), membrane-scale (phenomena on the nano-macro scale) and the reactor-scale (phenomena on the micro-macro scale). In the catalyst-scale using a hybrid catalytic structure, the produced methanol through hydrogenation is quickly converted to DME. The potentials and limitations in that regard were explained in Section 2.1. In the micro-scale of reactor operation, through a membrane, higher local H2/CO2 could be established and thereby the selective CO2 conversion could be improved [8]. In the same micro-scale reactor operation, it has been demonstrated that removal of methanol and water would be also beneficial in displacing the equilibrium in favor of securing higher selective CO2-conversion [17,18,20,25,26,27]. In order to utilize these potentials, a novel integrated membrane reactor is proposed schematically represented in Figure 5. The operating concept of this membrane reactor can be summarized as the simultaneous removal of CO2 from a CO2-rich stream (e.g., steel mill gas stream) and its permeation into the hydrogenation catalytic bed, where it reacts with hydrogen, while excess generated water is removed through the membrane into the CO2-rich hot gas stream.
Figure 5.
Conceptual and structural (two-dimensional) representation of the integrated membrane reactor; (a) longitudinal view and the operating concept and diffusion pattern, (b) cross-sectional view [CO2
; H2O
], (c) 3D visualization, (d) multi-pass split-feed reactor operation [Feed 1 and Feed 2 and Feed 3 have the same composition, but could have different flow between the tubes inside the shell; CO2-rich enters inside the tube passes and is collected as CO2-lean at the end of the last pass].
; H2O
], (c) 3D visualization, (d) multi-pass split-feed reactor operation [Feed 1 and Feed 2 and Feed 3 have the same composition, but could have different flow between the tubes inside the shell; CO2-rich enters inside the tube passes and is collected as CO2-lean at the end of the last pass].
The catalytic bed can be considered made of the best hybrid CuO/ZnO-ZSM5 catalyst demonstrated in Section 2.1. The operating temperature (160–260 °C) and pressure (10–20 bar) are selected accordingly targeting to maximize the selective conversion of CO2 to the desired products, primarily DME, and simultaneously secure a high selective CO2-permeation and water removal through the membrane as explained in Section 2.2.
The composition of the feed stream on the retentate side is the composition of the targeted CO2-rich gas stream entering the tube side of the membrane-reactor. The composition and the flow of the feed stream on the permeate side, which is the catalytic bed, is the set composition of the targeted H2-rich gas stream entering the catalytic bed. This is selected based on the observed performance of the catalytic bed under the targeted H2/CO2 ratio. By providing enough membrane area (using several parallel membranes as shown in Figure 5c) and securing enough CO2-permeation along the reactor, the overall accumulated mole of the permeated CO2 divided by the inlet mole of H2 reaches the targeted H2/CO2 ratio. This ratio in the bulk reaction atmosphere can be locally tuned in a multiple-pass sequence of such configuration, where the bulk gas composition could be altered between the sections as shown in Figure 5d. The detailed operating concept of such a multi-tubular multi-pass membrane-assisted integrated reactor will be explained in Section 2.3.2. In such a configuration, the hybrid catalyst is placed between the tubular-membranes. Therefore, water generated inside the catalytic bed increases the water content of the gas stream outside the membrane, which will be reflected through a relatively higher fugacity of water outside the membrane in reference to the water fugacity inside the membrane.
Regarding the performance of the membrane in such a configuration, setting the pressure inside the membranes (e.g., 30 bar on the retentate side) significantly higher than the pressure outside the membranes (e.g., 10 bar on the permeate side) will increase the CO2-permeation and prevents the hydrogen escape from the catalytic section. Fast reactions inside the catalytic bed also intensify these desired phenomena.
2.3.2. Integrated Reactors: Membrane-Assisted Reactive Distillation
In Section 2.3.1 the operating concept of the membrane reactor and multi-tubular multi-pass reactor was explained as depicted in Figure 5, where the gas-feed (10–20 bar, 160–260 °C) to the catalytic hydrogenation chamber enters from one side and leaves the chamber as a bulk gas stream containing the unreacted reactants and remaining products from the other side. The flow rate inside (CO2-rich stream) and between the tube (H2-rich stream) and the length and diameter of the membranes are determined primarily based on the targeted CO2-permeation (e.g., 150 mol·m−2·s−1·Pa−1). In a multi-tubular multi-pass reactor (Figure 5c,d), a distinguished macro-scale feature, namely tuning the bulk gas compositions via feed-splitting-injection along the reactor, has been established. In this manner, while CO2 is gradually distributed and H2-conversion is progressing along the bed, refreshing feed portions are injected between the pass-chambers to enable keeping a H2/CO2 ratio in the macro-scale high and further improve the CO2-conversion in the sequential conversion-chambers in three passes. Depending on the performance of the catalyst and the membrane, the number of passes could be two, three or more. Considering these and the flow rate and dimensions of the reactor system, three passes have been used in the conceptual design so that the effective overall H2/CO2 ratio could be established. The cool feeds also enable cooling-down the reactive-zone and controlling the temperature along the reactor. Moreover, the desired residence/contact time in different pass-chambers can be optimized by choosing the numbers, lengths, and diameters of the membranes in each pass-chamber. The liquid and vapor phases coexist in the catalytic bed, constructed with enough voidage, for instance in the form of small bale-packings [19]. The catalytic bed in this manner, not only contributes to converting the reactants but also for the thermodynamic separation of species. Constructing the sequence of pass-chambers vertically and enabling the co-existence of gas and liquid phases inside the catalytic bed in the form of a distillation column, facilitates controlling the temperature and establishing the desired temperature profile along this integrated reactor. This introduces an extra distinguished feature for affecting the macro-scale operation of this system through the bulk separation of the products and unreacted reactants inside the catalytic bed via distillation and selective permeation through the membrane. These, for instance, result in the separation of the components with high-boiling temperature (e.g., water) and low-boiling temperature (e.g., DME), respectively, from the bottom and top of the catalytic bed inside the column. Carbon dioxide, water, and even methanol can be separated through the membrane and either converted on the other side of the membrane or taken out of the integrated reactor. These features are established in the form of a membrane-assisted reactive distillation system as shown in Figure 6a. The unreacted light-components such as hydrogen and CO could be easily separated from methanol in a partial condenser before being sent back as a reflux stream into the catalytic bed.
Figure 6.
(a) longitudinal three-dimensional structural representation of the multi-pass multi-tubular split-feed proposed membrane-assisted reactive distillation for CO2-hydrogenation to DME; (b) the assimilated process-concept representing a functional concept simulated in Aspen Plus [local and overall reactants H2/CO2 is controlled via distributing CO2 along the catalytic bed while steam/methanol products are removed from the bed].
The energy efficiency of such an integrated system could show an improvement over the energy efficiency of a sequence of separation and catalytic units [28] and even with the view of the energy density of the DME product [29]. The conceptual representation of the design and operation of these alternative systems are shown schematically in Figure 6.
The CO2-concentration inside the catalytic bed of this integrated reactor is effectively kept low, which favors the selective hydrogenation and enables establishing a sharp concentration profile across the membrane and thereby higher CO2-permeation. Depending on the flow rate of the H2-rich stream, the CO2 mole fraction can be even lower than 10% on average at the shell cross-section, which is equivalent to a H2/CO2 ratio of 9 or higher. The operating conditions inside the catalytic bed are designed, for instance, the temperature profile in the range 200–260 °C along the reactor from top to bottom, to get as close as possible to the optimal operation needed for the hybrid catalytic system. The overall H2/CO2 ratio is also controlled by a split-feed mechanism, through which not only the gradual declining H2/CO2 ratio in the upward bulk-flow stream before entering the next pass-chamber is compensated to be set higher, but also the temperature and the flow rate at each section can be tuned. The latter one along with defining the number and length of the membranes and cross-sectional areas of the catalytic section determines the effective GHSV and indirectly the amount of CO2 to be converted in that section. The hybrid catalyst has been tested in the GSHV range of 200–400 h−1. Mixing the product stream from the previous section with the relatively cold fresh feed portion (Feed 2 and Feed 3 in Figure 5) compensates for the declining effective reactants H2/CO2 ratio; overall the residence time increases without significantly increasing the risk of undesired non-selective reactions. In fact, at the top section of the reactive distillation column, the improved selectivity of methanol production due to lower operating temperature can up to some extent compensate for the decline in selectivity due to the lower effective H2/CO2 ration there, as explained in Section 2.1.2. In this configuration, light species and, in particular, hydrogen tend to rise to the top, where the selectivity by introducing fresh H2-rich feed effective H2/CO2 ratio can be improved adjacent to the CO2-rich stream inside the membranes. The temperature on the top (e.g., 200 °C) is lower than at the bottom (e.g., 260 °C), and therefore, the selective conversion is favored there. The combination of two factors, namely the intensely generated water and the low temperature on the top section enables reducing hydrogen permeation-loss. DME is volatile and tends to rise up from the top and escape the reaction chamber as soon as it is generated. Methanol is a heavier (relatively less volatile) component and tends to join the reflux ratio on the top and fall-down to the bottom, where it gets evaporated and converted to DME under higher temperatures over the hybrid catalyst. Water is continually removed through the membrane. The removal of water through the membrane is particularly beneficial in shifting the CO2-conversion equilibrium towards more methanol and DME production.
In this manner, the unreacted reactants and the products will be also separated along the bed. The water-rich stream leaves the bottom of the column from the permeate side and is reboiled to evaporate its methanol content and get it back into the catalytic bed. The DME-rich stream leaves the top of the column from the retentate side.
In a similar configuration (as shown in Figure A1) designed for methanol dehydration to DME, the unreacted reactants and light components are separated in a partial condenser at the top of a reactive distillation column. The generated methanol, water and DME are separated along the column via a distillation mechanism enabling the establishment of their descending or ascending concertation profiles. Water is removed from the bottom of the column while the methanol-rich stream is feed-split into the catalytic bed and converted to DME and water has been previously demonstrated to be efficiently feasible [19]. In the proposed membrane-assisted reactive distillation in this research, additional advantages through the contribution of membrane and separation of components through membranes as well as integrating the CO2-hydrogenation and methanol-dehydration over hybrid catalytic structure, have been secured. For instance, in the partial condenser, the separated gases can be boosted and sent back to the feed gas stream to be further processed. In this manner, a high level of process intensification and significant energy efficiency could be secured, which is essential for such technologies [30]. Figure 6a depicts the configuration and operating concept of the proposed membrane-assisted reactive distillation.
The direct impacts of the micro and macro-scale mechanisms on the equilibrium-limited conversion of CO2 inside the hybrid catalyst structure as well as in the vicinity of the membrane and along the multi-pass integrated reactors were analyzed. Now, their indirect impacts on the catalytic performance being felt via altering the thermal behavior of the system are reviewed to complete the analysis. The interactive impact of temperature and other parameters is particularly investigated in this regard. For instance, the high temperature of 260 °C and the highest-water concentration in the bottom of the membrane-assisted reactive distillation column affect the selective-permeation efficiency across the membrane differently. In this manner, the relatively smaller CO2-permeation due to the highest operating temperature (e.g., 260 °C) can be expected, although the CO2-adsorption diffusion in the presence of the highest water content in that section could be intensified. It should be also taken into account that water can escape the membrane pores in such a high-temperature range (e.g., 260 °C) and thereby its facilitating impact on selective CO2-permeation can be neutralized. On the top of this integrated reactor primarily, the relatively smaller methanol-content (e.g., less than 5%) is dehydrated to DME. Nevertheless, the intensity of reactions is distributed along the catalytic bed not only through the direct impact of temperature on the reaction rate and its indirect effect on the local membrane permeation but also through bulk-distributing the reactants along the bed.
Following is the review and summary of the background design concepts for the proposed integrated reactors: (a) distribution of reactant through membranes along the catalytic bed improves the local selective reaction (micro-scale), (b) cross-sectionally distribution of feed across the multi-tubular catalytic beds improves the thermal control of the system, and (c) sequentially splitting of feed along the multi-pass reaction chambers improves the thermal-reaction performance of the reactor (macro-scale). Another macro-scale engineering design parameter, GHSV can be also efficiently controlled close to its desired values from the reaction-kinetic point, along the reactor by designing the tube diameters in each tube-pass. In this manner, using smaller-diameter tubes in the later stages, results in decreasing the residence time needed to secure the selective catalytic conversion. Overall, tuning the micro and macro-scale reaction intensity along and across the reactor in such reactor configuration enables establishing the desired temperature profile and securing a high-selectivity while converting enough limiting reactant and securing the yield of the desired product.
Figure 6b represents a classic process flowsheet for the same application under 10 bar pressure simulated in Aspen Plus, in which separate reactions (in the range > 200 °C) and separation units (in the range > 200 °C) have been utilized for the production of DME (4.5–6.5 kg·h−1) with 99.3% purity. The reactor is filled with the hybrid catalyst (3.5 kg) under the reaction conditions identified in Section 2.1 and its performance has been simulated using the kinetic model reported by Iliuta et al. [25]. The simulation specifications of this flowsheet along with the specifications and the simulated performance of distillation columns used for separation of light components, DME and methanol (as shown in Figure 6b) have been reported in Appendix A. The performance of the reactive distillation has been also simulated using the RATEFRAC module in Aspen Plus under comparable conditions.
Simulating the performance of reactive distillation containing a hybrid catalyst for CO2-hydrogenation to DME showed that the energy consumption and DME production, in this case, have been improved compared to the conventional indirect DME production method involving a sequence of reactor and distillation units. In this manner, a 13% higher DME production rate could be secured.
The potential for process intensification using such integrated reactors can be highlighted by the number of unit operations that can be spared depending on the design and operation of the process. For instance, a mixture of methanol and DME can be taken to a partial condenser on the top of the integrated reactor, where non-condensable gases can be separated to be recycled back to the bottom of the reactor in the shell side, while methanol can be condensed and recycled back to the top of this membrane-assisted reactive distillation column as a reflux stream. Detailed information supporting these findings is available through the model-based analysis of the integrated process for CO2-hydrogenation reported in Appendix A and elsewhere [28].
The design-operating concept of such integrated reactors can boost the separation and catalytic performance as well as the energy efficiency of CO2-separation and conversion from different perspectives. From one perspective, high-energy efficiency, high temperature, and high-pressure in-situ CO2 separation are materialized [16]. From another perspective, the exothermic nature of the catalytic hydrogenation also conceptually matches this design [8] and all together significantly reduces the required operating and capital costs of this process and improves the potential of such CO2-hydrogenation reactor to be integrated with the upstream processes to process their generated CO2 emission.
After reviewing the conformity of the design with the conceptual requirements of this application and performing the conceptual design and feasibility study, some practical aspects regarding the tailoring and fabrication of such integrated structures are also analyzed in the next section.
2.3.3. Practical Aspects in Fabricating and Operating the Integrated Systems in Large-Scale
In this section, the main practically relevant concerns for implementing these integrated reactors in industrial-scale operations are addressed.
The catalytic material in this research (CuO-ZnO/ZSM5) was chosen also with regard to its stability at high temperatures, and for its resilience under high water content, as discussed by Álvarez et al. [5]. The stability of CuO-ZnO catalyst synthesized through different methods has been extensively studied, even after being exposed to oxygen, showing a fast and complete recovery of activity [7]. Further details along with the specifications of the catalytic tests conducted at bench-scale fixed bed reactors can be found elsewhere [6,7].
On the catalyst scale, 3D-printed thermally-conductive catalytic structures could be preferably used to address the exothermicity of this catalytic system and thermal engineering its impact in these integrated reactors, in particular, in the membrane-assisted reactive distillation. For instance, the feasibility and efficiency of fabricating and utilizing 3D-printed hybrid catalysts for this application via micro-extrusion of the catalytic material paste through robocasting procedure have been demonstrated [31]. This enables establishing a tailored structure, which could provide the desired structural characteristics in macro-scale (e.g., surface and geometry) and micro-scale (e.g., porosity) affecting the heat and mass transfer efficiency; 3D-printed Titanium or Zirconium could be used to prepare the catalytic support for this application after being processed, for instance using the Plasma-Electrolytic-Oxidation technique [32]. This can improve the energy efficiency as well as the thermal-reaction controllability of the system.
On the membrane scale, the CMSM used in this research has 0.5 to 0.8 nm pores representing the adsorption diffusion mechanism. Water, hydrogen, carbon dioxide, carbon monoxide, methanol and DME, respectively, show the smallest to largest molecular sieving size components. Since water is the smallest and the most polar molecule in this system, it is selectively adsorbed on the hydrophilic groups on the surface of the pores and affects the permeation of other species. Competitive permeation study through membrane reactor for this system has been studied, with a focus on the impact of water removal [17,33,34]. Considering the range of reaction temperature in this application, in order to find a balance between the interactive impacts of water and carbon dioxide in the pores and their permeations, the pore size and the pore distribution of CMSM were tuned. In doing so, different sets of carbonization parameters, including carbonization temperature, environment and soaking time, can be applied. Modifying the surface characteristics of the membrane (e.g., via immobilizing it with functional groups) and balancing the partial pressure of the components in the permeate and retentate side of the membrane enabled establishing the desired level of CO2 and water permeation as well as preventing the diffusion transfer of other gaseous species in line with the designed operating concept of this integrated membrane reactor. In fact, the membranes with specifically tailored structural-chemical characteristics required for each chamber-pass could be synthesized and utilized in this integrated system. Details of the synthesis of the membrane as well as a systematic permeation study for such a system and an experimental separation performance study are available elsewhere [16].
Feed-splitting enables increasing the effective reactants (H2/CO2) ratio and thereby the overall methanol and DME selectivity and yield. Such a multi-tubular multi-pass reactor with feed-splitting can be also designed and operated for even impermeable tubes, where the temperature inside the tubes is controlled using a proper media in the shell side.
Regarding the stability and life-time of the membrane material, CMSMs are known to be mechanically and chemically stable under operational pressures and temperatures of up to 150 bar and 500 °C, except in environments containing oxygen. Therefore, the potential of the membrane being exposed to oxygen also needs to be considered in the design phase of such an integrated reactor, which can eventually cause an unstable separation performance. Apart from this, the lifetime of the CMSMs for packed bad membrane reactor applications, where no significant attrition is expected, could be in the scale of years. The relatively easier fabrication and sealing with higher reproducibility, homogenous permeation profile (defect-free), higher chemical and swelling resistances as well as thermal-mechanical resistances of CMSMs under high temperature and pressure disturbances can address the serious challenges of current membrane technologies for being implemented in an industrial-scale plant for this application. In case the membrane has the characteristics that a significant amount of methanol can pass through it, a methanol-dehydration catalyst can be placed on the other side of the membrane to quickly convert it to DME.
Similar to many other integrated systems, the best catalytic and separation performance, which could be achieved in the configuration composed of a sequence of catalytic and separation units, might not be attainable using the investigated integrated systems in this research. In a reactive distillation, the operating windows for reaction and separation must overlap [35], posing a significant design challenge. Integrating membranes into an RD column can further constrict this operational window, potentially leading to less-than-ideal conditions for one or more of the components. Such constraints could cause issues like challenging separations, decelerated reaction rates, or underwhelming membrane performance if overlooked during the design phase. A system operating within such a narrow window inherently possesses less flexibility than a setup that involves multiple units. However, the advantages of such an integrated system manifested in the form of improved selective catalytic conversion compared to the sequence of unit operations indicated significant potential for the applied integration. In addition, a significant level of process intensification with positive implications on the overall operating and capital costs could be expected using these integrated systems [28].
3. Conclusions
This research offers a comprehensive multi-scale approach to track and tailor the impacts of the nano-/micro-/macro-scales phenomena on the performance of novel membrane-assisted catalytic reactors for converting carbon dioxide to DME. Specifically, the performance of a membrane reactor and a membrane-assisted reactive distillation were analyzed. In-situ removal of carbon dioxide and water along the catalytic bed was demonstrated to be capable of improving the thermal-reaction performance as well as the energy efficiency of the whole integrated process.
The tailored hybrid catalyst enables efficient shifting of the equilibrium-limitation of the consecutive catalytic hydrogenation and dehydration reactions by establishing the right intensity and dynamic of activation and conversion of CO2 to methanol and dehydrating it to DME over the surface of the catalyst. Establishing an efficient hybrid catalyst, in which the active catalytic materials are accessible and homogeneously distributed, is crucial.
In the scale of the reactor and to secure a selective reactor performance, the local ratio of the reactants and the reaction intensity across the catalytic bed and along the reactor were fine-tuned. Moreover, as a distinguished potential of using CMSM for this application, it was demonstrated that CO2 and H2O not only do not compete to permeate through CMSM but also CO2 permeation is facilitated in the presence of water. The high flux of selective CO2 permeation, beyond the Robeson upper bound, was obtained using the synthesized membrane. The desired and undesired impacts of water condensation, respectively, in the membrane for facilitating CO2-permeation and in the catalyst to minimize the reaction-hindering effect due to water condensation in the microporous zeolite, could be synchronized in the design of such a macro-scale integrated reactor.
In addition, the conceptual and detailed design of these integrated reactors addresses the need for securing the desired residence time and temperature profile at each catalytic section as well as ensuring the practicality of the construction in terms of feeding, sealing, etc. Ensuring the fast conversion of methanol to DME and removal of water improved the CO2-conversion and selective DME production by shifting the reaction equilibrium, at the micro and meso-scales.
In the macro-scale process intensification, lowering the capital and operating costs via heat integration and loss-prevention as well as the high capability of being integrated with the upstream process to reduce the overall CO2 emission were demonstrated to be feasible using the developed integrated system as a result of this research.
Concurrent analysis and design of different aspects of the membrane-assisted reactive distillation could address a) shifting the equilibrium limited CO2-conversion at the scale of catalyst, reactor and the intensified process, b) improve the selectivity via tuning the distributed intensity of reactions and local and overall ration of the reactants across the catalytic structure, c) being able to separate and handle the components, including the reactants, main and side products such as water and carbon monoxide. These features identify the proposed design as a promising and fine-tailored one.
Author Contributions
H.R.G.: conceptualization, methodology, investigation, visualization, formal analysis, data curation, validation, project administration, supervision, writing—original draft, review and final editing. A.R.: methodology, investigation, visualization, formal analysis, validation, supervision, data curation, project administration, writing and editing. S.S.H.: analysis, review and editing. I.B.: analysis, review and editing. F.G.: supervision, project administration, resources, project administration, review. All authors have read and agreed to the published version of the manuscript.
Funding
This research received no external funding.
Data Availability Statement
Extra data are available in the cited publications and theses.
Acknowledgments
The supporting data from the students, whose master theses have been cited in this paper are acknowledged.
Conflicts of Interest
The authors declare no conflict of interest.
Nomenclature
| Abbreviation | Expression | |
| BET | Brunauer–Emmett–Teller (a model for measuring the specific surface area) | |
| CI | Co-Impregnated Catalyst | |
| CP | Co-Precipitated Catalyst | |
| CZZ | CuO-ZnO/ZSM5 electrospun fibers | |
| DI | Di-Ionized (water) | |
| DME | DiMethyl Ether (Methoxymethane) | |
| EDS | Energy-Dispersive X-ray Spectroscopy | |
| GC | Gas Chromatography | |
| ICP-AES | Inductively Coupled Plasma Atomic Emission Spectroscopy | |
| MeOH | Methanol (CH3OH) | |
| PBMR | Packed Bed Membrane Reactor | |
| SEM | Scanning Electron Microscope | |
| SP | Sequential Precipitated Catalyst | |
| TPAOH | Tetra Propyl Ammonium Hydroxide | |
| TPD | Temperature Programmed Desorption | |
| XRD | X-ray Diffraction | |
| XPS | X-ray photoelectron spectroscopy | |
| Symbol | Description | Unit |
| GHSV | Gas Hourly Space Velocity (under reaction conditions) | h−1 |
| Mw | Molecular weight | g.mol−1 |
| P | Pressure | bar |
| Q | Total flow rate | NmL.min−1 |
| S | Selectivity | % |
| T | Temperature | °C |
| X | CO2 conversion | % |
| X | Mole fraction | - |
| Y | Yield | % |
Appendix A
Appendix A.1. DME Production via Methanol Dehydration in a Reactive Distillation System [19]
Schematic representation of reactive distillation column for methanol dehydration to DME is depicted in Figure A1.
Figure A1.
Configuration and different structural features of reactive distillation for methanol dehydration to DME adopted from reference [19]. 1 and 2: Branching the methanol-rich feed to different catalytic chambers in the reactive distillation column. 3: Purged light components. 4: Cooled gas-liquid stream before ultimately separated. 5: Gas stream leaving the column before being cold and separate. 6: Reflux stream primarily containing DME. 7: Catalytic chambers in the reactive distillation column. 8: Bottom liquid stream mostly contains water, while its methanol content is reboiled and recycled back to the reactor-column. 9: Product stream primarily containing DME, which can also contain methanol to be separated later and sent back to the reactor. 10: Wall of the reactive distillation column. 11: Separator acting as a final stage of a partial condenser to separate the products from non-condensable light components. 12: Open steam or recycled vapor stream from reboiler to provide the uprising gas flow and establish the desired temperature and concentration profile along the column. 13: Condenser to cool down the products and separate them from the rest of components.
Figure A1.
Configuration and different structural features of reactive distillation for methanol dehydration to DME adopted from reference [19]. 1 and 2: Branching the methanol-rich feed to different catalytic chambers in the reactive distillation column. 3: Purged light components. 4: Cooled gas-liquid stream before ultimately separated. 5: Gas stream leaving the column before being cold and separate. 6: Reflux stream primarily containing DME. 7: Catalytic chambers in the reactive distillation column. 8: Bottom liquid stream mostly contains water, while its methanol content is reboiled and recycled back to the reactor-column. 9: Product stream primarily containing DME, which can also contain methanol to be separated later and sent back to the reactor. 10: Wall of the reactive distillation column. 11: Separator acting as a final stage of a partial condenser to separate the products from non-condensable light components. 12: Open steam or recycled vapor stream from reboiler to provide the uprising gas flow and establish the desired temperature and concentration profile along the column. 13: Condenser to cool down the products and separate them from the rest of components.

Appendix A.2. Simulated Performance of DME Production via Hybrid CO2-Hydrogenation and Methanol Dehydration in an Integrated Reactive Distillation System [28]
The flowsheet representation of the reference process, which entails a sequence of unit operations for this application, is depicted in Figure A2. This process involves a reactor followed by three distillation columns designated for product separation and purification. Process intensification through reactive distillation could substantially reduce both CAPEX and OPEX. One of the key benefits of this configuration is its simplistic design coupled with operational flexibility, given that each unit can function independently.
Figure A2.
Flowsheet of the reference process simulated in Aspen [28], where the operating temperature and pressure of each stream have been also indicated, starting from feed stream provided at 250 °C and 20 bar.
Figure A2.
Flowsheet of the reference process simulated in Aspen [28], where the operating temperature and pressure of each stream have been also indicated, starting from feed stream provided at 250 °C and 20 bar.

Reviewing the configurations and the performance of the reference process (Figure A2), and the potentials of the reactor distillation for methanol dehydration (Figure A1), and comparing them with the characteristics of the membrane-assisted reactor distillation investigated in this research, highlights the potential improvements of the latter one. These include the potential for process intensification and reducing the number and cost of involved units as well as around 30% improved efficiency in terms of needed energy for the production of mass unit of DME.
References
- IEA. Carbon Capture, Utilisation and Storage; License: CC BY 4.0; IEA: Paris, France, 2022; Available online: https://www.iea.org/reports/carbon-capture-utilisation-and-storage-2 (accessed on 1 August 2023).
- Dziejarski, B.; Krzyżyńska, R.; Andersson, K. Current status of carbon capture, utilization, and storage technologies in the global economy: A survey of technical assessment. Fuel 2023, 342, 127776. [Google Scholar] [CrossRef]
- IEA. CO2 Emissions in 2022; License: CC BY 4.0; IEA: Paris, France, 2023; Available online: https://www.iea.org/reports/co2-emissions-in-2022 (accessed on 1 August 2023).
- Alternative Fuels Data Center. Dimethyl Ether. Available online: https://afdc.energy.gov/fuels/emerging_dme.html (accessed on 11 July 2023).
- Álvarez, A.; Bansode, A.; Urakawa, A.; Bavykina, A.V.; Wezendonk, T.A.; Makkee, M.; Gascon, J.; Kapteijn, F. Challenges in the Greener Production of Formates/Formic Acid, 817 Methanol, and DME by Heterogeneously Catalyzed CO2 Hydrogenation Processes. Chem. Rev. 2017, 117, 9804–9838. [Google Scholar] [CrossRef] [PubMed]
- Godini, H.R.; Kumar, S.R.; Tadikamalla, N.; Gallucci, F. Performance analysis of hybrid catalytic conversion of CO2 to DiMethyl ether. Int. J. Hydrogen Energy 2021, 47, 11341–11358. [Google Scholar] [CrossRef]
- Godini, H.R.; Khadivi, M.; Azadi, M.; Görke, O.; Jazayeri, S.M.; Thum, L.; Schomäcker, R.; Wozny, G.; Repke, J.-U. Multi-Scale Analysis of Integrated C1 (CH4 and CO2) Utilization Catalytic Processes: Impacts of Catalysts Characteristics up to Industrial-Scale Process Flowsheeting, Part I: Experimental Analysis of Catalytic Low-Pressure CO2 to Methanol Conversion. Catalysts 2010, 10, 505. [Google Scholar] [CrossRef]
- Salehi, M.-S.; Askarishahi, M.; Gallucci, F.; Godini, H.R. Selective CO2-Hydrogenation using a membrane reactor. Chem. Eng. Process.-Process. Intensif. 2020, 160, 108264. [Google Scholar] [CrossRef]
- Roy, D.; Mandal, S.C.; Pathak, B. Machine Learning-Driven High-Throughput Screening of Alloy-Based Catalysts for Selective CO2 Hydrogenation to Methanol. ACS Appl. Mater. Interfaces 2021, 13, 56151–56163. [Google Scholar] [CrossRef]
- Ren, M.; Zhang, Y.; Wang, X.; Qiu, H. Catalytic Hydrogenation of CO2 to Methanol: A Review. Catalysts 2022, 12, 403. [Google Scholar] [CrossRef]
- Dang, S.; Yang, H.; Gao, P.; Wang, H.; Li, X.; Wei, W.; Sun, Y. A review of research progress on heterogeneous catalysts for methanol synthesis from carbon dioxide hydrogenation. Catal. Today 2019, 330, 61–75. [Google Scholar] [CrossRef]
- Bateni, H.; Able, C. Development of Heterogeneous Catalysts for Dehydration of Methanol to Dimethyl Ether: A Review. Catal. Ind. 2019, 11, 7–33. [Google Scholar] [CrossRef]
- Liu, C.; Liu, Z. Perspectiveon CO2 Hydrogenation for Dimethyl Ether Economy. Catalysts 2022, 12, 1375. [Google Scholar] [CrossRef]
- Ul-Islam, S. Integrating Green Chemistry and Sustainable Engineering; John Wiley & Sons: Hoboken, NJ, USA, 2019; ISBN 978-1-119-50983-7. [Google Scholar]
- Ateka, A.; Pérez-Uriarte, P.; Gamero, M.; Ereña, J.; Aguayo, A.T.; Bilbao, J. A comparative thermodynamic study on the CO2 conversion in the synthesis of methanol and of DME. Energy 2017, 120, 796–804. [Google Scholar] [CrossRef]
- Rahimalimamaghani, A.; Godini, H.R.; Mboussi, M.; Tanaka, A.P.; Tenco, M.L.; Gallucci, F. Tailored Carbon Molecular Sieve Membranes for Selective CO2 Separation at Elevated Temperatures and Pressures. J. CO2 Util. 2023, 68, 102378. [Google Scholar] [CrossRef]
- Poto, S.; Aguirre, A.; Huigh, F.; Llosa-Tanco, M.A.; Pacheco-Tanaka, D.A.; Gallucci, F.; D’angelo, M.F.N. Carbon molecular sieve membranes for water separation in CO2 hydrogenation reactions: Effect of the carbonization temperature. J. Membr. Sci. 2023, 677, 121613. [Google Scholar] [CrossRef]
- Diban, N.; Urtiaga, A.M.; Ortiz, I.; Ereña, J.; Bilbao, J.; Aguayo, A.T. Influence of the membrane properties on the catalytic production of dimethyl ether with in situ water removal for the successful capture of CO2. Chem. Eng. J. 2013, 234, 140–148. [Google Scholar] [CrossRef]
- US20090048468 & EP2022774; Method for the Production of Dimethyl Ether. European Patent Organisation: Munich, Germany, 2009.
- Francesco, F.; Giuseppe, B.; Catia, C.; Serena, T.; Alessandro, C. Membrane-assisted reactor for the direct conversion of CO2 to DME/MeOH. J. Civ. Eng. Environ. Sci. 2022, 8, 068–070. [Google Scholar] [CrossRef]
- Kumar, S.R. Experimental and Model-Based Analysis of Catalytic CO2-Hydrogenation to Dimethyl Ether. Master’s Thesis, TU Eindhoven, Eindhoven, The Netherlands, 2020. [Google Scholar]
- Tadikamala, N. Experimental Analysis of Carbon Dioxide Hydrogenation to Methanol and Dimethyl Ether (DME). Master’s Thesis, TU Eindhoven, Eindhoven, The Netherlands, 2020. [Google Scholar]
- Tanco, M.A.L.; Tanaka, D.A.P.; Rodrigues, S.C.; Texeira, M.; Mendes, A. Composite-alumina-carbon molecular sieve membranes prepared from novolac resin and boehmite. Part I: Preparation, characterization and gas permeation studies. Int. J. Hydrogen Energy 2015, 40, 5653–5663. [Google Scholar] [CrossRef]
- Tanco, M.A.L.; Tanaka, D.A.P.; Texeira, M.; Mendes, A. Composite-alumina-carbon molecular sieve membranes prepared from novolac resin and boehmite. Part II: Effect of the carbonization temperature on the gas permeation properties. Int. J. Hydrogen Energy 2015, 40, 3485–3496. [Google Scholar] [CrossRef]
- Iliuta, I.; Larachi, F.; Fongarland, P. Dimethyl Ether Synthesis with in situ H2O Removal in Fixed-Bed Membrane Reactor: Model and Simulations. Ind. Eng. Chem. Res. 2010, 49, 6870–6877. [Google Scholar] [CrossRef]
- Available online: https://c2fuel-project.eu (accessed on 1 August 2023).
- Rodriguez-Vega, P.; Ateka, A.; Kumakiri, I.; Vicente, H.; Ereña, J.; Aguayo, A.T.; Bilbao, J. Experimental implementation of a catalytic membrane reactor for the direct synthesis of DME from H2+CO/CO2. Chem. Eng. Sci. 2021, 234, 116396. [Google Scholar] [CrossRef]
- Ayyappan, L. Reactor Integration and Process Intensification for Low-Pressure CO2 DME System. Master’s Thesis, TU Eindhoven, Eindhoven, The Netherlands, 2020. [Google Scholar]
- Hänggi, S.; Elbert, P.; Bütler, T.; Cabalzar, U.; Teske, S.; Bach, C.; Onder, C. A review of synthetic fuels for passenger vehicles. Energy Rep. 2019, 5, 555–569. [Google Scholar] [CrossRef]
- Cholewa, T.; Semmel, M.; Mantei, F.; Güttel, R.; Salem, O. Process Intensification Strategies for Power-to-X Technologies. ChemEngineering 2022, 6, 13. [Google Scholar] [CrossRef]
- Bonura, G.; Todaro, S.; Middelkoop, V.; de Vos, Y.; Abbenhuis, H.; Gerritsen, G.; Koekkoek, A.; Cannilla, C.; Frusteri, F. Effectiveness of the 3D-printing procedure in the synthesis of hybrid catalysts for the direct hydrogenation of CO2 into dimethyl ether. J. CO2 Util. 2023, 70, 102458. [Google Scholar] [CrossRef]
- Godini, H.R.; Prahlad, A.V.; Middelkoop, V.; Görke, O.; Li, S.; Gallucci, F. Electrochemical Surface Treatment for Tailored Porous Structures. Processes 2023, 11, 1260. [Google Scholar] [CrossRef]
- Rohde, M.P. In-Situ H2O Removal via Hydrophilic Membranes during Fischer-Tropsch and other Fuel-Related Synthesis Reactions; Karlsruhe Institute of Technology, Faculty of Chemical and Process Engineering: Karlsruhe, Germany, 2010. [Google Scholar]
- Li, Z.; Deng, Y.; Dewangan, N.; Hu, J.; Wang, Z.; Tan, X.; Liu, S.; Kawi, S. High Temperature Water Permeable Membrane Reactors for CO2 Utilization. Chem. Eng. J. 2021, 420, 129834. [Google Scholar] [CrossRef]
- Kiss, A.A.; Jobson, M.; Gao, X. Reactive Distillation: Stepping Up to the Next Level of Process Intensification. Ind. Eng. Chem. Res. 2019, 58, 5909–5918. [Google Scholar] [CrossRef]
Disclaimer/Publisher’s Note: The statements, opinions and data contained in all publications are solely those of the individual author(s) and contributor(s) and not of MDPI and/or the editor(s). MDPI and/or the editor(s) disclaim responsibility for any injury to people or property resulting from any ideas, methods, instructions or products referred to in the content. |
© 2023 by the authors. Licensee MDPI, Basel, Switzerland. This article is an open access article distributed under the terms and conditions of the Creative Commons Attribution (CC BY) license (https://creativecommons.org/licenses/by/4.0/).







