Comprehensive Overview of Homogeneous Gold-Catalyzed Transformations of π-Systems for Application Scientists
Abstract
1. Introduction
2. Gold-Catalyzed Reactions of Nucleophiles with π-Systems
2.1. General Description of Reactivity
2.2. Gold-Catalyzed Functionalization of Activated π-Systems with an Electron-Donating Group
2.2.1. Functionalization of Ynamides
General Reactivity Profile
Functionalization with Nitrogen Nucleophiles
Functionalization with Oxygen Nucleophiles
Functionalization with Carbon Nucleophiles
Intramolecular Hydride Shift of Keteniminium Intermediates
2.2.2. Functionalization of Ynol Derivatives
General Reactivity Profile
Functionalization with O-Based Nucleophiles
2.2.3. Functionalization of Allenamides and Allenyl Ethers
General Reactivity Profile
Functionalization with C-Based Nucleophiles

Functionalization with O- and N-Based Nucleophiles
2.3. Gold-Catalyzed Functionalization of Activated π-Systems with a Withdrawing Group
2.3.1. Activated π-Systems
2.3.2. Alkynyl Carbonyl Derivatives
General Reactivity Profile
Functionalization with C-Based Nucleophiles
Functionalization with O-Based Nucleophiles
Functionalization with N-Based Nucleophiles
2.3.3. Allenyl Carbonyl Derivatives
General Reactivity Profile
Functionalization with O-Based Nucleophiles
Functionalization with Other Nucleophiles
3. Gold(I)– and Gold(III)–π-System Complexes in Catalysis
3.1. Gold–Carbon Bond in Gold(I)– and Gold(III)–Carbene Complexes
3.2. Gold(I)– and Gold(III)–π-Alkene and –π-Alkyne Complexes
3.3. Divergent Catalysis for Gold(I) and Gold (III) Complexes in Reactions with π-Systems
4. Divergent Gold(I) Catalysis
4.1. Differences between the Electronic Structure of Gold and Other Metals
4.2. Gold(I) versus Other Metal Catalysts
4.2.1. Au versus Pt
4.2.2. Au versus Ag
4.2.3. Au versus Pd
4.2.4. Au versus Rh
4.2.5. Au versus Sc
4.2.6. Au versus Cu
4.3. The Effect of the Ligand in Gold(I) Catalyst Complex in Divergent Catalytic Paths
4.4. The Role of the Solvent and Counterions in Gold(I)-Catalyzed Reactions
4.4.1. General Description
4.4.2. Examples of Divergent Gold(I)-Catalyzed Paths
4.5. The Role of Additives in Gold(I)-Catalyzed Reactions
4.5.1. General Issues
4.5.2. Additives as Hydrogen Bond Acceptors
4.5.3. Additives as Gold(I) Catalyst Activators
4.5.4. Additives as Acidic Co-Catalysts
4.5.5. Additives as Hydrogen Bond Donors
5. Conclusions
Author Contributions
Funding
Data Availability Statement
Conflicts of Interest
References
- Mato, M.; Franchino, A.; García-Morales, C.; Echavarren, A.M. Gold-Catalyzed Synthesis of Small Rings. Chem. Rev. 2021, 121, 8613–8684. [Google Scholar] [CrossRef] [PubMed]
- Rocchigiani, L.; Bochmann, M. Recent Advances in Gold(III) Chemistry: Structure, Bonding, Reactivity, and Role in Homogeneous Catalysis. Chem. Rev. 2021, 121, 8364–8451. [Google Scholar] [CrossRef]
- Reyes, R.L.; Iwai, T.; Sawamura, M. Construction of Medium-Sized Rings by Gold Catalysis. Chem. Rev. 2021, 121, 8926–8947. [Google Scholar] [CrossRef]
- Campeau, D.; Leo, D.F.; Mansour, A.; Muratov, K.; Gagosz, F. Gold-Catalyzed Reactions of Specially Activated Alkynes, Allenes, and Alkenes. Chem. Rev. 2021, 121, 8756–8867. [Google Scholar] [CrossRef] [PubMed]
- Herrera, R.P.; Concepción Gimeno, M. Main Avenues in Gold Coordination Chemistry. Chem. Rev. 2021, 121, 8311–8363. [Google Scholar] [CrossRef] [PubMed]
- Raubenheimer, H.G.; Schmidbaur, H. The Late Start and Amazing Upswing in Gold Chemistry. J. Chem. Educ. 2014, 91, 2024–2036. [Google Scholar] [CrossRef]
- Gorin, D.; Toste, F. Relativistic Effects in Homogeneous Gold Catalysis. Nature 2007, 446, 395–403. [Google Scholar] [CrossRef] [PubMed]
- Desclaux, J.P. Relativistic Dirac–Fock Expectation Values for Atoms with Z = 1 to Z = 120. At. Data Nucl. Data Tables 1973, 12, 311–406. [Google Scholar] [CrossRef]
- Desclaux, J.P.; Pyykkö, P. Dirac–Fock One-Center Calculations—Molecules CuH, AgH and AuH Including P-Type Symmetry Functions. Chem. Phys. Lett. 1976, 39, 300–303. [Google Scholar] [CrossRef]
- Schwerdtfeger, P.; Hermann, H.L.; Schmidbaur, H. Stability of the Gold(I)–Phosphine Bond. A Comparison with Other Group 11 Elements. Inorg. Chem. 2003, 42, 1334–1342. [Google Scholar] [CrossRef]
- Schwerdtfeger, P.; Boyd, P.D.W.; Burrell, A.K.; Robinson, W.T.; Taylor, M.J. Relativistic Effects in Gold Chemistry. 3. Gold(I) Complexes. Inorg. Chem. 1990, 29, 3593–3607. [Google Scholar] [CrossRef]
- Pearson, R.G. Hard and Soft Acids and Bases. J. Am. Chem. Soc. 1963, 85, 3533–3539. [Google Scholar] [CrossRef]
- Pearson, R.G. Hard and Soft Acids and Bases, HSAB, Part 1: Fundamental Principles. J. Chem. Educ. 1968, 45, 581. [Google Scholar] [CrossRef]
- Nelson, D.J.; Nolan, S.P. Hydroxide Complexes of the Late Transition Metals: Organometallic Chemistry and Catalysis. Coord. Chem. Rev. 2017, 353, 278–294. [Google Scholar] [CrossRef]
- Jones, P.G.; Schelbach, R.; Schwarzmann, E. Hydroxy Complexes of Gold 2. Calcium Aurates [1]. Z. Naturforsch. 1987, 42, 522–524. [Google Scholar] [CrossRef]
- Einstein, F.W.B.; Rao, P.R.; Trotter, J.; Bartlett, N. The Crystal Structure of Gold Trifluoride. J. Chem. Soc. A Inorg. Phys. Theor. 1967, 478–482. [Google Scholar] [CrossRef]
- Réffy, B.; Kolonits, M.; Schulz, A.; Klapötke, T.M.; Hargittai, M. Intriguing Gold TrifluorideMolecular Structure of Monomers and Dimers: An Electron Diffraction and Quantum Chemical Study. J. Am. Chem. Soc. 2000, 122, 3127–3134. [Google Scholar] [CrossRef]
- Chintawar, C.C.; Yadav, A.K.; Kumar, A.; Sancheti, S.P.; Patil, N.T. Divergent Gold Catalysis: Unlocking Molecular Diversity through Catalyst Control. Chem. Rev. 2021, 121, 8478–8558. [Google Scholar] [CrossRef]
- Wang, T.; Hashmi, A.S.K. 1,2-Migrations onto Gold Carbene Centers. Chem. Rev. 2021, 121, 8948–8978. [Google Scholar] [CrossRef]
- Wang, Y.M.; Lackner, A.D.; Toste, F.D. Development of Catalysts and Ligands for Enantioselective Gold Catalysis. Acc. Chem. Res. 2014, 47, 889–901. [Google Scholar] [CrossRef]
- Zi, W.; Toste, D.F. Recent Advances in Enantioselective Gold Catalysis. Chem. Soc. Rev. 2016, 45, 4567–4589. [Google Scholar] [CrossRef]
- Hashmi, A.S.K. Dual Gold Catalysis. Acc. Chem. Res. 2014, 47, 864–876. [Google Scholar] [CrossRef] [PubMed]
- Hashmi, A.S.K. Gold-Catalyzed Organic Reactions. In Inventing Reactions. Topics in Organometallic Chemistry; Gooßen, L., Ed.; Springer: Berlin/Heidelberg, Germany, 2014; Volume 44. [Google Scholar]
- Hashmi, A.S.K. Homogeneous Catalysis by Gold. Gold Bull. 2004, 37, 51–65. [Google Scholar]
- Zheng, Z.; Ma, X.; Cheng, X.; Zhao, K.; Gutman, K.; Li, T.; Zhang, L. Homogeneous Gold-Catalyzed Oxidation Reactions. Chem. Rev. 2021, 121, 8979–9038. [Google Scholar] [CrossRef] [PubMed]
- Hendrich, C.M.; Sekine, K.; Koshikawa, T.; Tanaka, K.; Hashmi, A.S.K. Homogeneous and Heterogeneous Gold Catalysis for Materials Science. Chem. Rev. 2021, 121, 9113–9163. [Google Scholar] [CrossRef] [PubMed]
- Faza, O.N.; López, C.S. Computational Approaches to Homogeneous Gold Catalysis. In Homogeneous Gold Catalysis. Topics in Current Chemistry; Springer: Cham, Switzerland, 2014; Volume 357, pp. 213–285. [Google Scholar]
- Ye, L.-W.; Zhu, X.-Q.; Sahani, R.L.; Xu, Y.; Qian, P.-C.; Liu, R.-S. Nitrene Transfer and Carbene Transfer in Gold Catalysis. Chem. Rev. 2021, 121, 9039–9112. [Google Scholar] [CrossRef]
- Dorel, R.; Echavarren, A.M. Gold(I)-Catalyzed Activation of Alkynes for the Construction of Molecular Complexity. Chem. Rev. 2015, 115, 9028–9072. [Google Scholar] [CrossRef]
- Debrouwer, W.; Heugebaert, T.S.A.; Roman, B.I.; Stevens, C.V. Homogeneous Gold-Catalyzed Cyclization Reactions of Alkynes with N- and S-Nucleophiles. Adv. Synth. Catal. 2015, 357, 2975–3006. [Google Scholar] [CrossRef]
- Jiménez-Núñez, E.; Echavarren, A.M. Gold-Catalyzed Cycloisomerizations of Enynes: A Mechanistic Perspective. Chem. Rev. 2008, 108, 3326–3350. [Google Scholar] [CrossRef]
- Harris, R.J.; Widenhoefer, R.A. Gold Carbenes, Gold-Stabilized Carbocations, and Cationic Intermediates Relevant to Gold-Catalysed Enyne Cycloaddition. Chem. Soc. Rev. 2016, 45, 4533–4551. [Google Scholar] [CrossRef]
- Lein, M.; Rudolph, M.; Hashmi, S.K.; Schwerdtfeger, P. Homogeneous Gold Catalysis: Mechanism and Relativistic Effects of the Addition of Water to Propyne. Organometallics 2010, 29, 2206–2210. [Google Scholar] [CrossRef]
- Dorel, R.; Echavarren, A.M. Gold-Catalyzed Reactions via Cyclopropyl Gold Carbene-like Intermediates. J. Org. Chem. 2015, 80, 7321–7332. [Google Scholar] [CrossRef]
- López-Carrillo, V.; Huguet, N.; Mosquera, Á.; Echavarren, A.M. Nature of the Intermediates in Gold(I)-Catalyzed Cyclizations of 1,5-Enynes. Chem. –A Eur. J. 2011, 17, 10972–10978. [Google Scholar] [CrossRef] [PubMed]
- Seidel, G.; Fürstner, A. Structure of a Reactive Gold Carbenoid. Angew. Chem. Int. Ed. 2014, 53, 4807–4811. [Google Scholar] [CrossRef] [PubMed]
- Benitez, D.; Shapiro, N.D.; Tkatchouk, E.; Wang, Y.; Goddard, W.A.; Toste, F.D. A Bonding Model for Gold(I) Carbene Complexes. Nat. Chem. 2009, 1, 482–486. [Google Scholar] [CrossRef] [PubMed]
- Stephen, A.; Hashmi, K. Homogeneous Gold Catalysis beyond Assumptions and Proposals-Characterized Intermediates. Angew. Chem. Int. Ed. 2010, 49, 5232–5241. [Google Scholar]
- Zhou, A.-H.; He, Q.; Shu, C.; Yu, Y.-F.; Liu, S.; Zhao, T.; Zhang, W.; Lu, X.; Ye, L.-W. Atom-Economic Generation of Gold Carbenes: Gold-Catalyzed Formal [3 + 2] Cycloaddition Between Ynamides and Isoxazoles. Chem. Sci. 2015, 6, 1265–1271. [Google Scholar] [CrossRef]
- Jin, H.; Huang, L.; Xie, J.; Rudolph, M.; Rominger, F.; Hashmi, A.S.K. Gold-Catalyzed C-H Annulation of Anthranils with Alkynes: A Facile, Flexible, and Atom-Economical Synthesis of Unprotected 7-Acylindoles. Angew. Chem. Int. Ed. 2016, 55, 794–797. [Google Scholar] [CrossRef]
- Jeanbourquin, L.N.; Scopelliti, R.; Fadaei-Tirani, F.; Severin, K. Gold-Catalyzed Synthesis of 1,3-Diaminopyrazoles from 1-Alkynyltriazenes and Imines. Helv. Chim. Acta 2017, 100, e1700186. [Google Scholar] [CrossRef]
- Chen, Z.; Huang, J.; Wang, Z. Transition-Metal-Catalyzed Hydrosulfoximination and Oxidation Reaction for the Synthesis of Sulfoximine Derivatives. J. Org. Chem. 2016, 81, 9308–9314. [Google Scholar] [CrossRef]
- Stylianakis, I.; Litinas, I.; Nieto Faza, O.; Kolocouris, A.; Silva López, C. On the Mechanism of the Au(I)-Mediated Addition of Alkynes to Anthranils to Furnish 7-Acylindoles. J. Phys. Org. Chem. 2022, 35, e4333. [Google Scholar] [CrossRef]
- Stylianakis, I.; Litinas, I.; Kolocouris, A.; Silva, C. Formation and Intramolecular Capture of -Imino Gold Carbenoids in the Au(I)-Catalyzed [3 + 2] Reaction of Anthranils, 1,2,4-Oxadiazoles, and 4,5-Dihydro-1,2,4-Oxadiazoles with Ynamides. Catalysts 2022, 12, 915. [Google Scholar] [CrossRef]
- Davies, P.W.; Cremonesi, A.; Martin, N. Site-Specific Introduction of Gold-Carbenoids by Intermolecular Oxidation of Ynamides or Ynol Ethers. Chem. Commun. 2011, 47, 379–381. [Google Scholar] [CrossRef] [PubMed]
- Laroche, C.; Kerwin, S.M. Efficient, Regioselective Access to Bicyclic Imidazo[1,2-x]-Heterocycles via Gold- and Base-Promoted Cyclization of 1-Alkynylimidazoles. J. Org. Chem. 2009, 74, 9229–9232. [Google Scholar] [CrossRef]
- Kramer, S.; Madsen, J.L.H.; Rottländer, M.; Skrydstrup, T. Access to 2,5-Diamidopyrroles and 2,5-Diamidofurans by Au(I)-Catalyzed Double Hydroamination or Hydration of 1,3-Diynes. Org. Lett. 2010, 12, 2758–2761. [Google Scholar] [CrossRef]
- Karad, S.N.; Bhunia, S.; Liu, R.-S. Retention of Stereochemistry in Gold-Catalyzed Formal [4 + 3] Cycloaddition of Epoxides with Arenynamides. Angew. Chem. Int. Ed. 2012, 51, 8722–8726. [Google Scholar] [CrossRef]
- Baldwin, J.E. Rules for Ring Closure. J. Chem. Soc. Chem. Commun. 1976, 18, 734–736. [Google Scholar] [CrossRef]
- Liu, C.; Sun, Z.; Xie, F.; Liang, G.; Yang, L.; Li, Y.; Cheng, M.; Lin, B.; Liu, Y. Gold(I)-Catalyzed Pathway-Switchable Tandem Cycloisomerizations to Indolizino[8,7-b] Indole and Indolo[2,3-a] Quinolizine Derivatives. Chem. Commun. 2019, 55, 14418–14421. [Google Scholar] [CrossRef]
- Liu, J.; Chakraborty, P.; Zhang, H.; Zhong, L.; Wang, Z.-X.; Huang, X. Gold-Catalyzed Atom-Economic Synthesis of Sulfone-Containing Pyrrolo[2,1-a]Isoquinolines from Diynamides: Evidence for Consecutive Sulfonyl Migration. ACS Catal. 2019, 9, 2610–2617. [Google Scholar] [CrossRef]
- Zhao, Q.; Gagosz, F. Synthesis of Allenamides and Structurally Related Compounds by a Gold-Catalyzed Hydride Shift Process. Adv. Synth. Catal. 2017, 359, 3108–3113. [Google Scholar] [CrossRef]
- Zeiler, A.; Ziegler, M.J.; Rudolph, M.; Rominger, F.; Hashmi, A.S.K. Scope and Limitations of the Intermolecular Furan-Yne Cyclization. Adv. Synth. Catal. 2015, 357, 1507–1514. [Google Scholar] [CrossRef]
- Patil, M.D.; Liu, R.S. Direct Access to Benzofuro[2,3-b]Quinoline and 6H-Chromeno[3,4-b]Quinoline Cores Through Gold-Catalyzed Annulation of Anthranils with Arenoxyethynes and Aryl Propargyl Ethers. Org. Biomol. Chem. 2019, 17, 4452–4455. [Google Scholar] [CrossRef] [PubMed]
- Krause, N.; Winter, C. Gold-Catalyzed Nucleophilic Cyclization of Functionalized Allenes: A Powerful Access to Carboand Heterocycles. Chem. Rev. 2011, 111, 1994–2009. [Google Scholar] [CrossRef]
- Huang, X.; Zhang, L. AuCl-Catalyzed Synthesis of Benzyl-Protected Substituted Phenols: A Formal [3+3] Approach. Org. Lett. 2007, 9, 4627–4630. [Google Scholar] [CrossRef] [PubMed]
- Pirovano, V.; Decataldo, L.; Rossi, E.; Vicente, R. Gold-Catalyzed Synthesis of Tetrahydrocarbazole Derivatives through an Intermolecular Cycloaddition of Vinyl Indoles and N-Allenamides. Chem. Commun. 2013, 49, 3594–3596. [Google Scholar] [CrossRef]
- Hyland, C.J.T.; Hegedus, L.S. Gold-Catalyzed and NIodosuccinimide-Mediated Cyclization of γ-Substituted Allenamides. J. Org. Chem. 2006, 71, 8658–8660. [Google Scholar] [CrossRef] [PubMed]
- Kondoh, A.; Iino, A.; Ishikawa, S.; Aoki, T.; Terada, M. Efficient Synthesis of Polysubstituted Pyrroles Based on [3 + 2] Cycloaddition Strategy Utilizing [1,2]-Phospha-Brook Rearrangement under Brønsted Base Catalysis. Chem. –A Eur. J. 2018, 24, 15246–15253. [Google Scholar] [CrossRef]
- Alonso, J.M.; Muñoz, M.P. Platinum and Gold Catalysis: à la Carte Hydroamination of Terminal Activated Allenes with Azoles. Org. Lett. 2019, 21, 7639–7644. [Google Scholar] [CrossRef]
- Lee, Y.T.; Kang, Y.K.; Chung, Y.K. Au(I)-Catalyzed Cycloisomerization Reaction of Amide- or Ester-Tethered 1,6-Enynes to Bicyclo[3.2.0]Hept-6-En-2-Ones. J. Org. Chem. 2009, 74, 7922–7934. [Google Scholar] [CrossRef]
- Yeom, H.-S.; Koo, J.; Park, H.-S.; Wang, Y.; Liang, Y.; Yu, Z.-X.; Shin, S. Gold-Catalyzed Intermolecular Reactions of Propiolic Acids with Alkenes: [4 + 2] Annulation and Enyne Cross Metathesis. J. Am. Chem. Soc. 2012, 134, 208–211. [Google Scholar] [CrossRef]
- Luo, T.; Dai, M.; Zheng, S.-L.; Schreiber, S.L. Syntheses of α-Pyrones Using Gold-Catalyzed Coupling Reactions. Org. Lett. 2011, 13, 2834–2836. [Google Scholar] [CrossRef] [PubMed]
- Luo, T.; Schreiber, S.L. Gold(I)-Catalyzed Coupling Reactions for the Synthesis of Diverse Small Molecules Using the Build/Couple/Pair Strategy. J. Am. Chem. Soc. 2009, 131, 5667–5674. [Google Scholar] [CrossRef] [PubMed]
- Luo, T.; Schreiber, S.L. Complex α-Pyrones Synthesized by a Gold-Catalyzed Coupling Reaction. Angew. Chem. Int. Ed. 2007, 46, 8250–8253. [Google Scholar] [CrossRef]
- Peshkov, A.A.; Nechaev, A.A.; Pereshivko, O.P.; Goeman, J.L.; Van der Eycken, J.; Peshkov, V.A.; Van der Eycken, E.V. Gold and Silver-Catalyzed 7-Endo-Dig Cyclizations for the Synthesis of Oxazepines. Chem. –A Eur. J. 2015, 19, 4190–4197. [Google Scholar]
- Diéguez-Vázquez, A.; Tzschucke, C.C.; Crecente-Campo, J.; McGrath, S.; Ley, S.V. AuCl3-Catalyzed Hydroalkoxylation of Conjugated Alkynoates: Synthesis of Five- and Six-Membered Cyclic Acetals. Eur. J. Org. Chem. 2009, 2009, 1698–1706. [Google Scholar] [CrossRef]
- Cai, S.; Zeng, J.; Bai, Y.; Liu, X.-W. Access to Quinolines through Gold-Catalyzed Intermolecular Cycloaddition of 2-Aminoaryl Carbonyls and Internal Alkynes. J. Org. Chem. 2012, 77, 801–807. [Google Scholar] [CrossRef]
- Qian, D.; Zhang, J. Catalytic Oxidation/C−H Functionalization of N-Arylpropiolamides by Means of Gold Carbenoids: Concise Route to 3-Acyloxindoles. Chem. Commun. 2012, 48, 7082–7084. [Google Scholar] [CrossRef]
- Wang, S.; Chen, H.; Zhao, H.; Cao, H.; Li, Y.; Liu, Q. Gold-Catalyzed Multicomponent Reaction: Facile Strategy for the Synthesis of N-Substituted 1,4-Dihydropyridines by Using Activated Alkynes, Aldehydes, and Methanamine. Eur. J. Org. Chem. 2013, 2013, 7300–7304. [Google Scholar] [CrossRef]
- Hashmi, A.S.K.; Schwarz, L.; Choi, J.-H.; Frost, T.M. A New Gold-Catalyzed C−C Bond Formation. Angew. Chem. Int. Ed. 2000, 39, 2285–2288. [Google Scholar] [CrossRef]
- Fang, R.; Yang, L.; Wang, Y. A DFT Study on the Mechanism of Gold(III)-Catalyzed Synthesis of Highly Substituted Furansvia [3,3]-Sigmatropic Rearrangements and/or [1,2]-Acyloxy Migration Based on Propargyl Ketones. Org. Biomol. Chem. 2011, 9, 2760–2770. [Google Scholar] [CrossRef]
- Yang, L.; Fang, R.; Wang, Y. On the Mechanism of AuCl3-Catalyzed Synthesis of Highly Substituted Furans from 2-(1-Alkynyl)-2-Alken-1-Ones with Nucleophiles: A DFT Study. Comput. Theor. Chem. 2011, 965, 180–185. [Google Scholar] [CrossRef]
- Zhang, J.; Shen, W.; Li, L.; Li, M. Gold(I)-Catalyzed Cycloaddition of 1-(1-Alkynyl)Cyclopropyl Ketones with Nucleophiles to Yield Substituted Furans: A DFT Study. Organometallics 2009, 28, 3129–3139. [Google Scholar] [CrossRef]
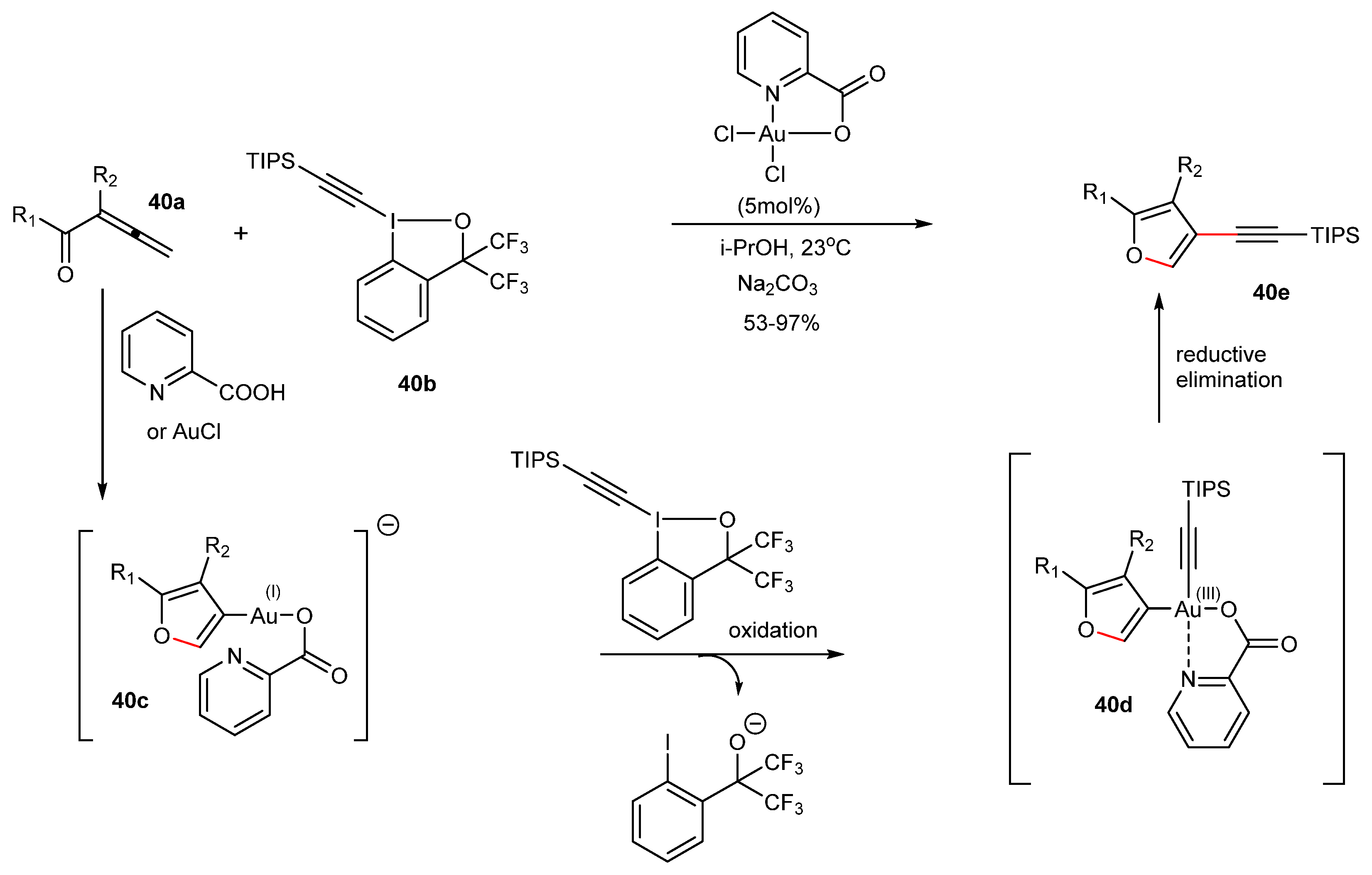
- Li, Y.; Brand, J.P.; Waser, J. Gold-Catalyzed Regioselective Synthesis of 2- and 3-Alkynyl Furans. Angew. Chem. Int. Ed. 2013, 52, 6743–6747. [Google Scholar] [CrossRef]
- Ghari, H.; Li, Y.; Roohzadeh, R.; Caramenti, P.; Waser, J.; Ariafard, A. Gold-Catalyzed Domino Cyclization-Alkynylation Reactions with EBX Reagents: New Insights into the Reaction Mechanism. Dalton Trans. 2017, 46, 12257–12262. [Google Scholar] [CrossRef] [PubMed]
- Liu, L.-P.; Xu, B.; Mashuta, M.S.; Hammond, G.B. Synthesis and Structural Characterization of Stable Organogold(I) Compounds. Evidence for the Mechanism of Gold-Catalyzed Cyclizations. J. Am. Chem. Soc. 2008, 130, 17642–17643. [Google Scholar] [CrossRef]
- Liu, L.-P.; Hammond, G.B. Reactions of Cationic Gold(I) with Allenoates: Synthesis of Stable Organogold(I) Complexes and Mechanistic Investigations on Gold-Catalyzed Cyclizations. Chem. –Asian J. 2009, 4, 1230–1236. [Google Scholar] [CrossRef]
- Hashmi, A.S.K.; Ramamurthi, T.D.; Todd, M.H.; Tsang, A.S.K.; Graf, K. Gold-Catalysis: Reactions of Organogold Compounds with Electrophiles. Aust. J. Chem. 2010, 63, 1619–1626. [Google Scholar] [CrossRef]
- Hashmi, A.S.K.; Molinari, L. Effective Transmetalation from Gold to Iron or Ruthenium. Organometallics 2011, 30, 3457–3460. [Google Scholar] [CrossRef]
- Hashmi, A.S.K.; Lothschutz, C.; Dopp, R.; Rudolph, M.; Ramamurthi, T.D.; Rominger, F. Gold and Palladium Combined for Cross-Coupling. Angew. Chem. Int. Ed. 2009, 48, 8243–8246. [Google Scholar] [CrossRef]
- Hashmi, A.S.K.; Dopp, R.; Lothschutz, C.; Rudolph, M.; Riedel, D.; Rominger, F. Scope and Limitations of Palladium-Catalyzed Cross-Coupling Reactions with Organogold Compounds. Adv. Synth. Catal. 2010, 352, 1307–1314. [Google Scholar] [CrossRef]
- Hashmi, A.S.K.; Lothschutz, C.; Döpp, R.; Ackermann, M.; De Buck Becker, J.; Rudolph, M.; Scholz, C.; Rominger, F. On Homogeneous Gold/Palladium Catalytic Systems. Adv. Synth. Catal. 2012, 354, 133–147. [Google Scholar] [CrossRef]
- Tap, A.; Blond, A.; Wakchaure, V.N.; List, B. Chiral Allenes via Alkynylogous Mukaiyama Aldol Reaction. Angew. Chem. Int. Ed. 2016, 55, 8962–8965. [Google Scholar] [CrossRef] [PubMed]
- Selig, P.; Turockin, A.; Raven, W. Guanidine-Catalyzed γ-Selective Morita−Baylis−Hillman Reactions on α,γ-Dialkyl-Allenoates: Access to Densely Substituted Heterocycles. Synlett 2013, 24, 2535–2539. [Google Scholar] [CrossRef]
- Lu, Z.; Han, J.; Hammond, G.B.; Xu, B. Revisiting the Influence of Silver in Cationic Gold Catalysis: A Practical Guide. Org. Lett. 2015, 17, 4534–4537. [Google Scholar] [CrossRef] [PubMed]
- Kondoh, A.; Ozawa, R.; Terada, M. Synthesis of Trisubstituted Allenamides Utilizing 1,2-Rearrangement of Dialkoxyphosphoryl Moiety under Brønsted Base Catalysis. Chem. Lett. 2019, 48, 1164–1167. [Google Scholar] [CrossRef]
- Liu, K.; Zhu, C.; Min, J.; Peng, S.; Xu, G.; Sun, J. Stereodivergent Synthesis of N-Heterocycles by Catalyst-Controlled, Activity-Directed Tandem Annulation of Diazo Compounds with Amino Alkynes. Angew. Chem. Int. Ed. 2015, 54, 12962–12967. [Google Scholar] [CrossRef]
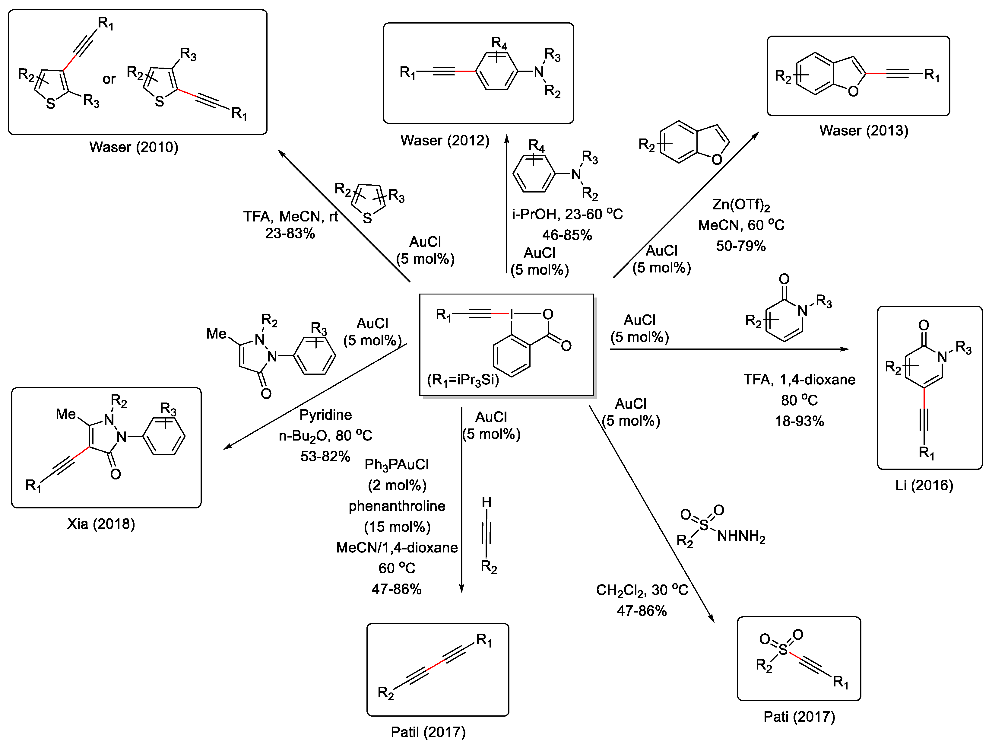
- Wodrich, M.D.; Caramenti, P.; Waser, J. Alkynylation of Thiols with Ethynylbenziodoxolone (EBX) Reagents: α- Or β-π-Addition? Org. Lett. 2016, 18, 60–63. [Google Scholar] [CrossRef]
- Frei, R.; Waser, J. A Highly Chemoselective and Practical Alkynylation of Thiols. J. Am. Chem. Soc. 2013, 135, 9620–9623. [Google Scholar] [CrossRef]
- Brand, J.P.; Waser, J. Direct Alkynylation of Thiophenes: Cooperative Activation of TIPS-EBX with Gold and Bronsted Acids. Angew. Chem. Int. Ed. 2010, 49, 7304–7307. [Google Scholar] [CrossRef]
- Brand, J.P.; Chevalley, C.; Scopelliti, R.; Waser, J. Ethynyl Benziodoxolones for the Direct Alkynylation of Heterocycles: Structural Requirement, Improved Procedure for Pyrroles, and Insights into the Mechanism. Chem. –A Eur. J. 2012, 18, 5655–5666. [Google Scholar] [CrossRef]
- Brand, J.P.; Waser, J. Para-Selective Gold-Catalyzed Direct Alkynylation of Anilines. Org. Lett. 2012, 14, 744–747. [Google Scholar] [CrossRef] [PubMed]
- Li, Y.; Waser, J. Zinc-Gold Cooperative Catalysis for the Direct Alkynylation of Benzofurans. Beilstein J. Org. Chem. 2013, 9, 1763–1767. [Google Scholar] [CrossRef]
- Li, Y.; Xie, F.; Li, X. Formal Gold- and Rhodium-Catalyzed Regiodivergent C-H Alkynylation of 2-Pyridones. J. Org. Chem. 2016, 81, 715–722. [Google Scholar] [CrossRef] [PubMed]
- Shinde, P.S.; Patil, N.T. Gold-Catalyzed Dehydrazinative C(Sp)-S Coupling Reactions of Arylsulfonyl Hydrazides with Ethynylbenziodoxolones for Accessing Alkynyl Sulfones. Eur. J. Org. Chem. 2017, 2017, 3512–3515. [Google Scholar] [CrossRef]
- Banerjee, S.; Patil, N.T. Exploiting the Dual Role of Ethynylbenziodoxolones in Gold-Catalyzed C(Sp)-C(Sp) Cross-Coupling Reactions. Chem. Commun. 2017, 53, 7937–7940. [Google Scholar] [CrossRef]
- Wang, X.; Li, X.; Zhang, Y.; Xia, L. Gold(I)- and Rhodium(III)-Catalyzed Formal Regiodivergent C-H Alkynylation of 1-Arylpyrazolones. Org. Biomol. Chem. 2018, 16, 2860–2864. [Google Scholar] [CrossRef] [PubMed]
- Marion, N.; Nolan, S.P. N-Heterocyclic Carbenes in Gold Catalysis. Chem. Soc. Rev. 2008, 37, 1776. [Google Scholar] [CrossRef]
- Herrmann, W.A. N-Heterocyclic Carbenes: A New Concept in Organometallic Catalysis. Angew. Chem. Int. Ed. 2002, 41, 1290–1309. [Google Scholar] [CrossRef]
- Ung, G.; Soleilhavoup, M.; Bertrand, G. Gold(III)- versus Gold(I)-Induced Cyclization: Synthesis of Six-Membered Mesoionic Carbene and Acyclic (Aryl)(Heteroaryl) Carbene Complexes. Angew. Chem. Int. Ed. 2013, 52, 758–761. [Google Scholar] [CrossRef]
- Echavarren, A. Carbene or Cation? Nat. Chem. 2009, 1, 431–433. [Google Scholar] [CrossRef]
- Littke, A.F.; Fu, G.C. Palladium-Catalyzed Coupling Reactions of Aryl Chlorides. Angew. Chem. Int. Ed. 2002, 41, 4176–4211. [Google Scholar] [CrossRef]
- Lavallo, V.; Canac, Y.; Präsang, C.; Donnadieu, B.; Bertrand, G. Stable Cyclic (Alkyl)(Amino)Carbenes as Rigid or Flexible, Bulky, Electron-Rich Ligands for Transition-Metal Catalysts: A Quaternary Carbon Atom Makes the Difference. Angew. Chem. Int. Ed. 2005, 44, 5705–5709. [Google Scholar] [CrossRef] [PubMed]
- Huang, J.; Stevens, E.D.; Nolan, S.P.; Petersen, J.L. Olefin Metathesis-Active Ruthenium Complexes Bearing a Nucleophilic Carbene Ligand. J. Am. Chem. Soc. 1999, 121, 2674–2678. [Google Scholar] [CrossRef]
- Arduengo, A.J. Looking for Stable Carbenes: The Difficulty in Starting Anew. Acc. Chem. Res. 1999, 32, 913–921. [Google Scholar] [CrossRef]
- Hussong, M.W.; Hoffmeister, W.T.; Rominger, F.; Straub, B.F. Copper and Silver Carbene Complexes without Heteroatom-Stabilization: Structure, Spectroscopy, and Relativistic Effects. Angew. Chem. Int. Ed. 2015, 54, 10331–10335. [Google Scholar] [CrossRef] [PubMed]
- Cantat, T.; Ricard, L.; Le Floch, P.; Mézailles, N.N.M. Phosphorus-Stabilized Geminal Dianions. Organometallics 2006, 25, 4965–4976. [Google Scholar] [CrossRef]
- Pujol, A.; Lafage, M.; Rekhroukh, F.; Saffon-Merceron, N.; Amgoune, A.; Bourissou, D.; Nebra, N.; Fustier-Boutignon, M.; Mézailles, N. A Nucleophilic Gold(III) Carbene Complex. Angew. Chem. Int. Ed. 2017, 56, 12264. [Google Scholar] [CrossRef]
- de Frémont, P.; Marion, N.; Nolan, S.P. Cationic NHC–Gold(I) Complexes: Synthesis, Isolation, and Catalytic Activity. J. Organomet. Chem. 2009, 694, 551–560. [Google Scholar] [CrossRef]
- Zuccaccia, D.; Belpassi, L.; Tarantelli, F.; Macchioni, A. Ion Pairing in Cationic Olefin−Gold(I) Complexes. J. Am. Chem. Soc. 2009, 131, 3170–3171. [Google Scholar] [CrossRef]
- Hooper, T.N.; Green, M.; McGrady, J.E.; Patel, J.R.; Russell, C.A. Synthesis and Structural Characterisation of Stable Cationic Gold(I) Alkene Complexes. Chem. Commun. 2009, 26, 3877–3879. [Google Scholar] [CrossRef]
- Brown, T.J.; Dickens, N.J.; Widenhoefer, R.A. Syntheses and X-ray Crystal Structures of Cationic, Two-Coordinate Gold(I) π-Alkene Complexes That Contain a Sterically Hindered o-Biphenylphosphine Ligand. Chem. Commun. 2009, 42, 6451–6453. [Google Scholar] [CrossRef] [PubMed]
- Langseth, E.; Scheuermann, M.L.; Balcells, D.; Kaminsky, W.; Goldberg, K.I.; Eisenstein, O.; Heyn, R.H.; Tilset, M. Generation and Structural Characterization of a Gold(III) Alkene Complex. Angew. Chem. Int. Ed. 2013, 125, 1704–1707. [Google Scholar] [CrossRef]
- Savjani, N.; Roşca, D.A.; Schormann, M.; Bochmann, M. Gold(III) Olefin Complexes. Angew. Chem. Int. Ed. 2013, 52, 874–877. [Google Scholar] [CrossRef] [PubMed]
- Rekhroukh, F.; Estevez, L.; Bijani, C.; Miqueu, K.; Amgoune, A.; Bourissou, D. Coordination–Insertion of Norbornene at Gold: A Mechanistic Study. Organometallics 2016, 35, 995–1001. [Google Scholar] [CrossRef]
- Balcells, D.; Eisenstein, O.; Tilset, M.; Nova, A. Coordination and Insertion of Alkenes and Alkynes in AuIII Complexes: Nature of the Intermediates from a Computational Perspective. Dalton Trans. 2016, 45, 5504–5513. [Google Scholar] [CrossRef]
- Akana, J.A.; Bhattacharyya, K.X.; Müller, P.; Sadighi, J.P. Reversible C−F Bond Formation and the Au-Catalyzed Hydrofluorination of Alkynes. J. Am. Chem. Soc. 2007, 129, 7736–7737. [Google Scholar] [CrossRef]
- Lavallo, V.; Frey, G.D.; Donnadieu, B.; Soleilhavoup, M.; Bertrand, G. Homogeneous Catalytic Hydroamination of Alkynes and Allenes with Ammonia. Angew. Chem. Int. Ed. 2008, 47, 5224–5228. [Google Scholar] [CrossRef]
- Brown, T.J.; Widenhoefer, R.A. Synthesis and Equilibrium Binding Studies of Cationic, Two-Coordinate Gold(I) π-Alkyne Complexes. J. Organomet. Chem. 2011, 696, 1216–1220. [Google Scholar] [CrossRef]
- Hooper, T.N.; Green, M.; Russell, C.A. Cationic Au(I) Alkyne Complexes: Synthesis, Structure and Reactivity. Chem. Commun. 2010, 46, 2313–2315. [Google Scholar] [CrossRef]
- Rocchigiani, L.; Fernandez-Cestau, J.; Agonigi, G.; Chambrier, I.; Budzelaar, P.H.; Bochmann, M. Gold(III) Alkyne Complexes: Bonding and Reaction Pathways. Angew. Chem. Int. Ed. 2017, 56, 13861–13865. [Google Scholar] [CrossRef]
- Gregori, L.; Sorbelli, D.; Belpassi, L.; Tarantelli, F.; Belanzoni, P. Alkyne Activation with Gold(III) Complexes: A Quantitative Assessment of the Ligand Effect by Charge-Displacement Analysis. Inorg. Chem. 2019, 58, 3115–3129. [Google Scholar] [CrossRef] [PubMed]
- Zhang, C.; Wang, G.; Zhan, L.; Yang, X.; Wang, J.; Wei, Y.; Xu, S.; Shi, M.; Zhang, J. Gold(I) or Gold(III) as Real Intermediate Species in Gold-Catalyzed Cycloaddition Reactions of Enynal/Enynone? ACS Catal. 2020, 10, 6682–6690. [Google Scholar] [CrossRef]
- Chambrier, I.; Rocchigiani, L.; Hughes, D.L.; Budzelaar, P.M.H.; Bochmann, M. Thermally Stable Gold(III) Alkene and Alkyne Complexes: Synthesis, Structures, and Assessment of the Trans-Influence on Gold–Ligand Bond Enthalpies. Chem. –A Eur. J. 2018, 24, 11467–11474. [Google Scholar] [CrossRef]
- Lu, Z.; Li, T.; Mudshinge, S.R.; Xu, B.; Hammond, G.B. Optimization of Catalysts and Conditions in Gold(I) Catalysis—Counterion and Additive Effects. Chem. Rev. 2021, 121, 8452–8477. [Google Scholar] [CrossRef] [PubMed]
- Dang, T.T.; Boeck, F.; Hintermann, L. Hidden Brønsted Acid Catalysis: Pathways of Accidental or Deliberate Generation of Triflic Acid from Metal Triflates. J. Org. Chem. 2011, 76, 9353–9361. [Google Scholar] [CrossRef]
- Ferrer, C.; Echavarren, A.M. Gold-Catalyzed Intramolecular Reaction of Indoles with Alkynes: Facile Formation of Eight-Membered Rings and an Unexpected Allenylation. Angew. Chem. Int. Ed. 2006, 45, 1105–1109. [Google Scholar] [CrossRef]
- Winter, C.; Krause, N. Structural Diversity through Gold Catalysis: Stereoselective Synthesis of N-Hydroxypyrrolines, Dihydroisoxazoles, and Dihydro-1,2-Oxazines. Angew. Chem. Int. Ed. 2009, 48, 6339–6342. [Google Scholar] [CrossRef]
- Kiriakidi, S.; Nieto Faza, O.; Kolocouris, A.; López, C.S. Governing Effects in the Mechanism of the Gold-Catalyzed Cycloisomerization of Allenic Hydroxylamine Derivatives. Org. Biomol. Chem. 2017, 15, 5920–5926. [Google Scholar] [CrossRef]
- Li, D.; Rao, W.; Tay, G.L.; Ayers, B.J.; Chan, P.W.H. Gold-Catalyzed Cycloisomerization of 1,6-Diyne Esters to 1H-Cyclopenta[b]Naphthalenes, Cis-Cyclopenten-2-Yl δ-Diketones, and Bicyclo[3.2.0]Hepta-1,5-Dienes. J. Org. Chem. 2014, 79, 11301–11315. [Google Scholar] [CrossRef]
- Li, Y.; Tu, P.-C.; Zhou, L.; Kirillov, A.M.; Fang, R.; Yang, L. How Does the Catalyst Affect the Reaction Pathway? DFT Analysis of the Mechanism and Selectivity in the 1,6-Diyne Ester Cycloisomerization. Organometallics 2018, 37, 261–270. [Google Scholar] [CrossRef]
- Wu, C.Y.; Horibe, T.; Jacobsen, C.B.; Toste, F.D. Stable Gold(III) Catalysts by Oxidative Addition of a Carbon–Carbon Bond. Nature 2015, 517, 449–454. [Google Scholar] [CrossRef] [PubMed]
- Harrach, G.; Valicsek, Z.; Horváth, O. Water-Soluble Silver(II) and Gold(III) Porphyrins: The Effect of Structural Distortion on the Photophysical and Photochemical Behavior. Inorg. Chem. Commun. 2011, 14, 1756–1761. [Google Scholar] [CrossRef]
- Roşca, D.-A.; Wright, J.A.; Bochmann, M. An Element through the Looking Glass: Exploring the Au–C, Au–H and Au–O Energy Landscape. Dalton Trans. 2015, 44, 20785–20807. [Google Scholar] [CrossRef]
- Trost, B.M. Selectivity: A Key to Synthetic Efficiency. Science 1983, 219, 245–250. [Google Scholar] [CrossRef]
- Kumar, R.R.; Kagan, H.B. Regioselective Reactions on a Chiral Substrate Controlled by the Configuration of a Chiral Catalyst. Adv. Synth. Catal. Synth. Catal. 2010, 352, 231–242. [Google Scholar] [CrossRef]
- Mahatthananchai, J.; Dumas, A.M.; Bode, J.W. Catalytic Selective Synthesis. Angew. Chem. Int. Ed. 2012, 51, 10954–10990. [Google Scholar] [CrossRef]
- Xiao, X.-Y.; Zhou, A.-H.; Shu, C.; Pan, F.; Li, T.; Ye, L.-W. Atom-Economic Synthesis of Fully Substituted 2-Aminopyrroles via Gold-Catalyzed Formal [3 + 2] Cycloaddition between Ynamides and Isoxazoles. Chem. –Asian J. 2015, 10, 1854–1858. [Google Scholar] [CrossRef] [PubMed]
- Shen, W.-B.; Xiao, X.-Y.; Sun, Q.; Zhou, B.; Zhu, X.-Q.; Yan, J.-Z.; Lu, X.; Ye, L.-W. Highly Site Selective Formal [5+2] and [4+2] Annulations of Isoxazoles with Heterosubstituted Alkynes by Platinum Catalysis: Rapid Access to Functionalized 1,3-Oxazepines and 2,5-Dihydropyridines. Angew. Chem. Int. Ed. 2017, 56, 605–609. [Google Scholar] [CrossRef]
- Liddon, J.T.; James, M.J.; Clarke, A.K.; O’brien, P.; Taylor, R.J.; Unsworth, W.P. Catalyst-Driven Scaffold Diversity: Selective Synthesis of Spirocycles, Carbazoles and Quinolines from Indolyl Ynones. Chem. –A Eur. J. 2016, 22, 8777–8780. [Google Scholar] [CrossRef]
- Zeineddine, A.; Estévez, L.; Mallet-Ladeira, S.; Miqueu, K.; Amgoune, A.; Bourissou, D. Rational Development of Catalytic Au(I)/Au(III) Arylation Involving Mild Oxidative Addition of Aryl Halides. Nat. Commun. 2017, 8, 565–572. [Google Scholar] [CrossRef]
- Ueda, K.; Amaike, K.; Maceiczyk, R.M.; Itami, K.; Yamaguchi, J. β-Selective CSH Arylation of Pyrroles Leading to Concise Syntheses of Lamellarins C and I. J. Am. Chem. Soc. 2014, 136, 13226–13232. [Google Scholar] [CrossRef] [PubMed]
- Rodriguez, J.; Zeineddine, A.; Sosa Carrizo, E.D.; Miqueu, K.; Saffon-Merceron, N.; Amgoune, A.; Bourissou, D. Catalytic Au(I)/Au(III) Arylation with the Hemilabile MeDalphos Ligand: Unusual Selectivity for Electron-Rich Iodoarenes and Efficient Application to Indoles. Chem. Sci. 2019, 10, 7183–7192. [Google Scholar] [CrossRef] [PubMed]
- Rodriguez, J.; Adet, N.; Saffon-Merceron, N.; Bourissou, D. Au(I)/Au(III)-Catalyzed C-N Coupling. Chem. Commun. 2020, 56, 94–97. [Google Scholar] [CrossRef] [PubMed]
- Akram, M.O.; Das, A.; Chakrabarty, I.; Patil, N.T. Ligand-Enabled Gold-Catalyzed C(Sp2))N Cross-Coupling Reactions of Aryl Iodides with Amines. Org. Lett. 2019, 21, 8101–8105. [Google Scholar] [CrossRef]
- Shaikh, A.C.; Shinde, D.R.; Patil, N.T. Gold vs Rhodium Catalysis: Tuning Reactivity through Catalyst Control in the C-H Alkynylation of Isoquinolones. Org. Lett. 2016, 18, 1056–1059. [Google Scholar] [CrossRef]
- Zhao, F.; Xu, B.; Ren, D.; Han, L.; Yu, Z.; Liu, T. C–H Alkynylation of N-Methylisoquinolone by Rhodium or Gold Catalysis: Theoretical Studies on the Mechanism, Regioselectivity, and Role of TIPS-EBX. Organometallics 2018, 37, 1026–1033. [Google Scholar] [CrossRef]
- Zhang, Y.; Liu, F.; Zhang, J. Catalytic Regioselective Control in the Diastereoselective 1,3-Dipolar Cycloaddition Reactions of 1-(1-Alkynyl)Cyclopropyl Ketones with Nitrones. Chem. –A Eur. J. 2010, 16, 6146–6150. [Google Scholar] [CrossRef]
- Zhang, J.; Shen, W.; Li, L.; Li, M. Reaction Mechanism and Chemoselectivity of Gold(I)-Catalyzed Cycloaddition of 1-(1-Alkynyl) Cyclopropyl Ketones with Nucleophiles to Yield Substituted Furans. Sci. China Chem. 2012, 55, 1413–1420. [Google Scholar]
- Zhang, Y.; Zhang, J. Kinetic Resolution of 1-(1-Alkynyl)Cyclopropyl Ketones by Gold(I)-Catalyzed Asymmetric [4+3]Cycloaddition with Nitrones: Scope, Mechanism and Applications. Chem. Commun. 2012, 48, 4710–4712. [Google Scholar] [CrossRef]
- Nakamura, I.; Kudo, Y.; Terada, M. Oxazepine Synthesis by Copper-Catalyzed Intermolecular Cascade Reactions between OPropargylic Oximes and Dipolarophiles. Angew. Chem. Int. Ed. 2013, 52, 7536–7539. [Google Scholar] [CrossRef]
- Nakamura, I.; Gima, S.; Kudo, Y.; Terada, M. Skeletal Rearrangement of O-Propargylic Formaldoximes by a Gold-Catalyzed Cyclization/Intermolecular Methylene Transfer Sequence. Angew. Chem. Int. Ed. 2015, 54, 7154–7157. [Google Scholar] [CrossRef] [PubMed]
- Solas, M.; Muñoz, M.A.; Suárez-Pantiga, S.; Sanz, R. Regiodivergent Hydration-Cyclization of Diynones under Gold Catalysis. Org. Lett. 2020, 22, 7681–7687. [Google Scholar] [CrossRef]
- Moran-Poladura, P.; Suárez-Pantiga, S.; Piedrafita, M.; Rubio, E.; Gonzalez, J.M. Regiocontrolled Gold(I)-Catalyzed Cyclization Reactions of N-(3-Iodoprop-2-Ynyl)-N-Tosylanilines. J. Organomet. Chem. 2011, 696, 12–15. [Google Scholar] [CrossRef]
- Wang, T.; Shi, S.; Vilhelmsen, H.M.; Zhang, T.; Rudolph, M.; Rominger, F.; Hashmi, A.S.K. Chemoselectivity Control: Goldcatalyzed Synthesis of 6,7-Dihydrobenzofuran-4(5H)-Ones and Benzofurans from 1-(Alkynyl)-7-Oxabycyclo[4.1.0]Heptan-2-Ones. Chem. –A Eur. J. 2013, 19, 12512–12516. [Google Scholar] [CrossRef]
- Fang, W.; Tang, X.-Y.; Shi, M. Gold(I)-Catalyzed Intramolecular Hydroarylation and the Subsequent Ring Enlargement of Methylenecyclopropanes to Cyclobutenes. RSC Adv. 2016, 6, 40474–40479. [Google Scholar] [CrossRef]
- Gimeno, A.; Cuenca, A.B.; Suárez-Pantiga, S.; de Arellano, C.R.; Medio-Simón, M.; Asensio, G. Competitive Gold-Activation Modes in Terminal Alkynes: An Experimental and Mechanistic Study. Chem. –A Eur. J. 2014, 20, 683–688. [Google Scholar] [CrossRef] [PubMed]
- Jadhav, P.D.; Lu, X.; Liu, R.-S. Gold-Catalyzed [5+2]- and [5+1]-Annulations between Ynamides and 1,2-Benzisoxazoles with Ligand-Controlled Chemoselectivity. ACS Catal. 2018, 8, 9697–9701. [Google Scholar] [CrossRef]
- Alonso, I.; Trillo, B.; López, F.; Montserrat, S.; Ujaque, G.; Castedo, L.; Lledós, A.; Mascareñas, J.L. Gold-Catalyzed [4C+2C] Cycloadditions of Allenedienes, Including an Enantioselective Version with New Phosphoramidite-Based Catalysts: Mechanistic Aspects of the Divergence between [4C+3C] and [4C+2C] Pathways. J. Am. Chem. Soc. 2009, 131, 13020–13030. [Google Scholar] [CrossRef]
- Mauleón, P.; Zeldin, R.M.; González, A.Z.; Toste, F.D. Ligand-Controlled Access to [4+2] and [4+3] Cycloadditions in Gold-Catalyzed Reactions of Allene-Dienes. J. Am. Chem. Soc. 2009, 131, 6348–6349. [Google Scholar] [CrossRef]
- Alcarazo, M.; Stork, T.; Anoop, A.; Thiel, W.; Fürstner, A. Steering the Surprisingly Modular π-Acceptor Properties of N-Heterocyclic Carbenes: Implications for Gold Catalysis. Angew. Chem. Int. Ed. 2010, 49, 2542–2546. [Google Scholar] [CrossRef]
- Sanz, R.; Miguel, D.; Rodríguez, F. Gold(I)-Catalyzed Tandem Reactions Initiated by 1,2-Indole Migrations. Angew. Chem. Int. Ed. 2008, 47, 7354–7357. [Google Scholar] [CrossRef]
- Álvarez, E.; Miguel, D.; García-García, P.; Fernández-Rodríguez, M.A.; Rodríguez, F.; Sanz, R. Solvent and Ligand Induced Switch of Selectivity in Gold(I)-Catalyzed Tandem Reactions of 3-Propargylindoles. Beilstein J. Org. Chem. 2011, 7, 786–793. [Google Scholar] [CrossRef] [PubMed]
- Álvarez, E.; Faza, O.N.; López, C.S.; Fernández-Rodríguez, M.A.; Brønsted, R.S. Acid-Catalyzed Cascade Reactions Involving 1,2-Indole Migration. Chem. –A Eur. J. 2015, 21, 12889–12893. [Google Scholar] [CrossRef] [PubMed]
- Sanz, R.; Miguel, D.; Gohain, M.; García-García, P.; Fernández-Rodríguez, M.; González-Pérez, A.; Nieto-Faza, O.; de Lera, Á.; Rodríguez, F. Synthesis of Diverse Indole-Containing Scaffolds by Gold(I)-Catalyzed Tandem Reactions of 3-Propargylindoles Initiated by 1,2-Indole Migrations: Scope and Computational Studies. Chem. –A Eur. J. 2010, 16, 9818–9828. [Google Scholar] [CrossRef] [PubMed]
- Jia, M.; Bandini, M. Counterion Effects in Homogeneous Gold Catalysis. ACS Catal. 2015, 5, 1638–1652. [Google Scholar] [CrossRef]
- Macchioni, A. Ion Pairing in Transition-Metal Organometallic Chemistry. Chem. Rev. 2005, 105, 2039–2074. [Google Scholar] [CrossRef]
- Ciancaleoni, G.; Belpassi, L.; Zuccaccia, D.; Tarantelli, F.; Belanzoni, P. Counterion Effect in the Reaction Mechanism of NHC Gold(I)-Catalyzed Alkoxylation of Alkynes: Computational Insight into Experiment. ACS Catal. 2015, 5, 803–814. [Google Scholar] [CrossRef]
- Lu, Z.; Han, J.; Okoromoba, O.E.; Shimizu, N.; Amii, H.; Tormena, C.F.; Hammond, G.B.; Xu, B. Predicting Counterion Effects Using a Gold Affinity Index and a Hydrogen Bonding Basicity Index. Org. Lett. 2017, 19, 5848–5851. [Google Scholar] [CrossRef] [PubMed]
- Gatto, M.; Belanzoni, P.; Belpassi, L.; Biasiolo, L.; Del Zotto, A.; Tarantelli, F.; Zuccaccia, D. Solvent-, Silver-, and Acid-Free NHC-Au-X Catalyzed Hydration of Alkynes. The Pivotal Role of the Counterion. ACS Catal. 2016, 6, 7363–7376. [Google Scholar] [CrossRef]
- Hamilton, G.L.; Kang, E.J.; Mba, M.; Toste, F.D. A Powerful Chiral Counterion Strategy for Asymmetric Transition Metal Catalysis. Science 2007, 317, 496–499. [Google Scholar] [CrossRef]
- Dudnik, A.S.; Xia, Y.; Li, Y.; Gevorgyan, V. Computation-Guided Development of Au Catalyzed Cycloisomerizations Proceeding via 1,2-Si or 1,2-H Migrations: Regiodivergent Synthesis of Silylfurans. J. Am. Chem. Soc. 2010, 132, 7645–7655. [Google Scholar] [CrossRef] [PubMed]
- Jia, M.; Cera, G.; Perrotta, D.; Monari, M.; Bandini, M. Taming Gold(I)-Counterion Interplay in the Dearomatization of Indoles with Allenamides. Chem. –A Eur. J. 2014, 20, 9875–9878. [Google Scholar] [CrossRef] [PubMed]
- Rocchigiani, L.; Jia, M.; Bandini, M.; Macchioni, A. Assessing the Role of Counterion in Gold-Catalyzed Dearomatization of Indoles with Allenamides by NMR Studies. ACS Catal. 2015, 5, 3911–3915. [Google Scholar] [CrossRef]
- Chen, Y.; Yan, W.; Akhmedov, N.G.; Shi, X. 1,2,3-Triazole as a Special “X-Factor” in Promoting Hashmi Phenol Synthesis. Org. Lett. 2010, 12, 344–347. [Google Scholar] [CrossRef]
- Weber, D.; Gagné, M.R. Dinuclear Gold-Silver Resting States May Explain Silver Effects in Gold(I)-Catalysis. Org. Lett. 2009, 11, 4962–4965. [Google Scholar] [CrossRef]
- Dai, L.-Z.; Shi, M. Gold(I)- and Yb(OTf)3-Cocatalyzed Rearrangements of Epoxy Alkynes: Transfer of a Carbonyl Group in a Five-Membered Carbocycle. Chem. –A Eur. J. 2010, 16, 2496–2502. [Google Scholar] [CrossRef]
- Bhattacharjee, R.; Nijamudheen, A.; Datta, A. Mechanistic Insights into the Synergistic Catalysis by Au(I), Ga(III), and Counterions in the Nakamura Reaction. Org. Biomol. Chem. 2015, 13, 7412–7420. [Google Scholar] [CrossRef]
- Xi, Y.; Wang, D.; Ye, X.; Akhmedov, N.G.; Petersen, J.L.; Shi, X. Synergistic Au/Ga Catalysis in Ambient Nakamura Reaction. Org. Lett. 2014, 16, 306–309. [Google Scholar] [CrossRef]


















































































| X− | AcO− | TfO− | BF4− | SbF6− | CTf3− | Al[OC(CF3)3]4− | 
|---|---|---|---|---|---|---|
| Gold affinity index | 6.1 | 2.4 | 0.5 | 0 | 0.2 | ~0 | 
| Relative initial rate | 0.0 | 1.0 | 7.1 | 21 | 32 | 42 | 
| X | BF4 | SbF6 | BArF | OTf | NTf2 | OTs | TFA | NTf2 | 
|---|---|---|---|---|---|---|---|---|
| Ketone yield/% | <1 | <1 | <1 | >99 | >99 | <1 | <1 | >99 | 
| Disclaimer/Publisher’s Note: The statements, opinions and data contained in all publications are solely those of the individual author(s) and contributor(s) and not of MDPI and/or the editor(s). MDPI and/or the editor(s) disclaim responsibility for any injury to people or property resulting from any ideas, methods, instructions or products referred to in the content. | 
© 2023 by the authors. Licensee MDPI, Basel, Switzerland. This article is an open access article distributed under the terms and conditions of the Creative Commons Attribution (CC BY) license (https://creativecommons.org/licenses/by/4.0/).
Share and Cite
Stylianakis, I.; Kolocouris, A. Comprehensive Overview of Homogeneous Gold-Catalyzed Transformations of π-Systems for Application Scientists. Catalysts 2023, 13, 921. https://doi.org/10.3390/catal13060921
Stylianakis I, Kolocouris A. Comprehensive Overview of Homogeneous Gold-Catalyzed Transformations of π-Systems for Application Scientists. Catalysts. 2023; 13(6):921. https://doi.org/10.3390/catal13060921
Chicago/Turabian StyleStylianakis, Ioannis, and Antonios Kolocouris. 2023. "Comprehensive Overview of Homogeneous Gold-Catalyzed Transformations of π-Systems for Application Scientists" Catalysts 13, no. 6: 921. https://doi.org/10.3390/catal13060921
APA StyleStylianakis, I., & Kolocouris, A. (2023). Comprehensive Overview of Homogeneous Gold-Catalyzed Transformations of π-Systems for Application Scientists. Catalysts, 13(6), 921. https://doi.org/10.3390/catal13060921
 
        


















 
       
       
       