Abstract
Photopolymerization offers a unique opportunity to convert liquid monomers to polymers using light as the activation source. Recently, major efforts have been devoted to developing visible light photo-initiating systems, and the search for new dyes that can be incorporated into photocurable resins and polymerize a resin within a few seconds is still ongoing. With the aim of exploring a maximum of structures to reach this goal, quinoxaline has been identified to be a promising scaffold for the design of UV-centered and visible light photo-initiating systems. In this review, an overview of the different quinoxaline-based dyes will be given. In order to evidence the interest in these structures, comparisons with reference systems will be given.
1. Introduction
During the past decades, photopolymerization has been an active research field, mainly supported by the development of 3D printing but also by the necessity to replace in the near future the historical UV photo-initiating systems with visible light photo-initiating systems in the industry [,,,,,,,,,,]. Indeed, UV photopolymerization is more and more the focus of safety concerns, originating from the numerous drawbacks of UV light. Notably, UV light can cause eye damage and skin cancers [,,,]. Parallel to this, molecular oxygen can be converted to ozone during the polymerization process, constituting an additional drawback of this approach []. In addition, photopolymerization constitutes an appealing polymerization technique, which exhibits numerous specificities and advantages compared to traditional thermal polymerization. In order to illustrate this, the possibility of polymerizing without solvents to obtain efficient spatial and temporal control during the polymerization process can be cited as relevant examples [,,,,,,,,,,,,,]. Development of photo-initiating systems is not new since the first report mentioning a photoinduced electron transfer between triethanolamine and electron-accepting dyes (xanthenes, acridines, thiazines) was reported as soon as 1954 by Oster and coworkers []. Since 1954, photopolymerization has greatly evolved, enabling now polymerization in safer and energy-saving conditions. As a breakthrough, visible light photopolymerization has emerged as a promising alternative to the historical UV photopolymerization. As the main advantage of visible light photopolymerization, a higher light penetration within the photocurable resins can be obtained than in the UV range (See Figure 1). Indeed, if the light penetration is limited to a few hundred micrometers in the UV range, this value can increase up to 4 mm at 450 nm and even reach 5 cm at 800 nm []. In these conditions, photopolymerization becomes capable of polymerizing thick samples and is not limited anymore to the polymerization of thin samples, as in the past when UV light was used []. However, light penetration within the photocurable resins is an important issue of photopolymerization, and some clarifications should be given. For instance, the light penetration is strongly related to the molar extinction coefficient of the photoinitiator at the wavelength used for irradiation and on the photoinitiator concentration in the system. Only in the case of photo-bleachable initiators can the light penetrate deeply. This concerns the light of any wavelengths, with the exception that short-wavelength UV may also be absorbed by monomers. Figure 1 depicts the light penetration only in the light-scattering system, which cannot be generalized to all photocurable systems because most photocurable resins are transparent and not light-scattering. Consequently, the statement that the main advantage of visible light photopolymerization is the higher light penetration within the photocurable resins than in the case of UV light is not applicable to all resins. In complement to this first point, one of the main drawbacks of visible light photopolymerization remains the difficulty of obtaining colorless coatings []. Indeed, UV photoinitiators are colorless compounds, enabling the ability to obtain easily colorless polymers. Conversely, visible light photopolymerization makes use of dyes absorbing in the visible range, and these dyes are often responsible for the final color of the polymers. In order to address this issue, major efforts have been devoted to developing photo-bleachable photo-initiating systems, with more or less success [].

Figure 1.
Light penetration in a polystyrene latex with an average particle diameter of 112 nm. Reprinted with permission from Bonardi et al. [].
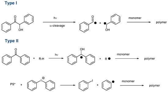
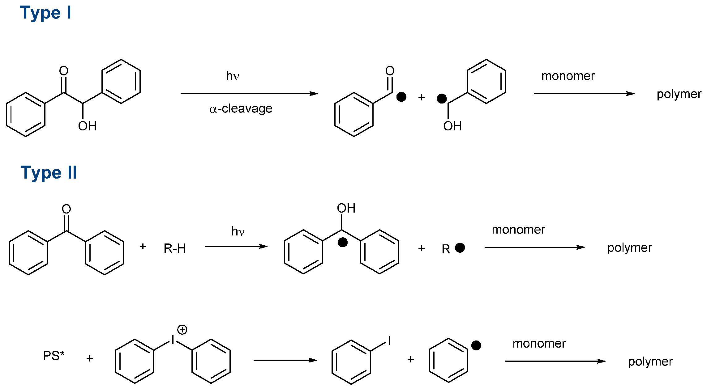
This effort is also supported by the wide range of applications using photopolymerization. Notably, 3D and 4D printing, microelectronics, dentistry, coatings, solvent-free paints, adhesives and varnishes can be cited as the main applications of photopolymerization [,,,,,,,,,]. Another drawback of visible light photopolymerization is that visible light photons are less energetic than UV photons, so more reactive photo-initiating systems have to be developed in order to overcome this lower energy. In the search for highly reactive photo-initiating systems, numerous structures have been examined as potential candidates capable of addressing the reactivity issue and carbazoles [,,,,,,,,,,,,,], dihydroanthraquinones [], camphorquinone [,], chalcones [,,,,,,,,,,,,,], naphthalimides [,,,,,,,,,,,,,,,,,,], benzophenones [,,,,,,,], silyl glyoximides [], phenothiazines [,,,,,,,,,,,], thioxanthones [,,,,,,,,,,,,,], curcumin [,,,], pyrenes [,,,,,,,,], iodonium salts [,,,,,,,], push-pull dyes [,,], copper complexes [,,,], iron complexes [,] zinc complexes [] iridium complexes [,] and N-heterocyclic carbene boranes [] can be cited among the most extensively studied structures of the past decade. Beyond the simple selection of the chromophore, the way how to generate initiating species is important. Notably, photoinitiators can be divided into two main categories, namely, Type I and Type II photoinitiators. In the case of Type I photoinitiators, these structures can generate reactive species by homolytic cleavage of a specific bond (See Scheme 1) [,,,,,,,,,].

Scheme 1.
Formation of initiating species with Type I and Type II photoinitiators. (PS* means that PS is in the excited state).
In this first family, O-acyl-α-oximino ketones, acetophenones, acylgermanes, benzoin ether derivatives, α-aminoketones benzyl ketals, acylphosphine oxides, aminoalkyl phenones, α-hydroxyalkyl ketones, hydroxylalkylphenones and oxime esters can cleave homolytically, generating initiating radicals [,,,,,,]. As the main interest of these structures, Type I photoinitiators can be used as mono-component systems. As a drawback, the photodecomposition is irreversible, so the concentration continuously decreases during the polymerization process. Conversely, Type II photoinitiators are unable to generate initiating species without additives. However, a few exceptions exist. For instance, free radical polymerization of ether acrylates (such as poly(ethylene glycol) diacrylates) is possible with benzophenone, thioxanthone and different chalcones, the monomer itself acting as a co-initiator because -CH2O- groups are good hydrogen donors []. Type II photoinitiators are typically used for the sensitization of onium salts [,,,,,]. A photoinduced electron transfer from the photosensitizer towards the onium salts is the key step to generating initiating radicals. However, Type II photoinitiators are also combined with hydrogen donors, leading to the formation of a ketyl radical with hydrogen abstraction and an additional radical issued from the hydrogen donor (See Scheme 1) [,,,,,,,]. Considering that Type II photoinitiators are bimolecular photoinitiators, the introduction of a sacrificial amine can contribute to regenerating the photosensitizer in its initial redox state during the polymerization process so that this latter can be introduced in a catalytic amount. This point is important, considering that the photosensitizer is responsible for the final color of the polymer. By decreasing its content, less colored coatings can be obtained. The search for new structures is also motivated by the recent interest in developing photo-initiating systems activable with sunlight [,,,,,,,,,] or capable of initiating a polymerization process in water [,,,,,,,,,,,,,,,,,,]. With the aim of polymerizing in energy-saving conditions, the use of light-emitting diodes (LEDs) is now generalized in photopolymerization due to their low costs, long operating lifetimes, compactness and their precise emission wavelengths. In the search for photo-initiating systems that can be activated under low light intensity, i.e., LEDs, quinoxalines have been identified as potential candidates for visible light photopolymerization. Quinoxalines are heterocyclic compounds in which two nitrogen atoms replace two carbons in the ring of naphthalene. Quinoxalines have been extensively studied for their biological properties. Indeed, quinoxalines are biologically active against bacteria, viruses, cancer, leishmania, tuberculosis, malaria, depression and fungi []. Nevertheless, quinoxalines were also used for the design of light-emitting materials for OLEDs [,], semiconductors and charge transport materials for solar cells [,,,], the design of building blocks for covalent organic frameworks []. Recently, different quinoxaline derivatives were also proposed as fluorescent probes for near-infrared II (NIR-II, 1000–1700 nm) fluorescent imaging [].
The first report mentioning the use of quinoxalines as photoinitiators of polymerization was reported in 1999 by Pączkowski and coworkers. By using 3-benzoyl-7-diethylamino-5-methyl-1-phenyl-1H-quinoxalin-2-one (ChAD) as an electron acceptor and N-phenylglycine derivatives (NPG) as electron donors, the free radical polymerization of trimethylolpropane triacrylate (TMPTA) was carried out, using an argon ion laser (emission between 351 and 361 nm, 25.5 mW/cm2) or a He/Ne laser as the light sources (See Figure 2) [,]. The best monomer conversion was obtained using (4-methoxyphenyl)glycine as the electron donor. Noticeably, efficiencies of the different photo-initiating systems based on quinoxalines were lower than that of a Rose Bengal derivative, namely RBAX, previously reported in the literature.

Figure 2.
Chemical structures of the chromophore ChAD, the electron donors NPG, the monomer TMPTA and the reference compound RBAX.
The same year, Aydin and coworkers proposed a series of quinoxalines (QNX-1-QNX-5) that proved to be excellent photoinitiators in combination with electron donors such as N-methyldiethanolamine (MDEA) and 2-(N-methyl-N-phenylamino)-1-phenylethanol (MPAPE). By using these two co-initiators, the polymerization of methyl methacrylate (MMA) was carried out upon irradiation with a UV light (λ = 350 nm) (See Figure 3) []. A few years later, this strategy was extended to an unusual co-initiator in photopolymerization, namely benzaldehyde [].

Figure 3.
Chemical structures of different quinoxaline derivatives investigated by Aydin and coworkers as photoinitiators of polymerization in combination with MDEA and MPAPE.
Since these pioneering works, numerous quinoxaline derivatives have been proposed, enabling the initiation of free radical polymerizations and cationic polymerizations in the UV and visible range. It has to be noticed that quinoxalines were also investigated as chromophores for two-photon polymerization []. Triphenylamine-modified quinoxalines were notably reported as exhibiting a two-photon value higher than 160 GM in the 780–820 nm range, greatly higher than the values reported for most of the benzil derivatives investigated as photoinitiators for two-photon initiated polymerization. Recently, a dipyrido[3,2-d:2′,3′-f]quinoxaline (dpq) ligand was also used for the design of an iridium catalyst used for both the photogeneration of hydrogen from water and as a photocatalyst for the polymerization of methyl methacrylate []. However, the drawback of this approach is the toxicity of iridium and the scarcity of this metal on Earth. Quinoxalines used in two-photon polymerization and transition metal complexes comprising quinoxaline units will not be further detailed in this review. In this work, an overview of the different quinoxaline derivatives reported to date as one-photon initiators is given. Over the years, numerous derivatives have been proposed for UV-induced or visible light-induced photopolymerization. In order to evidence the polymerization efficiencies of these systems, comparisons with reference compounds will be provided.
2. Quinoxalines as Photoinitiators of Polymerization
In 2000, Pączkowski and coworkers examined two dyes containing pyrazoloquinoxaline moieties, i.e., ZPG and ZPD, and investigated the photochemical mechanism involved during the free radical polymerization (FRP) of TMPTA (See Figure 4) []. Noticeably, similar absorption maxima were found for ZH (λmax = 409 nm in ethyl acetate) and ZPG/ZPD (λmax = 415 nm in ethyl acetate). The photo-initiating abilities of these two dyes were compared with that of the quinoxaline derivative ZH. While the FRP of TMPTA was carried out upon irradiation with an argon ion laser, ZPG and ZPD greatly outperformed the monomer conversion obtained with ZH. To support this, the authors evidenced that the intersystem crossing between the singlet excited state and the triplet excited state was more efficient for ZPG and ZPD than for ZH, enabling these dyes to interact more efficiently with the electron donor N-phenylglycine (NPG) and facilitating the generation of radicals. Application of the Rehm–Weller equation also revealed the free energy change to be more positive for ZH than for ZPD and ZPG so that the rate constant of electron transfer between ZH and NPG was expected to be slower than with ZPD and ZPG. However, the authors also suggested a competitive back electron transfer between ZH and NPG, adversely affecting the photo-initiating ability of this dye.

Figure 4.
Chemical structures of ZH, ZPG and ZPD.
The occurrence of a back electron transfer was confirmed with a series of ten pyrazoloquinoxalines, including the previously studied quinazoline dye ZH (See Figure 5) []. Examination of their UV-visible absorption spectra in ethyl acetate revealed that these structures were relatively insensitive to the substitution pattern. Thus, absorption maxima ranging between 404 nm for ZCD and 435 nm for ZND were determined. It has to be noticed that the positions of the absorption maxima were affected by the substitution pattern. Thus, for the nitro-substituted quinoxaline, positions of the absorption maxima varied from 417 nm for ZNG and up to 435 nm for ZND, in which the nitro group was in a conjugated position with the rest of the molecule (See Table 1). In this series of dyes, the authors could establish a linear relationship between the monomer conversion and the efficiency of singlet oxygen formation, evidencing that the electron transfer between NPG and the different dyes was occurring via the triplet state. By introducing heavy atom in ZCl2, CI and CICl2, quantum yields of the triplet state formation were greatly improved, enhancing the photo-initiating ability.

Figure 5.
Chemical structures of various pyrazoloquinoxaline dyes.

Table 1.
Absorption maxima of different quinoxaline dyes in ethyl acetate.
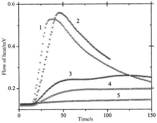
In benefiting from these elongated excited state lifetimes, interactions between the dyes and NPG in the excited state were favored, improving the polymerization efficiency. As shown in Figure 6, halogenated quinoxalines polymerized TMPTA within 50 s, contrarily to the non-halogenated dyes for which a three-fold elongation of the polymerization time was necessary. To monitor the polymerization process, photo-DSC was used. In this case, access to the monomer conversion was not directly possible. Using photo-DSC, only the heat flow can be determined. Heat flow is proportional to the polymerization rate, which is the derivative of the conversion versus time function. In the present case, the highest heat flows were obtained for CICl2 and CI, the two compounds bearing halogens.

Figure 6.
Polymerization profiles obtained by photo-DSC using (1) CICl2, (2) CI, (3) ZB, (4) ZH, (5) CNH2 in combination with NPG. Reproduced from Ref. [] with permission from the Royal Society of Chemistry.
In 2004, quinoxaline derivatives were tested for the first time in lower light intensity (no use of lasers as the light sources as in the previous works) since dental lamps were used for the polymerization experiments []. A series of seven dyes were examined, differing by the substitution pattern and the alkylation or not of the nitrogen groups (See Figure 7). All dyes exhibited an absorption centered in the near UV-visible range, the absorption maxima peaking between 386 nm for IQH and up to 409 nm for IQNO2Cl2 (See Table 2). Noticeably, in this series of dyes, the lowest monomer conversions were obtained for the nitro derivatives, namely IQNO2 and IQNO2Cl2. These counter-performances were assigned to the photoreduction of the nitro groups to nitroso groups, constituting efficient free radical scavengers and good inhibitors of free radical polymerization []. Polymerization efficiency was also strongly related to the electron donors used. Among the five electron donors tested, namely N-phenylglycine (NPG), N-(4-cyanophenyl)glycine (CN-NPG), (phenylthio)acetic acid (TPAA), ethyl 4-dimethylaminobenzoate (EDAB) and phenoxyacetic acid (PAA), the best monomer conversions were obtained with NPG and CN-NPG while using IQCH3 as the dye (See Figure 8). Using the best electron donors (NPG and CN-NPG), the highest monomer conversions were obtained with IQBr and IQCH3Cl2 bearing halogens. Here again, the beneficial effect of heavy atoms on quinoxalines was demonstrated. Noticeably, no direct correlations could be established between the rates of the electron transfer and the polymerization rates determined for the different dyes. This unexpected result was assigned to differences in molar extinction coefficients between dyes and the diffusion effects of radicals within the resins affecting the polymerization efficiency.

Figure 7.
Chemical structures of different 6H-indolo[2,3-b]quinoxalines.

Table 2.
Absorption maxima of different quinoxaline dyes in ethyl acetate.

Figure 8.
Polymerization profiles obtained by photo-DSC using IQCH3 as the dye and different electron donors (NPG, CN-NPG, TPAA, EDAB and PAA). Reprinted from Ref. [] Copyright (2004), with permission from Elsevier.
Finally, a comparison of the photo-initiating ability of IQBr with that of camphorquinone (CQ) and 2,2-dimethoxy-2-phenylacetophenone (DMPA, Irgacure 651) revealed IQBr furnished similar polymerization rates to these benchmark photoinitiators (See Figure 9).

Figure 9.
Polymerization profiles obtained during the FRP of TMPTA using IQBr, CQ and Irgacure 651 as the dyes and CN-NPG as the electron donor using a dental lamp as the light source. Reprinted from Ref. []. Copyright (2004), with permission from Elsevier.
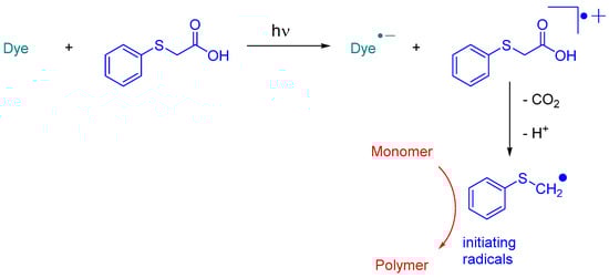
In 2023, Jędrzejewska and coworkers revisited IQH in the context of a comparative study between indenono- and indoloquinoxaline derivatives IN1-IN5, IQH, IN7 and IN8 (See Figure 10) [,]. The different dyes were used as electron acceptors for (phenylthio)acetic acid (PTAA) [], and the resulting photoredox pairs were used as photo-initiating systems for dental applications. The mechanism of radical generation is presented in Scheme 2.

Figure 10.
Chemical structures of indenono- and indoloquinoxaline derivatives.

Scheme 2.
Mechanism of photoinitiation with dye/phenylthioacetic acid system.
From the absorption viewpoint, all dyes IN1-IN5, IQH, IN7 and IN8 showed an intense absorption band centered in the near UV range (See Table 3). Only IN8 exhibited an absorption peak located in the visible range, peaking at 417 nm and attributable to the presence of the phenanthrene moiety extending the aromaticity of this dye. In fact, IN4 and IN8 exhibited the most red-shifted absorption for the two series of dyes, namely the indenono- and indoloquinoxaline series. This redshift was beneficial for the FRP experiments. Indeed, when paired with PTAA, the highest polymerization rates were obtained with these two dyes due to a better match between the emission of the dental lamp emitting at 400 nm and the absorption maxima of these chromophores. In fact, the photo-initiating abilities of these photoredox pairs were comparable to that of camphorquinone (CQ), a benchmark photoinitiator commonly used in dentistry. Interestingly, in the context of dental fillings, an increase of the temperature lower than 5 °C was evidenced, which did not exceed the temperature tolerance threshold for the tooth pulp.

Table 3.
Optical characteristics of IN1-IN5, IQH, IN7, IN8 and camphorquinone (CQ) in ethanol.
The same performances were also obtained with another series of photoredox pairs based on acenaphthoquinoxalines and 2-mercaptobenzoxazole (MBX) used as the co-initiator (See Figure 11) []. In this series of dyes (QNX5, AN1, AN3-AN-8) and during the FRP of TMPTA, the lowest heat increase was obtained with the AN6/MBX combination. In addition, the temperature increase with the other dyes remained in the tolerance threshold for dental applications. Due to their strong absorption located in the UV range (See Table 4), colorless dental fillings could be obtained with these different acenaphthoquinoxalines, making these dyes suitable candidates for dental applications.

Figure 11.
Chemical structures of various acenaphthoquinoxalines AN1, AN3-AN8 and 2-mercaptobenzoxazole used as the hydrogen donor.

Table 4.
Optical characteristics of various acenaphthoquinoxalines in ethanol.
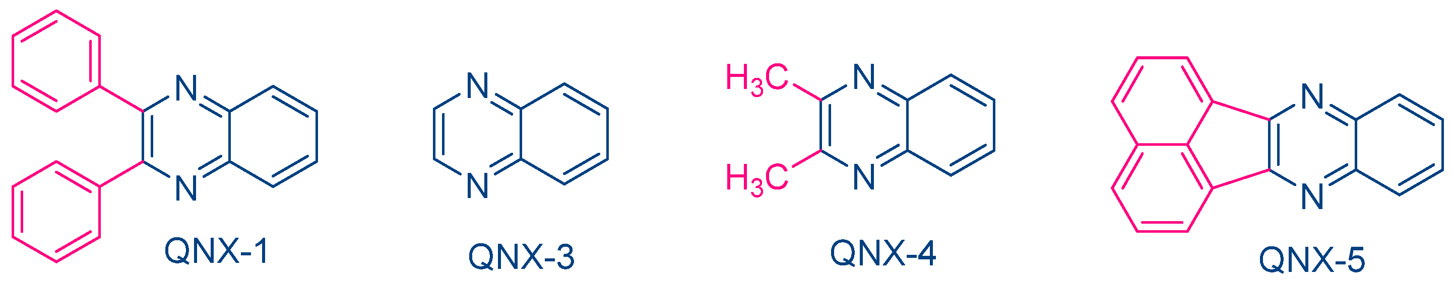
While NPG was extensively used as an electron donor for quinoxaline derivatives, other compounds were also examined, as exemplified with N-methyldiethanolamine (MDEA) that was used as an electron donor for UV photopolymerization experiments (See Figure 12) []. 2,3-Diphenylquinoxaline (QNX-1), quinoxaline (QNX-3), 2,3-dimethylquinoxaline (QNX-4) and acenaphthoquinoxaline (QNX-5) were tested as UV photoinitiators.

Figure 12.
Quinoxalines investigated in combination with MDEA as the electron donor.
Interestingly, by using a polychromatic light, very fast polymerization processes were evidenced since a full curing of TMPTA was obtained within 4 s of irradiation (See Figure 13). The highest final monomer conversion was obtained for QNX-1, with a conversion of 60% after 4 s. Noticeably, the highest monomer conversions were obtained for the most polyaromatic structures (QNX-1, QNX-5), certainly attributable to higher molar extinction coefficients in the visible range. Contrarily to the different work previously mentioned in this review, the TMPTA conversion could be monitored by Real-Time Fourier Transform Infrared (RT-FTIR) spectroscopy, giving direct access to the monomer conversion. To conduct this, modification of the IR peak at ca 6120 cm−1 was monitored, corresponding to a characteristic peak of TMPTA. The polymerization profiles were established from the difference between the initial peak area before irradiation and the peak area after irradiation for a given time t [,].

Figure 13.
Polymerization profiles obtained during the FRP of TMPTA under air and using the two-component dyes/MDEA (1%/10% w/w), Reprinted from Ref. [] Copyright 2007, Elsevier.
This trend of reactivity was confirmed during the FRP of other monomers, such as a 75% P-3038 epoxyacrylate (EA) and 25% tripropyleneglycol diacrylate (TPGDA) (3/1 v/v) blend (See Figure 14). However, by elongating the irradiation time to 180 s, QNX-5 furnished a similar monomer conversion to QNX-1. Clearly, the difference in monomer conversions is directly related to differences in polymerization rates at early irradiation time.

Figure 14.
Polymerization profiles obtained during the FRP of an EA/TPGDA (3/1) blend under air and using the two-component dyes/MDEA (1%/10% w/w), Reprinted from Ref. [] Copyright 2007, Elsevier.
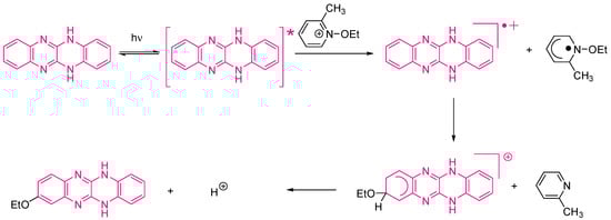
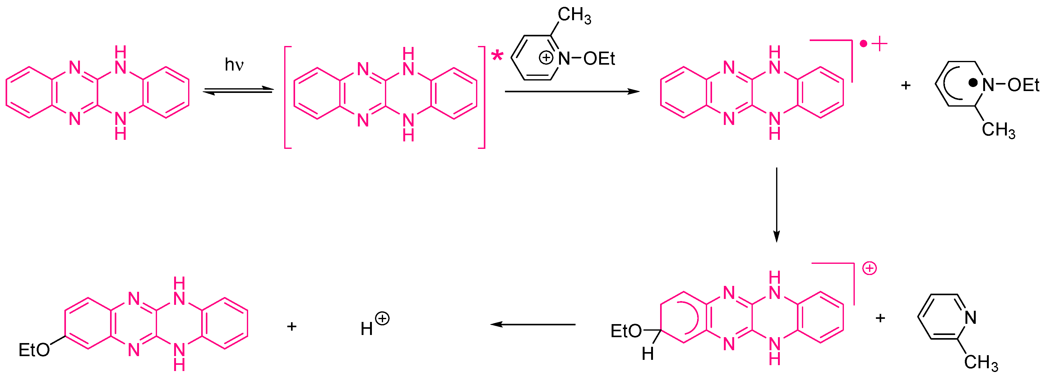
In the case of 5,12-dihydroquinoxalino[2,3b]quinoxalines (i.e., fluoflavins), these dyes were interesting candidates to induce the reductive decomposition of alkoxypyridinium salts (See Figure 15) []. The fluoflavin dyes/alkoxypyridinium salts combinations proved to be excellent two-component systems to initiate the FRP of TMPTA under visible light. It has to be noticed that previously to this work, cyanines [], ketocoumarins [] and acridinedione dyes [] were also used as sensitizers capable of inducing the decomposition of alkoxypyridinium salts by photoinduced electron transfer. From the mechanistic viewpoint, upon excitation of the dye, a photoinduced electron transfer from fluoflavins towards the alkoxypyridinium salt can occur, generating an alkoxypyridinium radical that immediately decomposes, generating initiating alkoxy radicals (RO•) (See Scheme 3). Fluoflavin dyes were relatively insensitive to the substitution pattern since absorption maxima located at 420 nm were determined for all dyes in 1-methyl-2-pyrrolidone as the solvent (See Table 5).

Figure 15.
Chemical structures of 5,12-dihydroquinoxalino[2,3b]quinoxalines and alkoxypyridinium salts.

Scheme 3.
Mechanism of photoinduced decomposition of alkoxypyridinium salts by electron transfer.

Table 5.
Optical characteristics of QNX-6-QNX-10 in 1-methyl-2-pyrrolidone.
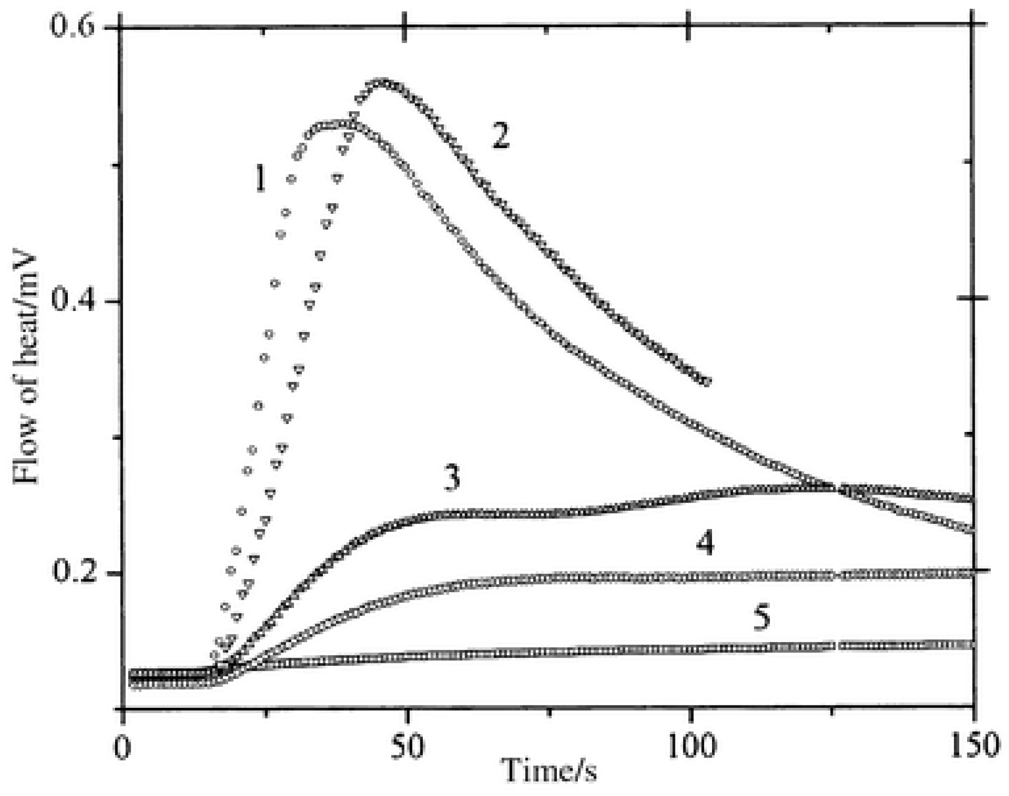
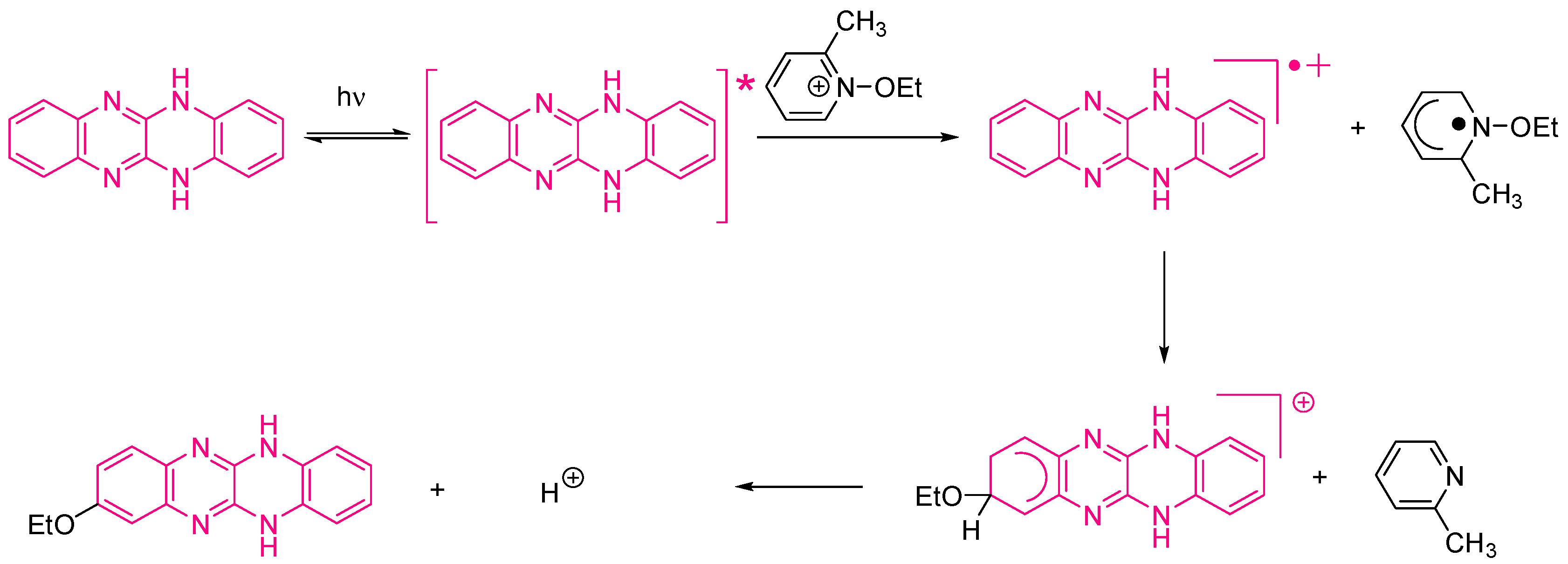
Examination of their photo-initiating abilities during the FRP of TMPTA upon irradiation with a visible light revealed QNX-7 and QNX-8 furnished the best polymerization rates (See Figure 16). More precisely, QNX-7 was determined as outperforming all the other dyes, irrespective of the alkoxypyridinium salt. Experiments carried out with Py2 also furnish higher monomer conversion than Py1, once again evidencing the necessity to screen both the electron donors and acceptors in order to obtain the best combination. Interestingly, an efficient photobleaching of the TMPTA resins was observed during polymerization, assigned to the addition of alkoxy radicals on fluoflavins, according to the mechanism depicted in Scheme 4. Precisely, a reaction between the fluoflavin radical cation and the ethoxyl radicals at the 9-position of the phenyl ring was proposed by analogy to previous works performed on anthracene [,]. After proton release, an ethoxy derivative of the fluoflavin dyes can be formed, enabling the ability to obtain an efficient bleaching of the final polymers.

Figure 16.
Photopolymerization profiles of TMPTA recorded for QNX-6 (▪); QNX-7 (O); QNX-8 (Δ); QNX-9 (•); QNX-10 (□) and (A) Py1 or (B) Py2. Reprinted from Ref. [] Copyright (2008) Elsevier.

Scheme 4.
Mechanism of photobleaching occurring with the fluoflavin dyes/alkoxypyridinium salts combinations.
The possibility to initiate free-radical/cationic hybrid polymerizations (concomitant polymerization of TMPTA and 3,4-epoxycyclohexylmethyl 3′,4′-epoxycyclohexanecarboxylate (EPOX)) with fluoflavin derivatives was also examined. Using QNX-6-QNX-8 as the photosensitizers for triarylsulfonium hexafluoroantimonates, epoxide conversions higher than that of acrylates were observed with all photo-initiating systems []. The lower acrylate conversion determined during hybrid photopolymerization was assigned to oxygen inhibition favoring the cationic polymerization of epoxides. Indeed, contrarily to the cationic polymerization, which is insensitive to oxygen inhibition, free radicals can react with molecular oxygen, generating unreactive peroxyl radicals. In 2009, the same authors examined a series of dyes analogues to fluoflavins, namely QNX-11-QNX-19, that were used as electron donors for the reductive photosensitization of N-methoxy-4-phenylpyridinium tetrafluoroborate (Py1) and N-ethoxy-2-methylpyridinium hexafluorophosphate (Py2) examined in the previous work and for diphenyliodonium hexafluorophosphate (Ph2I+PF6−) (See Figure 17) []. These photoinitiators were advantageously used for the FRP of acrylates under visible light and the cationic polymerization (CP) of cyclohexene oxide (CHO).

Figure 17.
Chemical structures of QNX-11-QNX-19 examined as photosensitizers for iodonium salts.
Noticeably, the QNX-11-QNX-19 series exhibited similar absorption properties irrespective of the substitution pattern. An intense absorption band was notably detected in the visible region and located at approximately 415 nm (see Table 6). Absorption maxima ranging from 409 nm for QNX-14 and QNX-17 and up to 421 nm for QNX-16 and QNX-19 were determined in 1-methyl-2-pyrrolidinone.

Table 6.
Optical properties of the QNX-11-QNX-19 series in 1-methyl-2-pyrrolidone.
The most red-shifted absorptions were determined for the dyes bearing chlorine atoms, except for QNX-17, which exhibited the lowest absorption wavelength listed in Table 6. Compared to the previous series of 5,12-dihydroquinoxalino[2,3-b]quinoxalines, the presence of an additional nitrogen atom in 5,12-dihydroquinoxalino[2,3-b]pyridopyrazines resulted in a slight blue shift of their absorption maxima (See Table 5). Once again, faster polymerization processes and higher monomer conversions were obtained with Py2 and the different dyes during the FRP of TMPTA. The fastest polymerization process was obtained with QNX-11, irrespective of the electron acceptors. In all cases, relatively long inhibition times were determined. This is directly related to the inhibition effects of oxygen dissolved in the photocurable resins. Oxygen can quench the triplet states of the dyes, adversely affecting the polymerization process. Finally, the QNX-11-QNX-19/Ph2I+PF6− combinations also initiated the CP of CHO. However, the polymerization process was slow since 30 min. of irradiation was required to obtain a full curing of the resin. Similarly, as in the case of FRP of TMPTA, the best performances during the CP of CHO were also obtained with QNX-14-QNX-16, i.e., for all dyes substituted with a bromine atom. The higher polymerization efficiency of these dyes is thus related to the heavy atom effect, elongating the excited state lifetimes of the dyes by favoring the triplet state pathway and thus improving the intermolecular interactions of the dyes with the different additives.
In order to investigate the heavy atom effects, a series of 8-halogeno-5,12-dihydroquinoxalino[2,3-b]quinoxalines QNX-20-QNX-26 was examined by the same group (See Figure 18) []. As interesting features, all dyes absorb around 420 nm (See Table 7), i.e., at the same position as the previous series (i.e., the QNX-11-QNX-19 series). Noticeably, in this series of dyes, QNX-20-QNX-22 bearing bromine atoms clearly outperformed the other dyes, irrespective of the electron acceptor. Notably, during the FRP of TMPTA, similar monomer conversions were obtained using N-methoxy-4-phenylpyridinium tetrafluoroborate (Py1) or N-ethoxy-2-methylpyridinium hexafluorophosphate (Py2) as the electron acceptors (See Table 7). Thus, while conversions ranging between 21 and 24% were determined with QNX-20-QNX-22 as the photosensitizers and Py2 as the co-initiator, these values decreased to 1–18% for the non-brominated quinoxalines QNX24-WNX-26. No significant modification of the monomer conversion was obtained by replacing Py2 with Py1 as the co-initiator. During the CP of cyclohexene oxide (CHO), higher monomer conversions could be obtained with regards to the monomer conversions determined during the FRP of TMPTA. By combining QNX-20-QNX-22 with Ph2I+PF6−, a CHO conversion of 97% was obtained with the two-component QNX-20/Ph2I+PF6− combination, greatly higher than that obtained with QNX-23-QNX-26 as the photosensitizers (CHO conversions ranging between 29 and 63% after 240 s of irradiation with a visible light) (See Table 8). These monomer conversions perfectly fit with the quantum yield of acid release determined upon photolysis. Indeed, the QNX-20/Ph2I+PF6− system was determined as the photo-initiating system furnishing the highest quantum yield of acid release of the series.

Figure 18.
Chemical structures of 8-halogeno-5,12-dihydroquinoxalino[2,3-b]quinoxalines QNX-20-QNX-26.

Table 7.
Optical characteristics of the QNX-20-QNX-26 series in 1-methyl-2-pyrrolidone.

Table 8.
Monomer conversions (%) obtained during the FRP of TMPTA with the two-component dye/Py1 and dye/Py2 combinations and during the CP of CHO using the two-component dye/Ph2I+PF6− combination.
The design of quinoxaline derivatives absorbing in the 450–550 nm range is a real challenge, as these chromophores naturally absorb in the 350–420 nm range. In 2009, Toppare and coworkers succeeded in addressing this issue by developing an original strategy in order to redshift the absorption of a quinoxaline derivative (See Figure 19) []. Toppare and coworkers notably proposed 2,3-bis(3,4-bis(decyloxy)phenyl)-5,8-bis(2,3-dihydrothieno[3,4-b][1,4]dioxin-5-yl)quinoxaline (DOPEQ) exhibiting two ethylenedioxythiophene (EDOT) groups introduced in lateral positions of the quinoxaline core to extend the conjugation. Four decyloxy groups were also introduced for solubility. Due to its extended conjugation, a broad absorption was found for DOPEQ, extending between 300 and 550 nm, with an absorption maximum located at 420 nm (See Figure 20).

Figure 19.
Chemical structure of DOPEQ.

Figure 20.
UV-visible absorption spectrum of DOPEQ in chloroform. Reprinted from Ref. [] Copyright 2010, Wiley.
Cationic photopolymerization of CHO conducted with the two-component DOPEQ/Ph2I+PF6− (0.1%/1% w/w) system using a UV light of low intensity (10 mW/cm2) revealed the polymerization process to be very fast, the polymerization ended within 5 s. By using EPOX as a difunctional monomer, the polymerization ended after 20 s. In light of this remarkable reactivity, polymerization tests were carried out under sunlight because the absorption spectrum of DOPEQ was relatively broad. Using sunlight, polymerization of EPOX occurred within 5 min., evidencing the high reactivity of this two-component system (See Figure 21).

Figure 21.
Photopolymerization of EPOX under sunlight (A) resin before sunlight exposure (B) resin after 5 min. of exposure to sunlight. Reprinted from Ref. [], Copyright 2010, Wiley.
Following this work, other long wavelength photosensitizers were designed by the same authors on the basis of the DOPEQ scaffold, as exemplified with 2,3,5,8-tetra(2,3-dihydrobenzo[b][1,4]dioxin-6-yl)quinoxaline (DBQEd) and 2,3,5,8-tetra(thiophen-2-yl)quinoxaline (TTQ) (See Figure 22) [].

Figure 22.
Chemical structures of quinoxalines absorbing at long wavelengths.
Here again, highly efficient photo-initiating systems were obtained using Ph2I+PF6− as the cationic initiator. Especially compared to DOPEQ, a reduction of the polymerization time under sunlight was obtained; EPOX was polymerized within 30 s using the two-component DBQEd/Ph2I+PF6− (0.1%/1% w/w) system and 2 min. with the two-component TTQ/Ph2I+PF6− (0.1%/1% w/w) system. The higher reactivity of DBQEd and TTQ compared to DOPEQ was assigned to the presence of electron-rich groups, reducing the oxidation potential of these two dyes and thus favoring the intermolecular electron transfer with the iodonium salt.
The introduction of metallocene, such as ferrocene, as peripheral groups for quinoxalines was also examined, as exemplified with PS1 and PS2 (See Figure 22) []. Due to the presence of ferrocene, broad absorption spectra extending between 400 and 600 nm were determined for the two dyes in dichloromethane. Especially, while similar extinction coefficients were determined for PS1 and PS2 comprising a ferrocene unit, a lower molar extinction coefficient was measured for PS3 bearing naphthalene groups (See Figure 23). Excellent photo-initiating abilities were also demonstrated upon sunlight irradiation for PS1-PS3. During the CP of CHO, a full curing of the resin was obtained within 5 min. by using the two-component dye/Ph2I+PF6− (0.1%/1% w/w) systems. For comparison, a full curing of CHO was obtained upon irradiation of the samples with a mercury lamp, with reaction times ranging between 10 and 30 s depending on the dyes.

Figure 23.
UV-visible absorption spectra of PS1-PS3 in dichloromethane with PS1 (green curve), PS2 (blue curve), and PS3 (red curve). Reprinted from Ref. [], Copyright 2013, Elsevier.
In 2013, Lalevée and coworkers investigated another thiophene derivative, i.e., QXTP and the polymeric PQXTP (See Figure 24) []. By extending the π-conjugation in PQXTP, a redshift of the absorption was obtained (See Figure 25).

Figure 24.
Chemical structures of QXTP, PQXTP and tris(aza)pentacene T_2.

Figure 25.
UV-visible absorption spectra of QXTP and PQXTP in THF. Reproduced with permission from Ref. [], Copyright 2013 American Chemical Society.
Interestingly, due to the broad absorptions of QXTP and PQXTP, polymerization experiments could be carried out with laser diodes emitting at 405, 457, 473, 532 and 625 nm and with a halogen lamp (See Table 9). In order to perform the polymerization experiments, three component dye/Ph2I+PF6−/NVK photo-initiating systems were used (where NVK stands for N-vinylcarbazole). During the CP of EPOX, the direct correlation existing between the molar extinction coefficient at the irradiation wavelength and the monomer conversion was clearly evidenced. Thus, by irradiating at long wavelengths (532 and 635 nm), a severe reduction of the monomer conversions was observed with PQXTP. The polymerization of interpenetrated polymer networks (IPNs) by concomitantly polymerizing TMPTA and EPOX was also investigated.

Table 9.
Monomer conversions obtained during the CP of EPOX using the three-component QXTP/Ph2I+PF6−/NVK (0.5%/2%/3% w/w/w) and PQXTP/Ph2I+PF6−/NVK (0.5%/2%/3% w/w/w) systems.
The extractability of photosensitizers from the polymer films is a major issue, especially for applications such as food packaging and biomedical applications. Due to its high molecular weight, PTXQT was not extracted from the polymer network due to its polymeric structure. The same experiments performed with QXTP revealed that the extractability was lower than 0.01% for IPNs prepared under an inert atmosphere and 0.5% for IPNs prepared under air. The extractability issue was also addressed with another structure derived from quinoxalines, namely tris(aza)pentacene T_2 [].
All the previous photoinitiators detailed in this review and absorbing at long wavelengths have been designed with thiophene units. In 2021, Yagci and coworkers introduced carbazole units as peripheral groups for TPDC6 (See Figure 26) []. From the electrochemical viewpoint, carbazole and thiophene exhibit similar electron-donating properties, so an excellent electron-donating chromophore could be prepared with carbazoles.

Figure 26.
Chemical structure of TPDC6 and the epoxy monomer.
The absorption of TPDC6 was broad, extending between 400 and 550 nm. An absorption maximum peaking at 438 nm was also determined in dichloromethane. Due to the strong electron-donating properties of the carbazole groups, an efficient photoinduced electron transfer could occur with Ph2I+PF6−, so that the resulting photo-initiating system efficiently promoted the cationic polymerization of the epoxy resin (bisphenol A Epoxy resin) upon sunlight irradiation. Noticeably, while a monomer conversion of 83% could be obtained after 120 min. of irradiation, an inhibition time as long as 30 min. was evidenced.
Still based on the diphenylquinoxaline scaffold, a series of methoxyphenylquinoxalines (MOPQs) was investigated for the polymerization of 2,2-bis(4-(acryloxypolyethoxy)phenyl)propane (A-BPE-10) (See Figure 27) []. Contrarily to DOPEQ, which exhibited an absorption spectrum in the visible range, absorption spectra of MOPQs remained strongly UV-centered, with absorption maxima ranging between 349 nm for D3MOP-Q and up to 402 nm for D4MOP-BenQ (See Figure 28). Among the four co-initiators examined in this work, namely leucocrystal violet (LCV), 2-mercaptobenzoxazole (MBO), NPG and MDEA, MBO proved to be the best co-initiator for the different MOPQ derivatives. In this series of dyes, the highest monomer conversion was obtained with D3MOP-BenQ when used as a photosensitizer for MBO and upon irradiation at 365 nm (See Table 10 and Figure 29).

Figure 27.
Chemical structures of MOPQs, different co-initiators and A-BPE-10.

Figure 28.
UV-visible absorption spectra of MOPQs in chloroform. Reprinted from Ref. [], Copyright 2010, Elsevier.

Table 10.
Optical characteristics of the different MOPQs in chloroform.

Figure 29.
Photopolymerization profiles obtained with the two-component D3MOP-Q/MBO, D4MOP-Q/MBO, T3MOP-DQ/MBO, T4MOP-DQ/MBO, D3MOPBenQ/MBO and D4MOP-BenQ/MBO systems, upon irradiation at 365 nm (I = 50 mW/cm2) during the FRP of A-BPE-10. Reprinted from Ref. [], Copyright 2010, Elsevier.
Although T3MOP-DQ and T4MOP-DQ exhibited excellent absorption properties, only low monomer conversions were obtained with these two dyes, attributable to their low solubilities in the monomer, which may be caused by their extended and planar conjugated structures. To support the polymerization initiated by the different quinoxaline derivatives, a mechanism based on a hydrogen abstraction process was suggested by the authors, as depicted in Scheme 5.

Scheme 5.
Mechanism involved in the polymerization process using quinoxalines as the photosensitizers. (* corresponds to the excited state).
Several attempts were carried out to introduce heteroatoms into the structure of quinoxalines. Among these structures, several sulfur-containing dyes such as dithiinoquinoxalines QNX-27-QNX-34 [] and 12H-quinoxalino-[2,3-b][1,4]-benzothiazines QNX-35-QNX-37 [,,] were proposed (See Figure 30).

Figure 30.
Chemical structures of different sulfur-containing quinoxalines.
From the absorption viewpoint, the presence of these sulfur atoms in the quinoxaline derivatives did not significantly modify their absorptions compared to the parent structures since absorption maxima ranging between 386 nm for QNX-27 and 406 nm for QNX-34 were determined. A higher influence was evidenced for 12H-quinoxalino-[2,3-b][1,4]-benzothiazines QNX-35-QNX-37 since an absorption maximum located at 442 nm was determined for QNX-37. Noticeably, upon substitution at the nitrogen atom of 12H-quinoxalino-[2,3-b][1,4]-benzothiazines QNX-38-QNX-40 with various groups, a blue shift of the absorption maximum was detected, as shown in Table 11.

Table 11.
Optical properties of the different dyes in 1-methyl-2 pyrrolidone.
Interestingly, a good photobleaching of the polymer films was obtained with the different 12-substituted 12H-quinoxalino-[2,3-b][1,4]-benzothiazines, in combination with Ph2I+PF6− during the FRP of acrylates []. In 2017, a series of quinoxalines bearing photocleavable groups and hydrogen-abstracting groups was proposed by Jiang and coworkers (See Figure 31) []. In depending on the reaction conditions, these photoinitiators can act as Type I photoinitiators and Type II photoinitiators in the presence of a hydrogen donor. The mechanism of photoinitiation in the two cases is depicted in Scheme 6.

Figure 31.
Chemical structures of diphenylquinoxaline derivatives (SQs) with phenyl-thioether units.

Scheme 6.
Mechanism of photoinitiation with diphenylquinoxaline derivatives (SQs) comprising phenyl-thioether units (* corresponds to the excited state).
In this series of dyes, the most red-shifted absorptions were found for SQ2 and SQ3, exhibiting the most extended π-conjugation (See Figure 32 and Table 12). Absorption maxima peaking at 402 and 410 nm were, respectively, determined for SQ2 and SQ3. Considering that all dyes absorb in the 320–400 nm range, photopolymerization experiments were carried out at 350 nm.

Figure 32.
UV-visible absorption spectra of SQ1–SQ4 in chloroform. Reprinted from Ref. [], Copyright 2017, Elsevier.

Table 12.
Optical characteristics of SQ1–SQ4 in chloroform.
Photopolymerization of 1,6-hexanediol diacrylate (HDDA) using SQ1–SQ4 as Type I photoinitiators revealed all dyes furnished monomer conversions higher than 80% upon irradiation at 350 nm for 3 min. Despite a long inhibition time, SQ2 furnished the highest monomer conversion, around 90% (See Figure 33). Examination of their photo-initiating abilities as Type II photoinitiators revealed that the HDDA conversion was greatly improved by using the two-component dye/EDB systems (See Figure 34). In this case, monomer conversions higher than 90% were determined.

Figure 33.
Photopolymerization profiles of HDDA using SQ1–SQ4 as Type I photoinitiators under inert atmosphere. Reproduced with permission of Ref. [].

Figure 34.
Photopolymerization profiles of HDDA using the SQ1–SQ4 as Type II photoinitiators in combination with EDB under inert atmosphere. Reproduced with permission of Ref. [].
The higher monomer conversions obtained by using the two-component dye/EDB systems were assigned to synergistic effects resulting from the photocleavage of the thioether groups and the hydrogen abstraction mechanism of the quinoxaline groups, producing, in turn, more free radicals due to the concomitant occurrence of the Type I and Type II mechanism. Among the three hydrogen donors examined, i.e., EDB, MBO and MDEA, EDB proved to be the best co-initiator irrespective of the dye.
In 2014, a benzyl quinoxalinium hexafluoroantimonate (BQH) was reported for the first time as a Type I photo-latent initiator (See Figure 35) []. Upon irradiation with a UV light, the salt cleaved, generating a benzyl cation acting as the initiation species. However, due to the lack of absorption of the quinoxalinium salt in the visible range, this approach remained limited to UV photopolymerization.

Figure 35.
Chemical structure of BQH.
Quinoxaline derivatives were also extensively used as electron acceptors in photoredox pairs. In order to improve the electron-withdrawing ability of quinoxalines, naphthoquinone was incorporated in the structures of QNX-41 and QNX-42 (See Figure 36) []. Using phenylthiolacetic acid, with phenoxyacetic acid and N-phenylglycine as the electron donors, the FRP of TMPTA was efficiently promoted. Among the most interesting results, QNX-41 and QNX-42 were used as electron donors despite the presence of the naphthoquinone moiety, and these dyes also induced the cationic polymerization of CHO using Py1, Py2 and Ph2I+PF6− as the electron acceptors. A strong influence of the electron acceptor used was evidenced since a two-fold increase in the CHO conversion was obtained with Py1, compared to Py2 and Ph2I+PF6− (See Table 13).

Figure 36.
Chemical structures of naphthoquinone-based quinoxalines QNX-41 and QNX-42.

Table 13.
Monomer conversions obtained during the CP of CHO using Py1, Py2 and Ph2I+PF6− as the electron acceptors for QNX-41 and QNX-42 after 40 min. of irradiation.
The ability of dyes to act indifferently as electron donors or electron acceptors was also demonstrated for a series of 6-pyridinium benzo[a]phenazine-5-oxide derivatives QNX-43-QNX-46 (See Figure 37) []. Here again, the different two-component systems initiated the FRP of TMPTA or the CP of CHO.

Figure 37.
Chemical structures of 6-pyridinium benzo[a]phenazine-5-oxide derivatives QNX-43-QNX-46.
As shown in Figure 38 and in Table 14, the absorption of these dyes was broad, extending in the visible range between 400 and 600 nm. A xenon lamp could thus be used for the polymerization experiments. Once again, the presence of halogens and especially of a bromine atom on QNX-46 was beneficial for the polymerization rate. Notably, during the FRP of TMPTA and using the two-component dye/NPG systems, the highest polymerization rate was determined for QNX-46 (See Figure 39). Following QNX-46, the second-best TMPTA polymerization rate was obtained with QNX-45 bearing chlorine atoms. Comparisons performed with camphorquinone used as a reference compound revealed that the new photo-initiating systems outperformed this reference compound.

Figure 38.
UV-visible absorption spectra of QNX-43-QNX-46 in 1-methyl-2-pyrrolidone. Reprinted from Ref. [], Copyright 2014, Wiley.

Table 14.
Optical characteristics of QNX-43-QNX-46 in 1-methylpyrrolidone.

Figure 39.
Polymerization profiles obtained during the FRP of TMPTA using the two-component dye/NPG photo-initiating systems upon irradiation with a Xe lamp. Reprinted from Ref. [] Copyright 2014, Wiley.
3. Current Research Situation
A rapid survey of the literature published since 2021 clearly indicates new research trends to be developed with quinoxalines. In this field, the most dynamic research field is undoubtedly the design of photoinitiators for dental applications.
3.1. Dental Applications
Acenaphthoquinoxalines AN1–AN8 proved to be suitable candidates in combination with 2-mercaptobenzoxazole as the co-initiator (See Figure 11) []. Among the most interesting finding, the heat released during photopolymerization was comparable to that observed for photoinitiators traditionally used in dentistry, such as camphorquinone. As shown in Figure 40, a similar exothermicity can be evidenced using (3,4-dimethoxyphenylthio)acetic acid (diMPhTAA) as the co-initiator and upon irradiation at 400 nm with a dental lamp (I = 30 mW/cm2). In the presence of glass ionomer, a filler classically used for dental fillings, composites prepared with AN6 exhibited the natural color of dental fillings, evidencing the pertinence of the approach (See Figure 41). Similar polymerization abilities were also demonstrated with IN1–IN4 (See Figure 9).

Figure 40.
Comparison of the photo-initiating ability of AN6 and camphorquinone (CQ) using same co-initiator, (3,4-dimethoxyphenylthio)acetic acid (diMPhTAA). Reprinted from Ref. [], Copyright 2021, MDPI.

Figure 41.
(a) Resins polymerized with AN2 (left), AN3 (center) and AN8 (right) in combination with diMPhTAA. (b) without fillers. (c) with fillers. Reprinted from Ref. [] Copyright 2021, MDPI.
3.2. Photopolymerization under Sunlight
Another emerging research topic concerns the design of sunlight photoinitiators []. Indeed, Sun is the cheapest light source available on Earth. Sun exhibits a broad emission spectrum. This resource is also free and unlimited on Earth and can allow the polymerization process to be carried out in energy-saving conditions. In 2021, the first photosensitizer based on quinoxaline dyes (TPDC6) was proposed by Zafer and coworkers (See Figure 26) []. In this study, Sun was not directly used as the light source but as a sunlight solar simulator. In order to monitor the polymerization of the epoxide resin, the polymerization process was monitored by RT-FTIR, by following the peak at 914 cm−1, which is a peak characteristic of the oxirane ring. Additionally, during polymerization, a new peak appeared at 1108 cm−1, indicative of the ring-opening polymerization. By using the solar simulator (100 mW/cm2), the beginning of the polymerization process was detected 30 min. after the light was switched on, enabling the ability to obtain an excellent conversion of 83% after 120 min. of irradiation using bisphenol-A-diglycidyl ether as the monomer. In this case, a two-component dye/Ph2I+PF6− photo-initiating system was used to initiate the CP of the epoxide resin.
3.3. The Different Families of Dyes Designed with Quinoxalines
Over the years, numerous quinoxaline derivatives have been designed and synthesized. Among the most interesting features, dyes exhibiting the broadest absorption spectra were 6-pyridinium benzo[a]phenazine-5-oxides, PQXTP and DOPEQ. By extending the π-conjugation, dyes absorbing between 300 and 700 nm could be obtained (See Figure 42). However, for most of the families, the absorption range remained located in the 300–500 nm region, as exemplified with acenaphthoquinoxalines, pyrazoloquinoxalines or 12H-quinoxalino-[2,3-b][1,4]-benzothiazines.

Figure 42.
Absorption range of the different families of dyes depicted in this review.
4. Conclusions and Future Prospects
Photopolymerization based on quinoxaline derivatives has been an active research field. Since the pioneering works performed in 1999, numerous structures have been examined. Over the years, chemical engineering has enabled to redshift the absorption of quinoxaline from the UV range towards the visible region. Among the most interesting results, several quinoxaline derivatives were found effective as photoinitiators for sunlight polymerization. This certainly constitutes the future of quinoxalines by enabling polymerization in energy-saving conditions. A few Type I photoinitiators also have been proposed. Considering the significant simplification of the photocurable resins Type I photoinitiators propose, the development of quinoxaline-based Type I photoinitiators constitute the second research topic. In this field, some structures are easily accessible such as oxime esters of phenyl glyoxylate derivatives, and it is surprising that such structures have not been proposed yet. Noticeably, no water-soluble photoinitiator based on quinoxalines has been reported in the literature to date. In addition, it could greatly help to develop more environmentally friendly polymerization conditions. This issue will certainly be addressed in the coming years. Nowadays, the recyclability of polymers is a major concern of our society, and a few examples of photoinitiators of depolymerization have been proposed in the literature [,]. The design of photoinitiators/photosensitizers that could be used both for the polymerization of acrylates and after polymer use could contribute to depolymerize acrylates is a real challenge that should be overcome to address the recycling of the ever-growing production of plastics.
Funding
Aix Marseille University and the Centre National de la Recherche Scientifique are greatly acknowledged for financial support.
Data Availability Statement
No data available for this research.
Conflicts of Interest
The author declares no conflict of interest.
References
- Jasinski, F.; Zetterlund, P.B.; Braun, A.M.; Chemtob, A. Photopolymerization in Dispersed Systems. Prog. Polym. Sci. 2018, 84, 47–88. [Google Scholar] [CrossRef]
- Noè, C.; Hakkarainen, M.; Sangermano, M. Cationic UV-Curing of Epoxidized Biobased Resins. Polymers 2021, 13, 89. [Google Scholar] [CrossRef] [PubMed]
- Yuan, Y.; Li, C.; Zhang, R.; Liu, R.; Liu, J. Low Volume Shrinkage Photopolymerization System Using Hydrogen-Bond-Based Monomers. Prog. Org. Coat. 2019, 137, 105308. [Google Scholar] [CrossRef]
- Khudyakov, I.V.; Legg, J.C.; Purvis, M.B.; Overton, B.J. Kinetics of Photopolymerization of Acrylates with Functionality of 1−6. Ind. Eng. Chem. Res. 1999, 38, 3353–3359. [Google Scholar] [CrossRef]
- Dickens, S.H.; Stansbury, J.W.; Choi, K.M.; Floyd, C.J.E. Photopolymerization Kinetics of Methacrylate Dental Resins. Macromolecules 2003, 36, 6043–6053. [Google Scholar] [CrossRef]
- Maffezzoli, A.; Pietra, A.D.; Rengo, S.; Nicolais, L.; Valletta, G. Photopolymerization of Dental Composite Matrices. Biomaterials 1994, 15, 1221–1228. [Google Scholar] [CrossRef]
- Dikova, T.; Maximov, J.; Todorov, V.; Georgiev, G.; Panov, V. Optimization of Photopolymerization Process of Dental Composites. Processes 2021, 9, 779. [Google Scholar] [CrossRef]
- Andreu, A.; Su, P.-C.; Kim, J.-H.; Ng, C.S.; Kim, S.; Kim, I.; Lee, J.; Noh, J.; Subramanian, A.S.; Yoon, Y.-J. 4D Printing Materials for Vat Photopolymerization. Addit. Manuf. 2021, 44, 102024. [Google Scholar] [CrossRef]
- Chen, H.; Noirbent, G.; Zhang, Y.; Sun, K.; Liu, S.; Brunel, D.; Gigmes, D.; Graff, B.; Morlet-Savary, F.; Xiao, P.; et al. Photopolymerization and 3D/4D Applications Using Newly Developed Dyes: Search around the Natural Chalcone Scaffold in Photoinitiating Systems. Dye. Pigment. 2021, 188, 109213. [Google Scholar] [CrossRef]
- Bagheri, A.; Jin, J. Photopolymerization in 3D Printing. ACS Appl. Polym. Mater. 2019, 1, 593–611. [Google Scholar] [CrossRef]
- Lalevée, J.; Fouassier, J.-P. Dyes and Chromophores in Polymer Science; ISTE Ltd. and John Wiley & Sons Inc.: Hoboken, NJ, USA, 2015; ISBN 978-1-84821-742-3. [Google Scholar]
- Armstrong, B.K.; Kricker, A. The Epidemiology of UV Induced Skin Cancer. Consequences Expo. Sunlightelements Assess Prot. 2001, 63, 8–18. [Google Scholar] [CrossRef] [PubMed]
- de Gruijl, F.R. Skin Cancer and Solar UV Radiation. Eur. J. Cancer 1999, 35, 2003–2009. [Google Scholar] [CrossRef] [PubMed]
- Narayanan, D.L.; Saladi, R.N.; Fox, J.L. Review: Ultraviolet Radiation and Skin Cancer. Int. J. Dermatol. 2010, 49, 978–986. [Google Scholar] [CrossRef] [PubMed]
- Shao, J.; Huang, Y.; Fan, Q. Visible Light Initiating Systems for Photopolymerization: Status, Development and Challenges. Polym. Chem. 2014, 5, 4195–4210. [Google Scholar] [CrossRef]
- Kim, K.; Sinha, J.; Gao, G.; Childress, K.K.; Sartor, S.M.; Salazar, A.M.; Huang, S.; Musgrave, C.B.; Stansbury, J.W. High-Efficiency Radical Photopolymerization Enhanced by Autonomous Dark Cure. Macromolecules 2020, 53, 5034–5046. [Google Scholar] [CrossRef]
- Shaukat, U.; Sölle, B.; Rossegger, E.; Rana, S.; Schlögl, S. Vat Photopolymerization 3D-Printing of Dynamic Thiol-Acrylate Photopolymers Using Bio-Derived Building Blocks. Polymers 2022, 14, 5377. [Google Scholar] [CrossRef]
- Müller, S.M.; Schlögl, S.; Wiesner, T.; Haas, M.; Griesser, T. Recent Advances in Type I Photoinitiators for Visible Light Induced Photopolymerization. ChemPhotoChem 2022, 6, e202200091. [Google Scholar] [CrossRef]
- Petko, F.; Świeży, A.; Ortyl, J. Photoinitiating Systems and Kinetics of Frontal Photopolymerization Processes—The Prospects for Efficient Preparation of Composites and Thick 3D Structures. Polym. Chem. 2021, 12, 4593–4612. [Google Scholar] [CrossRef]
- Tehfe, M.A.; Louradour, F.; Lalevée, J.; Fouassier, J.-P. Photopolymerization Reactions: On the Way to a Green and Sustainable Chemistry. Appl. Sci. 2013, 3, 490–514. [Google Scholar] [CrossRef]
- Awwad, N.; Bui, A.T.; Danilov, E.O.; Castellano, F.N. Visible-Light-Initiated Free-Radical Polymerization by Homomolecular Triplet-Triplet Annihilation. Chem 2020, 6, 3071–3085. [Google Scholar] [CrossRef]
- Tomal, W.; Ortyl, J. Water-Soluble Photoinitiators in Biomedical Applications. Polymers 2020, 12, 1073. [Google Scholar] [CrossRef] [PubMed]
- Fiedor, P.; Pilch, M.; Szymaszek, P.; Chachaj-Brekiesz, A.; Galek, M.; Ortyl, J. Photochemical Study of a New Bimolecular Photoinitiating System for Vat Photopolymerization 3D Printing Techniques under Visible Light. Catalysts 2020, 11, 284. [Google Scholar] [CrossRef]
- Hola, E.; Fiedor, P.; Dzienia, A.; Ortyl, J. Visible-Light Amine Thioxanthone Derivatives as Photoredox Catalysts for Photopolymerization Processes. ACS Appl. Polym. Mater. 2021, 3, 5547–5558. [Google Scholar] [CrossRef]
- Hola, E.; Topa, M.; Chachaj-Brekiesz, A.; Pilch, M.; Fiedor, P.; Galek, M.; Ortyl, J. New, Highly Versatile Bimolecular Photoinitiating Systems for Free-Radical, Cationic and Thiol–Ene Photopolymerization Processes under Low Light Intensity UV and Visible LEDs for 3D Printing Application. RSC Adv. 2020, 10, 7509–7522. [Google Scholar] [CrossRef] [PubMed]
- Xiao, P.; Dumur, F.; Graff, B.; Morlet-Savary, F.; Vidal, L.; Gigmes, D.; Fouassier, J.P.; Lalevée, J. Structural Effects in the Indanedione Skeleton for the Design of Low Intensity 300–500 Nm Light Sensitive Initiators. Macromolecules 2014, 47, 26–34. [Google Scholar] [CrossRef]
- Fouassier, J.P.; Lalevée, J. Three-Component Photoinitiating Systems: Towards Innovative Tailor Made High Performance Combinations. RSC Adv. 2012, 2, 2621–2629. [Google Scholar] [CrossRef]
- Lalevée, J.; Blanchard, N.; Tehfe, M.A.; Fries, C.; Morlet-Savary, F.; Gigmes, D.; Fouassier, J.P. New Thioxanthone and Xanthone Photoinitiators Based on Silyl Radical Chemistry. Polym. Chem. 2011, 2, 1077–1084. [Google Scholar] [CrossRef]
- Lalevée, J.; Telitel, S.; Tehfe, M.A.; Fouassier, J.P.; Curran, D.P.; Lacôte, E. N-Heterocyclic Carbene Boranes Accelerate Type I Radical Photopolymerizations and Overcome Oxygen Inhibition. Angew. Chem. Int. Ed. 2012, 51, 5958–5961. [Google Scholar] [CrossRef]
- Oster, G. Dye-Sensitized Photopolymerization. Nature 1954, 173, 300–301. [Google Scholar] [CrossRef]
- Bonardi, A.H.; Dumur, F.; Grant, T.M.; Noirbent, G.; Gigmes, D.; Lessard, B.H.; Fouassier, J.-P.; Lalevée, J. High Performance Near-Infrared (NIR) Photoinitiating Systems Operating under Low Light Intensity and in the Presence of Oxygen. Macromolecules 2018, 51, 1314–1324. [Google Scholar] [CrossRef]
- Garra, P.; Dietlin, C.; Morlet-Savary, F.; Dumur, F.; Gigmes, D.; Fouassier, J.-P.; Lalevée, J. Photopolymerization Processes of Thick Films and in Shadow Areas: A Review for the Access to Composites. Polym. Chem. 2017, 8, 7088–7101. [Google Scholar] [CrossRef]
- Dumur, F. Recent Advances on Photobleachable Visible Light Photoinitiators of Polymerization. Eur. Polym. J. 2023, 186, 111874. [Google Scholar] [CrossRef]
- Zhang, J.; Campolo, D.; Dumur, F.; Xiao, P.; Gigmes, D.; Fouassier, J.P.; Lalevée, J. The Carbazole-Bound Ferrocenium Salt as a Specific Cationic Photoinitiator upon near-UV and Visible LEDs (365–405 Nm). Polym. Bull. 2016, 73, 493–507. [Google Scholar] [CrossRef]
- Al Mousawi, A.; Dumur, F.; Garra, P.; Toufaily, J.; Hamieh, T.; Graff, B.; Gigmes, D.; Fouassier, J.P.; Lalevée, J. Carbazole Scaffold Based Photoinitiator/Photoredox Catalysts: Toward New High Performance Photoinitiating Systems and Application in LED Projector 3D Printing Resins. Macromolecules 2017, 50, 2747–2758. [Google Scholar] [CrossRef]
- Al Mousawi, A.; Lara, D.M.; Noirbent, G.; Dumur, F.; Toufaily, J.; Hamieh, T.; Bui, T.-T.; Goubard, F.; Graff, B.; Gigmes, D.; et al. Carbazole Derivatives with Thermally Activated Delayed Fluorescence Property as Photoinitiators/Photoredox Catalysts for LED 3D Printing Technology. Macromolecules 2017, 50, 4913–4926. [Google Scholar] [CrossRef]
- Al Mousawi, A.; Garra, P.; Dumur, F.; Bui, T.-T.; Goubard, F.; Toufaily, J.; Hamieh, T.; Graff, B.; Gigmes, D.; Fouassier, J.P.; et al. Novel Carbazole Skeleton-Based Photoinitiators for LED Polymerization and LED Projector 3D Printing. Molecules 2017, 22, 2143. [Google Scholar] [CrossRef]
- Mousawi, A.A.; Arar, A.; Ibrahim-Ouali, M.; Duval, S.; Dumur, F.; Garra, P.; Toufaily, J.; Hamieh, T.; Graff, B.; Gigmes, D.; et al. Carbazole-Based Compounds as Photoinitiators for Free Radical and Cationic Polymerization upon near Visible Light Illumination. Photochem. Photobiol. Sci. 2018, 17, 578–585. [Google Scholar] [CrossRef]
- Abdallah, M.; Magaldi, D.; Hijazi, A.; Graff, B.; Dumur, F.; Fouassier, J.-P.; Bui, T.-T.; Goubard, F.; Lalevée, J. Development of New High-Performance Visible Light Photoinitiators Based on Carbazole Scaffold and Their Applications in 3d Printing and Photocomposite Synthesis. J. Polym. Sci. Part Polym. Chem. 2019, 57, 2081–2092. [Google Scholar] [CrossRef]
- Dumur, F. Recent Advances on Carbazole-Based Photoinitiators of Polymerization. Eur. Polym. J. 2020, 125, 109503. [Google Scholar] [CrossRef]
- Liu, S.; Graff, B.; Xiao, P.; Dumur, F.; Lalevée, J. Nitro-Carbazole Based Oxime Esters as Dual Photo/Thermal Initiators for 3D Printing and Composite Preparation. Macromol. Rapid Commun. 2021, 42, 2100207. [Google Scholar] [CrossRef]
- Hammoud, F.; Hijazi, A.; Duval, S.; Lalevée, J.; Dumur, F. 5,12-Dihydroindolo[3,2-a]Carbazole: A Promising Scaffold for the Design of Visible Light Photoinitiators of Polymerization. Eur. Polym. J. 2022, 162, 110880. [Google Scholar] [CrossRef]
- Liu, S.; Giacoletto, N.; Schmitt, M.; Nechab, M.; Graff, B.; Morlet-Savary, F.; Xiao, P.; Dumur, F.; Lalevée, J. Effect of Decarboxylation on the Photoinitiation Behavior of Nitrocarbazole-Based Oxime Esters. Macromolecules 2022, 55, 2475–2485. [Google Scholar] [CrossRef]
- Hammoud, F.; Hijazi, A.; Ibrahim-Ouali, M.; Lalevée, J.; Dumur, F. Chemical Engineering around the 5,12-Dihydroindolo[3,2-a]Carbazole Scaffold: Fine Tuning of the Optical Properties of Visible Light Photoinitiators of Polymerization. Eur. Polym. J. 2022, 172, 111218. [Google Scholar] [CrossRef]
- Xu, C.; Gong, S.; Wu, X.; Wu, Y.; Liao, Q.; Xiong, Y.; Li, Z.; Tang, H. High-Efficient Carbazole-Based Photo-Bleachable Dyes as Free Radical Initiators for Visible Light Polymerization. Dye. Pigment. 2022, 198, 110039. [Google Scholar] [CrossRef]
- Dumur, F. Recent Advances on Carbazole-Based Oxime Esters as Photoinitiators of Polymerization. Eur. Polym. J. 2022, 175, 111330. [Google Scholar] [CrossRef]
- Hammoud, F.; Giacoletto, N.; Nechab, M.; Graff, B.; Hijazi, A.; Dumur, F.; Lalevée, J. 5,12-Dialkyl-5,12-Dihydroindolo[3,2-a]Carbazole-Based Oxime-Esters for LED Photoinitiating Systems and Application on 3D Printing. Macromol. Mater. Eng. 2022, 307, 2200082. [Google Scholar] [CrossRef]
- Zhang, J.; Lalevée, J.; Zhao, J.; Graff, B.; Stenzel, M.H.; Xiao, P. Dihydroxyanthraquinone Derivatives: Natural Dyes as Blue-Light-Sensitive Versatile Photoinitiators of Photopolymerization. Polym. Chem. 2016, 7, 7316–7324. [Google Scholar] [CrossRef]
- Kamoun, E.A.; Winkel, A.; Eisenburger, M.; Menzel, H. Carboxylated Camphorquinone as Visible-Light Photoinitiator for Biomedical Application: Synthesis, Characterization, and Application. Arab. J. Chem. 2016, 9, 745–754. [Google Scholar] [CrossRef]
- Santini, A.; Gallegos, I.T.; Felix, C.M. Photoinitiators in Dentistry: A Review. Prim. Dent. J. 2013, 2, 30–33. [Google Scholar] [CrossRef]
- Chen, H.; Noirbent, G.; Sun, K.; Brunel, D.; Gigmes, D.; Morlet-Savary, F.; Zhang, Y.; Liu, S.; Xiao, P.; Dumur, F.; et al. Photoinitiators Derived from Natural Product Scaffolds: Monochalcones in Three-Component Photoinitiating Systems and Their Applications in 3D Printing. Polym. Chem. 2020, 11, 4647–4659. [Google Scholar] [CrossRef]
- Tang, L.; Nie, J.; Zhu, X. A High Performance Phenyl-Free LED Photoinitiator for Cationic or Hybrid Photopolymerization and Its Application in LED Cationic 3D Printing. Polym. Chem. 2020, 11, 2855–2863. [Google Scholar] [CrossRef]
- Xu, Y.; Noirbent, G.; Brunel, D.; Ding, Z.; Gigmes, D.; Graff, B.; Xiao, P.; Dumur, F.; Lalevée, J. Allyloxy Ketones as Efficient Photoinitiators with High Migration Stability in Free Radical Polymerization and 3D Printing. Dye. Pigment. 2021, 185, 108900. [Google Scholar] [CrossRef]
- Xu, Y.; Ding, Z.; Zhu, H.; Graff, B.; Knopf, S.; Xiao, P.; Dumur, F.; Lalevée, J. Design of Ketone Derivatives as Highly Efficient Photoinitiators for Free Radical and Cationic Photopolymerizations and Application in 3D Printing of Composites. J. Polym. Sci. 2020, 58, 3432–3445. [Google Scholar] [CrossRef]
- Chen, H.; Noirbent, G.; Liu, S.; Brunel, D.; Graff, B.; Gigmes, D.; Zhang, Y.; Sun, K.; Morlet-Savary, F.; Xiao, P.; et al. Bis-Chalcone Derivatives Derived from Natural Products as near-UV/Visible Light Sensitive Photoinitiators for 3D/4D Printing. Mater. Chem. Front. 2021, 5, 901–916. [Google Scholar] [CrossRef]
- Liu, S.; Zhang, Y.; Sun, K.; Graff, B.; Xiao, P.; Dumur, F.; Lalevée, J. Design of Photoinitiating Systems Based on the Chalcone-Anthracene Scaffold for LED Cationic Photopolymerization and Application in 3D Printing. Eur. Polym. J. 2021, 147, 110300. [Google Scholar] [CrossRef]
- Giacoletto, N.; Dumur, F. Recent Advances in Bis-Chalcone-Based Photoinitiators of Polymerization: From Mechanistic Investigations to Applications. Molecules 2021, 26, 3192. [Google Scholar] [CrossRef]
- Ibrahim-Ouali, M.; Dumur, F. Recent Advances on Chalcone-Based Photoinitiators of Polymerization. Eur. Polym. J. 2021, 158, 110688. [Google Scholar] [CrossRef]
- Chen, H.; Noirbent, G.; Liu, S.; Zhang, Y.; Sun, K.; Morlet-Savary, F.; Gigmes, D.; Xiao, P.; Dumur, F.; Lalevée, J. In Situ Generation of Ag Nanoparticles during Photopolymerization by Using Newly Developed Dyes-Based Three-Component Photoinitiating Systems and the Related 3D Printing Applications and Their Shape Change Behavior. J. Polym. Sci. 2021, 59, 843–859. [Google Scholar] [CrossRef]
- Chen, H.; Vahdati, M.; Xiao, P.; Dumur, F.; Lalevée, J. Water-Soluble Visible Light Sensitive Photoinitiating System Based on Charge Transfer Complexes for the 3D Printing of Hydrogels. Polymers 2021, 13, 3195. [Google Scholar] [CrossRef]
- Tehfe, M.-A.; Dumur, F.; Xiao, P.; Delgove, M.; Graff, B.; Fouassier, J.-P.; Gigmes, D.; Lalevée, J. Chalcone Derivatives as Highly Versatile Photoinitiators for Radical, Cationic, Thiol–Ene and IPN Polymerization Reactions upon Exposure to Visible Light. Polym. Chem. 2014, 5, 382–390. [Google Scholar] [CrossRef]
- Sun, K.; Xu, Y.; Dumur, F.; Morlet-Savary, F.; Chen, H.; Dietlin, C.; Graff, B.; Lalevée, J.; Xiao, P. In Silico Rational Design by Molecular Modeling of New Ketones as Photoinitiators in Three-Component Photoinitiating Systems: Application in 3D Printing. Polym. Chem. 2020, 11, 2230–2242. [Google Scholar] [CrossRef]
- Chen, H.; Regeard, C.; Salmi, H.; Morlet-Savary, F.; Giacoletto, N.; Nechab, M.; Xiao, P.; Dumur, F.; Lalevée, J. Interpenetrating Polymer Network Hydrogels Using Natural Based Dyes Initiating Systems: Antibacterial Activity and 3D/4D Performance. Eur. Polym. J. 2022, 166, 111042. [Google Scholar] [CrossRef]
- Zivic, N.; Bouzrati-Zerrelli, M.; Villotte, S.; Morlet-Savary, F.; Dietlin, C.; Dumur, F.; Gigmes, D.; Fouassier, J.P.; Lalevée, J. A Novel Naphthalimide Scaffold Based Iodonium Salt as a One-Component Photoacid/Photoinitiator for Cationic and Radical Polymerization under LED Exposure. Polym. Chem. 2016, 7, 5873–5879. [Google Scholar] [CrossRef]
- Bonardi, A.-H.; Zahouily, S.; Dietlin, C.; Graff, B.; Morlet-Savary, F.; Ibrahim-Ouali, M.; Gigmes, D.; Hoffmann, N.; Dumur, F.; Lalevée, J. New 1,8-Naphthalimide Derivatives as Photoinitiators for Free-Radical Polymerization Upon Visible Light. Catalysts 2019, 9, 637. [Google Scholar] [CrossRef]
- Zhang, J.; Zivic, N.; Dumur, F.; Xiao, P.; Graff, B.; Fouassier, J.P.; Gigmes, D.; Lalevée, J. Naphthalimide-Tertiary Amine Derivatives as Blue-Light-Sensitive Photoinitiators. ChemPhotoChem 2018, 2, 481–489. [Google Scholar] [CrossRef]
- Xiao, P.; Dumur, F.; Zhang, J.; Graff, B.; Gigmes, D.; Fouassier, J.P.; Lalevée, J. Naphthalimide Derivatives: Substituent Effects on the Photoinitiating Ability in Polymerizations under Near UV, Purple, White and Blue LEDs (385, 395, 405, 455, or 470 Nm). Macromol. Chem. Phys. 2015, 216, 1782–1790. [Google Scholar] [CrossRef]
- Xiao, P.; Dumur, F.; Zhang, J.; Graff, B.; Gigmes, D.; Fouassier, J.P.; Lalevée, J. Naphthalimide-Phthalimide Derivative Based Photoinitiating Systems for Polymerization Reactions under Blue Lights. J. Polym. Sci. Part Polym. Chem. 2015, 53, 665–674. [Google Scholar] [CrossRef]
- Zhang, J.; Zivic, N.; Dumur, F.; Xiao, P.; Graff, B.; Gigmes, D.; Fouassier, J.P.; Lalevée, J. A Benzophenone-Naphthalimide Derivative as Versatile Photoinitiator of Polymerization under near UV and Visible Lights. J. Polym. Sci. Part Polym. Chem. 2015, 53, 445–451. [Google Scholar] [CrossRef]
- Zhang, J.; Zivic, N.; Dumur, F.; Xiao, P.; Graff, B.; Fouassier, J.P.; Gigmes, D.; Lalevée, J. N-[2-(Dimethylamino)Ethyl]-1,8-Naphthalimide Derivatives as Photoinitiators under LEDs. Polym. Chem. 2018, 9, 994–1003. [Google Scholar] [CrossRef]
- Zhang, J.; Dumur, F.; Xiao, P.; Graff, B.; Bardelang, D.; Gigmes, D.; Fouassier, J.P.; Lalevée, J. Structure Design of Naphthalimide Derivatives: Toward Versatile Photoinitiators for Near-UV/Visible LEDs, 3D Printing, and Water-Soluble Photoinitiating Systems. Macromolecules 2015, 48, 2054–2063. [Google Scholar] [CrossRef]
- Zhang, J.; Zivic, N.; Dumur, F.; Xiao, P.; Graff, B.; Fouassier, J.P.; Gigmes, D.; Lalevée, J. UV-Violet-Blue LED Induced Polymerizations: Specific Photoinitiating Systems at 365, 385, 395 and 405 Nm. Polymer 2014, 55, 6641–6648. [Google Scholar] [CrossRef]
- Xiao, P.; Dumur, F.; Graff, B.; Gigmes, D.; Fouassier, J.P.; Lalevée, J. Blue Light Sensitive Dyes for Various Photopolymerization Reactions: Naphthalimide and Naphthalic Anhydride Derivatives. Macromolecules 2014, 47, 601–608. [Google Scholar] [CrossRef]
- Xiao, P.; Dumur, F.; Frigoli, M.; Tehfe, M.-A.; Graff, B.; Fouassier, J.P.; Gigmes, D.; Lalevée, J. Naphthalimide Based Methacrylated Photoinitiators in Radical and Cationic Photopolymerization under Visible Light. Polym. Chem. 2013, 4, 5440–5448. [Google Scholar] [CrossRef]
- Noirbent, G.; Dumur, F. Recent Advances on Naphthalic Anhydrides and 1,8-Naphthalimide-Based Photoinitiators of Polymerization. Eur. Polym. J. 2020, 132, 109702. [Google Scholar] [CrossRef]
- Rahal, M.; Mokbel, H.; Graff, B.; Pertici, V.; Gigmes, D.; Toufaily, J.; Hamieh, T.; Dumur, F.; Lalevée, J. Naphthalimide-Based Dyes as Photoinitiators under Visible Light Irradiation and Their Applications: Photocomposite Synthesis, 3D Printing and Polymerization in Water. ChemPhotoChem 2021, 5, 476–490. [Google Scholar] [CrossRef]
- Rahal, M.; Graff, B.; Toufaily, J.; Hamieh, T.; Ibrahim-Ouali, M.; Dumur, F.; Lalevée, J. Naphthyl-Naphthalimides as High-Performance Visible Light Photoinitiators for 3D Printing and Photocomposites Synthesis. Catalysts 2021, 11, 1269. [Google Scholar] [CrossRef]
- Zivic, N.; Zhang, J.; Bardelang, D.; Dumur, F.; Xiao, P.; Jet, T.; Versace, D.-L.; Dietlin, C.; Morlet-Savary, F.; Graff, B.; et al. Novel Naphthalimide–Amine Based Photoinitiators Operating under Violet and Blue LEDs and Usable for Various Polymerization Reactions and Synthesis of Hydrogels. Polym. Chem. 2015, 7, 418–429. [Google Scholar] [CrossRef]
- Xiao, P.; Dumur, F.; Graff, B.; Morlet-Savary, F.; Gigmes, D.; Fouassier, J.P.; Lalevée, J. Design of High Performance Photoinitiators at 385–405 Nm: Search around the Naphthalene Scaffold. Macromolecules 2014, 47, 973–978. [Google Scholar] [CrossRef]
- Xiao, P.; Dumur, F.; Zhang, J.; Graff, B.; Gigmes, D.; Fouassier, J.P.; Lalevée, J. Amino and Nitro Substituted 2-Amino-1H-Benzo[de]Isoquinoline-1,3(2H)-Diones: As Versatile Photoinitiators of Polymerization from Violet-Blue LED Absorption to a Panchromatic Behavior. Polym. Chem. 2015, 6, 1171–1179. [Google Scholar] [CrossRef]
- Chen, H.; Pieuchot, L.; Xiao, P.; Dumur, F.; Lalevée, J. Water-Soluble/Visible-Light-Sensitive Naphthalimide Derivative-Based Photoinitiating Systems: 3D Printing of Antibacterial Hydrogels. Polym. Chem. 2022, 13, 2918–2932. [Google Scholar] [CrossRef]
- Liu, S.; Giacoletto, N.; Graff, B.; Morlet-Savary, F.; Nechab, M.; Xiao, P.; Dumur, F.; Lalevée, J. N-Naphthalimide Ester Derivatives as Type I; Photoinitiators for LED Photopolymerization. Mater. Today Chem. 2022, 26, 101137. [Google Scholar] [CrossRef]
- Liu, S.; Chen, H.; Zhang, Y.; Sun, K.; Xu, Y.; Morlet-Savary, F.; Graff, B.; Noirbent, G.; Pigot, C.; Brunel, D.; et al. Monocomponent Photoinitiators Based on Benzophenone-Carbazole Structure for LED Photoinitiating Systems and Application on 3D Printing. Polymers 2020, 12, 1394. [Google Scholar] [CrossRef] [PubMed]
- Xiao, P.; Dumur, F.; Graff, B.; Gigmes, D.; Fouassier, J.P.; Lalevée, J. Variations on the Benzophenone Skeleton: Novel High Performance Blue Light Sensitive Photoinitiating Systems. Macromolecules 2013, 46, 7661–7667. [Google Scholar] [CrossRef]
- Zhang, J.; Frigoli, M.; Dumur, F.; Xiao, P.; Ronchi, L.; Graff, B.; Morlet-Savary, F.; Fouassier, J.P.; Gigmes, D.; Lalevée, J. Design of Novel Photoinitiators for Radical and Cationic Photopolymerizations under Near UV and Visible LEDs (385, 395, and 405 Nm). Macromolecules 2014, 47, 2811–2819. [Google Scholar] [CrossRef]
- Liu, S.; Brunel, D.; Noirbent, G.; Mau, A.; Chen, H.; Morlet-Savary, F.; Graff, B.; Gigmes, D.; Xiao, P.; Dumur, F.; et al. New Multifunctional Benzophenone-Based Photoinitiators with High Migration Stability and Their Applications in 3D Printing. Mater. Chem. Front. 2021, 5, 1982–1994. [Google Scholar] [CrossRef]
- Liu, S.; Brunel, D.; Sun, K.; Zhang, Y.; Chen, H.; Xiao, P.; Dumur, F.; Lalevée, J. Novel Photoinitiators Based on Benzophenone-Triphenylamine Hybrid Structure for LED Photopolymerization. Macromol. Rapid Commun. 2020, 41, 2000460. [Google Scholar] [CrossRef]
- Liu, S.; Brunel, D.; Sun, K.; Xu, Y.; Morlet-Savary, F.; Graff, B.; Xiao, P.; Dumur, F.; Lalevée, J. A Monocomponent Bifunctional Benzophenone–Carbazole Type II Photoinitiator for LED Photoinitiating Systems. Polym. Chem. 2020, 11, 3551–3556. [Google Scholar] [CrossRef]
- Tehfe, M.-A.; Dumur, F.; Graff, B.; Morlet-Savary, F.; Fouassier, J.-P.; Gigmes, D.; Lalevée, J. Trifunctional Photoinitiators Based on a Triazine Skeleton for Visible Light Source and UV LED Induced Polymerizations. Macromolecules 2012, 45, 8639–8647. [Google Scholar] [CrossRef]
- Lin, J.-T.; Lalevee, J. Efficacy Modeling of New Multi-Functional Benzophenone-Based System for Free-Radical/Cationic Hybrid Photopolymerization Using 405 Nm LED. J. Polym. Res. 2022, 29, 100. [Google Scholar] [CrossRef]
- Kirschner, J.; Baralle, A.; Paillard, J.; Graff, B.; Becht, J.-M.; Klee, J.E.; Lalevée, J. Silyl Glyoximides: Toward a New Class of Visible Light Photoinitiators. Macromol. Chem. Phys. 2022, 223, 2100500. [Google Scholar] [CrossRef]
- Dumur, F. Recent Advances on Visible Light Phenothiazine-Based Photoinitiators of Polymerization. Eur. Polym. J. 2022, 165, 110999. [Google Scholar] [CrossRef]
- Deng, L.; Tang, L.; Qu, J. Novel Chalcone-Based Phenothiazine Derivative Photoinitiators for Visible Light Induced Photopolymerization with Photobleaching and Good Biocompatibility. Prog. Org. Coat. 2022, 167, 106859. [Google Scholar] [CrossRef]
- Rahal, M.; Abdallah, M.; Bui, T.-T.; Goubard, F.; Graff, B.; Dumur, F.; Toufaily, J.; Hamieh, T.; Lalevée, J. Design of New Phenothiazine Derivatives as Visible Light Photoinitiators. Polym. Chem. 2020, 11, 3349–3359. [Google Scholar] [CrossRef]
- Li, S.; Hu, J.; Zhang, S.; Feng, C.; Zhang, L.; Wang, C.; He, Z.; Zhang, L. Novel A-π-D-π-A Structure Two-Photon Polymerization Initiators Based on Phenothiazine and Carbazole Derivatives. Chem. Pap. 2021, 75, 5249–5256. [Google Scholar] [CrossRef]
- Grishin, D.F.; Lizyakina, O.S.; Vaganova, L.B.; Kaltenberg, A.A.; Grishin, I.D. Radical Polymerization of Methyl Methacrylate in the Presence of Methylene Blue and Organobromides under Visible Light Irradiation. Iran. Polym. J. 2021, 30, 1117–1126. [Google Scholar] [CrossRef]
- Xu, D.; Zou, X.; Zhu, Y.; Yu, Z.; Jin, M.; Liu, R. Phenothiazine-Based Charge-Transfer Complexes as Visible-Light Photoinitiating Systems for Acrylate and Thiol-Ene Photopolymerization. Prog. Org. Coat. 2022, 166, 106772. [Google Scholar] [CrossRef]
- Zhu, Y.; Xu, D.; Zhang, Y.; Zhou, Y.; Yagci, Y.; Liu, R. Phenacyl Phenothiazinium Salt as a New Broad-Wavelength-Absorbing Photoinitiator for Cationic and Free Radical Polymerizations. Angew. Chem. Int. Ed. 2021, 60, 16917–16921. [Google Scholar] [CrossRef]
- Chao, P.; Gu, R.; Ma, X.; Wang, T.; Zhao, Y. Thiophene-Substituted Phenothiazine-Based Photosensitisers for Radical and Cationic Photopolymerization Reactions under Visible Laser Beams (405 and 455 Nm). Polym. Chem. 2016, 7, 5147–5156. [Google Scholar] [CrossRef]
- Zhou, T.F.; Ma, X.Y.; Han, W.X.; Guo, X.P.; Gu, R.Q.; Yu, L.J.; Li, J.; Zhao, Y.M.; Wang, T. D–D–A Dyes with Phenothiazine–Carbazole/Triphenylamine as Double Donors in Photopolymerization under 455 Nm and 532 Nm Laser Beams. Polym. Chem. 2016, 7, 5039–5049. [Google Scholar] [CrossRef]
- Wang, M.; Ma, X.; Yu, J.; Jia, X.; Han, D.; Zhou, T.; Yang, J.; Nie, J.; Wang, T. Aromatic Amine–Sulfone/Sulfoxide Conjugated D–π-A–π-D-Type Dyes in Photopolymerization under 405 Nm and 455 Nm Laser Beams. Polym. Chem. 2015, 6, 4424–4435. [Google Scholar] [CrossRef]
- Hao, F.; Liu, Z.; Zhang, M.; Liu, J.; Zhang, S.; Wu, J.; Zhou, H.; Tian, Y. Four New Two-Photon Polymerization Initiators with Varying Donor and Conjugated Bridge: Synthesis and Two-Photon Activity. Spectrochim. Acta Part A Mol. Biomol. Spectrosc. 2014, 118, 538–542. [Google Scholar] [CrossRef] [PubMed]
- Wang, Y.; Chen, R.; Liu, D.; Peng, C.; Wang, J.; Dong, X. New Functionalized Thioxanthone Derivatives as Type I Photoinitiators for Polymerization under UV-Vis LEDs. New J. Chem. 2023, 47, 5330–5337. [Google Scholar] [CrossRef]
- Karaca, N.; Ocal, N.; Arsu, N.; Jockusch, S. Thioxanthone-Benzothiophenes as Photoinitiator for Free Radical Polymerization. J. Photochem. Photobiol. Chem. 2016, 331, 22–28. [Google Scholar] [CrossRef]
- Balta, D.K.; Cetiner, N.; Temel, G.; Turgut, Z.; Arsu, N. An Annelated Thioxanthone as a New Type II Initiator. J. Photochem. Photobiol. Chem. 2008, 199, 316–321. [Google Scholar] [CrossRef]
- Balta, D.K.; Temel, G.; Goksu, G.; Ocal, N.; Arsu, N. Thioxanthone–Diphenyl Anthracene: Visible Light Photoinitiator. Macromolecules 2012, 45, 119–125. [Google Scholar] [CrossRef]
- Dadashi-Silab, S.; Aydogan, C.; Yagci, Y. Shining a Light on an Adaptable Photoinitiator: Advances in Photopolymerizations Initiated by Thioxanthones. Polym. Chem. 2015, 6, 6595–6615. [Google Scholar] [CrossRef]
- Eren, T.N.; Yasar, N.; Aviyente, V.; Morlet-Savary, F.; Graff, B.; Fouassier, J.P.; Lalevee, J.; Avci, D. Photophysical and Photochemical Studies of Novel Thioxanthone-Functionalized Methacrylates through LED Excitation. Macromol. Chem. Phys. 2016, 217, 1501–1512. [Google Scholar] [CrossRef]
- Qiu, J.; Wei, J. Thioxanthone Photoinitiator Containing Polymerizable N-Aromatic Maleimide for Photopolymerization. J. Polym. Res. 2014, 21, 559. [Google Scholar] [CrossRef]
- Tar, H.; Sevinc Esen, D.; Aydin, M.; Ley, C.; Arsu, N.; Allonas, X. Panchromatic Type II Photoinitiator for Free Radical Polymerization Based on Thioxanthone Derivative. Macromolecules 2013, 46, 3266–3272. [Google Scholar] [CrossRef]
- Wu, Q.; Wang, X.; Xiong, Y.; Yang, J.; Tang, H. Thioxanthone Based One-Component Polymerizable Visible Light Photoinitiator for Free Radical Polymerization. RSC Adv. 2016, 6, 66098–66107. [Google Scholar] [CrossRef]
- Wu, Q.; Tang, K.; Xiong, Y.; Wang, X.; Yang, J.; Tang, H. High-Performance and Low Migration One-Component Thioxanthone Visible Light Photoinitiators. Macromol. Chem. Phys. 2017, 218, 1600484. [Google Scholar] [CrossRef]
- Wu, X.; Jin, M.; Malval, J.-P.; Wan, D.; Pu, H. Visible Light-Emitting Diode-Sensitive Thioxanthone Derivatives Used in Versatile Photoinitiating Systems for Photopolymerizations. J. Polym. Sci. Part Polym. Chem. 2017, 55, 4037–4045. [Google Scholar] [CrossRef]
- Lalevée, J.; Tehfe, M.-A.; Dumur, F.; Gigmes, D.; Graff, B.; Morlet-Savary, F.; Fouassier, J.-P. Light-Harvesting Organic Photoinitiators of Polymerization. Macromol. Rapid Commun. 2013, 34, 239–245. [Google Scholar] [CrossRef] [PubMed]
- Esen, D.S.; Karasu, F.; Arsu, N. The Investigation of Photoinitiated Polymerization of Multifunctional Acrylates with TX-BT by Photo-DSC and RT-FTIR. Prog. Org. Coat. 2011, 70, 102–107. [Google Scholar] [CrossRef]
- Gencoglu, T.; Eren, T.N.; Lalevée, J.; Avci, D. A Water Soluble, Low Migration, and Visible Light Photoinitiator by Thioxanthone-Functionalization of Poly(Ethylene Glycol)-Containing Poly(β-Amino Ester). Macromol. Chem. Phys. 2022, 223, 2100450. [Google Scholar] [CrossRef]
- Zhao, J.; Lalevée, J.; Lu, H.; MacQueen, R.; Kable, S.H.; Schmidt, T.W.; Stenzel, M.H.; Xiao, P. A New Role of Curcumin: As a Multicolor Photoinitiator for Polymer Fabrication under Household UV to Red LED Bulbs. Polym. Chem. 2015, 6, 5053–5061. [Google Scholar] [CrossRef]
- Crivello, J.V.; Bulut, U. Curcumin: A Naturally Occurring Long-Wavelength Photosensitizer for Diaryliodonium Salts. J. Polym. Sci. Part Polym. Chem. 2005, 43, 5217–5231. [Google Scholar] [CrossRef]
- Han, W.; Fu, H.; Xue, T.; Liu, T.; Wang, Y.; Wang, T. Facilely Prepared Blue-Green Light Sensitive Curcuminoids with Excellent Bleaching Properties as High Performance Photosensitizers in Cationic and Free Radical Photopolymerization. Polym. Chem. 2018, 9, 1787–1798. [Google Scholar] [CrossRef]
- Mishra, A.; Daswal, S. Curcumin, A Novel Natural Photoinitiator for the Copolymerization of Styrene and Methylmethacrylate. J. Macromol. Sci. Part A 2005, 42, 1667–1678. [Google Scholar] [CrossRef]
- Tehfe, M.-A.; Dumur, F.; Contal, E.; Graff, B.; Morlet-Savary, F.; Gigmes, D.; Fouassier, J.-P.; Lalevée, J. New Insights into Radical and Cationic Polymerizations upon Visible Light Exposure: Role of Novel Photoinitiator Systems Based on the Pyrene Chromophore. Polym. Chem. 2013, 4, 1625–1634. [Google Scholar] [CrossRef]
- Telitel, S.; Dumur, F.; Faury, T.; Graff, B.; Tehfe, M.-A.; Gigmes, D.; Fouassier, J.-P.; Lalevée, J. New Core-Pyrene π Structure Organophotocatalysts Usable as Highly Efficient Photoinitiators. Beilstein J. Org. Chem. 2013, 9, 877–890. [Google Scholar] [CrossRef] [PubMed]
- Uchida, N.; Nakano, H.; Igarashi, T.; Sakurai, T. Nonsalt 1-(Arylmethyloxy)Pyrene Photoinitiators Capable of Initiating Cationic Polymerization. J. Appl. Polym. Sci. 2014, 131, 40510. [Google Scholar] [CrossRef]
- Mishra, A.; Daswal, S. 1-(Bromoacetyl)Pyrene, a Novel Photoinitiator for the Copolymerization of Styrene and Methylmethacrylate. Radiat. Phys. Chem. 2006, 75, 1093–1100. [Google Scholar] [CrossRef]
- Tehfe, M.-A.; Dumur, F.; Graff, B.; Morlet-Savary, F.; Gigmes, D.; Fouassier, J.-P.; Lalevée, J. Design of New Type I and Type II Photoinitiators Possessing Highly Coupled Pyrene–Ketone Moieties. Polym. Chem. 2013, 4, 2313–2324. [Google Scholar] [CrossRef]
- Dumur, F. Recent Advances on Pyrene-Based Photoinitiators of Polymerization. Eur. Polym. J. 2020, 126, 109564. [Google Scholar] [CrossRef]
- Tehfe, M.-A.; Dumur, F.; Vilà, N.; Graff, B.; Mayer, C.R.; Fouassier, J.P.; Gigmes, D.; Lalevée, J. A Multicolor Photoinitiator for Cationic Polymerization and Interpenetrated Polymer Network Synthesis: 2,7-Di-Tert-Butyldimethyldihydropyrene. Macromol. Rapid Commun. 2013, 34, 1104–1109. [Google Scholar] [CrossRef] [PubMed]
- Telitel, S.; Dumur, F.; Gigmes, D.; Graff, B.; Fouassier, J.P.; Lalevée, J. New Functionalized Aromatic Ketones as Photoinitiating Systems for near Visible and Visible Light Induced Polymerizations. Polymer 2013, 54, 2857–2864. [Google Scholar] [CrossRef]
- Tehfe, M.-A.; Lalevée, J.; Telitel, S.; Contal, E.; Dumur, F.; Gigmes, D.; Bertin, D.; Nechab, M.; Graff, B.; Morlet-Savary, F.; et al. Polyaromatic Structures as Organo-Photoinitiator Catalysts for Efficient Visible Light Induced Dual Radical/Cationic Photopolymerization and Interpenetrated Polymer Networks Synthesis. Macromolecules 2012, 45, 4454–4460. [Google Scholar] [CrossRef]
- Mokbel, H.; Toufaily, J.; Hamieh, T.; Dumur, F.; Campolo, D.; Gigmes, D.; Fouassier, J.P.; Ortyl, J.; Lalevée, J. Specific Cationic Photoinitiators for near UV and Visible LEDs: Iodonium versus Ferrocenium Structures. J. Appl. Polym. Sci. 2015, 132, 42759. [Google Scholar] [CrossRef]
- Villotte, S.; Gigmes, D.; Dumur, F.; Lalevée, J. Design of Iodonium Salts for UV or Near-UV LEDs for Photoacid Generator and Polymerization Purposes. Molecules 2020, 25, 149. [Google Scholar] [CrossRef]
- Tasdelen, M.A.; Kumbaraci, V.; Jockusch, S.; Turro, N.J.; Talinli, N.; Yagci, Y. Photoacid Generation by Stepwise Two-Photon Absorption: Photoinitiated Cationic Polymerization of Cyclohexene Oxide by Using Benzodioxinone in the Presence of Iodonium Salt. Macromolecules 2008, 41, 295–297. [Google Scholar] [CrossRef]
- Crivello, J.V.; Lam, J.H.W. Diaryliodonium Salts. A New Class of Photoinitiators for Cationic Polymerization. Macromolecules 1977, 10, 1307–1315. [Google Scholar] [CrossRef]
- He, Y.; Zhou, W.; Wu, F.; Li, M.; Wang, E. Photoreaction and Photopolymerization Studies on Squaraine Dyes/Iodonium Salts Combination. J. Photochem. Photobiol. Chem. 2004, 162, 463–471. [Google Scholar] [CrossRef]
- Jun, L.I.; Miaozhen, L.I.; Huaihai, S.; Yongyuan, Y.; Erjian, W. Photopolymerization Initiated by Dimethylaminochalcone/Diphenyliodonium Salt Combination System Sensitive to Visible Light. Chin. J Polym Sci 1993, 11, 163–170. [Google Scholar]
- Zivic, N.; Kuroishi, P.K.; Dumur, F.; Gigmes, D.; Dove, A.P.; Sardon, H. Recent Advances and Challenges in the Design of Organic Photoacid and Photobase Generators for Polymerizations. Angew. Chem. Int. Ed. 2019, 58, 10410–10422. [Google Scholar] [CrossRef]
- Pigot, C.; Noirbent, G.; Brunel, D.; Dumur, F. Recent Advances on Push–Pull Organic Dyes as Visible Light Photoinitiators of Polymerization. Eur. Polym. J. 2020, 133, 109797. [Google Scholar] [CrossRef]
- Pigot, C.; Brunel, D.; Dumur, F. Indane-1,3-Dione: From Synthetic Strategies to Applications. Molecules 2022, 27, 5976. [Google Scholar] [CrossRef]
- Dumur, F. Recent Advances on Visible Light Photoinitiators of Polymerization Based on Indane-1,3-Dione and Related Derivatives. Eur. Polym. J. 2021, 143, 110178. [Google Scholar] [CrossRef]
- Garra, P.; Dumur, F.; Gigmes, D.; Al Mousawi, A.; Morlet-Savary, F.; Dietlin, C.; Fouassier, J.P.; Lalevée, J. Copper (Photo)Redox Catalyst for Radical Photopolymerization in Shadowed Areas and Access to Thick and Filled Samples. Macromolecules 2017, 50, 3761–3771. [Google Scholar] [CrossRef]
- Xiao, P.; Zhang, J.; Campolo, D.; Dumur, F.; Gigmes, D.; Fouassier, J.P.; Lalevée, J. Copper and Iron Complexes as Visible-Light-Sensitive Photoinitiators of Polymerization. J. Polym. Sci. Part Polym. Chem. 2015, 53, 2673–2684. [Google Scholar] [CrossRef]
- Mokbel, H.; Anderson, D.; Plenderleith, R.; Dietlin, C.; Morlet-Savary, F.; Dumur, F.; Gigmes, D.; Fouassier, J.-P.; Lalevée, J. Copper Photoredox Catalyst “G1”: A New High Performance Photoinitiator for near-UV and Visible LEDs. Polym. Chem. 2017, 8, 5580–5592. [Google Scholar] [CrossRef]
- Xiao, P.; Dumur, F.; Zhang, J.; Gigmes, D.; Fouassier, J.P.; Lalevée, J. Copper Complexes: The Effect of Ligands on Their Photoinitiation Efficiencies in Radical Polymerization Reactions under Visible Light. Polym. Chem. 2014, 5, 6350–6357. [Google Scholar] [CrossRef]
- Telitel, S.; Dumur, F.; Campolo, D.; Poly, J.; Gigmes, D.; Fouassier, J.P.; Lalevée, J. Iron Complexes as Potential Photocatalysts for Controlled Radical Photopolymerizations: A Tool for Modifications and Patterning of Surfaces. J. Polym. Sci. Part Polym. Chem. 2016, 54, 702–713. [Google Scholar] [CrossRef]
- Zhang, J.; Campolo, D.; Dumur, F.; Xiao, P.; Fouassier, J.P.; Gigmes, D.; Lalevée, J. Iron Complexes as Photoinitiators for Radical and Cationic Polymerization through Photoredox Catalysis Processes. J. Polym. Sci. Part Polym. Chem. 2015, 53, 42–49. [Google Scholar] [CrossRef]
- Tehfe, M.-A.; Dumur, F.; Telitel, S.; Gigmes, D.; Contal, E.; Bertin, D.; Morlet-Savary, F.; Graff, B.; Fouassier, J.-P.; Lalevée, J. Zinc-Based Metal Complexes as New Photocatalysts in Polymerization Initiating Systems. Eur. Polym. J. 2013, 49, 1040–1049. [Google Scholar] [CrossRef]
- Dumur, F.; Bertin, D.; Gigmes, D. Iridium (III) Complexes as Promising Emitters for Solid–State Light–Emitting Electrochemical Cells (LECs). Int. J. Nanotechnol. 2012, 9, 377–395. [Google Scholar] [CrossRef]
- Tehfe, M.-A.; Lepeltier, M.; Dumur, F.; Gigmes, D.; Fouassier, J.-P.; Lalevée, J. Structural Effects in the Iridium Complex Series: Photoredox Catalysis and Photoinitiation of Polymerization Reactions under Visible Lights. Macromol. Chem. Phys. 2017, 218, 1700192. [Google Scholar] [CrossRef]
- Akhigbe, J.; Luciano, M.; Zeller, M.; Brückner, C. Mono- and Bisquinoline-Annulated Porphyrins from Porphyrin β,Β′-Dione Oximes. J. Org. Chem. 2015, 80, 499–511. [Google Scholar] [CrossRef]
- Allonas, X.; Lalevée, J.; Fouassier, J.P.; Tachi, H.; Shirai, M.; Tsunooka, M. Triplet State of O-Acyloximes Studied by Time-Resolved Absorption Spectroscopy. Chem. Lett. 2000, 29, 1090–1091. [Google Scholar] [CrossRef]
- Chen, S.; Jin, M.; Malval, J.-P.; Fu, J.; Morlet-Savary, F.; Pan, H.; Wan, D. Substituted Stilbene-Based Oxime Esters Used as Highly Reactive Wavelength-Dependent Photoinitiators for LED Photopolymerization. Polym. Chem. 2019, 10, 6609–6621. [Google Scholar] [CrossRef]
- Fast, D.E.; Lauer, A.; Menzel, J.P.; Kelterer, A.-M.; Gescheidt, G.; Barner-Kowollik, C. Wavelength-Dependent Photochemistry of Oxime Ester Photoinitiators. Macromolecules 2017, 50, 1815–1823. [Google Scholar] [CrossRef]
- Hu, P.; Qiu, W.; Naumov, S.; Scherzer, T.; Hu, Z.; Chen, Q.; Knolle, W.; Li, Z. Conjugated Bifunctional Carbazole-Based Oxime Esters: Efficient and Versatile Photoinitiators for 3D Printing under One- and Two-Photon Excitation. ChemPhotoChem 2020, 4, 224–232. [Google Scholar] [CrossRef]
- Lee, W.J.; Kwak, H.S.; Lee, D.; Oh, C.; Yum, E.K.; An, Y.; Halls, M.D.; Lee, C.-W. Design and Synthesis of Novel Oxime Ester Photoinitiators Augmented by Automated Machine Learning. Chem. Mater. 2022, 34, 116–127. [Google Scholar] [CrossRef]
- Ma, X.; Cao, D.; Fu, H.; You, J.; Gu, R.; Fan, B.; Nie, J.; Wang, T. Multicomponent Photoinitiating Systems Containing Arylamino Oxime Ester for Visible Light Photopolymerization. Prog. Org. Coat. 2019, 135, 517–524. [Google Scholar] [CrossRef]
- Pang, Y.; Fan, S.; Wang, Q.; Oprych, D.; Feilen, A.; Reiner, K.; Keil, D.; Slominsky, Y.L.; Popov, S.; Zou, Y.; et al. NIR-Sensitized Activated Photoreaction between Cyanines and Oxime Esters: Free-Radical Photopolymerization. Angew. Chem. Int. Ed. 2020, 59, 11440–11447. [Google Scholar] [CrossRef]
- Sameshima, K.; Kura, H.; Matsuoka, Y.; Sotome, H.; Miyasaka, H. Improvement of the Photopolymerization and Bottom-Curing Performance of Benzocarbazole Oxime Ester Photoinitiators with Red-Shifted Absorption. Jpn. J. Appl. Phys. 2022, 61, 035504. [Google Scholar] [CrossRef]
- Qiu, W.; Li, M.; Yang, Y.; Li, Z.; Dietliker, K. Cleavable Coumarin-Based Oxime Esters with Terminal Heterocyclic Moieties: Photobleachable Initiators for Deep Photocuring under Visible LED Light Irradiation. Polym. Chem. 2020, 11, 1356–1363. [Google Scholar] [CrossRef]
- Breloy, L.; Negrell, C.; Mora, A.-S.; Li, W.S.J.; Brezová, V.; Caillol, S.; Versace, D.-L. Vanillin Derivative as Performing Type I Photoinitiator. Eur. Polym. J. 2020, 132, 109727. [Google Scholar] [CrossRef]
- Hammoud, F.; Hijazi, A.; Schmitt, M.; Dumur, F.; Lalevée, J. A Review on Recently Proposed Oxime Ester Photoinitiators. Eur. Polym. J. 2023, 188, 111901. [Google Scholar] [CrossRef]
- Ding, Y.; Jiang, S.; Gao, Y.; Nie, J.; Du, H.; Sun, F. Photochromic Polymers Based on Fluorophenyl Oxime Ester Photoinitiators as Photoswitchable Molecules. Macromolecules 2020, 53, 5701–5710. [Google Scholar] [CrossRef]
- Yang, F.; Zhong, M.; Zhao, X.; Li, J.; Sun, F.; Nie, J.; Zhu, X. High Efficiency Photoinitiators with Extremely Low Concentration Based on Furans Derivative. J. Photochem. Photobiol. Chem. 2021, 406, 112994. [Google Scholar] [CrossRef]
- Kabatc, J.; Iwińska, K.; Balcerak, A.; Kwiatkowska, D.; Skotnicka, A.; Czech, Z.; Bartkowiak, M. Onium Salts Improve the Kinetics of Photopolymerization of Acrylate Activated with Visible Light. RSC Adv. 2020, 10, 24817–24829. [Google Scholar] [CrossRef] [PubMed]
- Kocaarslan, A.; Kütahya, C.; Keil, D.; Yagci, Y.; Strehmel, B. Near-IR and UV-LED Sensitized Photopolymerization with Onium Salts Comprising Anions of Different Nucleophilicities. ChemPhotoChem 2019, 3, 1127–1132. [Google Scholar] [CrossRef]
- Fouassier, J.-P.; Morlet-Savary, F.; Lalevée, J.; Allonas, X.; Ley, C. Dyes as Photoinitiators or Photosensitizers of Polymerization Reactions. Materials 2010, 3, 5130–5142. [Google Scholar] [CrossRef]
- Kabatc, J.; Ortyl, J.; Kostrzewska, K. New Kinetic and Mechanistic Aspects of Photosensitization of Iodonium Salts in Photopolymerization of Acrylates. RSC Adv. 2017, 7, 41619–41629. [Google Scholar] [CrossRef]
- Fujiwara, T.; Nomura, K.; Inagaki, A. Cu–Pd Dinuclear Complexes with Earth-Abundant Cu Photosensitizer: Synthesis and Photopolymerization. Organometallics 2020, 39, 2464–2469. [Google Scholar] [CrossRef]
- Wang, J.; Mathias, L.J. A Polymerizable Photosensitizer and Its Photopolymerization Kinetics. Polym. Int. 2005, 54, 1537–1542. [Google Scholar] [CrossRef]
- Allushi, A.; Kutahya, C.; Aydogan, C.; Kreutzer, J.; Yilmaz, G.; Yagci, Y. Conventional Type II Photoinitiators as Activators for Photoinduced Metal-Free Atom Transfer Radical Polymerization. Polym. Chem. 2017, 8, 1972–1977. [Google Scholar] [CrossRef]
- Chen, Y.-C.; Kuo, Y.-T. Photocuring Kinetic Studies of TMPTMA Monomer by Type II Photoinitiators of Different Weight Ratios of 2-Chlorohexaaryl Biimidazole (o-Cl-HABI) and N-Phenylglycine (NPG). J. Photopolym. Sci. Technol. 2018, 31, 487–492. [Google Scholar] [CrossRef]
- Li, J.; Zhang, X.; Ali, S.; Akram, M.Y.; Nie, J.; Zhu, X. The Effect of Polyethylene Glycoldiacrylate Complexation on Type II Photoinitiator and Promotion for Visible Light Initiation System. J. Photochem. Photobiol. Chem. 2019, 384, 112037. [Google Scholar] [CrossRef]
- Kirschner, J.; Baralle, A.; Graff, B.; Becht, J.-M.; Klee, J.E.; Lalevée, J. 1-Aryl-2-(Triisopropylsilyl)Ethane-1,2-Diones: Toward a New Class of Visible Type I Photoinitiators for Free Radical Polymerization of Methacrylates. Macromol. Rapid Commun. 2019, 40, 1900319. [Google Scholar] [CrossRef] [PubMed]
- Christmann, J.; Allonas, X.; Ley, C.; Ibrahim, A.; Croutxé-Barghorn, C. Triazine-Based Type-II Photoinitiating System for Free Radical Photopolymerization: Mechanism, Efficiency, and Modeling. Macromol. Chem. Phys. 2017, 218, 1600597. [Google Scholar] [CrossRef]
- Kreutzer, J.; Kaya, K.; Yagci, Y. Poly(Propylene Oxide)-Thioxanthone as One-Component Type II Polymeric Photoinitiator for Free Radical Polymerization with Low Migration Behavior. Eur. Polym. J. 2017, 95, 71–81. [Google Scholar] [CrossRef]
- Allegrezza, M.L.; DeMartini, Z.M.; Kloster, A.J.; Digby, Z.A.; Konkolewicz, D. Visible and Sunlight Driven RAFT Photopolymerization Accelerated by Amines: Kinetics and Mechanism. Polym. Chem. 2016, 7, 6626–6636. [Google Scholar] [CrossRef]
- Ciftci, M.; Tasdelen, M.A.; Yagci, Y. Sunlight Induced Atom Transfer Radical Polymerization by Using Dimanganese Decacarbonyl. Polym. Chem. 2014, 5, 600–606. [Google Scholar] [CrossRef]
- Decker, C.; Bendaikha, T. Interpenetrating Polymer Networks. II. Sunlight-Induced Polymerization of Multifunctional Acrylates. J. Appl. Polym. Sci. 1998, 70, 2269–2282. [Google Scholar] [CrossRef]
- Konkolewicz, D.; Schröder, K.; Buback, J.; Bernhard, S.; Matyjaszewski, K. Visible Light and Sunlight Photoinduced ATRP with Ppm of Cu Catalyst. ACS Macro Lett. 2012, 1, 1219–1223. [Google Scholar] [CrossRef]
- Lalevée, J.; Fouassier, J.P. Recent Advances in Sunlight Induced Polymerization: Role of New Photoinitiating Systems Based on the Silyl Radical Chemistry. Polym. Chem. 2011, 2, 1107–1113. [Google Scholar] [CrossRef]
- Li, J.; Lu, H.; Zheng, H.; Zhou, X.; Nie, J.; Zhu, X. Thermally Activated Pyrrole Chalcone Free Radical Photoinitiator with Excellent Stability to Sunlight. Eur. Polym. J. 2022, 162, 110884. [Google Scholar] [CrossRef]
- Li, J.; Lu, H.; Zheng, H.; Li, J.; Yao, L.; Wang, Y.; Zhou, X.; Fu, Z.; Nie, J.; Zhu, X. Improvement in the Storage Stability of Free Radical Photocurable Materials under Sunlight Based on the Cis → Trans Photoisomerization of Pyrrole Chalcone Photoinitiator. Prog. Org. Coat. 2022, 171, 107025. [Google Scholar] [CrossRef]
- Tehfe, M.-A.; Lalevée, J.; Gigmes, D.; Fouassier, J.P. Green Chemistry: Sunlight-Induced Cationic Polymerization of Renewable Epoxy Monomers Under Air. Macromolecules 2010, 43, 1364–1370. [Google Scholar] [CrossRef]
- Wang, J.; Rivero, M.; Muñoz Bonilla, A.; Sanchez-Marcos, J.; Xue, W.; Chen, G.; Zhang, W.; Zhu, X. Natural RAFT Polymerization: Recyclable-Catalyst-Aided, Opened-to-Air, and Sunlight-Photolyzed RAFT Polymerizations. ACS Macro Lett. 2016, 5, 1278–1282. [Google Scholar] [CrossRef] [PubMed]
- Yu, J.; Gao, Y.; Jiang, S.; Sun, F. Naphthalimide Aryl Sulfide Derivative Norrish Type I Photoinitiators with Excellent Stability to Sunlight under Near-UV LED. Macromolecules 2019, 52, 1707–1717. [Google Scholar] [CrossRef]
- Li, J.; Zhang, X.; Nie, J.; Zhu, X. Visible Light and Water-Soluble Photoinitiating System Based on the Charge Transfer Complex for Free Radical Photopolymerization. J. Photochem. Photobiol. Chem. 2020, 402, 112803. [Google Scholar] [CrossRef]
- Allen, N.S.; Chen, W.; Catalina, F.; Green, P.N.; Green, A. Photochemistry of Novel Water-Soluble Para-Substituted Benzophenone Photoinitiators: A Polymerization, Spectroscopic and Flash Photolysis Study. J. Photochem. Photobiol. Chem. 1988, 44, 349–360. [Google Scholar] [CrossRef]
- Alupei, I.C.; Alupei, V.; Ritter, H. Cyclodextrins in Polymer Synthesis: Photoinitiated Free-Radical Polymerization of N-Isopropylacrylamide in Water Initiated by a Methylated β-Cyclodextrin/2-Hydroxy-2-Methyl-1-Phenylpropan-1-One Host/Guest Complex. Macromol. Rapid Commun. 2002, 23, 55–58. [Google Scholar] [CrossRef]
- Balta, D.K.; Temel, G.; Aydin, M.; Arsu, N. Thioxanthone Based Water-Soluble Photoinitiators for Acrylamide Photopolymerization. Eur. Polym. J. 2010, 46, 1374–1379. [Google Scholar] [CrossRef]
- Benedikt, S.; Wang, J.; Markovic, M.; Moszner, N.; Dietliker, K.; Ovsianikov, A.; Grützmacher, H.; Liska, R. Highly Efficient Water-Soluble Visible Light Photoinitiators. J. Polym. Sci. Part Polym. Chem. 2016, 54, 473–479. [Google Scholar] [CrossRef]
- Bibaut-Renauld, C.; Burget, D.; Fouassier, J.P.; Varelas, C.G.; Thomatos, J.; Tsagaropoulos, G.; Ryrfors, L.O.; Karlsson, O.J. Use of α-Diketones as Visible Photoinitiators for the Photocrosslinking of Waterborne Latex Paints. J. Polym. Sci. Part Polym. Chem. 2002, 40, 3171–3181. [Google Scholar] [CrossRef]
- Guo, L.; Yang, D.; Xia, L.; Qu, F.; Dou, Y.; Qu, F.; Kong, R.; You, J. A Highly Water-Soluble, Sensitive, Coumarin-Based Fluorescent Probe for Detecting Thiols, and Its Application in Bioimaging. New J. Chem. 2017, 41, 15277–15282. [Google Scholar] [CrossRef]
- Eren, T.N.; Lalevée, J.; Avci, D. Bisphosphonic Acid-Functionalized Water-Soluble Photoinitiators. Macromol. Chem. Phys. 2019, 220, 1900268. [Google Scholar] [CrossRef]
- Eren, T.N.; Lalevée, J.; Avci, D. Water Soluble Polymeric Photoinitiator for Dual-Curing of Acrylates and Methacrylates. J. Photochem. Photobiol. Chem. 2020, 389, 112288. [Google Scholar] [CrossRef]
- Dietliker, K. Chapter 13 Water-Soluble Photoinitiators: Present and Future. In Photopolymerisation Initiating Systems; The Royal Society of Chemistry: London, UK, 2018; pp. 358–430. ISBN 978-1-78262-962-7. [Google Scholar]
- Huang, X.; Wang, X.; Zhao, Y. Study on a Series of Water-Soluble Photoinitiators for Fabrication of 3D Hydrogels by Two-Photon Polymerization. Dye. Pigment. 2017, 141, 413–419. [Google Scholar] [CrossRef]
- Li, Z.; Torgersen, J.; Ajami, A.; Mühleder, S.; Qin, X.; Husinsky, W.; Holnthoner, W.; Ovsianikov, A.; Stampfl, J.; Liska, R. Initiation Efficiency and Cytotoxicity of Novel Water-Soluble Two-Photon Photoinitiators for Direct 3D Microfabrication of Hydrogels. RSC Adv. 2013, 3, 15939–15946. [Google Scholar] [CrossRef]
- Knaus, S.; Gruber, H.F. Photoinitiators with Functional Groups. III. Water-Soluble Photoinitiators Containing Carbohydrate Residues. J. Polym. Sci. Part Polym. Chem. 1995, 33, 929–939. [Google Scholar] [CrossRef]
- Kminek, I.; Yagci, Y.; Schnabel, W. A Water-Soluble Poly(Methylphenylsilylene) Derivative as a Photoinitiator of Radical Polymerization of Hydrophilic Vinyl Monomers. Polym. Bull. 1992, 29, 277–282. [Google Scholar] [CrossRef]
- Le, C.M.Q.; Petitory, T.; Wu, X.; Spangenberg, A.; Ortyl, J.; Galek, M.; Infante, L.; Thérien-Aubin, H.; Chemtob, A. Water-Soluble Photoinitiators from Dimethylamino-Substituted Monoacylphosphine Oxide for Hydrogel and Latex Preparation. Macromol. Chem. Phys. 2021, 222, 2100217. [Google Scholar] [CrossRef]
- Dumur, F. Recent Advances on Water-Soluble Photoinitiators of Polymerization. Eur. Polym. J. 2023, 189, 111942. [Google Scholar] [CrossRef]
- Pereira, J.A.; Pessoa, A.M.; Cordeiro, M.N.D.S.; Fernandes, R.; Prudêncio, C.; Noronha, J.P.; Vieira, M. Quinoxaline, Its Derivatives and Applications: A State of the Art Review. Eur. J. Med. Chem. 2015, 97, 664–672. [Google Scholar] [CrossRef]
- Soleymani, M.; Chegeni, M. The Chemistry and Applications of the Quinoxaline Compounds. Curr. Org. Chem. 2019, 23, 1789–1827. [Google Scholar] [CrossRef]
- Payne, A.-J.; McCahill, J.S.J.; Welch, G.C. Indoloquinoxaline as a Terminal Building Block for the Construction of π-Conjugated Small Molecules Relevant to Organic Electronics. Dye. Pigment. 2015, 123, 139–146. [Google Scholar] [CrossRef]
- Yuan, J.; Ouyang, J.; Cimrová, V.; Leclerc, M.; Najari, A.; Zou, Y. Development of Quinoxaline Based Polymers for Photovoltaic Applications. J. Mater. Chem. C 2017, 5, 1858–1879. [Google Scholar] [CrossRef]
- Sun, C.; Zhu, C.; Meng, L.; Li, Y. Quinoxaline-Based D–A Copolymers for the Applications as Polymer Donor and Hole Transport Material in Polymer/Perovskite Solar Cells. Adv. Mater. 2022, 34, 2104161. [Google Scholar] [CrossRef] [PubMed]
- Wardani, R.P.; Jin, H.C.; Kim, J.H.; Chang, D.W. Synthesis of Quinoxaline-Based D-A Type Conjugated Polymers for Photovoltaic Applications. Mol. Cryst. Liq. Cryst. 2020, 705, 15–21. [Google Scholar] [CrossRef]
- Ashraf, R.S.; Hoppe, H.; Shahid, M.; Gobsch, G.; Sensfuss, S.; Klemm, E. Synthesis and Properties of Fluorene-Based Polyheteroarylenes for Photovoltaic Devices. J. Polym. Sci. Part Polym. Chem. 2006, 44, 6952–6961. [Google Scholar] [CrossRef]
- Kuehl, V.A.; Duong, P.H.H.; Sadrieva, D.; Amin, S.A.; She, Y.; Li-Oakey, K.D.; Yarger, J.L.; Parkinson, B.A.; Hoberg, J.O. Synthesis, Postsynthetic Modifications, and Applications of the First Quinoxaline-Based Covalent Organic Framework. ACS Appl. Mater. Interfaces 2021, 13, 37494–37499. [Google Scholar] [CrossRef]
- He, K.; Chen, S.; Xu, W.; Tai, X.; Chen, Y.; Sun, P.; Fan, Q.; Huang, W. High-Stability NIR-II Fluorescence Polymer Synthesized by Atom Transfer Radical Polymerization for Application in High-Resolution NIR-II Imaging. Biomater. Sci. 2021, 9, 6434–6443. [Google Scholar] [CrossRef]
- Kucybała, Z.; Pączkowski, J. 3-Benzoyl-7-Diethylamino-5-Methyl-1-Phenyl-1H-Quinoxalin-2-One: An Effective Dyeing Photoinitiator for Free Radical Polymerization. J. Photochem. Photobiol. Chem. 1999, 128, 135–138. [Google Scholar] [CrossRef]
- Kolehmainen, E.; Kucybała, Z.; Gawinecki, R.; Pączkowski, J.; Kacała, A. Unequivocal Determination of Isomeric Products of Reaction between 3-Methyl-1-Phenyl-2-Pyrazoline-4,5-Dione and Aromatic 1,2-Diamines. Tetrahedron 1999, 55, 8475–8480. [Google Scholar] [CrossRef]
- Arsu, N.; Aydın, M. Photoinduced Free Radical Polymerization Initiated with Quinoxalines. Angew. Makromol. Chem. 1999, 270, 1–4. [Google Scholar] [CrossRef]
- Aydın, M.; Arsu, N. Photoinitiated Free Radical Polymerization of Methylmethacrylate by Using of Quinoxalines in the Presence of Aldehydes. Prog. Org. Coat. 2006, 56, 338–342. [Google Scholar] [CrossRef]
- Cao, X.; Jin, F.; Li, Y.-F.; Chen, W.-Q.; Duan, X.-M.; Yang, L.-M. Triphenylamine-Modified Quinoxaline Derivatives as Two-Photon Photoinitiators. New J. Chem. 2009, 33, 1578–1582. [Google Scholar] [CrossRef]
- Yang, L.-X.; Yang, W.-F.; Yuan, Y.-J.; Su, Y.-B.; Zhou, M.-M.; Liu, X.-L.; Chen, G.-H.; Chen, X.; Yu, Z.-T.; Zou, Z.-G. Visible-Light-Driven Hydrogen Production and Polymerization Using Triarylboron-Functionalized Iridium(III) Complexes. Chem.–Asian J. 2018, 13, 1699–1709. [Google Scholar] [CrossRef] [PubMed]
- Kucybala, Z.; Kosobucka, A.; Paczkowski, J. Development of New Dyeing Photoinitiators for Free Radical Polymerization Based on 3-Methyl-1-Phenyl-1H-Pentaazacyclopenta[b]Naphthalene Skeleton III. J. Photochem. Photobiol. Chem. 2000, 136, 227–234. [Google Scholar] [CrossRef]
- Kucybała, Z.; Pyszka, I.; Pączkowski, J. Development of New Dyeing Photoinitiators for Free Radical Polymerization Based on the 1H-Pyrazolo[3,4-b]Quinoxaline Skeleton. Part 2. J. Chem. Soc. Perkin Trans. 2 2000, 7, 1559–1567. [Google Scholar] [CrossRef]
- Przyjazna, B.; Kucybała, Z.; Pączkowski, J. Development of New Dyeing Photoinitiators Based on 6H-Indolo[2,3-b]Quinoxaline Skeleton. Polymer 2004, 45, 2559–2566. [Google Scholar] [CrossRef]
- Qu, B.; Xu, Y.; Shi, W.; Raanby, B. Photoinitiated Crosslinking of Low-Density Polyethylene. 6. Spin-Trapping ESR Studies on Radical Intermediates. Macromolecules 1992, 25, 5215–5219. [Google Scholar] [CrossRef]
- Pyszka, I.; Jędrzejewska, B. Photoinitiation Abilities of Indeno- and Indoloquinoxaline Derivatives and Mechanical Properties of Dental Fillings Based on Multifunctional Acrylic Monomers and Glass Ionomer. Polymer 2023, 266, 125625. [Google Scholar] [CrossRef]
- Pyszka, I.; Skowroński, Ł.; Jędrzejewska, B. Study on New Dental Materials Containing Quinoxaline-Based Photoinitiators in Terms of Exothermicity of the Photopolymerization Process. Int. J. Mol. Sci. 2023, 24, 2752. [Google Scholar] [CrossRef]
- Pyszka, I.; Kucybała, Z.; Pączkowski, J. Reinvestigation of the Mechanism of the Free Radical Polymerization Photoinitiation Process by Camphorquinone–Coinitiator Systems: New Results. Macromol. Chem. Phys. 2004, 205, 2371–2375. [Google Scholar] [CrossRef]
- Pyszka, I.; Jędrzejewska, B. Acenaphthoquinoxaline Derivatives as Dental Photoinitiators of Acrylates Polymerization. Materials 2021, 14, 4881. [Google Scholar] [CrossRef] [PubMed]
- Karaca Balta, D.; Keskin, S.; Karasu, F.; Arsu, N. Quinoxaline Derivatives as Photoinitiators in UV-Cured Coatings. Prog. Org. Coat. 2007, 60, 207–210. [Google Scholar] [CrossRef]
- Lalevée, J.; Blanchard, N.; Tehfe, M.-A.; Peter, M.; Morlet-Savary, F.; Gigmes, D.; Fouassier, J.P. Efficient Dual Radical/Cationic Photoinitiator under Visible Light: A New Concept. Polym. Chem. 2011, 2, 1986–1991. [Google Scholar] [CrossRef]
- Dietlin, C.; Schweizer, S.; Xiao, P.; Zhang, J.; Morlet-Savary, F.; Graff, B.; Fouassier, J.-P.; Lalevée, J. Photopolymerization upon LEDs: New Photoinitiating Systems and Strategies. Polym. Chem. 2015, 6, 3895–3912. [Google Scholar] [CrossRef]
- Podsiadły, R. Photoreaction and Photopolymerization Studies on Fluoflavin Dye–Pyridinium Salt Systems. J. Photochem. Photobiol. Chem. 2008, 198, 60–68. [Google Scholar] [CrossRef]
- Gould, I.R.; Shukla, D.; Giesen, D.; Farid, S. Energetics of Electron-Transfer Reactions of Photoinitiated Polymerization: Dye-Sensitized Fragmentation of N-Alkoxypyridinium Salts. Helv. Chim. Acta 2001, 84, 2796–2812. [Google Scholar] [CrossRef]
- Timpe, H.-J.; Kronfeld, K.-P.; Lammel, U.; Fouassier, J.-P.; Lougnot, D.-J. Excited States of Ketones as Electron Donors—Ketone—Iodonium Salt Systems as Photoinitiators for Radical Polymerization. J. Photochem. Photobiol. Chem. 1990, 52, 111–122. [Google Scholar] [CrossRef]
- Timpe, H.J.; Ulrich, S.; Decker, C.; Fouassier, J.P. Photoinitiated Polymerization of Acrylates and Methacrylates with Decahydroacridine-1,8-Dione/Onium Salt Initiator Systems. Macromolecules 1993, 26, 4560–4566. [Google Scholar] [CrossRef]
- Kura, H.; Fujihara, K.; Kimura, A.; Ohno, T.; Matsumura, M.; Hirata, Y.; Okada, T. Initial Step of Anthracene-Sensitized Photoacid Generation from Diphenyliodonium Hexafluorophosphate in an Epoxy Matrix Studied by Steady-State and Laser-Flash Photolyses. J. Polym. Sci. Part B Polym. Phys. 2001, 39, 2937–2946. [Google Scholar] [CrossRef]
- Dossow, D.; Zhu, Q.Q.; Hizal, G.; Yag, Y.; Schnabel, W. Photosensitized Cationic Polymerization of Cyclohexene Oxide: A Mechanistic Study Concerning the Use of Pyridinium-Type Salts. Polymer 1996, 37, 2821–2826. [Google Scholar] [CrossRef]
- Podsiadły, R.; Podemska, K.; Szymczak, A.M. Novel Visible Photoinitiators Systems for Free-Radical/Cationic Hybrid Photopolymerization. Dye. Pigment. 2011, 91, 422–426. [Google Scholar] [CrossRef]
- Podsiadły, R. The Synthesis of Novel, Visible-Wavelength Oxidizable Polymerization Sensitizers Based on the 5,12-Dihydroquinoxalino[2,3-b]Pyridopyrazine Skeleton. Dye. Pigment. 2009, 80, 86–92. [Google Scholar] [CrossRef]
- Bulut, U.; Gunbas, G.E.; Toppare, L. A Quinoxaline Derivative as a Long Wavelength Photosensitizer for Diaryliodonium Salts. J. Polym. Sci. Part Polym. Chem. 2010, 48, 209–213. [Google Scholar] [CrossRef]
- Bulut, U.; Kolay, M.; Tarkuc, S.; Udum, Y.A.; Toppare, L. Quinoxaline Derivatives as Long Wavelength Photosensitizers in Photoinitiated Cationic Polymerization of Diaryliodonium Salts. Prog. Org. Coat. 2012, 73, 215–218. [Google Scholar] [CrossRef]
- Corakci, B.; Hacioglu, S.O.; Toppare, L.; Bulut, U. Long Wavelength Photosensitizers in Photoinitiated Cationic Polymerization: The Effect of Quinoxaline Derivatives on Photopolymerization. Polymer 2013, 54, 3182–3187. [Google Scholar] [CrossRef]
- Xiao, P.; Dumur, F.; Thirion, D.; Fagour, S.; Vacher, A.; Sallenave, X.; Morlet-Savary, F.; Graff, B.; Fouassier, J.P.; Gigmes, D.; et al. Multicolor Photoinitiators for Radical and Cationic Polymerization: Monofunctional vs Polyfunctional Thiophene Derivatives. Macromolecules 2013, 46, 6786–6793. [Google Scholar] [CrossRef]
- Ercan, B.T.; Gultekin, S.S.; Yesil, T.; Dincalp, H.; Koyuncu, S.; Yagci, Y.; Zafer, C. Highly Conjugated Isoindigo and Quinoxaline Dyes as Sunlight Photosensitizers for Onium Salt-Photoinitiated Cationic Polymerization of Epoxy Resins. Polym. Int. 2022, 71, 867–873. [Google Scholar] [CrossRef]
- Sun, L.; Jiang, X.; Yin, J. Study of Methoxyphenylquinoxalines (MOPQs) as Photoinitiators in the Negative Photo-Resist. Prog. Org. Coat. 2010, 67, 225–232. [Google Scholar] [CrossRef]
- Podsiadły, R.; Michalski, R.; Marcinek, A.; Sokołowska, J. Benzothiazine Dyes/2,4,6-Tris(Trichloromethyl)-1,3,5-Triazine as a New Visible Two-Component Photoinitiator System. Int. J. Photoenergy 2012, 2012, 497620. [Google Scholar] [CrossRef]
- Podsiadły, R.; Strzelczyk, R. N-Substituted Quinoxalinobenzothiazine/Iodonium Salt Systems as Visible Photoinitiators for Hybrid Polymerization. Dye. Pigment. 2013, 97, 462–468. [Google Scholar] [CrossRef]
- Podsiadły, R. 12H-Quinoxalino[2,3-b][1,4]Benzothiazine Derivatives as Novel Visible Photosensitizers in Cationic Photopolymerization. J. Photochem. Photobiol. Chem. 2009, 208, 147–153. [Google Scholar] [CrossRef]
- Yao, J.-Y.; Hou, H.-H.; Ma, X.-D.; Xu, H.-J.; Shi, Z.-X.; Yin, J.; Jiang, X.-S. Combining Photo-Cleavable and Hydrogen-Abstracting Groups in Quinoxaline with Thioether Bond as Hybrid Photoinitiator. Chin. Chem. Lett. 2017, 28, 6–12. [Google Scholar] [CrossRef]
- Kim, M.S.; Lee, S.B. Benzylpyrazinium Salts as Photo-Initiators in the Polymerization of Epoxide Monomers. Materials 2014, 7, 5581–5590. [Google Scholar] [CrossRef] [PubMed]
- Szymczak, A.M.; Podsiadły, R.; Podemska, K.; Sokołowska, J. Dyes Derived from 1,4-Naphthoquinone as Initiators for Radical and Cationic Photopolymerisation. Color. Technol. 2012, 128, 378–386. [Google Scholar] [CrossRef]
- Podemska, K.; Podsiadły, R.; Orzeł, A.; Kowalska, A.; Maruszewska, A.; Marcinek, A.; Sokolowska, J. 6-Pyridinium Benzo[a]Phenazine-5-Oxide Derivatives as Visible Photosensitisers for Polymerisation. Color. Technol. 2014, 130, 250–259. [Google Scholar] [CrossRef]
- Dumur, F. Recent Advances on Photoinitiating Systems Designed for Solar Photocrosslinking Polymerization Reactions. Eur. Polym. J. 2023, 189, 111988. [Google Scholar] [CrossRef]
- Wang, H.S.; Truong, N.P.; Jones, G.R.; Anastasaki, A. Investigating the Effect of End-Group, Molecular Weight, and Solvents on the Catalyst-Free Depolymerization of RAFT Polymers: Possibility to Reverse the Polymerization of Heat-Sensitive Polymers. ACS Macro Lett. 2022, 11, 1212–1216. [Google Scholar] [CrossRef]
- Young, J.B.; Bowman, J.I.; Eades, C.B.; Wong, A.J.; Sumerlin, B.S. Photoassisted Radical Depolymerization. ACS Macro Lett. 2022, 11, 1390–1395. [Google Scholar] [CrossRef]
Disclaimer/Publisher’s Note: The statements, opinions and data contained in all publications are solely those of the individual author(s) and contributor(s) and not of MDPI and/or the editor(s). MDPI and/or the editor(s) disclaim responsibility for any injury to people or property resulting from any ideas, methods, instructions or products referred to in the content. |
© 2023 by the author. Licensee MDPI, Basel, Switzerland. This article is an open access article distributed under the terms and conditions of the Creative Commons Attribution (CC BY) license (https://creativecommons.org/licenses/by/4.0/).