Role of Ion-Exchange Resins in Hydrogenation Reactions
Abstract
1. Introduction
Ion-Exchange Resins: Main Types and Applications
2. Ion-Exchange Resins as Metal Catalysts Supports
| Resin Type | Polymer Backbone | Crosslinking Agent | Metal | Precursor | Solvent | Metalation Yield (%) | Reduction Agent | Metal Nanoclusters Size (nm) | Ref. |
|---|---|---|---|---|---|---|---|---|---|
| Gel-type | Styrene, ST (92–96 mol%) | Divinylbenzene, DVB (4–8 mol%) | Ru (4 wt.%) | Ru(NH3)6Cl3 | water | - | Sodium borohydride (NaBH4) in ethanol (EtOH) | - | [21] |
| Gel-type | N,N-dimethylacrylamide, DMAA–styrene sodium sulphonate | N,N′-methylene (bis)acrylamide, MBAA (4 mol%) | Ru (4–8 wt.%) | Ru(NH3)6Cl3 | water | - | NaBH4 in EtOH | - | [21] |
| Gel-type | DMAA–potassium 1-methacryoyl ethylene 2-sulphonate | MBAA (4 mol%) | Ru (4–8 wt.%) | Ru(NH3)6Cl3 | water | - | NaBH4 in EtOH | - | [21] |
| Gel-type | DMAA (87–95 mol%)–2-sulfoethylmethacrylate, SEMA (4 mol%) | MBAA (1–9 mol%) | Pd | Pd(OAc)2 | Tetrahydrofurane (THF):water (4:1 vol.) | From 86 to over 90 | NaBH4 in EtOH | 2–4 | [41] |
| Macroreticular | Lewatit® SPC 118 (sulfonated polystyrene-divinylbenzene, ST-DVB, resin) | Pd | Pd(OAc)2 | - | - | - | - | [42] | |
| Macroreticular | Lewatit® UCP 118 (ST-DVB resin) | Pd (2 wt.%) | Pd(OAc)2 | THF/water | NaBH4 in EtOH | - | [42] | ||
| Gel-type | Dodecyl methacrylate, DMA (46 mol%)–methyl methacrylate, MMA (46 mol%)–SEMA (4 mol%) | Ethylene dimethacrylate, EDMA (4 mol%) | Pd (1 wt.%) | Pd(OAc)2 | THF | 90 | H2 or NaBH4 in EtOH/THF | - | [45] |
| Gel-type | DMA (92 mol%)–methacrylic acid, MAA (4 mol%) | EDMA (4 mol%) | Pd (1 wt.%) | Pd(OAc)2 | THF | 100 | H2 or NaBH4 in EtOH/THF | - | [45] |
| Gel-type | DMA (92 mol%)–4-vinylpyridine, VP (4 mol%) | EDMA (4 mol%) | Pd (1 wt.%) | Pd(OAc)2 | THF | 100 | H2 or NaBH4 in EtOH/THF | - | [45] |
| Gel-type | ST (92 mol%)–SEMA (4 mol%) | DVB (4 mol%) | Pd (1 wt.%) | Pd(OAc)2 | THF | 100 | H2 or NaBH4 in EtOH/THF | - | [45] |
| Gel-type | DMA (92 mol%)–4-vinylpyridine (4 mol%) | Ethylene glycol dimethacrylate (4 mol%) | Pd (1 wt.%) | Pd(OAc)2 | THF | 100 | H2 or NaBH4 in THF | 2.6–3.6 | [47] |
| Gel-type | DMAA (92 mol%)–SEMA (4 mol%) | MBAA (4 mol%) | Pd (1.67 wt.%) | Pd(OAc)2 | Methanol (MeOH) | - | NaBH4 in water | 3 | [71] |
| Macroreticular | Lewatit® K2641 (sulfonated ST-DVB resin) | Pd (1.49 wt.%) | Pd(OAc)2 | MeOH/acetone (ace) | 100 | - | - | [72] | |
| Macroreticular | Lewatit® K2621 (sulfonated ST-DVB resin) | Pd (1.34 wt.%) | Pd(OAc)2 | MeOH/ace | 100 | - | - | [72] | |
| Macroreticular | Lewatit® K2621 (sulfonated ST-DVB resin) | Pd (1.37 wt.%) and Pt (0.14 wt.%) | Pd(OAc)2 and Pt(NH3)4(NO3)2 | MeOH/ace | 100 | - | - | [72] | |
| Gel-type | DMAA (92 mol%)–SEMA (4 mol%) | MBAA (4 mol%) | Fe (8.2 wt.%) and Pt (0.71 wt.) | [Pt(NH3)4]Cl2; Fe(OAc)2 | water | 100 | NaBH4 in water | [50] | |
| Gel-type | DMAA (92 mol%)–SEMA (4 mol%) | MBAA (4 mol%) | Zn (15.2 wt.%) and Pt (0.43 wt.) | [Pt(NH3)4]Cl2; Zn(OAc)2 | water | 100 | NaBH4 in water | [50] | |
| Gel-type | DMAA (92 mol%)–SEMA (4 mol%) | MBAA (4 mol%) | Co (14.1 wt.%) and Pt (0.89 wt.) | [Pt(NH3)4]Cl2; Co(OAc)2 | water | 100 | NaBH4 in water | 2–4 (Pt) | [50] |
| Gel-type | DMAA (88 mol%)–2-(methylthio)ethyl methacrylate, MTEMA (4 mol%) | MBAA (8 mol%) | Au (0.75 wt.) | AuCl3 | Acetonitrile (ACN) | - | NaBH4 in water | 2.2 | [48] |
| Gel-type | DMAA (92 mol%)–MTEMA (4 mol%) | MBAA (4 mol%) | Au (0.86 wt.) | AuCl3 | ACN | - | NaBH4 in water | 4.9 | [48] |
| Gel-type | DMAA (88 mol%)–MTEMA (4 mol%) | MBAA (8 mol%) | Pd (0.70 wt.%) | Pd(OAc)2 | THF:water (2:1) | - | NaBH4 in water | 2.3 | [48] |
| Gel-type | DMAA (86 mol%)–MTEMA (10 mol%) | MBAA (4 mol%) | Au (1.61 wt.) and Pd (2.43 wt.%) | AuCl3 and PdCl2 | water | - | NaBH4 in water | - | [48] |
| Gel-type | DMAA (86 mol%)–poly-2-(methylthio)ethyl methacrylate (10 mol%) | MBAA (4 mol%) | Au (2.7 wt.) and/or Pd (0.8 wt.%) | Pd(OAc)2 and/or HAuCl4 | ACN | 100 | NaBH4 in water | - | [52] |
| Gel-type | DMAA (92 mol%)–2-methacryloyl ethanesulfonic acid (4 mol%) | DVB (4 mol%) | Pd (1.0 wt.%) | Pd(OAc)2 | ace | 100 | EtOH | - | [52] |
| Macroreticular | Lewatit® K2621 (sulfonated ST-DVB resin) | Pd (1.1 wt.%) | Pd(OAc)2 | MeOH/ace | 100 | EtOH | 5 | [52] | |
| Gel-type | DOWEXTM 50W × 2 (sulfonated, ST-DVB, with 2% nominal crosslinking), either in H+ or lithiated (Li+) form | Pd (1.1–5.1 wt.%) | Pd(NO3)2 | water | 60 | NaBH4 in water/gaseous H2/in-situ under reaction conditions | 2.2–6.0 | [67] | |
| Gel-type | DOWEXTM 1 × 2 (ST-DVB, with 2% nominal crosslinking, containing trimethylbenzyl ammonium groups) in chlorinated (Cl−) form | Pd (1.1 wt.%) | K2PdCl4 | water | 60 | NaBH4 in water | - | [67] | |
| Macroreticular | Lewatit® K2621 (sulfonated ST-DVB resin) | Pd (1 wt.%) and Pt (0.1, 0.25, 0.5, 1 wt.%) | [Pd(NH3)4]SO4; [Pt(NH3)4](NO3) | water | 100 | Formaldehyde (37%aq.), 3 h | - | [58] | |
| Macroreticular | Lewatit® K2621 (sulfonated ST-DVB resin) | Pd (1 wt.%) and Au (0.25, 0.5, 1 wt.%) | [Pd(NH3)4]SO4; [Au(en)2]Cl3 | water | 100 | Formaldehyde (37%aq.), 3 h | - | [58] | |
| Macroreticular | DiaionTM WA30 (ST-DVB resin with tertiary amine groups) | Pt (1 wt.%) | H2PtCl6 | water | 100 | Hydrazine (N2H4) in the presence of NaOH, pH = 14 | 1.73–2.08 | [61] | |
| Macroreticular | DiaionTM WA30 (ST-DVB resin with tertiary amine groups) | Pt (0.4 wt.%) | H2PtCl6 | water | 100 | N2H4, pH = 14 | 1.9 | [60] | |
| Macroreticular | DiaionTM WA30 (ST-DVB resin with tertiary amine groups) | Au (0.4 wt.%) | H2AuCl4 | water | 100 | N2H4, pH = 14 | 1.9 | [60] | |
| Macroreticular | DiaionTM WA30 (ST-DVB resin with tertiary amine groups) | Pt and Au (0.4 wt.% total) | H2PtCl6 and H2AuCl4 | water | 100 | N2H4, pH = 14 | 3.6–5.4 | [60] | |
| Macroreticular | Ambersep® GT74 (ST-DVB resin with thiol groups) | Pd (0.11 wt.%) | Pd(NO3)2·xH2O | water | 100 | NaBH4 in water | 1.34 | [68] | |
| Macroreticular | Lewatit® K2629 (sulfonated ST-DVB resin) | Pd (0.08 wt.%) | Pd(NO3)2·xH2O | water | 73 | NaBH4 in water | 2.42 | [68] | |
| Macroreticular | Lewatit® MP500OH (ST-DVB resin with quaternary amine groups) | Pd (0.11 wt.%) | K2PdCl4 | water | 100 | NaBH4 in water | 2.59 | [68] | |
- (1)
- Doping IERs with metal catalysts is a well-known technique that can be roughly summarized as a two-steps procedure consisting of (a) metalation step, that is, dispersion of a metal into the IER, typically conducted by contacting the functionalized IER with a solution of a metal salt, which acts as a precursor, to allow ion-exchange ((MLn)2+ cations for cationic resins and (MLn)2− anions for anionic resins are required); and (b) activation of the catalyst, that is, reduction of the metal in its ionic form to its zero-valence form, to produce catalytically active metal nanoparticles. Scheme 1 illustrates such a technique for cation and anion exchange resins with an ST-DVB polymeric matrix.
- (2)
- Several metals have been used, including Pd, Pt, Au, and more. No works have been found reporting on particular difficulties in doping IERs with specific metals.
- (3)
- Several resin types have been used, including gel-type, macroreticular and hyper-crosslinked resins, either lab-made, commercially available or modified commercially available resins. Acrylic and ST-DVB resins stand out as the most widely used resins among the covered literature. The effect of a variety of functional groups has also been tested and, apparently, acidic resins would be more favored metal supports than basic ones.
- (4)
- Metal distribution within the resin beads depends on the resin type as follows: (a) homogeneous distributions are easily achieved in gel-type resins; (b) in contrast, when macroreticular resins are used, a clear heterogeneous distribution of the metal is observed, with the metal being concentrated at the macropores surface; and (c) as a strategy to circumvent this phenomenon, hyper-crosslinked resins can be used to obtain homogeneous metal distributions while maintaining a permanent, open mesopore structure of the polymeric backbone.
- (5)
- Several methods, solvents, and precursor metal salts have been used for the metalation step of IERs, with no clear evidence of a more favored procedure.
- (6)
- Metalation yields are generally high, easily achieving 100% anchoring levels of the metal contained in the precursor salt in the final metal-doped IER.
- (7)
- Several methods, solvents, and reducing agents are used in the reduction step of the metal ion to its zero-valence or elemental form. In this case, the specific catalytic application seems to be the determinant feature. Accordingly, metal-doped IERs aimed at catalyzing hydrogenation reactions do not appear to need a specific, separated reduction step, since the metal cation would be reduced in the reaction conditions. If this strategy is followed, notice that an induction period for the catalyst would take place before the reaction which must be taken into account for further results interpretation.
- (8)
- A variety of metal nanoparticle size distributions is reported in the literature, with values as low as about 1 nm, and a remarkably good size control can be achieved.
3. Ion-Exchange Resins Application to Hydrogenation Reactions
3.1. Hydrogenation of Alkenes
3.2. Hydrogenation of Alkynes
3.3. Hydrogenation of Carbonyl Compounds
3.4. Hydrogenation of Substituted Arenes
3.5. Hydrogenation of Nitroaromatic Compounds
3.6. Hydrogenation of Nitrates
3.7. One-Pot Multistep Reaction Processes Involving Hydrogenation
3.8. Other Related Reactions
4. Concluding Remarks and Future Outlook
Author Contributions
Funding
Data Availability Statement
Conflicts of Interest
References
- Chakrabarti, A.; Sharma, M.M. Cationic Ion Exchange Resins as Catalyst. React. Polym. 1993, 20, 1–45. [Google Scholar] [CrossRef]
- Sharma, M.M. Some Novel Aspects of Cationic Ion-Exchange Resins as Catalysts. React. Funct. Polym. 1995, 26, 3–23. [Google Scholar] [CrossRef]
- Harmer, M.A.; Sun, Q. Solid Acid Catalysis Using Ion-Exchange Resins. Appl. Catal. A Gen. 2001, 221, 45–62. [Google Scholar] [CrossRef]
- Gelbard, G. Organic Synthesis by Catalysis with Ion-Exchange Resins. Ind. Eng. Chem. Res. 2005, 44, 8468–8498. [Google Scholar] [CrossRef]
- Özbay, N.; Oktar, N.; Tapan, N.A. Esterification of Free Fatty Acids in Waste Cooking Oils (WCO): Role of Ion-Exchange Resins. Fuel 2008, 87, 1789–1798. [Google Scholar] [CrossRef]
- Alexandratos, S.D. Ion-Exchange Resins: A Retrospective from Industrial and Engineering Chemistry Research. Ind. Eng. Chem. Res. 2009, 48, 388–398. [Google Scholar] [CrossRef]
- Ramírez, E.; Bringué, R.; Fité, C.; Iborra, M.; Tejero, J.; Cunill, F. Role of Ion-Exchange Resins as Catalyst in the Reaction-Network of Transformation of Biomass into Biofuels. J. Chem. Technol. Biotechnol. 2017, 92, 2775–2786. [Google Scholar] [CrossRef]
- Corain, B.; Králik, M. Dispersing Metal Nanoclusters inside Functional Synthetic Resins: Scope and Catalytic Prospects. J. Mol. Catal. A Chem. 2000, 159, 153–162. [Google Scholar] [CrossRef]
- Corain, B.; Králik, M. Generating Palladium Nanoclusters inside Functional Cross-Linked Polymer Frameworks. J. Mol. Catal. A Chem. 2001, 173, 99–115. [Google Scholar] [CrossRef]
- Dioos, B.M.L.; Vankelecom, I.F.J.; Jacobs, P.A. Aspects of Immobilisation of Catalysts on Polymeric Supports. Adv. Synth. Catal. 2006, 348, 1413–1446. [Google Scholar] [CrossRef]
- Climent, M.J.; Corma, A.; Iborra, S. Heterogeneous Catalysts for the One-Pot Synthesis of Chemicals and Fine Chemicals. Chem. Rev. 2011, 111, 1072–1133. [Google Scholar] [CrossRef]
- Climent, M.J.; Corma, A.; Iborra, S. Conversion of Biomass Platform Molecules into Fuel Additives and Liquid Hydrocarbon Fuels. Green Chem. 2014, 16, 516. [Google Scholar] [CrossRef]
- Osazuwa, O.U.; Abidin, S.Z. The Application of Ion-Exchange Resins in Hydrogenation Reactions. In Applications of Ion Exchange Materials in Chemical and Food Industries; Springer International Publishing: Cham, Switzerland, 2019; pp. 19–33. ISBN 9783030060855. [Google Scholar]
- Osazuwa, O.U.; Abidin, S.Z. The Functionality of Ion Exchange Resins for Esterification, Transesterification and Hydrogenation Reactions. ChemistrySelect 2020, 5, 7658–7670. [Google Scholar] [CrossRef]
- Goszewska, I.; Giziński, D.; Zienkiewicz-Machnik, M.; Lisovytskiy, D.; Nikiforov, K.; Masternak, J.; Śrębowata, A.; Sá, J. A Novel Nano-Palladium Catalyst for Continuous-Flow Chemoselective Hydrogenation Reactions. Catal. Commun. 2017, 94, 65–68. [Google Scholar] [CrossRef]
- Osako, T.; Torii, K.; Hirata, S.; Uozumi, Y. Chemoselective Continuous-Flow Hydrogenation of Aldehydes Catalyzed by Platinum Nanoparticles Dispersed in an Amphiphilic Resin. ACS Catal. 2017, 7, 7371–7377. [Google Scholar] [CrossRef]
- Monguchi, Y.; Ichikawa, T.; Nozaki, K.; Kihara, K.; Yamada, Y.; Miyake, Y.; Sawama, Y.; Sajiki, H. Development of Chelate Resin-Supported Palladium Catalysts for Chemoselective Hydrogenation. Tetrahedron 2015, 71, 6499–6505. [Google Scholar] [CrossRef]
- Alemán-Vázquez, L.O.; Cano-Domínguez, J.L.; Torres-Mancera, P.; Ancheyta, J. Organic Polymers as Solid Hydrogen Donors in the Hydrogenation of Cyclohexene. Catal. Today 2018, 305, 143–151. [Google Scholar] [CrossRef]
- Králik, M.; Hronec, M.; Jorik, V.; Lora, S.; Palma, G.; Zecca, M.; Biffis, A.; Corain, B. Microporous Poly-(N,N-Dimethyl-Acrylamide)-(1-Methacryloyl-Ethylene-2-Sulphonate)-(N,N’-Methylene-Bis-Acrylamide) Resins as Hydrophilic Supports for Metal Catalysts. J. Mol. Catal. A Chem. 1995, 101, 143–152. [Google Scholar] [CrossRef]
- Králik, M.; Hronec, M.; Lora, S.; Palma, G.; Zecca, M.; Biffis, A.; Corain, B. Microporous Poly-N,N-Dimethylacrylamide-p-Styrylsulfonate-Methylene Bis(Acrylamide): A Promising Support for Metal Catalysis. J. Mol. Catal. A Chem. 1995, 97, 145–155. [Google Scholar] [CrossRef]
- Hronec, M.; Cvengrošová, Z.; Králik, M.; Palma, G.; Corain, B. Hydrogenation of Benzene to Cyclohexene over Polymer-Supported Ruthenium Catalysts. J. Mol. Catal. A Chem. 1996, 105, 25–30. [Google Scholar] [CrossRef]
- Sherrington, D.C. Polymer-Supported Synthesis. In Chemistry of Waste Minimization; Springer: Dordrecht, The Netherlands, 1995; pp. 141–200. [Google Scholar]
- Sherrington, D.C. Preparation, Structure and Morphology of Polymer Supports. Chem. Commun. 1998, 2275–2286. [Google Scholar] [CrossRef]
- Králik, M.; Biffis, A. Catalysis by Metal Nanoparticles Supported on Functional Organic Polymers. J. Mol. Catal. A Chem. 2001, 177, 113–138. [Google Scholar] [CrossRef]
- Corain, B. Functional Resins as Innovative Supports for Catalytically Active Metal Nanoclusters. J. Mol. Catal. A Chem. 2003, 204–205, 755–762. [Google Scholar] [CrossRef]
- Barbaro, P.; Liguori, F. Ion Exchange Resins: Catalyst Recovery and Recycle. Chem. Rev. 2009, 109, 515–529. [Google Scholar] [CrossRef] [PubMed]
- Corain, B.; Zecca, M.; Canton, P.; Centomo, P. Synthesis and Catalytic Activity of Metal Nanoclusters inside Functional Resins: An Endeavour Lasting 15 Years. Philos. Trans. R. Soc. A Math. Phys. Eng. Sci. 2010, 368, 1495–1507. [Google Scholar] [CrossRef]
- Sarkar, S.; Guibal, E.; Quignard, F.; SenGupta, A.K. Polymer-Supported Metals and Metal Oxide Nanoparticles: Synthesis, Characterization, and Applications. J. Nanoparticle Res. 2012, 14, 715. [Google Scholar] [CrossRef]
- Barbaro, P.; Liguori, F.; Linares, N.; Marrodan, C.M. Heterogeneous Bifunctional Metal/Acid Catalysts for Selective Chemical Processes. Eur. J. Inorg. Chem. 2012, 2012, 3807–3823. [Google Scholar] [CrossRef]
- Liguori, F.; Moreno-Marrodan, C.; Barbaro, P. Metal Nanoparticles Immobilized on Ion-Exchange Resins: A Versatile and Effective Catalyst Platform for Sustainable Chemistry. Chin. J. Catal. 2015, 36, 1157–1169. [Google Scholar] [CrossRef]
- Shchukin, E.D.; Pertsov, A.V.; Amelina, E.A.; Zelenev, A.S. Interfaces between Condensed Phases. Wetting. In Studies in Interface Science; Elsevier: Amsterdam, The Netherlands, 2001; Volume 12, pp. 165–259. [Google Scholar]
- Srikanth, M.V.; Sunil, S.A.; Rao, N.S.; Uhumwangho, M.U.; Ramana Murthy, K.V. Ion-Exchange Resins as Controlled Drug Delivery Carriers. J. Sci. Res. 2010, 2, 597. [Google Scholar] [CrossRef]
- Okay, O. Macroporous Copolymer Networks. Prog. Polym. Sci. 2000, 25, 711–779. [Google Scholar] [CrossRef]
- Guilera, J.; Ramírez, E.; Fité, C.; Iborra, M.; Tejero, J. Thermal Stability and Water Effect on Ion-Exchange Resins in Ethyl Octyl Ether Production at High Temperature. Appl. Catal. A Gen. 2013, 467, 301–309. [Google Scholar] [CrossRef]
- Pfeuffer, B.; Kunz, U.; Hoffmann, U.; Turek, T.; Hoell, D. Heterogeneous Reactive Extraction for Secondary Butyl Alcohol Liquid Phase Synthesis: Microkinetics and Equilibria. Chem. Eng. Sci. 2011, 66, 777–787. [Google Scholar] [CrossRef]
- Corain, B.; Zecca, M.; Jeřábek, K. Catalysis and Polymer Networks—The Role of Morphology and Molecular Accessibility. J. Mol. Catal. A Chem. 2001, 177, 3–20. [Google Scholar] [CrossRef]
- Akelah, A.; Sherrington, D.C. Application of Functionalized Polymers in Organic Synthesis. Chem. Rev. 1981, 81, 557–587. [Google Scholar] [CrossRef]
- Deutschmann, O.; Knözinger, H.; Kochloefl, K.; Turek, T. Heterogeneous Catalysis and Solid Catalysts. In Ullmann’s Encyclopedia of Industrial Chemistry; Wiley-VCH Verlag GmbH & Co. KGaA: Weinheim, Germany, 2009; p. 110. [Google Scholar]
- Guilera, J.; Hanková, L.; Jeřábek, K.; Ramírez, E.; Tejero, J. Influence of the Functionalization Degree of Acidic Ion-Exchange Resins on Ethyl Octyl Ether Formation. React. Funct. Polym. 2014, 78, 14–22. [Google Scholar] [CrossRef]
- Jeřábek, K.; Hanková, L.; Revillon, A. Functional Polymers Prepared from P-Styrenesulfonyl Chloride as the Functional Monomer. Ind. Eng. Chem. Res. 1995, 34, 2598–2604. [Google Scholar] [CrossRef]
- Biffis, A.; D’Archivio, A.A.; Jeřábek, K.; Schmid, G.; Corain, B. The Generation of Size-Controlled Palladium Nanoclusters Inside Gel-Type Functional Resins: Arguments and Preliminary Results. Adv. Mater. 2000, 12, 1909–1912. [Google Scholar] [CrossRef]
- Biffis, A.; Landes, H.; Jeřábek, K.; Corain, B. Metal Palladium Dispersed inside Macroporous Ion-Exchange Resins: The Issue of the Accessibility to Gaseous Reactants. J. Mol. Catal. A Chem. 2000, 151, 283–288. [Google Scholar] [CrossRef]
- D’Archivio, A.A.; Galantini, L.; Tettamanti, E.; Panatta, A.; Corain, B. Metal Palladium Dispersed inside Macroporous Ion-Exchange Resins: Rotational and Translational Mobility inside the Polymer Network. J. Mol. Catal. A Chem. 2000, 157, 269–273. [Google Scholar] [CrossRef]
- Zecca, M.; Fišera, R.; Palma, G.; Lora, S.; Hronec, M.; Králik, M. Activity Enhancement by the Support in the Hydrogenation of C=C Bonds over Polymer-Supported Palladium Catalysts. Chem.-A Eur. J. 2000, 6, 1980–1986. [Google Scholar] [CrossRef]
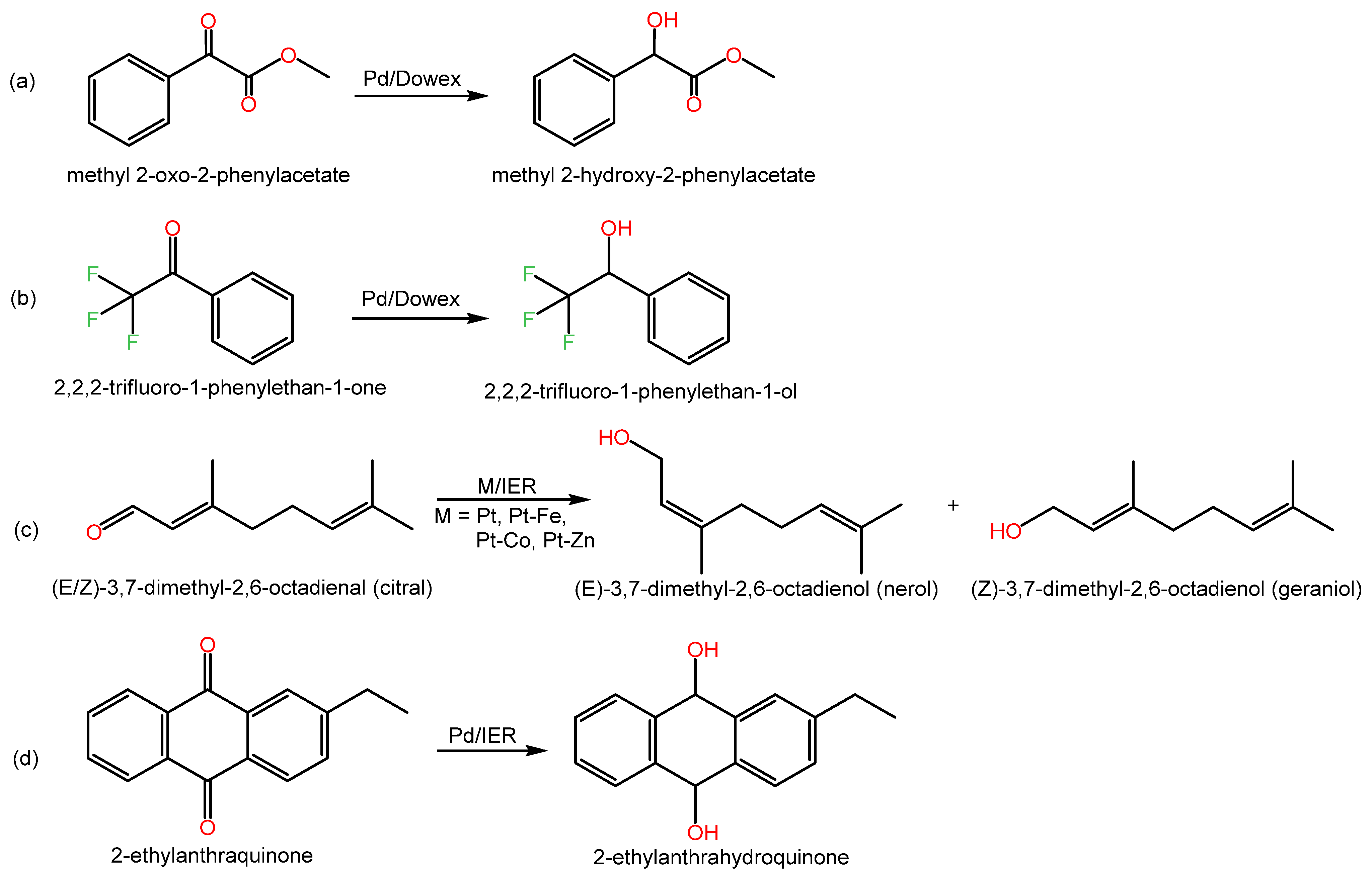
- Biffis, A.; Ricoveri, R.; Campestrini, S.; Kralik, M.; Jeřàbek, K.; Corain, B. Highly Chemoselective Hydrogenation of 2-Ethylanthraquinone to 2-Ethylanthrahydroquinone Catalyzed by Palladium Metal Dispersed inside Highly Lipophilic Functional Resins. Chem.-A Eur. J. 2002, 8, 2962. [Google Scholar] [CrossRef]
- Corain, B. Generation of a Silica Skeleton inside of Gel-Type Functional Resins Supporting Catalytically Active Palladium Nanoclusters. J. Mol. Catal. A Chem. 2004, 211, 237–242. [Google Scholar] [CrossRef]
- Corain, B.; Jeřábek, K.; Centomo, P.; Canton, P. Generation of Size-Controlled Pd0 Nanoclusters inside Nanoporous Domains of Gel-Type Resins: Diverse and Convergent Evidence That Supports a Strategy of Template-Controlled Synthesis. Angew. Chem. Int. Ed. 2004, 43, 959–962. [Google Scholar] [CrossRef] [PubMed]
- Burato, C.; Centomo, P.; Pace, G.; Favaro, M.; Prati, L.; Corain, B. Generation of Size-Controlled Palladium(0) and Gold(0) Nanoclusters inside the Nanoporous Domains of Gel-Type Functional Resins. J. Mol. Catal. A Chem. 2005, 238, 26–34. [Google Scholar] [CrossRef]
- Caporusso, A.M.; Innocenti, P.; Aronica, L.A.; Vitulli, G.; Gallina, R.; Biffis, A.; Zecca, M.; Corain, B. Functional Resins in Palladium Catalysis: Promising Materials for Heck Reaction in Aprotic Polar Solvents. J. Catal. 2005, 234, 1–13. [Google Scholar] [CrossRef]
- Centomo, P.; Zecca, M.; Lora, S.; Vitulli, G.; Caporusso, A.; Tropeano, M.; Milone, C.; Galvagnio, S.; Corain, B. Novel Pt Catalysts Supported on Functional Resins for the Chemoselective Hydrogenation of Citral to the -Unsaturated Alcohols Geraniol and Nerol. J. Catal. 2005, 229, 283–297. [Google Scholar] [CrossRef]
- Corain, B.; Burato, C.; Centomo, P.; Lora, S.; Meyer-Zaika, W.; Schmid, G. Generation of Size-Controlled Gold(0) and Palladium(0) Nanoclusters inside the Nanoporous Domains of Gel-Type Functional Resins: Part I: Synthetic Aspects and First Catalytic Data in the Liquid Phase. J. Mol. Catal. A Chem. 2005, 225, 189–195. [Google Scholar] [CrossRef]
- Burato, C.; Centomo, P.; Rizzoli, M.; Biffis, A.; Campestrini, S.; Corain, B. Functional Resins as Hydrophilic Supports for Nanoclustered Pd(0) and Pd(0)-Au(0) Catalysts Designed for the Direct Synthesis of Hydrogen Peroxide. Adv. Synth. Catal. 2006, 348, 255–259. [Google Scholar] [CrossRef]
- Bolfa, C.; Zoleo, A.; Sassi, A.S.; Maniero, A.L.; Pears, D.; Jerabek, K.; Corain, B. Cross-Linked Poly-Vinyl Polymers versus Polyureas as Designed Supports for Catalytically Active M0 Nanoclusters. Part I. Nanometer Scale Structure of the Polyurea Support EnCatTM 40. J. Mol. Catal. A Chem. 2007, 275, 233–239. [Google Scholar] [CrossRef]
- De Zan, L.; Gašparovičová, D.; Králik, M.; Centomo, P.; Carraro, M.; Campestrini, S.; Jerabek, K.; Corain, B. Nanoclustered Palladium(0) Supported on a Gel-Type Poly-Acrylonitrile-N,N-Dimethylacrylamide-Ethylenedimethacrylate Resin: Nanostructural Aspects and Catalytic Behaviour. J. Mol. Catal. A Chem. 2007, 265, 1–8. [Google Scholar] [CrossRef]
- Centomo, P.; Zecca, M.; Kralik, M.; Gasparovicova, D.; Jerabek, K.; Canton, P.; Corain, B. Cross-Linked Poly-Vinyl Polymers versus Polyureas as Designed Supports for Catalytically Active M0 Nanoclusters. Part II. Pd0/Cross-Linked Poly-Vinyl Polymers versus Pd0/EnCatTM30NP in Mild Hydrogenation Reactions. J. Mol. Catal. A Chem. 2009, 300, 48–58. [Google Scholar] [CrossRef]
- Centomo, P.; Zecca, M.; Zoleo, A.; Maniero, A.L.; Canton, P.; Jerabek, K.; Corain, B. Cross-Linked Polyvinyl Polymers versus Polyureas as Designed Supports for Catalytically Active M0 Nanoclusters Part III. Nanometer Scale Structure of the Cross-Linked Polyurea Support EnCat 30 and of the PdII/EnCat 30 and Pd0/EnCat 30NP Catalysts. Phys. Chem. Chem. Phys. 2009, 11, 4068–4076. [Google Scholar] [CrossRef] [PubMed]
- Corain, B.; Schmid, G.; Toshima, N. Metal Nanoclusters in Catalysis and Materials Science; Elsevier: Amsterdam, The Netherlands, 2008; ISBN 9780444530578. [Google Scholar]
- Sterchele, S.; Biasi, P.; Centomo, P.; Canton, P.; Campestrini, S.; Salmi, T.; Zecca, M. Pd-Au and Pd-Pt Catalysts for the Direct Synthesis of Hydrogen Peroxide in Absence of Selectivity Enhancers. Appl. Catal. A Gen. 2013, 468, 160–174. [Google Scholar] [CrossRef]
- Centomo, P.; Meneghini, C.; Sterchele, S.; Trapananti, A.; Aquilanti, G.; Zecca, M. EXAFS in Situ: The Effect of Bromide on Pd during the Catalytic Direct Synthesis of Hydrogen Peroxide. Catal. Today 2015, 248, 138–141. [Google Scholar] [CrossRef]
- Sánchez, B.S.; Gross, M.S.; Querini, C.A. Pt Catalysts Supported on Ion Exchange Resins for Selective Glycerol Oxidation. Effect of Au Incorporation. Catal. Today 2017, 296, 35–42. [Google Scholar] [CrossRef]
- Gross, M.S.; Sánchez, B.S.; Querini, C.A. Glycerol Oxidation in Liquid Phase: Highly Stable Pt Catalysts Supported on Ion Exchange Resins. Appl. Catal. A Gen. 2015, 501, 1–9. [Google Scholar] [CrossRef]
- Laufer, W.; Niederer, J.P.M.; Hoelderich, W.F. New Direct Hydroxylation of Benzene with Oxygen in the Presence of Hydrogen over Bifunctional Palladium/Platinum Catalysts. Adv. Synth. Catal. 2002, 344, 1084–1089. [Google Scholar] [CrossRef]
- Laufer, W.; Hoelderich, W.F. New Direct Hydroxylation of Benzene with Oxygen in the Presence of Hydrogen over Bifunctional Ion-Exchange Resins. Chem. Commun. 2002, 344, 1684–1685. [Google Scholar] [CrossRef]
- Bortolus, M.; Centomo, P.; Zecca, M.; Sassi, A.; Jeřábek, K.; Maniero, A.L.; Corain, B. Characterisation of Solute Mobility in Hypercross-Linked Resins in Solvents of Different Polarity: Two Promising Supports for Catalysis. Chem.-A Eur. J. 2012, 18, 4706–4713. [Google Scholar] [CrossRef]
- Jeřábek, K.; Zecca, M.; Centomo, P.; Marchionda, F.; Peruzzo, L.; Canton, P.; Negro, E.; di Noto, V.; Corain, B. Synthesis of Nanocomposites from Pd0 and a Hyper-Cross-Linked Functional Resin Obtained from a Conventional Gel-Type Precursor. Chem.-A Eur. J. 2013, 19, 9381–9387. [Google Scholar] [CrossRef]
- Frison, F.; Dalla Valle, C.; Evangelisti, C.; Centomo, P.; Zecca, M. Direct Synthesis of Hydrogen Peroxide under Semi-Batch Conditions over Un-Promoted Palladium Catalysts Supported by Ion-Exchange Sulfonated Resins: Effects of the Support Morphology. Catalysts 2019, 9, 124. [Google Scholar] [CrossRef]
- Marrodan, C.M.; Berti, D.; Liguori, F.; Barbaro, P. In Situ Generation of Resin-Supported Pd Nanoparticles under Mild Catalytic Conditions: A Green Route to Highly Efficient, Reusable Hydrogenation Catalysts. Catal. Sci. Technol. 2012, 2, 2279. [Google Scholar] [CrossRef]
- Van Vaerenbergh, B.; Lauwaert, J.; Bert, W.; Thybaut, J.W.; de Clercq, J.; Vermeir, P. Effect of Ion Exchange Resin Functionality on Catalytic Activity and Leaching of Palladium Nanoparticles in Suzuki Cross-Coupling Reactions. ChemCatChem 2017, 9, 451–457. [Google Scholar] [CrossRef]
- Fujitsuka, H.; Nakagawa, K.; Hanprerakriengkrai, S.; Nakagawa, H.; Tago, T. Hydrogen Production from Formic Acid Using Pd/C, Pt/C, and Ni/C Catalysts Prepared from Ion-Exchange Resins. J. Chem. Eng. Jpn. 2019, 52, 423–429. [Google Scholar] [CrossRef]
- Prekob, Á.; Hajdu, V.; Muránszky, G.; Kocserha, I.; Fiser, B.; Viskolcz, B.; Vanyorek, L. Application of Carbonized Ion Exchange Resin Beads as Catalyst Support for Gas Phase Hydrogenation Processes. React. Kinet. Mech. Catal. 2020, 129, 85–94. [Google Scholar] [CrossRef]
- Králik, M.; Kratky, V.; de Rosso, M.; Tonelli, M.; Lora, S.; Corain, B. Metal Catalysis inside Polymer Frameworks: Evaluation of Catalyst Stability and Reusability. Chem.-A Eur. J. 2003, 9, 209–214. [Google Scholar] [CrossRef]
- Blanco-Brieva, G.; Cano-Serrano, E.; Campos-Martin, J.M.; Fierro, J.L.G. Direct Synthesis of Hydrogen Peroxide Solution with Palladium-Loaded Sulfonic Acid Polystyrene Resins. Chem. Commun. 2004, 4, 1184. [Google Scholar] [CrossRef]
- Pritchard, G. Novel Catalyst Widens Octane Opportunities; National Petroleum Refiners Association: Washington, DC, USA, 1987. [Google Scholar]
- Mitschker, A.; Wagner, R.; Lange, P.M. The Utility of Ion Exchange Resins as Heterogeneous Catalysts in Chemical Syntheses. In Studies in Surface Science and Catalysis; Elsevier: Amsterdam, The Netherlands, 1988; Volume 41, pp. 61–73. [Google Scholar]
- Drelinkiewicz, A.; Stanuch, W.; Knapik, A.; Ghanem, A.; Kosydar, R.; Bukowska, A.; Bukowski, W. Amine Groups Functionalized Gel-Type Resin Supported Pd Catalysts: Physicochemical and Catalytic Properties in Hydrogenation of Alkynes. J. Mol. Catal. A Chem. 2009, 300, 8–18. [Google Scholar] [CrossRef]
- Martínez Figueredo, K.G.; Segobia, D.J.; Bertero, N.M. Pentyl Valerate Biofuel from γ-Valerolactone in One-Pot Process: Insights on the Key Role of Acid Sites of the Catalytic Support. Energy Convers. Manag. X 2022, 13, 100162. [Google Scholar] [CrossRef]
- Talwalkar, S.; Mahajani, S. Synthesis of Methyl Isobutyl Ketone from Acetone over Metal-Doped Ion Exchange Resin Catalyst. Appl. Catal. A Gen. 2006, 302, 140–148. [Google Scholar] [CrossRef]
- Drelinkiewicz, A.; Knapik, A.; Waksmundzka-Góra, A.; Bukowska, A.; Bukowski, W.; Noworól, J. Functional Gel-Type Resin Based Palladium Catalysts: The Role of Polymer Properties in the Hydrogenation of the CC Bond of Maleic and Fumaric Acids, the Isomers of Dicarboxylic Acids. React. Funct. Polym. 2008, 68, 1059–1071. [Google Scholar] [CrossRef]
- Madureira, A.; Noël, S.; Léger, B.; Ponchel, A.; Monflier, E. Catalytic Hydrogenation of Derived Vegetable Oils Using Ion-Exchange Resin-Supported Ruthenium Nanoparticles: Scope and Limitations. ACS Sustain. Chem. Eng. 2022, 10, 16588–16597. [Google Scholar] [CrossRef]
- Barbaro, P.; Bianchini, C.; Giambastiani, G.; Oberhauser, W.; Bonzi, L.M.; Rossi, F.; Dal Santo, V. Recycling Asymmetric Hydrogenation Catalysts by Their Immobilisation onto Ion-Exchange Resins. Dalton Trans. 2004, 12, 1783. [Google Scholar] [CrossRef]
- Barbaro, P. Recycling Asymmetric Hydrogenation Catalysts by Their Immobilization onto Ion-Exchange Resins. Chem.-A Eur. J. 2006, 12, 5666–5675. [Google Scholar] [CrossRef]
- Kleman, P.; Barbaro, P.; Pizzano, A. Chiral Rh Phosphine–Phosphite Catalysts Immobilized on Ionic Resins for the Enantioselective Hydrogenation of Olefins in Water. Green Chem. 2015, 17, 3826–3836. [Google Scholar] [CrossRef]
- Seki, T.; Grunwaldt, J.D.; van Vegten, N.; Baiker, A. Palladium Supported on an Acidic Resin: A Unique Bifunctional Catalyst for the Continuous Catalytic Hydrogenation of Organic Compounds in Supercritical Carbon Dioxide. Adv. Synth. Catal. 2008, 350, 691–705. [Google Scholar] [CrossRef]
- Delbecq, F.; Sautet, P. Competitive C C and C O Adsorption of α-β-Unsaturated Aldehydes on Pt and Pd Surfaces in Relation with the Selectivity of Hydrogenation Reactions: A Theoretical Approach. J. Catal. 1995, 152, 217–236. [Google Scholar] [CrossRef]
- Hetterley, R.D.; Mackey, R.; Jones, J.T.A.; Khimyak, Y.Z.; Fogg, A.M.; Kozhevnikov, I.V. One-Step Conversion of Acetone to Methyl Isobutyl Ketone over Pd-Mixed Oxide Catalysts Prepared from Novel Layered Double Hydroxides. J. Catal. 2008, 258, 250–255. [Google Scholar] [CrossRef]
- Jeřábek, K. Palladium Hydrogenation Catalysts Supported on Ion-Exchange Resins. J. Mol. Catal. 1989, 55, 247–255. [Google Scholar] [CrossRef]
- Silva, T.R.; de Oliveira, D.C.; Pal, T.; Domingos, J.B. The Catalytic Evaluation of Bimetallic Pd-Based Nanocatalysts Supported on Ion Exchange Resin in Nitro and Alkyne Reduction Reactions. New J. Chem. 2019, 43, 7083–7092. [Google Scholar] [CrossRef]
- Sulman, E.M.; Nikoshvili, L.Z.; Matveeva, V.G.; Tyamina, I.Y.; Sidorov, A.I.; Bykov, A.V.; Demidenko, G.N.; Stein, B.D.; Bronstein, L.M. Palladium Containing Catalysts Based on Hypercrosslinked Polystyrene for Selective Hydrogenation of Acetylene Alcohols. Top. Catal. 2012, 55, 492–497. [Google Scholar] [CrossRef]
- Nikoshvili, L.; Shimanskaya, E.; Bykov, A.; Yuranov, I.; Kiwi-Minsker, L.; Sulman, E. Selective Hydrogenation of 2-Methyl-3-Butyn-2-Ol over Pd-Nanoparticles Stabilized in Hypercrosslinked Polystyrene: Solvent Effect. Catal. Today 2015, 241, 179–188. [Google Scholar] [CrossRef]
- Bombi, G.; Lora, S.; Zancato, M.; D’Archivio, A.A.; Jeřábek, K.; Corain, B. Generating Palladium Nanoclusters inside Very Lipophilic Gel-Type Functional Resins: Preliminary Catalytic Tests in the Hydrogenation of 2-Ethyl-Anthraquinone to 2-Ethylanthrahydroquinone. J. Mol. Catal. A Chem. 2003, 194, 273–281. [Google Scholar] [CrossRef]
- Barbaro, P.; Gonsalvi, L.; Guerriero, A.; Liguori, F. Facile Heterogeneous Catalytic Hydrogenations of C=N and C=O Bonds in Neat Water: Anchoring of Water-Soluble Metal Complexes onto Ion-Exchange Resins. Green Chem. 2012, 14, 3211. [Google Scholar] [CrossRef]
- Bykov, A.; Matveeva, V.; Sulman, M.; Valetskiy, P.; Tkachenko, O.; Kustov, L.; Bronstein, L.; Sulman, E. Enantioselective Catalytic Hydrogenation of Activated Ketones Using Polymer-Containing Nanocomposites. Catal. Today 2009, 140, 64–69. [Google Scholar] [CrossRef]
- Michel, C.; Gallezot, P. Why Is Ruthenium an Efficient Catalyst for the Aqueous-Phase Hydrogenation of Biosourced Carbonyl Compounds? ACS Catal. 2015, 5, 4130–4132. [Google Scholar] [CrossRef]
- Barbaro, P.; Liguori, F.; Moreno-Marrodan, C. Selective Direct Conversion of C 5 and C 6 Sugars to High Added-Value Chemicals by a Bifunctional, Single Catalytic Body. Green Chem. 2016, 18, 2935–2940. [Google Scholar] [CrossRef]
- Moreno-Marrodan, C.; Barbaro, P. Energy Efficient Continuous Production of γ-Valerolactone by Bifunctional Metal/Acid Catalysis in One Pot. Green Chem. 2014, 16, 3434–3438. [Google Scholar] [CrossRef]
- Moreno-Marrodan, C.; Liguori, F.; Mercadé, E.; Godard, C.; Claver, C.; Barbaro, P. A Mild Route to Solid-Supported Rhodium Nanoparticle Catalysts and Their Application to the Selective Hydrogenation Reaction of Substituted Arenes. Catal. Sci. Technol. 2015, 5, 3762–3772. [Google Scholar] [CrossRef]
- Sulman, E.M.; Ivanov, A.A.; Chernyavsky, V.S.; Sulman, M.G.; Bykov, A.I.; Sidorov, A.I.; Doluda, V.Y.; Matveeva, V.G.; Bronstein, L.M.; Stein, B.D.; et al. Kinetics of Phenol Hydrogenation over Pd-Containing Hypercrosslinked Polystyrene. Chem. Eng. J. 2011, 176–177, 33–41. [Google Scholar] [CrossRef]
- Gašparovičová, D.; Králik, M.; Hronec, M.; Biffis, A.; Zecca, M.; Corain, B. Reduction of Nitrates Dissolved in Water over Palladium-Copper Catalysts Supported on a Strong Cationic Resin. J. Mol. Catal. A Chem. 2006, 244, 258–266. [Google Scholar] [CrossRef]
- Gašparovičová, D.; Králik, M.; Hronec, M.; Vallušová, Z.; Vinek, H.; Corain, B. Supported Pd–Cu Catalysts in the Water Phase Reduction of Nitrates: Functional Resin versus Alumina. J. Mol. Catal. A Chem. 2007, 264, 93–102. [Google Scholar] [CrossRef]
- Mendow, G.; Sánchez, A.; Grosso, C.; Querini, C.A. A Novel Process for Nitrate Reduction in Water Using Bimetallic Pd-Cu Catalysts Supported on Ion Exchange Resin. J. Environ. Chem. Eng. 2017, 5, 1404–1414. [Google Scholar] [CrossRef]
- Bradu, C.; Căpăţ, C.; Papa, F.; Frunza, L.; Olaru, E.-A.; Crini, G.; Morin-Crini, N.; Euvrard, É.; Balint, I.; Zgura, I.; et al. Pd-Cu Catalysts Supported on Anion Exchange Resin for the Simultaneous Catalytic Reduction of Nitrate Ions and Reductive Dehalogenation of Organochlorinated Pollutants from Water. Appl. Catal. A Gen. 2019, 570, 120–129. [Google Scholar] [CrossRef]
- Talwalkar, S.; Thotla, S.; Sundmacher, K.; Mahajani, S. Simultaneous Hydrogenation and Isomerization of Diisobutylenes over Pd-Doped Ion-Exchange Resin Catalyst. Ind. Eng. Chem. Res. 2009, 48, 10857–10863. [Google Scholar] [CrossRef]
- Seki, T.; Grunwaldt, J.-D.; Baiker, A. Continuous Catalytic “One-Pot” Multi-Step Synthesis of 2-Ethylhexanal from Crotonaldehyde. Chem. Commun. 2007, 3562–3564. [Google Scholar] [CrossRef]
- Wissler, M.C.; Jagusch, U.P.; Sundermann, B.; Hoelderich, W.F. One-Pot Synthesis of a New Potential Analgesic over Bifunctional Palladium/Amberlyst Catalysts. Catal. Today 2007, 121, 6–12. [Google Scholar] [CrossRef]
- Yamaguchi, A.; Sato, O.; Mimura, N.; Shirai, M. One-Pot Conversion of Cellulose to Isosorbide Using Supported Metal Catalysts and Ion-Exchange Resin. Catal. Commun. 2015, 67, 59–63. [Google Scholar] [CrossRef]
- Galletti, A.M.R.; Antonetti, C.; de Luise, V.; Martinelli, M. A Sustainable Process for the Production of γ-Valerolactone by Hydrogenation of Biomass-Derived Levulinic Acid. Green Chem. 2012, 14, 688. [Google Scholar] [CrossRef]
- Bozell, J.J.; Moens, L.; Elliott, D.C.; Wang, Y.; Neuenscwander, G.G.; Fitzpatrick, S.W.; Bilski, R.J.; Jarnefeld, J.L. Production of Levulinic Acid and Use as a Platform Chemical for Derived Products. Resour. Conserv. Recycl. 2000, 28, 227–239. [Google Scholar] [CrossRef]
- Wright, W.R.H.; Palkovits, R. Development of Heterogeneous Catalysts for the Conversion of Levulinic Acid to γ-Valerolactone. ChemSusChem 2012, 5, 1657–1667. [Google Scholar] [CrossRef] [PubMed]
- Tang, X.; Zeng, X.; Li, Z.; Hu, L.; Sun, Y.; Liu, S.; Lei, T.; Lin, L. Production of γ-Valerolactone from Lignocellulosic Biomass for Sustainable Fuels and Chemicals Supply. Renew. Sustain. Energy Rev. 2014, 40, 608–620. [Google Scholar] [CrossRef]
- Yan, K.; Yang, Y.; Chai, J.; Lu, Y. Catalytic Reactions of Gamma-Valerolactone: A Platform to Fuels and Value-Added Chemicals. Appl. Catal. B 2015, 179, 292–304. [Google Scholar] [CrossRef]
- Piskun, A.S.; de Haan, J.E.; Wilbers, E.; van de Bovenkamp, H.H.; Tang, Z.; Heeres, H.J. Hydrogenation of Levulinic Acid to γ-Valerolactone in Water Using Millimeter Sized Supported Ru Catalysts in a Packed Bed Reactor. ACS Sustain. Chem. Eng. 2016, 4, 2939–2950. [Google Scholar] [CrossRef]
- Moreno-Marrodan, C.; Liguori, F.; Barbaro, P.; Caporali, S.; Merlo, L.; Oldani, C. Metal Nanoparticles Supported on Perfluorinated Superacid Polymers: A Family of Bifunctional Catalysts for the Selective, One-Pot Conversion of Vegetable Substrates in Water. ChemCatChem 2017, 9, 4256–4267. [Google Scholar] [CrossRef]
- Vandersall, M.T.; Weinand, R.A. Metal-Doped Sulfonated Ion Exchange Resin Catalysts. European Patent EP 1 321 450 A2, 25 June 2003. [Google Scholar]
- Vandersall, M.T.; Weinand, R.A. Metal Doped Sulfonated Ion Exchange Resin Catalysts. U.S. Patent 6,977,314, 20 December 2005. [Google Scholar]
- Nicol, W.; du Toit, E.L. One-Step Methyl Isobutyl Ketone Synthesis from Acetone and Hydrogen Using Amberlyst® CH28. Chem. Eng. Process. Process Intensif. 2004, 43, 1539–1545. [Google Scholar] [CrossRef]
- Bombos, D.; Bombos, M.; Stanciu, I.; Bacalum, F.; Matei, V.; Juganaru, T.; Neagoe, S.; Naum, N. Bifunctional Catalysts Based on Ion-Exchangers. Analele Universităţii din Bucureşti – Chimie, Anul XIV (serie nouă), 2005; Volume I–II, pp. 417–423.
- O’Keefe, W.K.; Ng, F.T.T.; Rempel, G.L. Experimental Studies on the Syntheses of Mesityl Oxide and Methyl Isobutyl Ketone via Catalytic Distillation. Ind. Eng. Chem. Res. 2007, 46, 716–725. [Google Scholar] [CrossRef]
- Trejo, J.A.; Tate, J.; Martenak, D.; Huby, F.; Baxter, S.M.; Schultz, A.K.; Olsen, R.J. State of the Art Bifunctional Hydrogenation Heterogeneous Polymeric Catalyst. Top. Catal. 2010, 53, 1156–1162. [Google Scholar] [CrossRef]
- Liguori, F.; Oldani, C.; Capozzoli, L.; Calisi, N.; Barbaro, P. Liquid-Phase Synthesis of Methyl Isobutyl Ketone over Bifunctional Heterogeneous Catalysts Comprising Cross-Linked Perfluorinated Sulfonic Acid Aquivion Polymers and Supported Pd Nanoparticles. Appl. Catal. A Gen. 2021, 610, 117957. [Google Scholar] [CrossRef]
- Králik, M.; Vallušová, Z.; Major, P.; Takáčová, A.; Hronec, M.; Gašparovičová, D. Hydrogenation of Chloronitrobenzenes over Pd and Pt Catalysts Supported on Cationic Resins. Chem. Pap. 2014, 68, 1690–1700. [Google Scholar] [CrossRef]
- Krátky, V.; Králik, M.; Mecarova, M.; Stolcova, M.; Zalibera, L.; Hronec, M. Effect of Catalyst and Substituents on the Hydrogenation of Chloronitrobenzenes. Appl. Catal. A Gen. 2002, 235, 225–231. [Google Scholar] [CrossRef]
- Krátky, V.; Králik, M.; Kaszonyi, A.; Stolcová, M.; Zalibera, L.; Mecárová, M.; Hronec, M. Reaction Pathways and the Role of Solvent in the Hydrogenation of Chloronitrobenzenes. Collect. Czechoslov. Chem. Commun. 2003, 68, 1819–1832. [Google Scholar] [CrossRef]
- Han, B.; Liu, W.; Li, J.; Wang, J.; Zhao, D.; Xu, R.; Lin, Z. Catalytic Hydrodechlorination of Triclosan Using a New Class of Anion-Exchange-Resin Supported Palladium Catalysts. Water Res. 2017, 120, 199–210. [Google Scholar] [CrossRef]
- Jadbabaei, N.; Ye, T.; Shuai, D.; Zhang, H. Development of Palladium-Resin Composites for Catalytic Hydrodechlorination of 4-Chlorophenol. Appl. Catal. B 2017, 205, 576–586. [Google Scholar] [CrossRef]
- Yan, L.; Zhang, Q.; Deng, W.; Zhang, Q.; Wang, Y. Catalytic Valorization of Biomass and Bioplatforms to Chemicals through Deoxygenation. In Advances in Catalysis; Elsevier Inc.: Amsterdam, The Netherlands, 2020; Volume 66, pp. 1–108. ISBN 9780128203699. [Google Scholar]
- Kusunoki, Y.; Miyazawa, T.; Kunimori, K.; Tomishige, K. Highly Active Metal–Acid Bifunctional Catalyst System for Hydrogenolysis of Glycerol under Mild Reaction Conditions. Catal. Commun. 2005, 6, 645–649. [Google Scholar] [CrossRef]
- Miyazawa, T.; Kusunoki, Y.; Kunimori, K.; Tomishige, K. Glycerol Conversion in the Aqueous Solution under Hydrogen over Ru/C + an Ion-Exchange Resin and Its Reaction Mechanism. J. Catal. 2006, 240, 213–221. [Google Scholar] [CrossRef]
- Centomo, P.; Nese, V.; Sterchele, S.; Zecca, M. Resin-Based Catalysts for the Hydrogenolysis of Glycerol to Propylene Glycol. Top. Catal. 2013, 56, 822–830. [Google Scholar] [CrossRef]
- Van Ryneveld, E.; Mahomed, A.S.; van Heerden, P.S.; Friedrich, H.B. Direct Hydrogenolysis of Highly Concentrated Glycerol Solutions Over Supported Ru, Pd and Pt Catalyst Systems. Catal. Lett. 2011, 141, 958–967. [Google Scholar] [CrossRef]
- Dierks, M.; Cao, Z.; Rinaldi, R. Design of Task-Specific Metal Phosphides for the Sustainable Manufacture of Advanced Biofuels. In Advances in Inorganic Chemistry; Elsevier Inc.: Amsterdam, The Netherlands, 2021; Volume 77, pp. 219–239. ISBN 9780323850582. [Google Scholar]
- Wang, W.; Nakagawa, K.; Yoshikawa, T.; Masuda, T.; Fumoto, E.; Koyama, Y.; Tago, T.; Fujitsuka, H. Selective Aqueous Phase Hydrodeoxygenation of Erythritol over Carbon-Supported Cu Catalyst Prepared from Ion-Exchange Resin. Appl. Catal. A Gen. 2021, 619, 118152. [Google Scholar] [CrossRef]
- Wang, W.; Tago, T.; Fujitsuka, H. Hydrodeoxygenation of C3–4 Polyols to C3–4 Diols over Carbon-Supported Bimetallic MgCu@C Catalysts Prepared from Ion Exchange Resin. Catal. Today 2022, 411–412, 29–31. [Google Scholar] [CrossRef]







| Author(s) | Topic Reviewed | Date to Which the Literature is Covered |
|---|---|---|
| Corain and Králik [8] | Dispersion of metal nanoclusters inside IER | 2000 |
| Corain and Králik [9] | Generation of Pd nanoclusters inside IER | 2000 |
| Králik and Biffis [24] | Catalysis by metal nanoparticles supported on functional organic polymers | 2001 |
| Corain et al. [25] | IER as support for metal catalysts | 2003 |
| Gelbard [4] | IER applications as catalysts for organic syntheses | 2005 |
| Dioos et al. [10] | Immobilization of catalysts on polymeric supports | 2006 |
| Barbaro and Liguori [26] | Applications of IER as catalysts, including hydrogenations | 2008 |
| Corain et al. [27] | Synthesis and catalytic activity evaluation of metal nanoclusters inside IER | 2009 |
| Sarkar et al. [28] | Synthesis, characterization, and applications of polymer-supported metals | 2011 |
| Barbaro et al. [29] | Bifunctional metal/acid catalysts for one-pot processes involving hydrogenation and hydrolysis, lactonization, esterification, or cyclization, among others | 2012 |
| Climent et al. [12] | Conversion of biomass platform molecules into fuel additives and liquid hydrocarbon fuels | 2013 |
| Liguori et al. [30] | Metal nanoparticles immobilized on IER as catalysts for sustainable chemistry | 2015 |
| Osazuwa and Abidin [13] | Application of IER and other polymeric materials in hydrogenation reactions | 2017 |
| Osazuwa and Abidin [14] | Application of IER and other polymeric materials in esterification, transesterification, and hydrogenation reactions | 2019 |
| Resin | Metal | Reduction Protocol | Tested Reaction | Reaction Conditions | Conversion (%) | Selectivity (%) | Ref. | ||
|---|---|---|---|---|---|---|---|---|---|
| Type | Polymer | Functional Group | |||||||
| Macroreticular | Lewatit® OC 1038, ST-DVB | –SO3H | Pd (0.3 wt.%) | In situ | Hydrogenation of cyclopentene | 2 mL cyclopentene, T = 30 °C; P = 1 MPa H2; t = 2 h | 30 | - | [84] |
| 1 MPa H2 in cyclopentene at 30 °C for 2 h | 28.7 | - | [84] | ||||||
| 1 MPa H2 in water at 30 °C for 2 h | 100 | - | [84] | ||||||
| 40% aq. formaldehyde at 50 °C for 1 h | 77.8 | - | [84] | ||||||
| Gel-type | ST-DVB (4 mol%) | –SO3H | Ru (4 wt.%) | NaBH4 in EtOH | Partial hydrogenation of benzene to cyclohexene | 2 mL benzene, 0.75 mL water; T = 100 °C; P = 1.5 MPa | 43.1 | 3.0 | [21] |
| ST-DVB (8 mol%) | Ru (4 wt.%) | 44.6 | 4.4 | [21] | |||||
| DMAA–styrene sodium sulphonate–MBAA | Ru (4 wt.%) | 45.4 | 5.6 | [21] | |||||
| Ru (8 wt.%) | 45.3 | 5.4 | [21] | ||||||
| DMAA–potassium 1-methacryoyl ethylene 2-sulphonate–MBAA | Ru (4 wt.%) | 47.2 | 8.1 | [21] | |||||
| Ru (8 wt.%) | 42.3 | 7.0 | [21] | ||||||
| Gel-type | 2-Hydroxyethyl methacrylate (HEMA), ST, diethylene glycol dimethacrylate (DEGDMA, 3–10 mol%) | –COOH and C═O | Pd (0.25–2.0 wt.%) | NaBH4 in THF:MeOH (9:1) | Hydrogenation of maleic/fumaric acid | Csubstrate = 0.043 M in THF; T = 22 °C; atmospheric pressure | - | 100 | [78] |
| Macroreticular | AmberlystTM 15, ST-DVB | –SO3H | Pd (0.5 wt.%) | 100 °C for 1 h under H2/N2 flow | Hydrogenation of cyclohexene | Supercritical CO2, T = 60 °C, total P = 160 bar, cyclohexene:H2 = 1:1.8 | 86 | 95 | [83] |
| Pd (1 wt.%) | 99 | >99 | [83] | ||||||
| Pd (2 wt.%) | 56 | 99 | [83] | ||||||
| Pt (1 wt.%) | 2 | 52 | [83] | ||||||
| Pd (0.5 wt.%), Pt (0.5 wt.%) | 59 | 96 | [83] | ||||||
| Ru (1 wt.%) | 4 | 94 | [83] | ||||||
| Rh (1 wt.%) | 1 | 24 | [83] | ||||||
| Gel-type | DowexTM 1 × 2, ST-DVB | –C10H16N(Cl) | Pd (1.1 wt.%) | NaBH4 in water | Several C═C, C≡C, and C═O hydrogenation reactions | Csubstrate = 0.17 M in MeOH, room temperature, P = 0.8 bar H2, 20 min | no observed catalytic activity | [67] | |
| Gel-type | DowexTM 1 × 2, ST-DVB | –SO3(Li) | Pd (1.2 wt.%) | NaBH4 in water | Hydrogenation of methyl 2-acetamidoacrylate | Csubstrate = 0.17 M in MeOH, room temperature, P = 0.8 bar H2, 20 min | 56.3 | 100 | [67] |
| –SO3(Li) | Pd (1.2 wt.%) | 2 bar H2 in MeOH | 87.4 | 100 | [67] | ||||
| –SO3(Li) | Pd (1.3 wt.%) | In situ | 91.7 | 100 | [67] | ||||
| Gel-type | DowexTM 1 × 2, ST-DVB | –SO3(Li) | Pd (1.3 wt.%) | In situ | Hydrogenation of trans-4-phenyl-3-buten-2-one | Csubstrate = 0.17 M in MeOH, room temperature, P = 0.8 bar H2, 20 min | 98.2 | 83.7 | [67] |
| Gel-type | DowexTM 1 × 2, ST-DVB | –SO3(Na) | Ru (0.9 wt.%) | NaBH4 in water | Hydrogenation of methyl undecenoate, methyl oleate, methyl ricinoleate, or methyl linoleate | nsubstrate = 1.6 mmol in water (0.25 mL) and n-heptane (6 mL), T = 30 °C, P = 10 bar H2, t = 60–210 min | 50–100 | - | [79] |
| Gel-type | DowexTM 1 × 2, ST-DVB | –SO3(Na) | Ru (0.9 wt.%) | NaBH4 in water | Hydrogenation of glycerol trioleate, castor oil, jojoba oil, olive oil, or very high-oleic sunflower oil | nsubstrate = 1.6 mmol in water (0.25 mL) and n-heptane (6 mL), T = 30 °C, P = 10 bar H2, t = 60–210 min | ≤45 | - | [79] |
| Resin | Metal | Reduction Protocol | Tested Reaction | Reaction Conditions | Conversion (%) | Selectivity (%) | Ref. | ||
|---|---|---|---|---|---|---|---|---|---|
| Type | Polymer | Functional Group | |||||||
| Gel-type | Glycidyl methacrylate (GMA), ST, DEGDMA | –NH–CH2CH2–NH2 | Pd (0.125–0.50 wt.%) | THF:H2O solution of N2H4 × H2O | Hydrogenation of 2-butyne-1,4-diol to 2-butene-1,4-diol | Csubstrate = 0.052 M in THF; T = 22 °C; atmospheric pressure | 90 | 91.3–94.7 | [75] |
| Gel-type | GMA, ST, DEGDMA | –NH–CH2CH2–NH2 | Pd (0.125–0.50 wt.%) | THF:H2O solution of N2H4 × H2O | Hydrogenation of phenylacetylene to styrene | Csubstrate = 0.052 M in THF; T = 22 °C; atmospheric pressure | 90 | 91.4–93.6 | [75] |
| Gel-type | DowexTM 50W × 2, ST-DVB | –SO3(Li) | Pd (1.3 wt.%) | none | Hydrogenation of 3-hexyn-1-ol to 3-hexen-1-ol | Csubstrate = 0.17 M in MeOH, room temperature, P = 0.8 bar H2, t = 20 min | 98.5 | >99.8 | [67] |
| Hyper-crosslinked | Macronet™ MN270, ST-DVB | none | Pd (0.1–5 wt.%) | Saturation with H2 for 1 h | Hydrogenation of 2-methyl-3-butyn-2-ol to 2-methyl-3-butene-2-ol | V = 30 mL toluene, T = 90 °C, atmospheric pressure | 100 | 95.3–98.5 | [88] |
| Hyper-crosslinked | Macronet™ MN270, ST-DVB | none | Pd (0.1–5 wt.%) | Saturation with H2 for 1 h | Hydrogenation of 3,7-dimethyloct-6-en-1-yn-3-ol to 3,7-dimethyl-1,6-octadien-3-ol | V = 30 mL toluene, T = 90 °C, atmospheric pressure | 100 | 96.5–98.5 | [88] |
| Hyper-crosslinked | Macronet™ MN270, ST-DVB | none | Pd (0.1–5 wt.%) | Saturation with H2 for 1 h | Hydrogenation of 3,7,11,15-tetramethylhexadec-1-yn-3-ol to 3,7,11,15-tetramethyl-1-hexadecene-3-ol | V = 30 mL toluene, T = 90 °C, atmospheric pressure | 100 | 95.2–97.5 | [88] |
| Hyper-crosslinked | Macronet™ MN270, ST-DVB | none | Pd (0.2 wt.%) | H2 at 300 °C for 2 h | Hydrogenation of 2-methyl-3-butyn-2-ol to 2-methyl-3-butene-2-ol | T = 60 °C, P = 3 bar H2, 1500 rpm in EtOH or toluene as solvents | 95 | 93.2–99.6 | [89] |
| Hyper-crosslinked | DowexTM OPTIPORE, ST | none | Pd (0.5 wt.%) | H2 at 300 °C for 2 h | 95 | 83.0–93.5 | [89] | ||
| Gel-type | AmberLite™ IRC120, ST-DVB | –SO3(Na) | Pd (0.08 wt.%) | NaBH4 | Hydrogenation of phenylacetylene to styrene | nsubstrate = 0.5 mmol in 1 mL EtOH, T = 60 °C, P = 4 bar H2, t = 1.1 h | >99 | 0 | [87] |
| Pd (0.09 wt.%), Ag (0.07 wt.%) | NaBH4 | nsubstrate = 0.5 mmol in 1 mL EtOH, T = 60 °C, P = 4 bar H2, t = 1.1 h | 12 | - | [87] | ||||
| Ni (0.08 wt.%), Pd (0.10 wt.%) | NaBH4 | nsubstrate = 0.5 mmol in 1 mL EtOH, T = 60 °C, P = 4 bar H2, t = 1.1 h | >99 | 7 | [87] | ||||
| Pd (0.06 wt.%), Ni (0.05 wt.%) | NaBH4 | nsubstrate = 0.5 mmol in 1 mL EtOH, T = 60 °C, P = 4 bar H2, t = 1.1 h | >99 | 0 | [87] | ||||
| Cu (0.084 wt.%), Pd (0.06 wt.%) | NaBH4 | nsubstrate = 0.5 mmol in 1 mL EtOH, T = 60 °C, P = 4 bar H2, t = 1.1 h | 67 | 91 | [87] | ||||
| Pd (0.06 wt.%), Cu (0.10 wt.%) | NaBH4 | nsubstrate = 0.5 mmol in 1 mL EtOH, T = 60 °C, P = 4 bar H2, t = 1.1 h | 83 | 93 | [87] | ||||
| Resin | Metal | Reduction Protocol | Tested Reaction | Reaction Conditions | Conversion (%) | Selectivity (%) | Ref. | ||
|---|---|---|---|---|---|---|---|---|---|
| Type | Polymer | Functional Group | |||||||
| Gel-type | DMA, MMA, SEMA, EDMA | –SO3H | Pd (1 wt.%) | NaBH4 | Hydrogenation of 2-ethylanthraquinone | T = 20 °C, P = 100 kPa, t = 1800 s | - | 93 | [45] |
| H2 | T = 20 °C, P = 100 kPa, t = 5100 s | - | 94 | [45] | |||||
| Gel-type | DMA, VP, EDMA | –CH2CHC5H4N | Pd (1 wt.%) | NaBH4 | T = 20 °C, P = 100 kPa, t = 1800 s | - | 93 | [45] | |
| H2 | T = 20 °C, P = 100 kPa, t = 3600 s | - | 83 | [45] | |||||
| Gel-type | DMA, MAA, EDMA | –COOH | Pd (1 wt.%) | NaBH4 | T = 20 °C, P = 100 kPa, t = 2400 s | - | 96 | [45] | |
| H2 | T = 20 °C, P = 100 kPa, t = 16,200 s | - | 98 | [45] | |||||
| Gel-type | ST, SEMA, DVB | –SO3H | Pd (1 wt.%) | NaBH4 | T = 20 °C, P = 100 kPa, t = 8400 s | - | 65 | [45] | |
| H2 | T = 20 °C, P = 100 kPa, t = 8400 s | - | 50 | [45] | |||||
| Gel-type | N,N-dimethyl-2-aminoethyl-methacrylate (DMAEMA), DVB | –C(O)O CH2CH2N (CH3)2 | Pt (0.9 wt.) | In situ at 70 °C for 1 h | Hydrogenation of 3,7-dimethyl-2,6-octadienal | T = 60 °C, atmospheric pressure under H2 flow, 25 mL EtOH | 20–30 | ≤15 | [50] |
| Gel-type | Cyanoethyl-acrylate (CEA), DVB | –CN | Pt (1.0 wt.) | ≥80–90 | 46–47 | [50] | |||
| Gel-type | MAA, DVB | –COOH | Pt (0.8 wt.) | ≥80–90 | 46–47 | [50] | |||
| Gel-type | VP, DVB | –4-C5H4N | Pt (1.0 wt.) | ≤20–30 | 54 | [50] | |||
| Gel-type | MAA, DVB | –COOH | Pt (0.71 wt.), Fe (8.2 wt.%) | 20–30 | ≥80–90 | [50] | |||
| Pt (0.89 wt.), Co (14.1 wt.%) | 80–90 | ≤80 | [50] | ||||||
| Pt (0.43 wt.), Zn (15.2 wt.%) | 20–30 | ≥80–90 | [50] | ||||||
| Gel-type | VP, DVB | –4-C5H4N | Pt (2.5 wt.), Co (6.2 wt.%) | 80–90 | ≥80–90 | [50] | |||
| Gel-type | DowexTM 50W × 2, ST-DVB | –SO3(Li) | Pd (1.3 wt.%) | In situ | Hydrogenation of methyl 2-oxo-2-phenylacetate | Csubstrate = 0.17 M in MeOH, room temperature, P = 0.8 bar H2, t = 20 min. | 89.8 | >99.5 | [67] |
| Pd (1.2 wt.%) | 2 bar H2 in MeOH | 32.4 | >99.5 | [67] | |||||
| –SO3H | Pd (1.5 wt.%) | In situ | 52.6 | >99.5 | [67] | ||||
| Pd (1.3 wt.%) | H2 flow | 36.9 | >99.5 | [67] | |||||
| Gel-type | DowexTM 50W × 2, ST-DVB | –SO3(Li) | Pd (1.3 wt.%) | In situ | Hydrogenation of 2,2,2-trifluoro-1-phenylethan-1-one | Csubstrate = 0.17 M in MeOH, room temperature, P = 0.8 bar H2, t = 20 min. | 65.4 | >99.8 | [67] |
| Resin | Metal | Reduction Protocol | Tested reaction | Reaction Conditions | Conversion (%) | Selectivity (%) | Ref. | ||
|---|---|---|---|---|---|---|---|---|---|
| Type | Polymer | Functional Group | |||||||
| Macroreticular | AmberlystTM 15, ST-DVB | –SO3H | Pd (1 wt.%) | 100 °C for 1 h under a H2/N2 flow | Hydrogenation of benzaldehyde | Supercritical CO2, T = 60 °C, total P = 160 bar, benzaldehyde:H2 = 1:2 | 16 | 33 | [83] |
| Gel-type | DowexTM 50W × 2, ST-DVB | –SO3(Li) | Rh (1.3 wt.%) | In situ | Hydrogenation of styrene to ethylcyclohexane | Csubstrate = 0.16 M in MeOH, room temperature, P = 1 bar H2, t = 380 min | 99.8 | 89.9 | [96] |
| Gel-type | DowexTM 50W × 2, ST-DVB | –SO3(Li) | Rh (1.3 wt.%) | In situ | Hydrogenation of toluene to methylcyclohexane | Csubstrate = 0.16 M in MeOH, room temperature, P = 1 bar H2, t = 345 min | 95 | 100 | [96] |
| Gel-type | DowexTM 50W × 2, ST-DVB | –SO3(Li) | Rh (1.3 wt.%) | In situ | Hydrogenation of anisole to methoxycyclohexane | Csubstrate = 0.16 M in MeOH, room temperature, P = 10 bar H2, t = 240 min | 98 | 63.7 | [96] |
| Csubstrate = 0.16 M in MeOH, T = 60 °C, P = 15 bar H2, t = 240 min | 100 | 71.7 | |||||||
| Gel-type | DowexTM 50W × 2, ST-DVB | –SO3(Li) | Rh (1.3 wt.%) | In situ | Hydrogenation of methyl benzoate to methyl cyclohexanecarboxylate | Csubstrate = 0.16 M in MeOH, room temperature, P = 10 bar H2, t = 240 min | 73.8 | 97.2 | [96] |
| Csubstrate = 0.16 M in MeOH, T = 60 °C, P = 10 bar H2, t = 240 min | 100 | 100 | [96] | ||||||
| Gel-type | DowexTM 50W × 2, ST-DVB | –SO3(Li) | Rh (1.3 wt.%) | In situ | Hydrogenation of acetophenone to 1-cyclohexylethan-1-one | Csubstrate = 0.16 M in MeOH, room temperature, P = 10 bar H2, t = 240 min | 99.3 | 7.2 | [96] |
| Gel-type | DowexTM 50W × 2, ST-DVB | –SO3(Li) | Rh (1.3 wt.%) | In situ | Hydrogenation of benzophenone to cyclohexyl(phenyl)methanone | Csubstrate = 0.16 M in MeOH, room temperature, P = 10 bar H2, t = 240 min | 7.5 | 17.3 | [96] |
| Gel-type | DowexTM 50W × 2, ST-DVB | –SO3(Li) | Rh (1.3 wt.%) | In situ | Hydrogenation of p-xylene to 1,4-dimethylcyclohexane | Csubstrate = 0.16 M in MeOH, room temperature, P = 10 bar H2, t = 240 min | 100 | 100 | [96] |
| Gel-type | DowexTM 50W × 2, ST-DVB | –SO3(Li) | Rh (1.3 wt.%) | In situ | Hydrogenation of o-xylene to 1,2-dimethylcyclohexane | Csubstrate = 0.16 M in MeOH, room temperature, P = 10 bar H2, t = 240 min | 63.2 | 100 | [96] |
| Csubstrate = 0.16 M in MeOH, T = 60 °C, P = 15 bar H2, t = 240 min | 100 | 100 | [96] | ||||||
| Gel-type | DowexTM 50W × 2, ST-DVB | –SO3(Li) | Rh (1.3 wt.%) | In situ | Hydrogenation of 1-methoxy-2-methylbenzene to 1-methoxy-2-methylcyclohexane | Csubstrate = 0.16 M in MeOH, T = 40 °C, P = 15 bar H2, t = 240 min | 100 | 70.9 | [96] |
| Gel-type | DowexTM 50W × 2, ST-DVB | –SO3(Li) | Rh (1.3 wt.%) | In situ | Hydrogenation of methyl 2-methylbenzoate to methyl 2-methylcyclohexane-1-carboxylate | Csubstrate = 0.16 M in MeOH, room temperature, P = 10 bar H2, t = 240 min | 31.7 | 85.2 | [96] |
| Gel-type | DowexTM 50W × 2, ST-DVB | –SO3(Li) | Rh (1.3 wt.%) | In situ | Hydrogenation of methyl 2-aminobenzoate to methyl 2-aminocyclohexane-1-carboxylate | Csubstrate = 0.16 M in MeOH, T = 60 °C, P = 40 bar H2, t = 4320 min | 76.2 | 37.1 | [96] |
| Gel-type | AmberLite™ IRC120, ST-DVB | –SO3(Na) | Pd (0.08 wt.%) | NaBH4 | Hydrogenation of phenylacetylene to ethylbenzene | 0.5 mmol substrate, 1 mL EtOH, T = 60 °C, P = 4 bar H2, t = 1.1 h | >99 | >99 | [87] |
| Ni (0.08 wt.%), Pd (0.10 wt.%) | NaBH4 | 0.5 mmol substrate, 1 mL EtOH, T = 60 °C, P = 4 bar H2, t = 1.9 h | >99 | 93 | [87] | ||||
| Pd (0.06 wt.%), Ni (0.05 wt.%) | NaBH4 | 0.5 mmol substrate, 1 mL EtOH, T = 60 °C, P = 4 bar H2, t = 0.6 h | >99 | >99 | [87] | ||||
| Cu (0.084 wt.%), Pd (0.06 wt.%) | NaBH4 | 0.5 mmol substrate, 1 mL EtOH, T = 60 °C, P = 4 bar H2, t = 13 h | 67 | 6 | [87] | ||||
| Pd (0.06 wt.%), Cu (0.10 wt.%) | NaBH4 | 0.5 mmol substrate, 1 mL EtOH, T = 60 °C, P = 4 bar H2, t = 9 h | 83 | 7 | [87] | ||||
| Resin | Metal | Reduction Protocol | Tested Reaction | Reaction Conditions | Conversion (%) | Selectivity (%) | Ref. | ||
|---|---|---|---|---|---|---|---|---|---|
| Type | Polymer | Functional Group | |||||||
| Macroreticular | AmberlystTM CH28, ST-DVB | –SO3H | Pd (0.7 wt.%) | In situ | Simultaneous hydrogenation and isomerization of diisobutylenes | T = 100 °C, P = 40 bar H2, t = 80 min | 100 | 100 | [102] |
| T = 100 °C, P = 30 bar H2, t = 80 min | 81 | 100 | [102] | ||||||
| T = 100 °C, P = 30 bar H2, t = 45 min | 54 | 100 | [102] | ||||||
| Macroreticular | AmberlystTM 15, ST-DVB | –SO3H | Pd (1 wt.%) | 100 °C for 1 h under a H2/N2 flow | Production of 2-ethylhexanal from crotonaldehyde | Supercritical CO2, T = 60 °C, total P = 160 bar, crotonaldehyde:H2 = 1:2 | 89 | 47 | [103] |
| Supercritical CO2, T = 60 °C, total P = 160 bar, crotonaldehyde:H2 = 1:3 | 94 | 59 | [103] | ||||||
| Supercritical CO2, T = 60 °C, total P = 160 bar, crotonaldehyde:H2 = 1:4 | 98 | 67 | [103] | ||||||
| Supercritical CO2, T = 60 °C, total P = 40 bar, crotonaldehyde:H2 = 1:4 | 13 | ~0 | [103] | ||||||
| Macroreticular | AmberlystTM 15, ST-DVB | –SO3H | Pd (0.1–3 wt.%) | Either unreduced or prereduced at 140 °C in 10 vol% H2 in Ar | Dehydroxylation of a tramadol derivative | 1.7 mmol substrate in 10 mL EtOH, T = 150 °C, P = 4 bar H2, t = 4 h | >98 | 76 | [104] |
| Gel-type | DowexTM 50W × 2 | –SO3H | Ru (0.2 wt.%) | NaBH4 | Direct conversion of glucose into isosorbide | Csubstrate = 0.1 M in water, T = 190 °C, P = 30 bar H2, t = 48 h | 100 | 84.9 | [94] |
| Csubstrate = 0.1 M in water, T = 120 °C, P = 30 bar H2, t = 7 h | 100 | 0 | [94] | ||||||
| Gel-type | DowexTM 50W × 2 | –SO3H | Ru (0.2 wt.%) | NaBH4 | Direct conversion of xylose into anhydroxylitol | Csubstrate = 0.1 M in water, T = 190 °C, P = 30 bar H2, t = 6 h | 100 | 94.9 | [94] |
| Csubstrate = 0.1 M in water, T = 120 °C, P = 30 bar H2, t = 7 h | 99.7 | 0 | [94] | ||||||
| Gel-type | DowexTM 50W × 2 | –SO3H | Ru (0.87 wt.%) | NaBH4 | Production of γ-valerolactone from levulinic acid | Csubstrate = 0.43 M in water, T = 70 °C, P = 5 bar H2, t = 7 h | 99.8 | >99 | [95] |
| Csubstrate = 0.43 M in water, T = 70 °C, P = 5 bar H2, t = 4 h | 79.5 | >99 | [95] | ||||||
| Csubstrate = 0.43 M in water, T = 50 °C, P = 5 bar H2, t = 4 h | 29.3 | >99 | [95] | ||||||
| Csubstrate = 0.43 M in water, T = 70 °C, P = 10 bar H2, t = 4 h | 98.3 | >99 | [95] | ||||||
| –SO3(Li) | Csubstrate = 0.43 M in water, T = 70 °C, P = 5 bar H2, t = 4 h | 16.2 | >99 | [95] | |||||
| Macroreticular | AmberlystTM CH28, ST-DVB | –SO3H | Pd (0.7 wt.%) | acetone and H2 flow at 30 bar for 4 h | Synthesis of methyl isobutyl ketone from acetone | T = 130 °C, P = 30 bar H2, LHSV = 4 h-1 | 38 | 88.3 | [115] |
| T = 140 °C, P = 30 bar H2, LHSV = 4 h-1 | 45.5 | 80.8 | [115] | ||||||
| T = 150 °C, P = 30 bar H2, LHSV = 4 h-1 | 55.6 | 72.8 | [115] | ||||||
| Macroreticular | Purolite CT®275, ST-DVB | –SO3H | Pd (0.5 wt.%) | H2 flow | Synthesis of methyl isobutyl ketone from acetone | T = 105–130 °C, P = 30 bar H2, LHSV = 0.4–2.4 h-1, H2:acetone = 2:1 to 15:1 | 24–34 | >85 | [116] |
| Macroreticular | AmberlystTM CH28, ST-DVB | –SO3H | Pd (0.7 wt.%) | In situ | Synthesis of methyl isobutyl ketone from acetone | T = 100–140 °C, P = 30 bar H2, t = 12,000–14,000 s | 5–45 | >95 | [77] |
| Macroreticular | AmberlystTM CH28, ST-DVB | –SO3H | Pd (0.7 wt.%) | 24 h under H2 (20 bar) at 100 °C | Synthesis of methyl isobutyl ketone from acetone | Continuous reactor:T = 90–140 °C, P = 15 bar H2, LHSV = 2.5 h-1 Batch reactor: T = 90–140 °C, P = 14 bar H2, t = 4 h | 45 | >80–95 | [118] |
| Macroreticular | AmberlystTM CH43, ST-DVB | –SO3H | Pd (0.7 wt.%) | 24 h under H2 (20 bar) at 100 °C | Synthesis of methyl isobutyl ketone from acetone | Continuous reactor:T = 90–140 °C, P = 15 bar H2, LHSV = 2.5 h-1 Batch reactor: T = 90–140 °C, P = 14 bar H2, t = 4 h | 45 | >85–95 | [118] |
Disclaimer/Publisher’s Note: The statements, opinions and data contained in all publications are solely those of the individual author(s) and contributor(s) and not of MDPI and/or the editor(s). MDPI and/or the editor(s) disclaim responsibility for any injury to people or property resulting from any ideas, methods, instructions or products referred to in the content. |
© 2023 by the authors. Licensee MDPI, Basel, Switzerland. This article is an open access article distributed under the terms and conditions of the Creative Commons Attribution (CC BY) license (https://creativecommons.org/licenses/by/4.0/).
Share and Cite
Badia, J.H.; Soto, R.; Ramírez, E.; Bringué, R.; Fité, C.; Iborra, M.; Tejero, J. Role of Ion-Exchange Resins in Hydrogenation Reactions. Catalysts 2023, 13, 624. https://doi.org/10.3390/catal13030624
Badia JH, Soto R, Ramírez E, Bringué R, Fité C, Iborra M, Tejero J. Role of Ion-Exchange Resins in Hydrogenation Reactions. Catalysts. 2023; 13(3):624. https://doi.org/10.3390/catal13030624
Chicago/Turabian StyleBadia, Jordi H., Rodrigo Soto, Eliana Ramírez, Roger Bringué, Carles Fité, Montserrat Iborra, and Javier Tejero. 2023. "Role of Ion-Exchange Resins in Hydrogenation Reactions" Catalysts 13, no. 3: 624. https://doi.org/10.3390/catal13030624
APA StyleBadia, J. H., Soto, R., Ramírez, E., Bringué, R., Fité, C., Iborra, M., & Tejero, J. (2023). Role of Ion-Exchange Resins in Hydrogenation Reactions. Catalysts, 13(3), 624. https://doi.org/10.3390/catal13030624

