Carbon-Conjugated Co Complexes as Model Electrocatalysts for Oxygen Reduction Reaction
Abstract
:1. Introduction
2. Results and Discussion
2.1. Morphology and Structural Characterization
2.2. Electrochemical Measurements
| M + O2 + e− → MO2− | Step 1 |
| MO2− + H2O → MO2H + OH− | Step 2 |
| MO2H + e− → MO + OH− | Step 3 |
| MO + H2O + e− → MOH + OH− | Step 4 |
| MOH + e− → M + OH− | Step 5 |
3. Materials and Methods
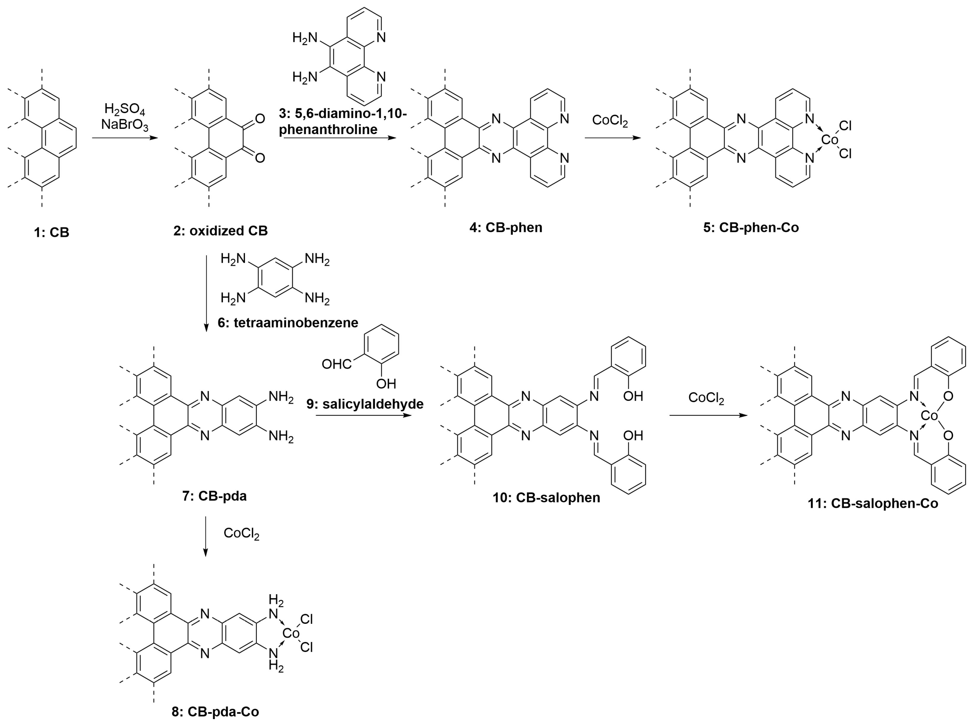
3.1. Preparation of Carbon-Conjugated Co Complexes
3.1.1. Oxidation of Carbon Black
3.1.2. Synthesis of CB-pda
3.1.3. Synthesis of CB-salophen
3.1.4. Synthesis of CB-phen
3.1.5. Synthesis of CB-pda-Co, CB-salophen-Co and CB-phen-Co
3.2. Characterizations
3.3. Electrochemical Measurements
4. Conclusions
Supplementary Materials
Author Contributions
Funding
Data Availability Statement
Conflicts of Interest
References
- Wang, A.; Li, J.; Zhang, T. Heterogeneous single-atom catalysis. Nat. Rev. Chem. 2018, 2, 65–81. [Google Scholar] [CrossRef]
- Kaiser, S.K.; Chen, Z.; Faust Akl, D.; Mitchell, S.; Perez-Ramirez, J. Single-Atom Catalysts across the Periodic Table. Chem. Rev. 2020, 120, 11703–11809. [Google Scholar] [CrossRef] [PubMed]
- Yang, Y.; Yang, Y.; Pei, Z.; Wu, K.-H.; Tan, C.; Wang, H.; Wei, L.; Mahmood, A.; Yan, C.; Dong, J.; et al. Recent Progress of Carbon-Supported Single-Atom Catalysts for Energy Conversion and Storage. Matter 2020, 3, 1442–1476. [Google Scholar] [CrossRef]
- Gu, J.; Hsu, C.S.; Bai, L.; Chen, H.M.; Hu, X. Atomically dispersed Fe3+ sites catalyze efficient CO2 electroreduction to CO. Science 2019, 364, 1091–1094. [Google Scholar] [CrossRef]
- Jin, Z.; Li, P.; Meng, Y.; Fang, Z.; Xiao, D.; Yu, G. Understanding the inter-site distance effect in single-atom catalysts for oxygen electroreduction. Nat. Catal. 2021, 4, 615–622. [Google Scholar] [CrossRef]
- Chen, Y.; Ji, S.; Chen, C.; Peng, Q.; Wang, D.; Li, Y. Single-Atom Catalysts: Synthetic Strategies and Electrochemical Applications. Joule 2018, 2, 1242–1264. [Google Scholar] [CrossRef]
- Sun, T.; Li, Y.; Cui, T.; Xu, L.; Wang, Y.G.; Chen, W.; Zhang, P.; Zheng, T.; Fu, X.; Zhang, S.; et al. Engineering of Coordination Environment and Multiscale Structure in Single-Site Copper Catalyst for Superior Electrocatalytic Oxygen Reduction. Nano Lett. 2020, 20, 6206–6214. [Google Scholar] [CrossRef] [PubMed]
- Yuan, S.; Zhang, J.; Hu, L.; Li, J.; Li, S.; Gao, Y.; Zhang, Q.; Gu, L.; Yang, W.; Feng, X.; et al. Decarboxylation-Induced Defects in MOF-Derived Single Cobalt Atom@Carbon Electrocatalysts for Efficient Oxygen Reduction. Angew. Chem. Int. Ed. 2021, 60, 21685–21690. [Google Scholar] [CrossRef]
- Li, F.; Han, G.-F.; Noh, H.-J.; Kim, S.-J.; Lu, Y.; Jeong, H.Y.; Fu, Z.; Baek, J.-B. Boosting oxygen reduction catalysis with abundant copper single atom active sites. Energy Environ. Sci. 2018, 11, 2263–2269. [Google Scholar] [CrossRef]
- Zhang, X.; Xu, X.; Yao, S.; Hao, C.; Pan, C.; Xiang, X.; Tian, Z.Q.; Shen, P.K.; Shao, Z.; Jiang, S.P. Boosting Electrocatalytic Activity of Single Atom Catalysts Supported on Nitrogen-Doped Carbon through N Coordination Environment Engineering. Small 2022, 18, e2105329. [Google Scholar] [CrossRef]
- Liu, S.; Li, C.; Zachman, M.J.; Zeng, Y.; Yu, H.; Li, B.; Wang, M.; Braaten, J.; Liu, J.; Meyer, H.M.; et al. Atomically dispersed iron sites with a nitrogen–carbon coating as highly active and durable oxygen reduction catalysts for fuel cells. Nat. Energy 2022, 7, 652–663. [Google Scholar] [CrossRef]
- Yin, P.; Yao, T.; Wu, Y.; Zheng, L.; Lin, Y.; Liu, W.; Ju, H.; Zhu, J.; Hong, X.; Deng, Z.; et al. Single Cobalt Atoms with Precise N-Coordination as Superior Oxygen Reduction Reaction Catalysts. Angew. Chem. Int. Ed. 2016, 55, 10800–10805. [Google Scholar] [CrossRef] [PubMed]
- Yang, J.; Liu, W.; Xu, M.; Liu, X.; Qi, H.; Zhang, L.; Yang, X.; Niu, S.; Zhou, D.; Liu, Y.; et al. Dynamic Behavior of Single-Atom Catalysts in Electrocatalysis: Identification of Cu-N3 as an Active Site for the Oxygen Reduction Reaction. J. Am. Chem. Soc. 2021, 143, 14530–14539. [Google Scholar] [CrossRef] [PubMed]
- Gao, Y.; Cai, Z.; Wu, X.; Lv, Z.; Wu, P.; Cai, C. Graphdiyne-Supported Single-Atom-Sized Fe Catalysts for the Oxygen Reduction Reaction: DFT Predictions and Experimental Validations. ACS Catal. 2018, 8, 10364–10374. [Google Scholar] [CrossRef]
- Zhang, J.; Zhao, Y.; Chen, C.; Huang, Y.C.; Dong, C.L.; Chen, C.J.; Liu, R.S.; Wang, C.; Yan, K.; Li, Y.; et al. Tuning the Coordination Environment in Single-Atom Catalysts to Achieve Highly Efficient Oxygen Reduction Reactions. J. Am. Chem. Soc. 2019, 141, 20118–20126. [Google Scholar] [CrossRef]
- Li, J.; Li, H.; Xie, W.; Li, S.; Song, Y.; Fan, K.; Lee, J.Y.; Shao, M. Flame-Assisted Synthesis of O-Coordinated Single-Atom Catalysts for Efficient Electrocatalytic Oxygen Reduction and Hydrogen Evolution Reaction. Small Methods 2022, 6, e2101324. [Google Scholar] [CrossRef]
- Cheng, Y.; Zhao, S.; Li, H.; He, S.; Veder, J.-P.; Johannessen, B.; Xiao, J.; Lu, S.; Pan, J.; Chisholm, M.F.; et al. Unsaturated edge-anchored Ni single atoms on porous microwave exfoliated graphene oxide for electrochemical CO2. Appl. Catal. B 2019, 243, 294–303. [Google Scholar] [CrossRef]
- Xu, W.; Sun, Y.; Zhou, J.; Cao, M.; Luo, J.; Mao, H.; Hu, P.; Gu, H.; Zhai, H.; Shang, H.; et al. Coordinatively unsaturated single Co atoms immobilized on C2N for efficient oxygen reduction reaction. Nano Res. 2022. [Google Scholar] [CrossRef]
- Shen, H.; Gracia-Espino, E.; Ma, J.; Tang, H.; Mamat, X.; Wagberg, T.; Hu, G.; Guo, S. Atomically FeN2 moieties dispersed on mesoporous carbon: A new atomic catalyst for efficient oxygen reduction catalysis. Nano Energy 2017, 35, 9–16. [Google Scholar] [CrossRef]
- Xia, B.Y.; Yan, Y.; Li, N.; Wu, H.B.; Lou, X.W.; Wang, X. A metal–organic framework-derived bifunctional oxygen electrocatalyst. Nat. Energy 2016, 1. [Google Scholar] [CrossRef]
- Zhang, Z.; Sun, J.; Wang, F.; Dai, L. Efficient Oxygen Reduction Reaction (ORR) Catalysts Based on Single Iron Atoms Dispersed on a Hierarchically Structured Porous Carbon Framework. Angew. Chem. Int. Ed. 2018, 57, 9038–9043. [Google Scholar] [CrossRef]
- Christopher, P. Single-Atom Catalysts: Are All Sites Created Equal? ACS Energy Lett. 2019, 4, 2249–2250. [Google Scholar] [CrossRef]
- Zhu, C.; Fu, S.; Shi, Q.; Du, D.; Lin, Y. Single-Atom Electrocatalysts. Angew. Chem. Int. Ed. 2017, 56, 13944–13960. [Google Scholar] [CrossRef] [PubMed]
- Sun, Z.; Liu, Q.; Yao, T.; Yan, W.; Wei, S. X-ray absorption fine structure spectroscopy in nanomaterials. Sci. China Mater. 2015, 58, 313–341. [Google Scholar] [CrossRef]
- Li, X.; Cao, C.-S.; Hung, S.-F.; Lu, Y.-R.; Cai, W.; Rykov, A.I.; Miao, S.; Xi, S.; Yang, H.; Hu, Z.; et al. Identification of the Electronic and Structural Dynamics of Catalytic Centers in Single-Fe-Atom Material. Chemistry 2020, 6, 3440–3454. [Google Scholar] [CrossRef]
- Fei, H.; Dong, J.; Feng, Y.; Allen, C.S.; Wan, C.; Volosskiy, B.; Li, M.; Zhao, Z.; Wang, Y.; Sun, H.; et al. General synthesis and definitive structural identification of MN4C4 single-atom catalysts with tunable electrocatalytic activities. Nat. Catal. 2018, 1, 63–72. [Google Scholar] [CrossRef]
- Fukushima, T.; Drisdell, W.; Yano, J.; Surendranath, Y. Graphite-Conjugated Pyrazines as Molecularly Tunable Heterogeneous Electrocatalysts. J. Am. Chem. Soc. 2015, 137, 10926–10929. [Google Scholar] [CrossRef] [PubMed]
- Jackson, M.N.; Oh, S.; Kaminsky, C.J.; Chu, S.B.; Zhang, G.; Miller, J.T.; Surendranath, Y. Strong Electronic Coupling of Molecular Sites to Graphitic Electrodes via Pyrazine Conjugation. J. Am. Chem. Soc. 2018, 140, 1004–1010. [Google Scholar] [CrossRef]
- Jackson, M.N.; Surendranath, Y. Molecular Control of Heterogeneous Electrocatalysis through Graphite Conjugation. Acc. Chem. Res. 2019, 52, 3432–3441. [Google Scholar] [CrossRef]
- Kaminsky, C.J.; Wright, J.; Surendranath, Y. Graphite-Conjugation Enhances Porphyrin Electrocatalysis. ACS Catal. 2019, 9, 3667–3671. [Google Scholar] [CrossRef]
- Jackson, M.N.; Pegis, M.L.; Surendranath, Y. Graphite-Conjugated Acids Reveal a Molecular Framework for Proton-Coupled Electron Transfer at Electrode Surfaces. ACS Cent. Sci. 2019, 5, 831–841. [Google Scholar] [CrossRef] [PubMed]
- Jackson, M.N.; Kaminsky, C.J.; Oh, S.; Melville, J.F.; Surendranath, Y. Graphite Conjugation Eliminates Redox Intermediates in Molecular Electrocatalysis. J. Am. Chem. Soc. 2019, 141, 14160–14167. [Google Scholar] [CrossRef] [PubMed]
- Braley, S.E.; Xie, J.; Losovyj, Y.; Smith, J.M. Graphite Conjugation of a Macrocyclic Cobalt Complex Enhances Nitrite Electroreduction to Ammonia. J. Am. Chem. Soc. 2021, 143, 7203–7208. [Google Scholar] [CrossRef]
- Toshiaki, O.; Masamichi, Y.; Haruo, K. X-Ray Photoelectron Spectroscopy of p-Benzoquinone, Hydroquinone and Their Halogen-Substituted Derivatives. Bull. Chem. Soc. Jpn. 1974, 47, 1158–1161. [Google Scholar] [CrossRef]
- Chastain, J.; King, R.C. Handbook of X-ray Photoelectron Spectroscopy; Perkin-Elmer Corporation, Physical Electronics Division: Eden Prairie, MN, USA, 1992. [Google Scholar]
- Ferragina, C.; Massucci, M.A.; Mattogno, G. XPS studies on the host-guest interaction of 2,2′-Bipyridyl, 1,10-phenanthroline and 2,9-dimethyl-1,10-phenanthroline intercalated in α-zirconium phosphate. J. Inclusion Phenom. Mol. Recognit. Chem. 1989, 7, 529–536. [Google Scholar] [CrossRef]
- Mattogno, G.; Ferragina, C.; Massucci, M.A.; Patrono, P.; La Ginestra, A. X-ray photoelectron spectroscopic evidence of interlayer complex formation between Co(II) and N-heterocycles in α-Zr(hpo4)2 · H2O. J. Electron Spectrosc. Relat. Phenom. 1988, 46, 285–295. [Google Scholar] [CrossRef]
- Ju, W.; Bagger, A.; Hao, G.-P.; Varela, A.S.; Sinev, I.; Bon, V.; Roldan Cuenya, B.; Kaskel, S.; Rossmeisl, J.; Strasser, P. Understanding activity and selectivity of metal-nitrogen-doped carbon catalysts for electrochemical reduction of CO2. Nat. Commun. 2017, 8, 944. [Google Scholar] [CrossRef]
- Xu, X.; Friend, C.M. The adsorption and reactions of aniline on Rh(111). J. Vac. Sci. Technol. A 1991, 9, 1599–1603. [Google Scholar] [CrossRef]
- Srinivasan, V.; Walton, R.A. X-ray photoelectron spectra of inorganic molecules. XX. Observations concerning the sulfur 2p binding energies in metal complexes of thiourea. Inorg. Chim. Acta 1977, 25, L85–L86. [Google Scholar] [CrossRef]
- Dash, K.C.; Folkesson, B.; Larsson, R.; Mohapatra, M. An XPS investigation on a series of schiff base dioxime ligands and cobalt complexes. J. Electron Spectrosc. Relat. Phenom. 1989, 49, 343–357. [Google Scholar] [CrossRef]
- Hisashi, O.; Sigeo, K. Binuclear metal complexes. III. Preparation and properties of mononuclear and binuclear copper(II) and nickel(II) complexes of new macrocycles and their related ligands. B. Chem. Soc. Jpn. 1972, 45, 1759–1764. [Google Scholar] [CrossRef]
- Park, H.; Oh, S.; Lee, S.; Choi, S.; Oh, M. Cobalt- and nitrogen-codoped porous carbon catalyst made from core–shell type hybrid metal–organic framework (ZIF-L@ZIF-67) and its efficient oxygen reduction reaction (ORR) activity. Appl. Catal. B-Environ. 2019, 246, 322–329. [Google Scholar] [CrossRef]
- Lian, Y.; Yang, W.; Zhang, C.; Sun, H.; Deng, Z.; Xu, W.; Song, L.; Ouyang, Z.; Wang, Z.; Guo, J.; et al. Unpaired 3d electrons on atomically dispersed cobalt centres in coordination polymers regulate both oxygen reduction reaction (ORR) activity and selectivity for use in zinc-air batteries. Angew. Chem. Int. Ed. 2020, 59, 286–294. [Google Scholar] [CrossRef]
- Zitolo, A.; Ranjbar-Sahraie, N.; Mineva, T.; Li, J.; Jia, Q.; Stamatin, S.; Harrington, G.F.; Lyth, S.M.; Krtil, P.; Mukerjee, S.; et al. Identification of catalytic sites in cobalt-nitrogen-carbon materials for the oxygen reduction reaction. Nat. Commun. 2017, 8, 957. [Google Scholar] [CrossRef] [PubMed]
- Bard, A.J.; Faulkner, L.R. Electrochemical methods: Fundamentals and applications, 2nd. ed.; John Wiley & Sons, Inc.: New York, NY, USA, 2001. [Google Scholar]
- Zhang, J.; Mo, Y.; Vukmirovic, M.B.; Klie, R.; Sasaki, K.; Adzic, R.R. Platinum Monolayer Electrocatalysts for O2 Reduction: Pt Monolayer on Pd(111) and on Carbon-Supported Pd Nanoparticles. J. Phys. Chem. B 2004, 108, 10955–10964. [Google Scholar] [CrossRef]
- Gu, J.; Lan, G.; Jiang, Y.; Xu, Y.; Zhu, W.; Jin, C.; Zhang, Y. Shaped Pt-Ni nanocrystals with an ultrathin Pt-enriched shell derived from one-pot hydrothermal synthesis as active electrocatalysts for oxygen reduction. Nano Res. 2015, 8, 1480–1496. [Google Scholar] [CrossRef]
- Nichols, A.W.; Cook, E.N.; Gan, Y.J.; Miedaner, P.R.; Dressel, J.M.; Dickie, D.A.; Shafaat, H.S.; Machan, C.W. Pendent relay enhances H2O2 selectivity during dioxygen reduction mediated by bipyridine-based Co−N2O2 Complexes. J. Am. Chem. Soc. 2021, 143, 13065–13073. [Google Scholar] [CrossRef]
- Nilsson, A.; Pettersson, L.G.M.; Hammer, B.; Bligaard, T.; Christensen, C.H.; Nørskov, J.K. The electronic structure effect in heterogeneous catalysis. Catal. Lett. 2005, 100, 111–114. [Google Scholar] [CrossRef]
- Zagal, J.H.; Koper, M.T.M. Reactivity descriptors for the activity of molecular MN4 catalysts for the oxygen reduction reaction. Angew. Chem. Int. Ed. 2016, 55, 14510–14521. [Google Scholar] [CrossRef]
- Zhong, L.; Li, S. Unconventional oxygen reduction reaction mechanism and scaling relation on single-atom catalysts. ACS Catal. 2020, 10, 4313–4318. [Google Scholar] [CrossRef]
- Shinagawa, T.; Garcia-Esparza, A.T.; Takanabe, K. Insight on Tafel slopes from a microkinetic analysis of aqueous electrocatalysis for energy conversion. Sci. Rep. 2015, 5, 13801. [Google Scholar] [CrossRef] [PubMed]
- Liu, J.; Cheng, T.; Jiang, L.; Zhang, H.; Shan, Y.; Kong, A. Efficient nitrate and oxygen electroreduction over pyrolysis-free mesoporous covalent Co-salophen coordination frameworks on carbon nanotubes. Electrochim. Acta 2020, 363, 137280. [Google Scholar] [CrossRef]








| C | O | N | Co | Cl | N:Co | Cl:Co | |
|---|---|---|---|---|---|---|---|
| CB-phen-Co | 79.03% | 16.65% | 2.50% | 0.64% | 1.17% | 3.91 | 1.83 |
| CB-pda-Co | 81.18% | 13.12% | 4.22% | 1.01% | 0.46% | 4.18 | 0.46 |
| CB-salophen-Co | 81.75% | 13.60% | 3.75% | 0.90% | N/A | 4.17 | N/A |
| Total Site Density | Electrochemically Active Site Density | |
|---|---|---|
| CB-phen-Co | 80.0 | 38.2 |
| CB-pda-Co | 88.7 | 40.9 |
| CB-salophen-Co | 84.9 | 36.0 |
Disclaimer/Publisher’s Note: The statements, opinions and data contained in all publications are solely those of the individual author(s) and contributor(s) and not of MDPI and/or the editor(s). MDPI and/or the editor(s) disclaim responsibility for any injury to people or property resulting from any ideas, methods, instructions or products referred to in the content. |
© 2023 by the authors. Licensee MDPI, Basel, Switzerland. This article is an open access article distributed under the terms and conditions of the Creative Commons Attribution (CC BY) license (https://creativecommons.org/licenses/by/4.0/).
Share and Cite
Sun, Q.; Wang, Q.; Li, F.; Liu, Y.; Li, X.; Zhu, Z.; Chen, J.; Peng, Y.-K.; Gu, J. Carbon-Conjugated Co Complexes as Model Electrocatalysts for Oxygen Reduction Reaction. Catalysts 2023, 13, 330. https://doi.org/10.3390/catal13020330
Sun Q, Wang Q, Li F, Liu Y, Li X, Zhu Z, Chen J, Peng Y-K, Gu J. Carbon-Conjugated Co Complexes as Model Electrocatalysts for Oxygen Reduction Reaction. Catalysts. 2023; 13(2):330. https://doi.org/10.3390/catal13020330
Chicago/Turabian StyleSun, Qidi, Qing Wang, Fuzhi Li, Yizhe Liu, Xintong Li, Zonglong Zhu, Jianlin Chen, Yung-Kang Peng, and Jun Gu. 2023. "Carbon-Conjugated Co Complexes as Model Electrocatalysts for Oxygen Reduction Reaction" Catalysts 13, no. 2: 330. https://doi.org/10.3390/catal13020330
APA StyleSun, Q., Wang, Q., Li, F., Liu, Y., Li, X., Zhu, Z., Chen, J., Peng, Y.-K., & Gu, J. (2023). Carbon-Conjugated Co Complexes as Model Electrocatalysts for Oxygen Reduction Reaction. Catalysts, 13(2), 330. https://doi.org/10.3390/catal13020330

