Synthesis and Characterization of Terbium-Based Metal Organic Framework for Environmental Remediation Application
Abstract
1. Introduction
2. Results and Discussion
2.1. Characterization of Tb-FTZB-MOF
2.2. Adsorption Process
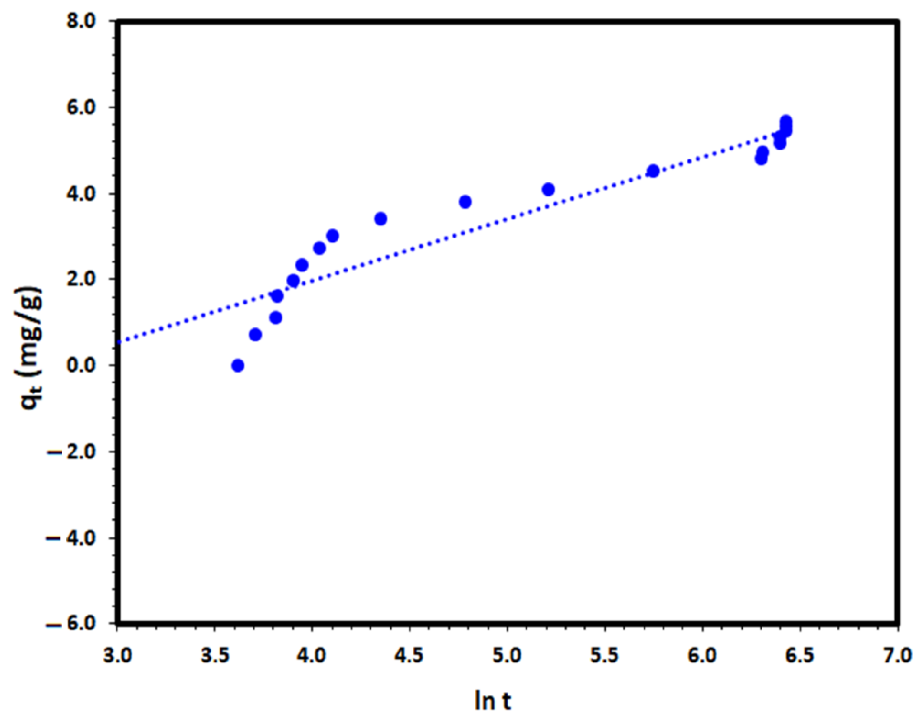
2.3. Kinetic Study
2.4. Environmental Applications
2.5. Reusability Studies
2.6. Thermodynamic Studies
3. Materials and Methods
3.1. Chemicals
3.2. Synthesis of Tb-FTZB-MOF
3.3. Characterizations
3.4. Adsorption Experiment
3.5. Real Water Samples Collection
4. Conclusions
Author Contributions
Funding
Data Availability Statement
Acknowledgments
Conflicts of Interest
References
- Anju, A.; Ravi, S.P.; Bechan, S. Water pollution with special reference to pesticide contamination in India. J. Water Resour. Prot. 2010, 2010, 432–448. [Google Scholar]
- Dechnik, J.; Janiak, C.; De, S. Aluminium fumarate metal-organic framework: A super adsorbent for fluoride from water. J. Hazard. Mater. 2016, 303, 10–20. [Google Scholar]
- Rasalingam, S.; Peng, R.; Koodali, R.T. Removal of hazardous pollutants from wastewaters: Applications of TiO2-SiO2 mixed oxide materials. J. Nanomater. 2014, 2014, 1–10. [Google Scholar] [CrossRef]
- Daniel, P. Investing in Tomorrow’s Liquid Gold. Available online: http://finance.yahoo.com/columnist/article/trenddesk/pp3748 (accessed on 16 November 2013).
- Barlow, M.; Clarke, T. Blue Gold: The Battle Against Corporate Theft of the World’s Water; Routledge: Abingdon-on-Thames, UK, 2017. [Google Scholar]
- Wawrzkiewicz, M.; Polska-Adach, E.; Hubicki, Z. Polacrylic and polystyrene functionalized resins for direct dye removal from textile effluents. Sep. Sci. Technol. 2020, 55, 2122–2136. [Google Scholar] [CrossRef]
- Sebastiano, R.; Contiello, N.; Senatore, S.; Righetti, P.G.; Citterio, A. Analysis of commercial Acid Black 194 and related dyes by micellar electrokinetic chromatography. Dye Pigment. 2012, 94, 258–265. [Google Scholar] [CrossRef]
- Duan, Q.; Lee, J.; Chen, H.; Zheng, Y. Preparation and catalytic performance of copper-containing magnetic catalysts for degradation of azo dye (direct violet). Water Sci. Technol. 2017, 76, 3069–3078. [Google Scholar] [CrossRef] [PubMed]
- Sadaf, S.; Bhatti, H.N.; Arif, M.; Amin, M.; Nazar, F.; Sultan, M. Box–Behnken design optimization for the removal of Direct Violet 51 dye from aqueous solution using lignocellulosic waste. Desalination Water Treat. 2015, 56, 2425–2437. [Google Scholar] [CrossRef]
- Zhang, J.; Chen, S.; Zhang, Y.; Quan, X.; Zhao, H.; Zhang, Y. Reduction of acute toxicity and genotoxicity of dye effluent using Fenton-coagulation process. J. Hazard. Mater. 2014, 274, 198–204. [Google Scholar] [CrossRef]
- Hasanpour, M.; Hatami, M. Photocatalytic performance of aerogels for organic dyes removal from wastewaters: Review study. J. Mol. Liq. 2020, 309, 113094. [Google Scholar] [CrossRef]
- Rasheed, A.; Bibi, I.; Majid, F.; Kamal, K.; Taj, B.; Raza, M.A.S.; Khaliq, N.; Katubi, K.M.; Ezzine, S.; Alwadai, N.; et al. Mn doped SrFe12O19 fabricated via facile microemulsion route and solar-light-driven photocatalytic removal of crystal violet dye. Phys. B Condens. Matter 2022, 646, 414303. [Google Scholar] [CrossRef]
- Liu, Y.; Zhu, W.; Guan, K.; Peng, C.; Wu, J. Freeze-casting of alumina ultra-filtration membranes with good performance for anionic dye separation. Ceram. Int. 2018, 44, 11901–11904. [Google Scholar] [CrossRef]
- Moradihamedani, P. Recent advances in dye removal from wastewater by membrane technology: A review. Polym. Bull. 2022, 79, 2603–2631. [Google Scholar] [CrossRef]
- Arab, S.; Derakhshankhah, H.; Jaymand, M. Simultaneous removal of cationic dyes from simulated industrial wastewater using sulfated alginate microparticles. J. Mol. Liq. 2022, 363, 119880. [Google Scholar]
- Saria, Y.; Taher, T.; Hariani, P.L.; Lesbani, A. Synthesis of Zn/Al layered double hydroxides as adsorbent for congo red and direct violet removal from aqueous solution. In Proceedings of the 2nd International Conference on Chemistry, Chemical Process and Engineering (IC3PE), Yogyakarta, Indonesia, 14 August 2018; Volume 2026, p. 020043. [Google Scholar] [CrossRef]
- Abd El-Rahim, W.M.; El-Ardy, O.A.; Mohammad, F.H. The effect of pH on bioremediation potential for the removal of direct violet textile dye by Aspergillus niger. Desalination 2009, 249, 1206–1211. [Google Scholar] [CrossRef]
- Sadaf, S.; Bhatti, H.N.; Nausheen, S.; Amin, M. Application of a novel lignocellulosic biomaterial for the removal of Direct Yellow 50 dye from aqueous solution: Batch and column study. J. Taiwan Inst. Chem. Eng. 2015, 47, 160–170. [Google Scholar] [CrossRef]
- Chahinez, H.; Abdelkader, O.; Leila, Y.; Tran, H.N. One-stage preparation of palm petiole-derived biochar: Characterization and application for adsorption of crystal violet dye in water. Environ. Technol. Innov. 2020, 19, 100872. [Google Scholar] [CrossRef]
- Nguyen, H.T.; Ngwabebhoh, F.A.; Saha, N.; Saha, T.; Saha, P. Gellan gum/bacterial cellulose hydrogel crosslinked with citric acid as an eco-friendly green adsorbent for safranin and crystal violet dye removal. Int. J. Biol. Macromol. 2022, 222, 77–89. [Google Scholar] [CrossRef]
- Jiang, D.; Chen, M.; Wang, H.; Zeng, G.; Huang, D.; Cheng, M.; Liu, Y.; Xue, W.; Wang, Z. The application of different typological and structural MOFs-based materials for the dyes adsorption. Coord. Chem. Rev. 2019, 380, 471–483. [Google Scholar] [CrossRef]
- He, X.; Du, M.; Li, H.; Zhou, T. Removal of direct dyes from aqueous solution by oxidized starch cross-linked chitosan/silica hybrid membrane. Int. J. Biol. Macromol. 2016, 82, 174–181. [Google Scholar] [CrossRef]
- Mittal, A.; Mittal, J.; Malviya, A.; Gupta, V. Adsorptive removal of hazardous anionic dye “Congo red” from wastewater using waste materials and recovery by desorption. J. Colloid Interface Sci. 2009, 340, 16–26. [Google Scholar] [CrossRef]
- Dawood, S.; Sen, T. Review on Dye Removal from Its Aqueous Solution into Alternative Cost Effective and Non-Conventional Adsorbents. J. Chem. Process Eng. 2013, 1, 1–11. [Google Scholar]
- Taher, T.; Huda, N.; Palapa, N.R.; Mohadi, R.; Lesbani, A. Preparation of MgAl LDH intercalated by α-PW12O403- for adsorptive removal of direct violet dye from aqueous solution. In Proceedings of the 2nd International Conference on Science, Mathematics, Environment, and Education, Surakarta, Indonesia, 26–28 July 2019; Volume 2194, p. 020125. [Google Scholar]
- Mohammad-Rezaei, R.; Khalilzadeh, B.; Rahimi, F.; Rezaee, P.; Gupta, S. Application of low-cost adsorbents for dye removal—A review. J. Environ. Manag. 2009, 90, 2313–2342. [Google Scholar]
- Abdollahi, N.; Moussavi, G.; Giannakis, S. A review of heavy metals’ removal from aqueous matrices by Metal-Organic Frameworks (MOFs): State-of-the art and recent advances. J. Environ. Chem. Eng. 2022, 10, 107394. [Google Scholar] [CrossRef]
- Pi, Y.; Li, X.; Xia, Q.; Wu, J.; Li, Y.; Xiao, J.; Li, Z. Adsorptive and photocatalytic removal of Persistent Organic Pollutants (POPs) in water by metal-organic frameworks (MOFs). Chem. Eng. J. 2018, 337, 351–371. [Google Scholar] [CrossRef]
- Bhadra, B.N.; Ahmed, I.; Lee, H.J.; Jhung, S.H. Metal-organic frameworks bearing free carboxylic acids: Preparation, modification, and applications. Coord. Chem. Rev. 2022, 450, 214237. [Google Scholar] [CrossRef]
- Wagner, M.; Lin, K.-Y.A.; Oh, W.-D.; Lisak, G. Metal-organic frameworks for pesticidal persistent organic pollutants detection and adsorption—A mini review. J. Hazard. Mater. 2021, 413, 125325. [Google Scholar] [CrossRef]
- Khan, N.A.; Hasan, Z.; Jhung, S.H. Adsorptive removal of hazardous materials using metal-organic frameworks (MOFs): A review. J. Hazard. Mater. 2013, 244, 444–456. [Google Scholar] [CrossRef]
- Pham, H.K.; Sim, Y.; Carboni, M.L.; Meyer, D.; Mathews, N. Generating metal-organic frameworks (MOFs) from photovoltaic modules for wastewater remediation. J. Environ. Chem. Eng. 2022, 10, 108346. [Google Scholar] [CrossRef]
- Rojas, S.; Horcajada, P. Metal–Organic Frameworks for the Removal of Emerging Organic Contaminants in Water. Chem. Rev. 2020, 120, 8378–8415. [Google Scholar] [CrossRef]
- Yoo, D.K.; Bhadra, B.N.; Jhung, S.H. Adsorptive removal of hazardous organics from water and fuel with functionalized metal-organic frameworks: Contribution of functional groups. J. Hazard. Mater. 2021, 403, 123655. [Google Scholar] [CrossRef]
- Soni, S.; Bajpai, P.; Mittal, J.; Arora, C. Utilisation of cobalt doped Iron based MOF for enhanced removal and recovery of methylene blue dye from waste water. J. Mol. Liq. 2020, 314, 113642. [Google Scholar] [CrossRef]
- Khan, N.A.; Jung, B.K.; Hasan, Z.; Jhung, S.H. Adsorption and removal of phthalic acid and diethyl phthalate from water with zeolitic imidazolate and metal–organic frameworks. J. Hazard. Mater. 2015, 282, 194–200. [Google Scholar] [CrossRef] [PubMed]
- Alqadami, A.A.; Naushad, M.; Alothman, Z.; Ahamad, T. Adsorptive performance of MOF nanocomposite for methylene blue and malachite green dyes: Kinetics, isotherm and mechanism. J. Environ. Manag. 2018, 223, 29–36. [Google Scholar] [CrossRef]
- Zhang, X.; Xiong, B.; Li, J.; Qian, L.; Liu, L.; Liu, Z.; Fang, P.; He, C. Dependence of Dye Molecules Adsorption Behaviors on Pore Characteristics of Mesostructured MOFs Fabricated by Surfactant Template. ACS Appl. Mater. Interfaces 2019, 11, 31441–31451. [Google Scholar] [CrossRef] [PubMed]
- Alqadami, A.A.; Naushad, M.; Alothman, Z.A.; Ghfar, A.A. Novel metal–organic framework (MOF) based composite material for the sequestration of U (VI) and Th (IV) metal ions from aqueous environment. ACS Appl. Mater. Interface 2017, 9, 36026–36037. [Google Scholar] [CrossRef] [PubMed]
- Tang, X.; Zhou, C.; Xia, W.; Liang, Y.; Zeng, Y.; Zhao, X.; Xiong, W.; Cheng, M.; Wang, Z. Recent advances in metal–organic framework-based materials for removal of fluoride in water: Performance, mechanism, and potential practical application. Chem. Eng. J. 2022, 446, 137299. [Google Scholar] [CrossRef]
- Tang, X.; Xia, W.; Qu, X.; Wang, C.; Wenjun, W.; Liang, Y.; Zeng, Y.; Xiong, W.; Cheng, M.; Song, B.; et al. Structure–performance correlation guided cerium-based metal–organic frameworks: Superior adsorbents for fluoride removal in water. Chemosphere 2023, 312, 137335. [Google Scholar] [CrossRef]
- Das, S.; Dash, S.K.; Parida, K. Kinetics, isotherm, and thermodynamic study for ultrafast adsorption of Azo dye by an efficient sorbent: Ternary Mg/(Al + Fe) Layered double hydroxides. ACS Omega 2018, 3, 2532–2545. [Google Scholar] [CrossRef]
- Gao, Y.; Wang, Y.; Zhang, H. Removal of Rhodamine B with Fe-supported bentonite as heterogeneous photo-Fenton catalyst under visible irradiation. Appl. Catal. B: Environmental. 2015, 178, 29–36. [Google Scholar] [CrossRef]
- Kuang, Y.; Zhang, X.; Zhou, S. Adsorption of methylene blue in water onto activated carbon by surfactant modification. Water 2020, 12, 587. [Google Scholar] [CrossRef]
- Fu, Y.; Viraraghavan, T. Removal of Congo Red from an solution by fungus Aspergillus niger. Adv. Environ. Research. 2002, 7, 239–247. [Google Scholar] [CrossRef]
- Malkoc, E.; Nuhoglu, Y. Potential of tea factory waste for chromium (VI) removal from solutions: Thermodynamic and kinetic studies. Sep. Purif. Technol. 2007, 54, 291–298. [Google Scholar] [CrossRef]
- Demiral, H.; Demiral, I.; Tümsek, F.; Karabacakoğlu, B. Adsorption of chromium (VI) from solution by activated carbon derived from olive bagasse and applicability of different adsorption models. Chem. Eng. J. 2008, 144, 188–196. [Google Scholar] [CrossRef]
- Al-Asheh, S.; Banat, F.; Abu-Aitah, L. The removal of methylene blue dye from solutions using activated and non-activated bentonites. Adsorpt. Sci. Technol. 2003, 21, 451–462. [Google Scholar] [CrossRef]
- Khambhaty, Y.; Mody, K.; Basha, S.; Jha, B. Kinetics equilibrium and thermodynamic studies on biosorption of hexavalent chromium by dead fungal biomass of marine Aspergillus niger. Chem. Eng. J. 2009, 145, 489–495. [Google Scholar] [CrossRef]
- Lagergren, S. Zur theorie der sogenannten adsorption geloster stoffe Kungliga Svenska Vetenskapsakademiens. Handlingar 1898, 24, 1–39. [Google Scholar]
- Ho, Y.S.; McKay, G.; Wase, D.A.J.; Forster, C.F. Study of the sorption of divalent metal Study of the sorption of divalent metal ions on to peat. Adsorp. Sci. Technol. 2000, 18, 639–650. [Google Scholar] [CrossRef]
- Ho, Y.S.; McKay, G. Application of Kinetic Models to the Sorption of Copper(II) on to Peat. Adsorpt. Sci. Technol. 2002, 20, 797–815. [Google Scholar] [CrossRef]
- Bagdonavicius, V.B.; Nikulin, M.S. Chi-squared goodness-of-fit test for right censored data. Int. J. Appl. Math. Stat. 2011, 24, 1–11. [Google Scholar]
- Karri, R.R.; Sahu, J.N.; Jayakumar, N.S. Optimal isotherm parameters for phenol adsorption from aqueous solutions onto coconut shell based activated carbon: Error analysis of linear and non-linear methods. J. Taiwan Inst. Chem. Eng. 2017, 80, 472–487. [Google Scholar] [CrossRef]
- Boyd, G.E.; Adamson, A.W.; Myers, L.S. The exchange adsorption of ions from aqueous solutions by organic zeolites II kinetics. J. Am. Chem. Soc. 1947, 69, 2836–2848. [Google Scholar] [CrossRef] [PubMed]
- Weber, W.J.; Morris, J.C. Kinetics of adsorption on carbon from solution. J. Sanit. Eng. Div. Am. Soc. Civ. Eng. 1963, 89, 31–60. [Google Scholar] [CrossRef]
- Owija, N.Y.; Salam, S.K.M.A. Removal of cadmium ions from aqueous solution by Zero valent iron nanoparticles: Equilibrium and thermodynamic studies. J. Mol. Liq. 2021, 342, 117462. [Google Scholar] [CrossRef]
- Atkins, P.; De Paula, J. Physical Chemistry for the Life Sciences; W. H. Freeman and Company: New York, NY, USA, 2009. [Google Scholar]
- Xue, D.; Cairns, A.J.; Belmabkhout, Y.; Wojtas, L.; Liu, Y.; Alkordi, M.H.; Eddaoudi, M. Tunable Rare-Earth fcu-MOFs: A Platform for Systematic Enhancement of CO2 Adsorption Energetics and Uptake. J. Am. Chem. Soc. 2013, 135, 7660–7667. [Google Scholar] [CrossRef]


















| Tb-FTZB-MOF | BET Surface Area (m2/g) | Pore Volume (cm3/g) |
|---|---|---|
| Before removal of DV31 dye | 1220 | 0.5 |
| After removal of DV31 dye | 959 | 0.45 |
| Fractional Power Kinetic Model | |||
| A | b | Ab | R2 |
| 4.04 | 0.002 | 0.008 | 0.910 |
| Elovich Model | |||
| α (g/mg.min) | β (mg/g.min) | R2 | |
| 178.7 | 0.616 | 0.886 | |
| Pseudo-First-OrderKinetic Model | |||
| k1 | qe, exp (mg/g) | qe, calc (mg/g) | R2 |
| 0.022 | 6.438 | 3.424 | 0.972 |
| Pseudo-Second-OrderKinetic Model | |||
| k2 (g/mg.min) | qe, exp (mg/g) | qe, calc (mg/g) | R2 |
| 0.0214 | 6.438 | 6.579 | 0.997 |
| Liquid Film Diffusion Model | |||
| kfd (min−1) | R2 | ||
| 0.631 | 0.972 | ||
| Intra Particle Diffusion Model | |||
| kd (mg/g.min1/2) | C (mg/g) | R2 | |
| 0.250 | 2.93 | 0.767 | |
| Material | Removal Capacity (mg/g) | Removal Time | Reference |
|---|---|---|---|
| Zn/Al layered double hydroxides | 18.4 | 90 min | [16] |
| Aspergillus niger | 7.03 | 72 h | [17] |
| sugarcane bagasse | 63.0 | 60 min | [9] |
| palm petiole-derived biochar | 24.3 | 120 min | [19] |
| Gellan gum/bacterial cellulose hydrogel | 13.5 | [20] |
Disclaimer/Publisher’s Note: The statements, opinions and data contained in all publications are solely those of the individual author(s) and contributor(s) and not of MDPI and/or the editor(s). MDPI and/or the editor(s) disclaim responsibility for any injury to people or property resulting from any ideas, methods, instructions or products referred to in the content. |
© 2023 by the authors. Licensee MDPI, Basel, Switzerland. This article is an open access article distributed under the terms and conditions of the Creative Commons Attribution (CC BY) license (https://creativecommons.org/licenses/by/4.0/).
Share and Cite
Alomari, A.D.; Alezi, D.; Abdel Salam, M. Synthesis and Characterization of Terbium-Based Metal Organic Framework for Environmental Remediation Application. Catalysts 2023, 13, 241. https://doi.org/10.3390/catal13020241
Alomari AD, Alezi D, Abdel Salam M. Synthesis and Characterization of Terbium-Based Metal Organic Framework for Environmental Remediation Application. Catalysts. 2023; 13(2):241. https://doi.org/10.3390/catal13020241
Chicago/Turabian StyleAlomari, Asma D., Dalal Alezi, and Mohamed Abdel Salam. 2023. "Synthesis and Characterization of Terbium-Based Metal Organic Framework for Environmental Remediation Application" Catalysts 13, no. 2: 241. https://doi.org/10.3390/catal13020241
APA StyleAlomari, A. D., Alezi, D., & Abdel Salam, M. (2023). Synthesis and Characterization of Terbium-Based Metal Organic Framework for Environmental Remediation Application. Catalysts, 13(2), 241. https://doi.org/10.3390/catal13020241

