Reactive Adsorption of Gaseous Anisole by MCM–41-Supported Sulfuric Acid
Abstract
:1. Introduction
2. Results and Discussion
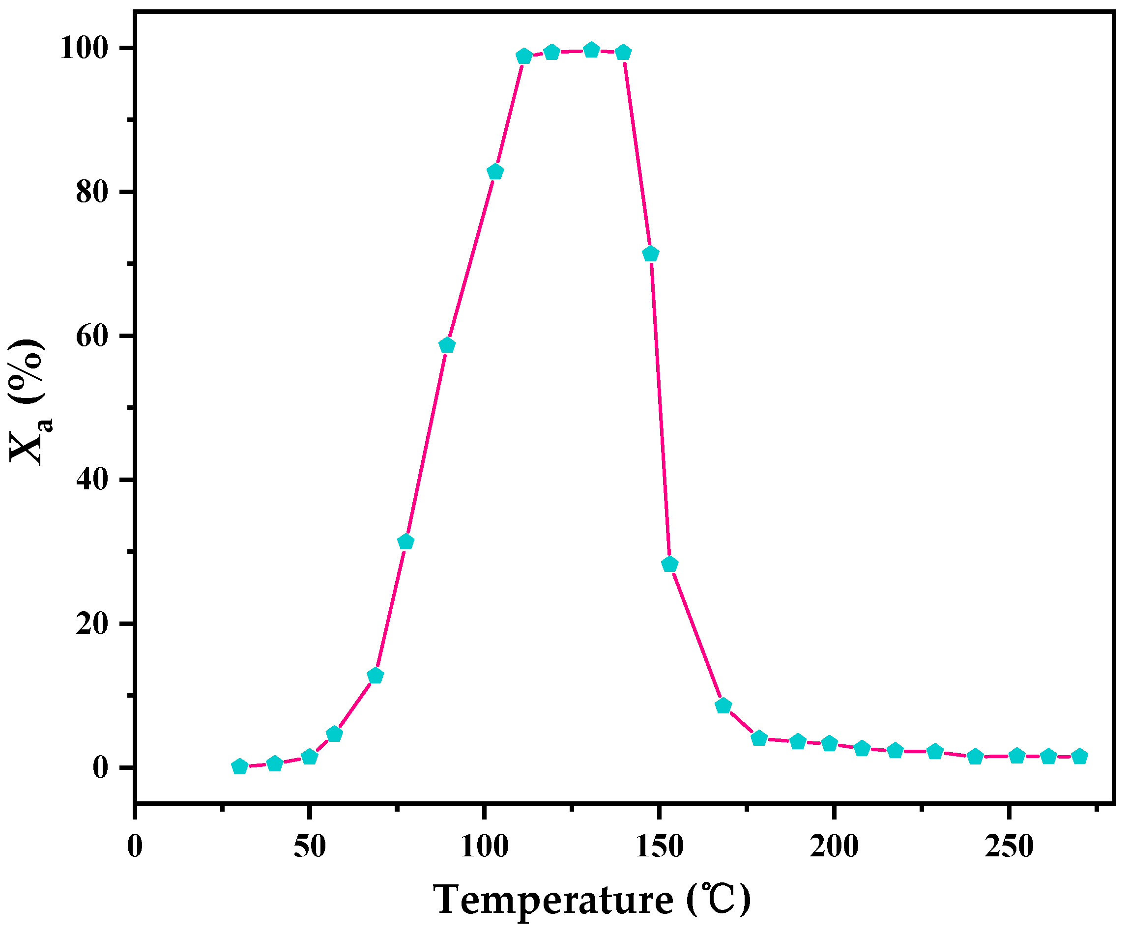
2.1. Response of Anisole Removal to Temperature
2.2. Comprehensive Analysis of the Effects of the Process Conditions
- (1)
- All the breakthrough curves exhibited a typical S–shape with a three characteristic stages attributable to the occurrence of the sulfonation reaction between the anisole molecules and the SSA/MCM–41 surface.
- (2)
- Under the stable conditions of v = 50 mL min−1 and h = 14.3 mm, when Cin is successively reduced (Exp. No. 1, 2, and 3), the curves moved significantly towards the right-hand side; furthermore, the tB,th greatly extended, while the QB,th values increased first and then decreased slightly, implying that the reactive adsorption process of anisole was affected by both the diffusion driving force and the surface reaction rate [30].
- (3)
- When Cin and h were constant and v reduced from 75 mL min−1 to 25 mL min−1 (Exp. No. 7, 2, and 6), a significant rightward shift of the curves occurred. Correspondingly, both tB,th and QB,th monotonically increased, which also demonstrates the importance of the residence time for the anisole adsorption.
- (4)
- Comparing the results from the above seven experiments, it was found that the highest values of tB,th (73.82 min) and QB,th (247.56 mg g−1) were both obtained in Exp. No. 6, and that the corresponding optimal process details were 6.4 mg L−1 of Cin, 14.3 mm of h, 25 mL min−1 of v, and 130 °C of T.
2.3. Analysis of the Adsorbed Products and the Removal Mechanism of Anisole
2.4. Reusability of the Supports
3. Experimental Methods
3.1. Materials
3.2. Preparation of Supported Sulfuric Acid
3.3. Characterization
3.4. Reactive Adsorption Tests
3.5. Desorption and Regeneration of the Spent SSA/MCM–41
4. Conclusions
Supplementary Materials
Author Contributions
Funding
Data Availability Statement
Conflicts of Interest
References
- Zhao, Q.; Li, Y.; Chai, X.; Xu, L.; Zhang, L.; Ning, P.; Huang, J.; Tian, S. Interaction of inhalable volatile organic compounds and pulmonary surfactant: Potential hazards of VOCs exposure to lung. J. Hazard. Mater. 2019, 369, 512–520. [Google Scholar] [CrossRef]
- Xing, Y.; Zhang, W.; Su, W.; Zhang, H.; Wang, J.; Zhang, H.; Guo, Z.; Jia, H. The bibliometric analysis and review of the application of plasma in the field of VOCs. Catalysts 2022, 12, 173. [Google Scholar] [CrossRef]
- He, C.; Cheng, J.; Zhang, X.; Douthwaite, M.; Pattisson, S.; Hao, Z. Recent advances in the catalytic oxidation of volatile organic compounds: A review based on pollutant sorts and sources. Chem. Rev. 2019, 119, 4471–4568. [Google Scholar] [CrossRef] [PubMed]
- Kim, H.S.; Kim, H.J.; Kim, J.H.; Kim, J.H.; Kang, S.H.; Ryu, J.H.; Park, N.K.; Yun, D.S.; Bae, J.W. Noble-metal-based catalytic oxidation technology trends for volatile organic compound (VOC) removal. Catalysts 2022, 12, 63. [Google Scholar] [CrossRef]
- Ma, X.; Zhao, D.; Qian, J.; Ma, Z.; Cui, J. Utilization of hematite particles for economical removal of o-xylene in a high-temperature gas-solid reactor. Molecules 2022, 27, 1509. [Google Scholar] [CrossRef] [PubMed]
- Yue, X.; Ma, N.L.; Sonne, C.; Guan, R.; Lam, S.S.; Van Le, Q.; Chen, X.; Yang, Y.; Gu, H.; Rinklebe, J.; et al. Mitigation of indoor air pollution: A review of recent advances in adsorption materials and catalytic oxidation. J. Hazard. Mater. 2021, 405, 124138. [Google Scholar] [CrossRef]
- Rochard, G.; Olivet, L.; Tannous, M.; Poupin, C.; Siffert, S.; Cousin, R. Recent advances in the catalytic treatment of volatile organic compounds: A review based on the mixture effect. Catalysts 2021, 11, 1218. [Google Scholar] [CrossRef]
- Zhan, J.; Feng, Z.; Liu, P.; He, X.; He, Z.; Chen, T.; Wang, Y.; He, H.; Mu, Y.; Liu, Y. Ozone and SOA formation potential based on photochemical loss of VOCs during the Beijing summer. Environ. Pollut. 2021, 285, 117444. [Google Scholar] [CrossRef]
- Zhu, L.; Shen, D.; Luo, K.H. A critical review on VOCs adsorption by different porous materials: Species, mechanisms and modification methods. J. Hazard. Mater. 2020, 389, 122102. [Google Scholar] [CrossRef]
- Veerapandian, S.K.P.; De Geyter, N.; Giraudon, J.M.; Lamonier, J.F.; Morent, R. The use of zeolites for VOCs abatement by combining non-thermal plasma, adsorption, and/or catalysis: A review. Catalysts 2019, 9, 98. [Google Scholar] [CrossRef] [Green Version]
- Mamaghani, A.H.; Haghighat, F.; Lee, C.S. Photocatalytic oxidation technology for indoor environment air purification: The state-of-the-art. Appl. Catal. B 2017, 203, 247–269. [Google Scholar] [CrossRef]
- Warahena, A.S.; Chuah, Y.K. Energy recovery efficiency and cost analysis of VOC thermal oxidation pollution control technology. Environ. Sci. Technol. 2009, 43, 6101–6105. [Google Scholar] [CrossRef] [PubMed]
- Baskaran, D.; Sinharoy, A.; Pakshirajan, K.; Rajamanickam, R. Gas-phase trichloroethylene removal by rhodococcus opacus using an airlift bioreactor and its modeling by artificial neural network. Chemosphere 2020, 247, 125806. [Google Scholar] [CrossRef] [PubMed]
- Guo, Y.; Wen, M.; Li, G.; An, T. Recent advances in VOC elimination by catalytic oxidation technology onto various nanoparticles catalysts: A critical review. Appl. Catal. B 2021, 281, 11947. [Google Scholar] [CrossRef]
- Wu, P.; Jin, X.; Qiu, Y.; Ye, D. Recent progress of thermocatalytic and photo/thermocatalytic oxidation for VOCs purification over manganese-based oxide catalysts. Environ. Sci. Technol. 2021, 55, 4268–4286. [Google Scholar] [CrossRef]
- Dong, Y.; Liu, Y.; Wang, J.; Gao, K.; Ma, Z. Silica supported sulfuric acid for the removal of gaseous o-xylene. J. Environ. Chem. Eng. 2019, 7, 102992. [Google Scholar] [CrossRef]
- Gao, K.; Ma, M.; Liu, Y.; Ma, Z. A comparative study of the removal of o-xylene from gas streams using mesoporous silicas and their silica supported sulfuric acids. J. Hazard. Mater. 2021, 409, 124965. [Google Scholar] [CrossRef]
- Zhao, D.; Ma, M.; Qian, J.; Wang, Y.; Ma, Z.; Ma, X. Influence of impregnation medium on the adsorptive performance of silica sulfuric acid for the removal of gaseous o-xylene: Comparison on ethyl acetate and water. Catalysts 2022, 12, 737. [Google Scholar] [CrossRef]
- Ma, M.; Gao, K.; Ma, Z.; Ding, J. Influence of preparation method on the adsorptive performance of silica sulfuric acid for the removal of gaseous o-xylene. Sep. Purif. Technol. 2021, 265, 118484. [Google Scholar] [CrossRef]
- El-Hakam, S.A.; Alshorifi, F.T.; Salama, R.S.; Gamal, S.; El-Yazeed, W.S.A.; Ibrahim, A.A.; Ahmed, A.I. Application of nanostructured mesoporous silica/bismuth vanadate composite catalysts for the degradation of methylene blue and brilliant green. J. Mater. Res. Technol. 2022, 18, 1963–1976. [Google Scholar] [CrossRef]
- Salama, R.S.; El-Bahy, S.M.; Mannaa, M.A. Sulfamic acid supported on mesoporous MCM-41 as a novel, efficient and reusable heterogenous solid acid catalyst for synthesis of xanthene, dihydropyrimidinone and coumarin derivatives. Colloids Surf. A Physicochem. Eng. Asp. 2021, 628, 127261. [Google Scholar] [CrossRef]
- Ibrahim, A.A.; Salama, R.S.; El-Hakam, S.A.; Khder, A.S.; Ahmed, A.I. Synthesis of 12-tungestophosphoric acid supported on Zr/MCM-41 composite with excellent heterogeneous catalyst and promising adsorbent of methylene blue. Colloids Surf. A Physicochem. Eng. Asp. 2021, 631, 127753. [Google Scholar] [CrossRef]
- Yang, X.; Liu, Y.B. Anisole is an environmentally friendly fumigant for postharvest pest control. J. Stored Prod. Res. 2021, 93, 101842. [Google Scholar] [CrossRef]
- Chen, J.; Sun, C.; Huang, Z.; Qin, F.; Xu, H.; Shen, W. Fabrication of functionalized porous silica nanocapsules with a hollow structure for high performance of toluene adsorption-desorption. ACS Omega 2020, 5, 5805–5814. [Google Scholar] [CrossRef]
- Laskar, I.I.; Hashisho, Z.; Phillips, J.H.; Anderson, J.E.; Nichols, M. Modeling the effect of relative humidity on adsorption dynamics of volatile organic compound onto activated carbon. Environ. Sci. Technol. 2019, 53, 2647–2659. [Google Scholar] [CrossRef]
- Wang, J.; Cao, S.; Sun, Y.; Meng, X.; Wei, J.; Ge, Y.; Liu, B.; Gong, Y.; Li, Z.; Mo, G. β Zeolite nanostructures with a high SiO2/Al2O3 ratio for the adsorption of volatile organic compounds. ACS Appl. Nano Mater. 2021, 4, 13257–13266. [Google Scholar] [CrossRef]
- Calero, M.; Hernainz, F.; Blazquez, G.; Tenorio, G.; Martin-Lara, M.A. Study of Cr (III) biosorption in a fixed-bed column. J. Hazard. Mater. 2009, 171, 886–893. [Google Scholar] [CrossRef]
- Fakhfakh, N.; Dammak, N.; Benzina, M. Breakthrough modeling and experimental design for o-xylene dynamic adsorption onto clay material. Environ. Sci. Pollut. Res. Int. 2018, 25, 18263–18277. [Google Scholar] [CrossRef]
- Ma, M.; Gao, K.; Zhao, D.; Ma, X.; Ma, Z. Effect of process conditions on reaction-type adsorption of o-xylene by MCM-41 supported sulfuric acid: Model simulations of breakthrough curves. J. Environ. Chem. Eng. 2022, 10, 106937. [Google Scholar] [CrossRef]
- Hong, T.; Wei, L.; Cui, K.; Dong, Y.; Li, R.; Zhang, T.; Zhao, Y.; Luo, L. Adsorption performance of volatile organic compounds on activated carbon fibers in a fixed bed column. J. Environ. Chem. Eng. 2021, 9, 106347. [Google Scholar] [CrossRef]





| Parameters and Metrics | Temperature (°C) | |||
|---|---|---|---|---|
| 110 | 120 | 130 | 140 | |
| Experimental: | ||||
| tB (min) | 20.90 | 23.60 | 32.20 | 28.99 |
| QB (mg g−1) | 129.51 | 146.50 | 201.93 | 183.30 |
| Dose–response model: | ||||
| q0 (mg g−1) | 0.28 | 0.28 | 0.29 | 0.26 |
| a | 7.46 | 7.68 | 10.03 | 7.88 |
| R2 | 0.9912 | 0.9928 | 0.9977 | 0.9989 |
| tB,th (min) | 28.28 | 30.32 | 34.39 | 28.49 |
| QB,th (mg g−1) | 192.22 | 199.12 | 222.06 | 183.91 |
| Exp. No. | Inlet Concentration (mg L−1) | Bed Height (mm) | Flow Rate (mL min−1) |
|---|---|---|---|
| 1 (■) | 8.8 | 14.3 | 50 |
| 2 (●) | 6.4 | 14.3 | 50 |
| 3 (△) | 4.0 | 14.3 | 50 |
| 4 (▼) | 6.4 | 10.5 | 50 |
| 5 (★) | 6.4 | 20.0 | 50 |
| 6 (◇) | 6.4 | 14.3 | 25 |
| 7 (○) | 6.4 | 14.3 | 75 |
| Metrics | Exp. No. | ||||||
|---|---|---|---|---|---|---|---|
| 1 | 2 | 3 | 4 | 5 | 6 | 7 | |
| tB,th (min) | 20.53 | 34.39 | 37.69 | 14.69 | 66.12 | 73.82 | 19.1 |
| QB,th (mg g−1) | 189.92 | 222.06 | 152.98 | 189.62 | 215.80 | 247.56 | 184.45 |
| Products | Methods and Parameters | The Data of Adsorbed Products |
|---|---|---|
| I | 1H NMR (DMF, 500 MHz), δ ppm | 7.84 (d, J = 5.0 Hz, 2H), 7.11 (d, J = 2.5 Hz, 2H), 3.82 (s, 3H) |
| 13C NMR (DMF, 125 MHz), δ ppm | 56.24, 115.32 (2C), 129.74 (2C), 134.00, 163.33 | |
| FTIR (KBr), cm−1 | 3427, 2961, 2874, 1610, 1471, 1413, 1235, 1186, 1052, 1014, 840, 768, 677, 576 | |
| II | 1H NMR (DMF, 500 MHz), δ ppm | 7.85 (d, J = 5.0 Hz, 2H), 6.95 (d, J = 5.0 Hz, 2H), 3.84 (s, 3H), |
| 13C NMR (DMF, 125 MHz), δ ppm | 55.62 (2C), 114.44 (4C), 129.55 (4C), 133.84 (2C), 163.14 (2C) | |
| FTIR (KBr), cm−1 | 3437, 2926, 2854, 1600, 1495, 1263, 1186, 1148, 1095, 1033, 836, 692, 630, 566 |
Publisher’s Note: MDPI stays neutral with regard to jurisdictional claims in published maps and institutional affiliations. |
© 2022 by the authors. Licensee MDPI, Basel, Switzerland. This article is an open access article distributed under the terms and conditions of the Creative Commons Attribution (CC BY) license (https://creativecommons.org/licenses/by/4.0/).
Share and Cite
Zhao, D.; Qian, J.; Wang, Y.; Ma, Z.; Ma, X. Reactive Adsorption of Gaseous Anisole by MCM–41-Supported Sulfuric Acid. Catalysts 2022, 12, 942. https://doi.org/10.3390/catal12090942
Zhao D, Qian J, Wang Y, Ma Z, Ma X. Reactive Adsorption of Gaseous Anisole by MCM–41-Supported Sulfuric Acid. Catalysts. 2022; 12(9):942. https://doi.org/10.3390/catal12090942
Chicago/Turabian StyleZhao, Dandan, Jinjin Qian, Yaxu Wang, Zichuan Ma, and Xiaolong Ma. 2022. "Reactive Adsorption of Gaseous Anisole by MCM–41-Supported Sulfuric Acid" Catalysts 12, no. 9: 942. https://doi.org/10.3390/catal12090942
APA StyleZhao, D., Qian, J., Wang, Y., Ma, Z., & Ma, X. (2022). Reactive Adsorption of Gaseous Anisole by MCM–41-Supported Sulfuric Acid. Catalysts, 12(9), 942. https://doi.org/10.3390/catal12090942

