Fenton-like Remediation for Industrial Oily Wastewater Using Fe78Si9B13 Metallic Glasses
Abstract
:1. Introduction
2. Materials and Methods
2.1. Materials
2.2. Characterization
2.3. Analytical Methods
3. Results and Discussion
3.1. Catalytic Capability
3.1.1. Effect of pH Value
3.1.2. Effect of H2O2 Concentration
3.1.3. Effect of Catalyst Dosage
3.1.4. Effect of Oil–Water Mass Ratio
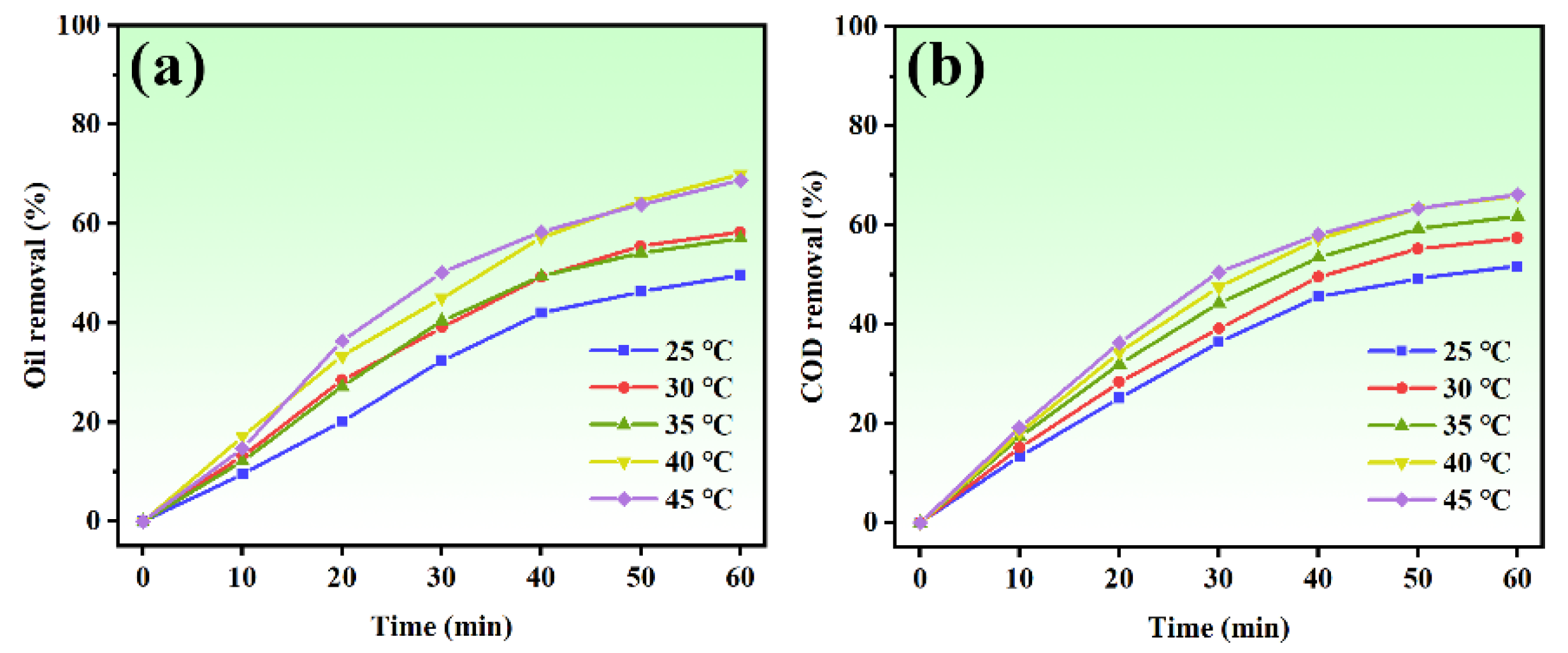
3.1.5. Effect of Reaction Temperature
3.1.6. Stability and Reusability
3.2. Structures and Surface Morphology
3.3. Reaction Mechanism
4. Conclusions
Author Contributions
Funding
Data Availability Statement
Conflicts of Interest
References
- Zhang, B.; Huang, K.; Wang, Q.; Li, G.; Wu, T.; Li, Y. Highly efficient treatment of oily wastewater using magnetic carbon nanotubes/layered double hydroxides composites. Colloids Surf. A 2020, 586, 124187. [Google Scholar] [CrossRef]
- Khalifa, O.; Banat, F.; Srinivasakannan, C.; AlMarzooqi, F.; Hasan, S.W. Ozonation-assisted electro-membrane hybrid reactor for oily wastewater treatment: A methodological approach and synergy effects. J. Clean. Prod. 2021, 289, 125764. [Google Scholar] [CrossRef]
- Zhong, L.; Sun, C.; Yang, F.; Dong, Y. Superhydrophilic spinel ceramic membranes for oily emulsion wastewater treatment. J. Water Process Eng. 2021, 42, 102161. [Google Scholar] [CrossRef]
- Ahmad, T.; Guria, C.; Mandal, A. A review of oily wastewater treatment using ultrafiltration membrane: A parametric study to enhance the membrane performance. J. Water Process Eng. 2020, 36, 101289. [Google Scholar] [CrossRef]
- Behroozi, A.H.; Ataabadi, M.R. Improvement in microfiltration process of oily wastewater: A comprehensive review over two decades. J. Environ. Chem. Eng. 2020, 9, 104981. [Google Scholar] [CrossRef]
- Zhao, C.L.; Zhou, J.Y.; Yan, Y.; Yang, L.W.; Xing, G.H.; Li, H.Y.; Wu, P.; Wang, M.Y.; Zheng, H.L. Application of coagulation/flocculation in oily wastewater treatment: A review. Sci. Total Environ. 2021, 765, 142795. [Google Scholar] [CrossRef]
- Liang, H.; Esmaeili, H. Application of nanomaterials for demulsification of oily wastewater: A review study. Environ. Technol. Innov. 2021, 22, 101498. [Google Scholar] [CrossRef]
- Ikhsan, S.N.W.; Yusof, N.; Aziz, F.; Ismail, A.F.; Jaafar, J.; Salleh, W.N.W.; Misdan, N. Superwetting materials for hydrophilic-oleophobic membrane in oily wastewater treatment. J. Environ. Manag. 2021, 290, 112565. [Google Scholar] [CrossRef]
- Ismail, N.H.; Salleh, W.N.W.; Ismail, A.F.; Hasbullah, H.; Yusof, N.; Aziz, F.; Jaafar, J. Hydrophilic polymer-based membrane for oily wastewater treatment: A review. Sep. Purif. Technol. 2020, 233, 116007. [Google Scholar] [CrossRef]
- Liu, C.H.; Xia, J.Y.; Gu, J.C.; Wang, W.Q.; Liu, Q.Q.; Yan, L.K.; Chen, T. Multifunctional CNTs-PAA/MIL101(Fe)@P composite membrane for high-throughput oily wastewater remediation. J. Hazard. Mater. 2021, 403, 123547. [Google Scholar] [CrossRef]
- Yaacob, N.; Sean, G.P.; Nazri, N.A.M.; Ismail, A.F.; Abidin, M.N.Z.; Subramaniam, M.N. Simultaneous oily wastewater adsorption and photodegradation by ZrO2-TiO2 heterojunction photocatalysts. J. Water Process Eng. 2021, 39, 101644. [Google Scholar] [CrossRef]
- Jia, Z.; Liang, S.X.; Zhang, W.C.; Wang, W.M.; Yang, C.; Zhang, L.C. Heterogeneous photo Fenton-like degradation of the cibacron brilliant red 3B-A dye using amorphous Fe78Si9B13 and Fe73.5Si13.5B9Cu1Nb3 alloys: The influence of adsorption. J. Taiwan Inst. Chem. Eng. 2017, 71, 128–136. [Google Scholar] [CrossRef]
- Jia, Z.; Miao, J.; Lu, H.; Habibi, D.; Zhang, W. Photocatalytic degradation and absorption kinetics of cibacron brilliant yellow 3G-P by nanosized ZnO catalyst under simulated solar light. J. Taiwan Inst. Chem. Eng. 2015, 60, 267–274. [Google Scholar] [CrossRef]
- Usman, M.; Faure, P.; Hanna, K.; Abdelmoula, M.; Ruby, C. Application of magnetite catalyzed chemical oxidation (Fenton-like and persulfate) for the remediation of oil hydrocarbon contamination. Fuel 2012, 96, 270–276. [Google Scholar] [CrossRef]
- Grčić, I.; Papić, S.; Žižek, K.; Koprivanac, N. Zero-valent iron (ZVI) Fenton oxidation of reactive dye wastewater under UV-C and solar irradiation. Chem. Eng. J. 2012, 195, 77–90. [Google Scholar] [CrossRef]
- Jia, Z.; Zhang, W.; Wang, W.; Habibi, D. Amorphous Fe78Si9B13 alloy: An efficient and reusable photo-enhanced Fenton-like catalyst in degradation of cibacron brilliant red 3B-A dye under UV–vis light. Appl. Catal. B Environ. 2016, 192, 46–56. [Google Scholar] [CrossRef]
- Song, D.S.; Kim, J.H.; Fleury, E.; Kim, W.T.; Kim, D.H. Synthesis of ferromagnetic Fe-based bulk glassy alloys in the Fe-Nb-B-Y system. J. Alloys Compd. 2005, 389, 159–164. [Google Scholar] [CrossRef]
- Liu, P.; Zhang, J.L.; Zha, M.Q.; Shek, C.H. Synthesis of an Fe Rich Amorphous Structure with a Catalytic Effect to Rapidly Decolorize Azo Dye at Room Temperature. ACS Appl. Mater. Interfaces 2014, 6, 5500–5505. [Google Scholar] [CrossRef]
- Wang, P.; Wang, J.-Q.; Li, H.; Yang, H.; Huo, J.; Wang, J.; Chang, C.; Wang, X.; Li, R.-W.; Wang, G. Fast decolorization of azo dyes in both alkaline and acidic solutions by Al-based metallic glasses. J. Alloys Compd. 2017, 701, 759–767. [Google Scholar] [CrossRef]
- Wang, W.H. Bulk metallic glasses with functional physical properties. Adv. Mater. 2009, 21, 4524–4544. [Google Scholar] [CrossRef]
- Li, H.; Pang, S.; Liu, Y.; Sun, L.; Liaw, P.K.; Zhang, T. Biodegradable Mg–Zn–Ca–Sr bulk metallic glasses with enhanced corrosion performance for biomedical applications. Mater. Des. 2015, 67, 9–19. [Google Scholar] [CrossRef]
- Baron-Wiechec, A.; Szewieczek, D.; Nawrat, G. Corrosion of amorphous and nanocrystalline Fe-based alloys and its influence on their magnetic behavior. Electrochim. Acta 2007, 52, 5690–5695. [Google Scholar] [CrossRef]
- Wang, X.; Pan, Y.; Zhu, Z.; Wu, J. Efficient degradation of rhodamine B using Fe-based metallic glass catalyst by Fenton-like process. Chemosphere 2014, 117, 638–643. [Google Scholar] [CrossRef]
- Zhao, B.W.; Zhu, Z.W.; Qin, X.D.; Li, Z.K.; Zhang, H.F. Highly efficient and stable CuZr-based metallic glassy catalysts for azo dye degradation. J. Mater. Sci. Technol. 2020, 46, 88–97. [Google Scholar] [CrossRef]
- Wang, J.Q.; Liu, Y.H.; Chen, M.W.; Luzgin, D.V.L.; Inoue, A.; Perepezko, J.H. Excellent capability in degrading azo dyes by MgZn-based metallic glass powders. Sci. Rep. 2012, 2, 418. [Google Scholar] [CrossRef]
- Yang, X.; Xu, X.C.; Xiang, Q.C.; Qu, Y.D.; Ren, Y.L.; Qiu, K.Q. The catalytic performance of Cu46Zr47-xAl7Yx amorphous ribbons in the degradation of AOII dye wastewater. Environ. Sci. Pollut. R. 2021, 28, 48038–48052. [Google Scholar] [CrossRef]
- Ramya, M.; Karthika, M.; Selvakumar, R.; Raj, B.; Ravi, K. A facile and efficient single step ball milling process for synthesis of partially amorphous Mg-Zn-Ca alloy powders for dye degradation. J. Alloys Compd. 2017, 696, 185–192. [Google Scholar] [CrossRef]
- Tang, Y.; Shao, Y.; Chen, N.; Yao, K.-F. Rapid decomposition of Direct Blue 6 in neutral solution by Fe–B amorphous alloys. RSC Adv. 2015, 5, 6215–6221. [Google Scholar] [CrossRef]
- Jia, Z.; Kang, J.; Zhang, W.C.; Wang, W.M.; Yang, C.; Sun, H.; Habibi, D.; Zhang, L.C. Surface aging behavior of Fe-based amorphous alloys as catalysts during heterogeneous photo Fenton-like process for water treatment. Appl. Catal. B Environ. 2017, 204, 537–547. [Google Scholar] [CrossRef]
- Ghorbani, M.; Vakili, M.H.; Ameri, E. Fabrication and evaluation of a biopolymer-based nanocomposite membrane for oily wastewater treatment. Mater. Today Commun. 2021, 28, 102560. [Google Scholar] [CrossRef]
- Liang, S.X.; Jia, Z.; Zhang, W.C.; Li, X.; Wang, W.M.; Lin, H.C.; Zhang, L.C. Ultrafast activation efficiency of three peroxides by Fe78Si9B13 metallic glass under photo-enhanced catalytic oxidation: A comparative study. Appl. Catal. B Environ. 2018, 221, 108–118. [Google Scholar] [CrossRef]
- Zhang, C.; Wang, Y.; Zhang, X.; Guo, H. Fe78Si9B13 amorphous alloys for the decolorization process of azo dye aqueous solutions with different initial concentrations at different reaction temperatures. Vacuum 2020, 176, 109301. [Google Scholar] [CrossRef]
- Lai, B.; Zhang, Y.; Chen, Z.; Yang, P.; Zhou, Y.; Wang, J. Removal of p-nitrophenol (PNP) in aqueous solution by the micron-scale iron–copper (Fe/Cu) bimetallic particles. Appl. Catal. B Environ. 2014, 144, 816–830. [Google Scholar] [CrossRef]
- Weng, C.-H.; Tao, H. Highly efficient persulfate oxidation process activated with Fe0 aggregate for decolorization of reactive azo dye Remazol Golden Yellow. Arab. J. Chem. 2018, 11, 1292–1300. [Google Scholar] [CrossRef]
- Yamaguchi, R.; Kurosu, S.; Suzuki, M.; Kawase, Y. Hydroxyl radical generation by zero-valent iron/Cu (ZVI/Cu) bimetallic catalyst in wastewater treatment: Heterogeneous Fenton/Fenton-like reactions by Fenton reagents formed in-situ under oxic conditions. Chem. Eng. J. 2018, 334, 1537–1549. [Google Scholar] [CrossRef]
- Xiong, Z.; Lai, B.; Yang, P.; Zhou, Y.; Wang, J.; Fang, S. Comparative study on the reactivity of Fe/Cu bimetallic particles and zero valent iron (ZVI) under different conditions of N2, air or without aeration. J. Hazard. Mater. 2015, 297, 261–268. [Google Scholar] [CrossRef] [PubMed]
- Chen, Q.; Yan, Z.C.; Zhang, H.; Kim, K.; Wang, W.M. Role of nanocrystallites of Al-based glasses and H2O2 in degradation azo dyes. Materials 2021, 14, 39. [Google Scholar] [CrossRef]
- Qin, X.; Xu, J.; Zhu, Z.; Li, Z.; Fang, D.; Fu, H.; Zhang, S.; Zhang, H. Co78Si8B14 metallic glass: A highly efficient and ultra-sustainable Fenton-like catalyst in degrading wastewater under universal pH conditions. J. Mater. Sci. Technol. 2022, 113, 105–116. [Google Scholar] [CrossRef]
- Weber, E.J. Iron-Mediated Reductive Transformations: Investigation of Reaction Mechanism. Environ. Sci. Technol. 1996, 30, 716–719. [Google Scholar] [CrossRef]
- SLiang, X.; Jia, Z.; Zhang, W.C.; Wang, W.M.; Zhang, L.C. Rapid malachite green degradation using Fe73.5Si13.5B9Cu1Nb3 metallic glass for activation of persulfate under UV-vis light. Mater. Des. 2017, 119, 244–253. [Google Scholar]
- Qin, X.D.; Li, Z.K.; Zhu, Z.W.; Fu, H.M.; Li, H.; Wang, A.M.; Zhang, H.W.; Zhang, H.F. Mechanism and kinetics of treatment of acid orange II by aged Fe-Si-B metallic glass powders. J. Mater. Sci. Technol. 2017, 33, 1147–1152. [Google Scholar] [CrossRef]
- Zhu, S.; Xiang, Q.; Ma, C.; Ren, Y.; Qiu, K. Continuous electrocoagulation degradation of oily wastewater with Fe78Si9B13 amorphous ribbons. Environ. Sci. Pollut. Res. 2020, 27, 40101–40108. [Google Scholar] [CrossRef] [PubMed]
- Liang, C.; Guo, Y.-Y. Mass Transfer and Chemical Oxidation of Naphthalene Particles with Zerovalent Iron Activated Persulfate. Environ. Sci. Technol. 2010, 44, 8203–8208. [Google Scholar] [CrossRef] [PubMed]
- Wang, L.; Yao, Y.; Zhang, Z.; Sun, L.; Lu, W.; Chen, W.; Chen, H. Activated carbon fibers as an excellent partner of Fenton catalyst for dyes decolorization by combination of adsorption and oxidation. Chem. Eng. J. 2014, 251, 348–354. [Google Scholar] [CrossRef]
- Yurdakal, S.; Loddo, V.; Augugliaro, V.; Berber, H.; Palmisano, G. Photodegradation of pharmaceutical drugs in aqueous TiO2 suspensions: Mechanism and kinetics. Catal. Today 2007, 129, 9–15. [Google Scholar] [CrossRef]
- Huang, C.-M.; Pan, G.-T.; Li, Y.-C.M.; Li, M.-H.; Yang, T.C.-K. Crystalline phases and photocatalytic activities of hydrothermal synthesis Ag3VO4 and Ag4V2O7 under visible light irradiation. Appl. Catal. A Gen. 2009, 358, 164–172. [Google Scholar] [CrossRef]
- Ma, Y.; Rheingans, B.; Liu, F.; Mittemeijer, E.J. Isochronal crystallization kinetics of Fe40Ni40B20 amorphous alloy. J. Mater. Sci. 2013, 48, 5596–5606. [Google Scholar] [CrossRef]
- Niu, Y.; Bian, X.; Wang, W. Origin of ductile–brittle transition of amorphous Fe78Si9B13 ribbon during low temperature annealing. J. Non-Cryst. Solids 2004, 341, 40–45. [Google Scholar] [CrossRef]
- Mariano, N.; Souza, C.; May, J.; Kuri, S. Influence of Nb content on the corrosion resistance and saturation magnetic density of FeCuNbSiB alloys. Mater. Sci. Eng. A 2003, 354, 1–5. [Google Scholar] [CrossRef]
- Lin, B.; Bian, X.; Wang, P.; Luo, G. Application of Fe-based metallic glasses in wastewater treatment. Mater. Sci. Eng. B 2012, 177, 92–95. [Google Scholar] [CrossRef]











| Ion | Ion Concentration (mg·L−1) | |
|---|---|---|
| Before Reaction | After Reaction | |
| Li+ | <0.2 | <0.2 |
| K+ | 6.4 | 8.1 |
| Mg+ | 5.4 | 7.1 |
| Fe2+/Fe3+ | 2.5 | 251.3 |
| Ca2+ | 29.9 | 40.3 |
| Si4+ | 4.0 | 10.7 |
| B3+ | 5.8 | 11.7 |
Publisher’s Note: MDPI stays neutral with regard to jurisdictional claims in published maps and institutional affiliations. |
© 2022 by the authors. Licensee MDPI, Basel, Switzerland. This article is an open access article distributed under the terms and conditions of the Creative Commons Attribution (CC BY) license (https://creativecommons.org/licenses/by/4.0/).
Share and Cite
Liu, Y.; Zhao, B.; Ma, G.; Zhang, S.; Zhang, H.; Zhu, Z. Fenton-like Remediation for Industrial Oily Wastewater Using Fe78Si9B13 Metallic Glasses. Catalysts 2022, 12, 1038. https://doi.org/10.3390/catal12091038
Liu Y, Zhao B, Ma G, Zhang S, Zhang H, Zhu Z. Fenton-like Remediation for Industrial Oily Wastewater Using Fe78Si9B13 Metallic Glasses. Catalysts. 2022; 12(9):1038. https://doi.org/10.3390/catal12091038
Chicago/Turabian StyleLiu, Yulong, Bowen Zhao, Guofeng Ma, Shiming Zhang, Haifeng Zhang, and Zhengwang Zhu. 2022. "Fenton-like Remediation for Industrial Oily Wastewater Using Fe78Si9B13 Metallic Glasses" Catalysts 12, no. 9: 1038. https://doi.org/10.3390/catal12091038
APA StyleLiu, Y., Zhao, B., Ma, G., Zhang, S., Zhang, H., & Zhu, Z. (2022). Fenton-like Remediation for Industrial Oily Wastewater Using Fe78Si9B13 Metallic Glasses. Catalysts, 12(9), 1038. https://doi.org/10.3390/catal12091038

