Chemocatalytic Conversion of Lignocellulosic Biomass to Ethanol: A Mini-Review
Abstract
1. Introduction
2. Chemocatalytic Conversion of Biomass-Derived Carbohydrates to Ethanol
2.1. Two-Step Process
2.2. One-Pot Approach
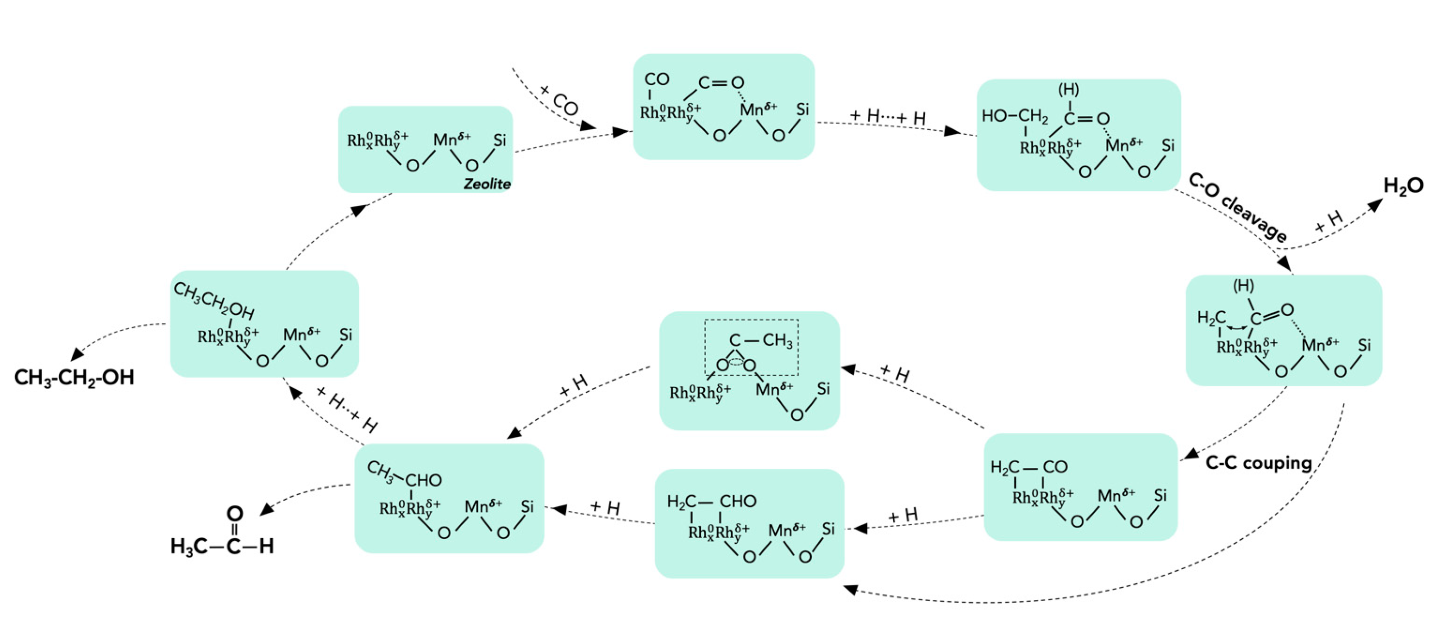
3. Conversion of Biomass-Derived Syngas to Ethanol
3.1. Multi-Step Processes
3.2. One-Pot Processes
4. Conclusions and Perspectives
Author Contributions
Funding
Data Availability Statement
Acknowledgments
Conflicts of Interest
References
- OECD/FAO. OECD-FAO Agricultural Outlook 2015-2024; OECD Publishing: Paris, France, 2015. [Google Scholar]
- Jambo, S.A.; Abdulla, R.; Mohd Azhar, S.H.; Marbawi, H.; Gansau, J.A.; Ravindra, P. A review on third generation bioethanol feedstock. Renew. Sustain. Energy Rev. 2016, 65, 756–769. [Google Scholar] [CrossRef]
- Stephen, J.D.; Mabee, W.E.; Saddler, J.N. Will second-generation ethanol be able to compete with first-generation ethanol? Opportunities for cost reduction. Biofuels Bioprod. Bioref. 2012, 6, 159–176. [Google Scholar] [CrossRef]
- Aarum, I.; Devle, H.; Ekeberg, D.; Horn, S.J.; Stenstrøm, Y. Characterization of pseudo-lignin from steam exploded birch. ACS Omega 2018, 3, 4924–4931. [Google Scholar] [CrossRef]
- Sun, Y.; Cheng, J.J. Dilute acid pretreatment of rye straw and bermudagrass for ethanol production. Bioresour. Technol. 2005, 96, 1599–1606. [Google Scholar] [CrossRef]
- Zhang, K.; Pei, Z.; Wang, D. Organic solvent pretreatment of lignocellulosic biomass for biofuels and biochemicals: A review. Bioresour. Technol. 2016, 199, 21–33. [Google Scholar] [CrossRef] [PubMed]
- Liu, J.; Hu, H.; Gong, Z.; Yang, G.; Li, R.; Chen, L.; Huang, L.; Luo, X. Near-complete removal of non-cellulosic components from bamboo by 1-pentanol induced organosolv pretreatment under mild conditions for robust cellulose enzymatic hydrolysis. Cellulose 2019, 26, 3801–3814. [Google Scholar] [CrossRef]
- Chen, L.; Dou, J.; Ma, Q.; Li, N.; Wu, R.; Bian, H.; Yelle, D.J.; Vuorinen, T.; Fu, S.; Pan, X.; et al. Rapid and near-complete dissolution of wood lignin at ≤ 80 °C by a recyclable acid hydrotrope. Sci. Adv. 2017, 3, 1–11. [Google Scholar] [CrossRef]
- Luo, X.; Gong, Z.; Shi, J.; Chen, L.; Zhu, W.; Zhou, Y.; Huang, L.; Liu, J. Integrating benzenesulfonic acid pretreatment and bio-based lignin-shielding agent for robust enzymatic conversion of cellulose in bamboo. Polymers 2020, 12, 191. [Google Scholar] [CrossRef]
- Bosch, S.V.d.; Schutyser, W.; Vanholme, R.; Driessen, T.; Koelewijn, S.; Renders, T.; Meester, B.D.; Huijgen, W.J.J.; Dehaen, W.; Courtin, C.M.; et al. Reductive lignocellulose fractionation into soluble lignin-derived phenolic mono- and dimers and processable carbohydrate pulp. Energy Environ. Sci. 2015, 8, 1748–1763. [Google Scholar] [CrossRef]
- Liao, Y.; Koelewijn, S.F.; Van den Bossche, G.; Sels, B.F. A sustainable wood biorefinery for low–carbon footprint chemicals production. Science 2020, 367, 1385–1390. [Google Scholar] [CrossRef]
- The State of Food and Agriculture 2008. Biofuels: Prospects, Risks and Opportunities; FAO Publishing: Rome, Italy, 2008; Available online: http://www.fao.org/3/i0100e/i0100e.pdf (accessed on 5 August 2021).
- Tse, T.J.; Wiens, D.J.; Reaney, M.J.T. Production of bioethanol—A review of factors affecting ethanol yield. Fermentation 2021, 7, 268. [Google Scholar] [CrossRef]
- Corbin, K.R.; Byrt, C.S.; Bauer, S.; DeBolt, S.; Chambers, D.; Holtum, J.A.; Karem, G.; Henderson, M.; Lahnstein, J.; Beahan, C.T.; et al. Prospecting for energy-rich renewable raw materials: Agave leaf case study. PLoS One 2015, 10, 1–23. [Google Scholar] [CrossRef]
- Nwakaire, J.N.; Ezeoha, S.L.; Ugwuishiwu, B.O. Production of cellulosic ethanol from wood sawdust. Agric. Eng. Int. CIGR J. 2013, 15, 136–140. [Google Scholar]
- Arifin, Y.; Tanudjaja, E.; Dimyati, A.; Pinontoan, R. A second generation biofuel from cellulosic agricultural by-product fermentation using clostridium species for electricity generation. Energy Procedia 2014, 47, 310–315. [Google Scholar] [CrossRef][Green Version]
- Kennes, D.; Abubackar, H.N.; Diaz, M.; Veiga, M.C.; Kennes, C. Bioethanol production from biomass: Carbohydrate vs syngas fermentation. J. Chem. Technol. Biotechnol. 2016, 91, 304–317. [Google Scholar] [CrossRef]
- Palmqvist, E.; Hägerdal, B.H. Fermentation of lignocellulosic hydrolysates. II: Inhibitors and mechanisms of inhibition. Bioresour. Technol. 2000, 74, 25–33. [Google Scholar] [CrossRef]
- Modig, T.; Lidén, G.; Taherzadeh, M.J. Inhibition effects of furfural on alcohol dehydrogenase, aldehyde dehydrogenase and pyruvate dehydrogenase. Biochem. J. 2002, 363, 769–776. [Google Scholar] [CrossRef]
- Palkovits, R.; Tajvidi, K.; Procelewska, J.; Rinaldi, R.; Ruppert, A. Hydrogenolysis of cellulose combining mineral acids and hydrogenation catalysts. Green Chem. 2010, 12, 972–978. [Google Scholar] [CrossRef]
- Orozco, A.M.; Al-Muhtaseb, A.a.H.; Albadarin, A.B.; Rooney, D.; Walkera, G.M.; Ahmad, M.N.M. Acid-catalyzed hydrolysis of cellulose and cellulosic waste using a microwave reactor system. Rsc Adv. 2011, 1, 839–846. [Google Scholar] [CrossRef]
- Li, Z.; Fei, B.; Jiang, Z. Comparison of dilute organic and sulfuric acid pretreatment for enzymatic hydrolysis of bamboo. BioResources 2014, 9, 5652–5661. [Google Scholar] [CrossRef][Green Version]
- Tarabanko, N.; Baryshnikov, S.V.; Kazachenko, A.S.; Miroshnikova, A.; Skripnikov, A.M.; Lavrenov, A.V.; Taran, O.P.; Kuznetsov, B.N. Hydrothermal hydrolysis of microcrystalline cellulose from birch wood catalyzed by Al2O3-B2O3 mixed oxides. Wood Sci. Technol. 2022, 56, 437–457. [Google Scholar] [CrossRef]
- Himmel, M.E.; Ding, S.; Johnson, D.K.; Adney, W.S.; Nimlos, M.R.; Brady, J.W.; Foust, T.D. Biomass recalcitrance: Engineering plants and enzymes for biofuels production. Science 2007, 315, 804–807. [Google Scholar] [CrossRef]
- Wei, N.; Quarterman, J.; Kim, S.R.; Cate, J.H.D.; Jin, Y. Enhanced biofuel production through coupled acetic acid and xylose consumption by engineered yeast. Nat. Commun. 2013, 4, 2580–2588. [Google Scholar] [CrossRef]
- Zhang, L.; Wang, W.; Wang, A.; Cui, Y.; Yang, X.; Huang, Y.; Liu, X.; Liu, W.; Son, J.; Oji, H.; et al. Aerobic oxidative coupling of alcohols and amines over Au–Pd/resin in water: Au/Pd molar ratios switch the reaction pathways to amides or imines. Green Chem. 2013, 15, 2680–2684. [Google Scholar] [CrossRef]
- Liu, Y.; Luo, C.; Liu, H. Tungsten trioxide promoted selective conversion of cellulose into propylene glycol and ethylene glycol on a ruthenium catalyst. Angew. Chem. Int. Ed. 2012, 51, 3249–3253. [Google Scholar] [CrossRef]
- Xu, G.; Wang, A.; Pang, J.; Zhao, X.; Xu, J.; Lei, N.; Wang, J.; Zheng, M.; Yin, J.; Zhang, T. Chemocatalytic conversion of cellulosic biomass to methyl glycolate, ethylene glycol, and ethanol. ChemSusChem 2017, 10, 1390–1394. [Google Scholar] [CrossRef]
- Wen, C.; Cui, Y.; Chen, X.; Zong, B.; Dai, W.-L. Reaction temperature controlled selective hydrogenation of dimethyl oxalate to methyl glycolate and ethylene glycol over copper-hydroxyapatite catalysts. Appl. Catal. B Environ. 2015, 162, 483–493. [Google Scholar] [CrossRef]
- Yang, C.; Miao, Z.; Zhang, F.; Li, L.; Liu, Y.; Wang, A.; Zhang, T. Hydrogenolysis of methyl glycolate to ethanol over a Pt–Cu/SiO2 single-atom alloy catalyst: A further step from cellulose to ethanol. Green Chem. 2018, 20, 2142–2150. [Google Scholar] [CrossRef]
- Song, H.; Wang, P.; Li, S.; Deng, W.; Li, Y.; Zhang, Q.; Wang, Y. Direct conversion of cellulose into ethanol catalysed by a combination of tungstic acid and zirconia-supported Pt nanoparticles. Chem. Commun. 2019, 55, 4303–4306. [Google Scholar] [CrossRef]
- Yang, M.; Qi, H.; Liu, F.; Ren, Y.; Pan, X.; Zhang, L.; Liu, X.; Wang, H.; Pang, J.; Zheng, M.; et al. One-pot production of cellulosic ethanol via tandem catalysis over a multifunctional Mo/Pt/WOx catalyst. Joule 2019, 3, 1937–1948. [Google Scholar] [CrossRef]
- Li, C.; Xu, G.; Wang, C.; Ma, L.; Qiao, Y.; Zhang, Y.; Fu, Y. One-pot chemocatalytic transformation of cellulose to ethanol over Ru-WOx/HZSM-5. Green Chem. 2019, 21, 2234–2239. [Google Scholar] [CrossRef]
- Liu, Q.; Wang, H.; Xin, H.; Wang, C.; Yan, L.; Wang, Y.; Zhang, Q.; Zhang, X.; Xu, Y.; Huber, G.W.; et al. Selective cellulose hydrogenolysis to ethanol using Ni@C combined with phosphoric acid catalysts. ChemSusChem 2019, 12, 3977–3987. [Google Scholar] [CrossRef]
- Hayashi, T.; Inagaki, T.; Itayama, N.; Baba, H. Selective oxidation of alcohol over supported gold catalysts: Methyl glycolate formation from ethylene glycol and methanol. Catal. Today 2006, 117, 210–213. [Google Scholar] [CrossRef]
- Liu, X.; Liu, X.; Xu, G.; Zhang, Y.; Wang, C.; Lu, Q.; Ma, L. Highly efficient catalytic conversion of cellulose into acetol over Ni–Sn supported on nanosilica and the mechanism study. Green Chem. 2019, 21, 5647–5656. [Google Scholar] [CrossRef]
- Luo, X.; Gong, Z.; Yang, G.; Huang, L.; Chen, L.; Shuai, L. In-situ oxidation/reduction facilitates one-pot conversion of lignocellulosic biomass to bulk chemicals in alkaline solution. Chem. Eng. J. 2022, 429, 132365. [Google Scholar] [CrossRef]
- Zhao, G.; Zheng, M.; Zhang, J.; Wang, A.; Zhang, T. Catalytic conversion of concentrated glucose to ethylene glycol with semicontinuous reaction system. Ind. Eng. Chem. Res. 2013, 52, 9566–9572. [Google Scholar] [CrossRef]
- Ciliberti, C.; Biundo, A.; Albergo, R.; Agrimi, G.; Braccio, G.; de Bari, I.; Pisano, I. Syngas derived from lignocellulosic biomass gasification as an alternative resource for innovative bioprocesses. Processes 2020, 8, 1567. [Google Scholar] [CrossRef]
- Luk, H.T.; Mondelli, C.; Ferre, D.C.; Stewart, J.A.; Perez-Ramirez, J. Status and prospects in higher alcohols synthesis from syngas. Chem. Soc. Rev. 2017, 46, 1358–1426. [Google Scholar] [CrossRef]
- Climent, M.J.; Corma, A.; Iborra, S.; Sabater, M.J. Heterogeneous catalysis for tandem reactions. ACS Catal. 2014, 4, 870–891. [Google Scholar] [CrossRef]
- Wang, S.; Yin, S.; Guo, W.; Liu, Y.; Zhu, L.; Wang, X. Influence of inlet gas composition on dimethyl ether carbonylation and the subsequent hydrogenation of methyl acetate in two-stage ethanol synthesis. New J. Chem. 2016, 40, 6460–6466. [Google Scholar] [CrossRef]
- Zhang, F.; Chen, K.; Jiang, Q.; He, S.; Chen, Q.; Liu, Z.; Kang, J.; Zhang, Q.; Wang, Y. Selective transformation of methanol to ethanol in the presence of syngas over composite catalysts. ACS Catal. 2022, 12, 8451–8461. [Google Scholar] [CrossRef]
- Zhou, W.; Kang, J.; Cheng, K.; He, S.; Shi, J.; Zhou, C.; Zhang, Q.; Chen, J.; Peng, L.; Chen, M.; et al. Direct conversion of syngas into methyl acetate, ethanol, and ethylene by relay catalysis via the intermediate dimethyl ether. Angew. Chem. Int. Ed. 2018, 57, 12012–12016. [Google Scholar] [CrossRef]
- Yang, G.; Tsubaki, N.; Shamoto, J.; Yoneyama, Y.; Zhang, Y. Confinement effect and synergistic function of H-ZSM-5/ Cu-ZnO-Al2O3 capsule catalyst for one-step controlled synthesis. J. Am. Chem. Soc. 2010, 132, 8129–8136. [Google Scholar] [CrossRef]
- Cheung, P.; Bhan, A.; Sunley, G.J.; Iglesia, E. Selective carbonylation of dimethyl ether to methyl acetate catalyzed by acidic zeolites. Angew. Chem. Int. Ed. 2006, 45, 1617–1620. [Google Scholar] [CrossRef]
- Xue, H.; Huang, X.; Ditzel, E.; Zhan, E.; Ma, M.; Shen, W. Dimethyl ether carbonylation to methyl acetate over nanosized mordenites. Ind. Eng. Chem. Res. 2013, 52, 11510–11515. [Google Scholar] [CrossRef]
- Carrillo, P.; Shi, R.; Teeluck, K.; Senanayake, S.D.; White, M.G. In situ formation of FeRh nanoalloys for oxygenate synthesis. ACS Catal. 2018, 8, 7279–7286. [Google Scholar] [CrossRef]
- Toyoda, T.; Minami, T.; Qian, E.W. Mixed alcohol synthesis over sulfided molybdenum-based catalysts. Energy Fuels 2013, 27, 3769–3777. [Google Scholar] [CrossRef]
- Ma, C.H.; Li, H.Y.; Lin, G.D.; Zhang, H.B. Ni-decorated carbon nanotube-promoted Ni–Mo–K catalyst for highly efficient synthesis of higher alcohols from syngas. Appl. Catal. B Environ. 2010, 100, 245–253. [Google Scholar] [CrossRef]
- Gu, Y.; Han, C.; Huang, J.; Vinokurov, V.A.; Huang, W. CuZnAlOOH catalysts with Cu0/Cu+ constructed by two-step hydrolysis for ethanol production from syngas. Fuel 2022, 322, 124111–124121. [Google Scholar] [CrossRef]
- Kang, J.; He, S.; Zhou, W.; Shen, Z.; Li, Y.; Chen, M.; Zhang, Q.; Wang, Y. Single-pass transformation of syngas into ethanol with high selectivity by triple tandem catalysis. Nat. Commun. 2020, 11, 827–838. [Google Scholar] [CrossRef]
- Yao, J.; Feng, X.; Fan, J.; Komiyama, S.; Kugue, Y.; Guo, X.; He, Y.; Yang, G.; Tsubaki, P.N. Self-assembled nano-filamentous zeolite catalyst to realize efficient one-step ethanol synthesis. Chem. Eur. J. 2022, 1–12. [Google Scholar] [CrossRef] [PubMed]
- Wang, J.; Zhang, Q.; Wang, Y. Rh-catalyzed syngas conversion to ethanol: Studies on the promoting effect of FeOx. Catal. Today 2011, 171, 257–265. [Google Scholar] [CrossRef]
- Chen, Y.; Zhang, H.; Ma, H.; Qian, W.; Jin, F.; Ying, W. Direct conversion of syngas to ethanol over Rh–Fe/γ-Al2O3 catalyst: Promotion effect of Li. Catal. Lett. 2018, 148, 691–698. [Google Scholar] [CrossRef]
- Liu, Y.; Murata, K.; Inaba, M.; Takahara, I.; Okabe, K. Synthesis of ethanol from syngas over Rh/Ce1−xZrxO2 catalysts. Catal. Today 2011, 164, 308–314. [Google Scholar] [CrossRef]
- Pan, X.; Fan, Z.; Chen, W.; Ding, Y.; Luo, H.; Bao, X. Enhanced ethanol production inside carbon-nanotube reactors containing catalytic particles. Nat. Mater. 2007, 6, 507–511. [Google Scholar] [CrossRef]
- Mao, W.; Su, J.; Zhang, Z.; Xu, X.; Dai, W.; Fu, D.; Xu, J.; Zhou, X.; Han, Y. Kinetics study of C2+ oxygenates synthesis from syngas over Rh–MnOx /SiO2 catalysts. Chem. Eng. Sci. 2015, 135, 312–322. [Google Scholar] [CrossRef]
- Hu, J.; Wang, Y.; Cao, C.; Elliott, D.C.; Stevens, D.J.; White, J.F. Conversion of biomass-derived syngas to alcohols and C2 oxygenates using supported Rh catalysts in a microchannel reactor. Catal. Today 2007, 120, 90–95. [Google Scholar] [CrossRef]
- Wang, C.; Zhang, J.; Qin, G.; Wang, L.; Zuidema, E.; Yang, Q.; Dang, S.; Yang, C.; Xiao, J.; Meng, X.; et al. Direct conversion of syngas to ethanol within zeolite crystals. Chem 2020, 6, 646–657. [Google Scholar] [CrossRef]
- Sun, K.; Gao, X.; Bai, Y.; Tan, M.; Yang, G.; Tan, Y. Synergetic catalysis of bimetallic copper–cobalt nanosheets for direct synthesis of ethanol and higher alcohols from syngas. Catal. Sci. Technol. 2018, 8, 3936–3947. [Google Scholar] [CrossRef]
- Zeng, Z.; Li, Z.; Guan, T.; Guo, S.; Hu, Z.; Wang, J.; Rykov, A.; Lv, J.; Huang, S.; Wang, Y.; et al. CoFe alloy carbide catalysts for higher alcohols synthesis from syngas: Evolution of active sites and Na promoting effect. J. Catal. 2022, 405, 430–444. [Google Scholar] [CrossRef]
- Li, L.; Wang, Q.; Liu, H.; Sun, T.; Fan, D.; Yang, M.; Tian, P.; Liu, Z. Preparation of spherical mordenite zeolite assemblies with excellent catalytic performance for dimethyl ether carbonylation. ACS Appl. Mater. Interfaces 2018, 10, 32239–32246. [Google Scholar] [CrossRef]
- Ham, H.; Jung, H.S.; Kim, H.S.; Kim, J.; Cho, S.J.; Lee, W.B.; Park, M.-J.; Bae, J.W. Gas-phase carbonylation of dimethyl ether on the stable seed-derived ferrierite. ACS Catal. 2020, 10, 5135–5146. [Google Scholar] [CrossRef]
- Zhang, Y.; Grass, M.E.; Kuhn, J.N.; Tao, F.; Habas, S.E.; Huang, W.; Yang, P.; Somorjai, G.A. Highly selective synthesis of catalytically active monodisperse rhodium nanocubes. J. Am. Chem. Soc. 2008, 130, 5868–5869. [Google Scholar] [CrossRef]
- Stevenson, S.A.; Kniiziuger, H. Carbon monoxide hydrogenation on supported Rh-Mn catalysts. J. Mol. Catal. 1990, 63, 201–211. [Google Scholar]
- Ojeda, M.; Granados, M.L.; Rojas, S.; Terreros, P.; García-García, F.J.; Fierro, J.L.G. Manganese-promoted Rh/Al2O3 for C2-oxygenates synthesis from syngas. Appl. Catal. A Gen. 2004, 261, 47–55. [Google Scholar] [CrossRef]
- Lausche, A.C.; Medford, A.J.; Khan, T.S.; Xu, Y.; Bligaard, T.; Abild-Pedersen, F.; Nørskov, J.K.; Studt, F. On the effect of coverage-dependent adsorbate–adsorbate interactions for CO methanation on transition metal surfaces. J. Catal. 2013, 307, 275–282. [Google Scholar] [CrossRef]
- Mei, D.; Rousseau, R.; Kathmann, S.M.; Glezakou, V.-A.; Engelhard, M.H.; Jiang, W.; Wang, C.; Gerber, M.A.; White, J.F.; Stevens, D.J. Ethanol synthesis from syngas over Rh-based/SiO2 catalysts: A combined experimental and theoretical modeling study. J. Catal. 2010, 271, 325–342. [Google Scholar] [CrossRef]
- Cao, A.; Schumann, J.; Wang, T.; Zhang, L.; Xiao, J.; Bothra, P.; Liu, Y.; Abild-Pedersen, F.; Nørskov, J.K. Mechanistic insights into the synthesis of higher alcohols from syngas on CuCo alloys. ACS Catal. 2018, 8, 10148–10155. [Google Scholar] [CrossRef]











| En. | Substrate | Substrate Loading, wt% | Solvent/Catalyst | Catalyst Loading, wt% | P(H2), Mpa | Reaction Temperature, °C/Time, h | Ethanol Yields, C% | Ref. |
|---|---|---|---|---|---|---|---|---|
| 1 | MG | 10 | THF, Cu/SiO2 | 10 | 3 | 280 | 29.0 | [28] |
| 2 | MG | 10 | Methanol, 0.1 Pt-Cu/SiO2 | 10 | 3 | 230 | 76.7 | [30] |
| 3 | MG | 10 | Methanol, Cu/SiO2 | 10 | 3 | 230 | 23.1 | [30] |
| 4 | Cellulose | 1 | H2O, H2WO4-Pt/ZrO2, | 0.25/0.5 | 4 | 230/5 | 32.0 | [31] |
| 5 | Cellulose | 1.5 | H2O, 0.1Mo/2Pt/WOx | 1 | 6 | 265/2 | 43.2 | [32] |
| 6 | Cellulose | 10 | H2O, 0.1Mo/2Pt/WOx | 1 | 6 | 245/2 | 25.6 | [32] |
| 7 | Cornstalk | 1.5 | H2O, 0.1Mo/2Pt/WOx | 1 | 6 | 245/2 | 25.5 | [32] |
| 8 | Miscanthus | 1.5 | H2O, 0.1Mo/2Pt/WOx | 1 | 6 | 245/2 | 26.3 | [32] |
| 9 | Birch | 1.5 | H2O, 0.1Mo/2Pt/WOx | 1 | 6 | 245/2 | 29.0 | [32] |
| 10 | Alkaline-pretreated miscanthus | 1.5 | H2O, 0.1Mo/2Pt/WOx | 1 | 6 | 245/2 | 41.3 | [32] |
| 11 | Cellulose | 1 | H2O, 5Ru-25WOx/HZSM-5 | 1 | 3 | 235/20 | 76.8 | [33] |
| 12 | Cellulose | 1 | H2O, 5Ru-25WOx/HZSM-5 + 5Ru/WOx | 1/1 | 3 | 235/20 | 87.5 | [33] |
| 13 | Cellulose | 1 | 0.06 M H3PO4 aqueous solution, Ni@C-700 | 0.375 | 5.5 | 200/3 | 69.1 | [34] |
| 14 | Cellobiose | 1 | 0.06 M H3PO4 aqueous solution, Ni@C-700 | 0.375 | 5.5 | 200/3 | 39.6 | [34] |
| 15 | Glucose | 1 | 0.06 M H3PO4 aqueous solution, Ni@C-700 | 0.375 | 5.5 | 200/3 | 35.4 | [34] |
| En. | Catalyst | T, °C | P, MPa | H2/CO | WHSV | CO Conv. | Selectivity, % | Ref. |
|---|---|---|---|---|---|---|---|---|
| 1 | 7Rh/NFe2O3 | 240 | 0.1 | 0.5 | 1140 h−1 | 2.0 | 27.3 | [48] |
| 2 | K(C)06Co05MoAl1000 | 260 | 7.0 | 1.0 | 5000 h−1 | 4.4 | 31.6 | [49] |
| 3 | Ni1Mo1K0.05−Ni/CNTs | 285 | 5.0 | 1.0 | 3000 mLSTP h−1 g−1 | 15.5 | 23.4 | [50] |
| 4 | CuZnAlOOH | 250 | 4.5 | 2.0 | 150 mL/min | 3.63 | 55.5 | [51] |
| 5 | K+−ZnO−ZrO2│H-MOR−DA−12MR│Pt-Sn/SiC | 270 | 5.0 | 1.0 | 25 mL min−1 | 3.9 | 90.0 | [52] |
| 6 | NF-MOR&CZ/SiO2 | 220 | 1.5 | 2.0 | 20 mL/min | - | 54.9 | [53] |
| 7 | 1.0%Rh/(5.0%FeOx-SiO2) | 250 | 2.0 | 2.0 | 8000 mL g(cat)−1 h−1 | 6.1 | 45.0 | [54] |
| 8 | 2.5Rh4Fe0.5Li/γ-Al2O3 | 260 | 2.0 | 2.0 | 3600 mL/(g·h) | 10.5 | 30.2 | [55] |
| 9 | Rh/Ce0.8Zr0.2O2 | 275 | 2.4 | 2.0 | W/F = 10 g h mol−1 | 27.3 | 25.2 | [56] |
| 10 | RhMn in CNTs | 320 | 3.0 | 2.0 | 12,000 h−1 | 8.3 | 40.0 | [57] |
| 11 | Rh | 270 | 3.0 | 2.0 | 4000 h−1 | 5.0 | 8.2 | [58] |
| 12 | 1.5Rh–0.4Mn/SiO2 | 270 | 3.0 | 2.0 | 4000 h−1 | 17 | 17.7 | [58] |
| 13 | 1.5Rh–4Mn/SiO2 | 270 | 3.0 | 2.0 | 4000 h−1 | 5.8 | 17.7 | [58] |
| 14 | Rh Mn /SiO2 | 265 | 5.4 | 2.0 | 1700 h−1 | 25.1 | 61.4 | [59] |
| 15 | RhMn@S-1 | 320 | 3.0 | 2.0 | 30 mL min−1 | 42.4 | 67.8 | [60] |
| 16 | Cu2Co1Al | 270 | 2.5 | 2.0 | 7500 h−1 | 29.2 | 34.3 | [61] |
| 17 | CoFe-300 | 280 | 3.0 | 2.0 | 10,800 mL (gcat h)−1 | 52.2 | 35.0 | [62] |
Publisher’s Note: MDPI stays neutral with regard to jurisdictional claims in published maps and institutional affiliations. |
© 2022 by the authors. Licensee MDPI, Basel, Switzerland. This article is an open access article distributed under the terms and conditions of the Creative Commons Attribution (CC BY) license (https://creativecommons.org/licenses/by/4.0/).
Share and Cite
Gong, Z.; Lv, X.; Yang, J.; Luo, X.; Shuai, L. Chemocatalytic Conversion of Lignocellulosic Biomass to Ethanol: A Mini-Review. Catalysts 2022, 12, 922. https://doi.org/10.3390/catal12080922
Gong Z, Lv X, Yang J, Luo X, Shuai L. Chemocatalytic Conversion of Lignocellulosic Biomass to Ethanol: A Mini-Review. Catalysts. 2022; 12(8):922. https://doi.org/10.3390/catal12080922
Chicago/Turabian StyleGong, Zhenggang, Xianqing Lv, Junhui Yang, Xiaolin Luo, and Li Shuai. 2022. "Chemocatalytic Conversion of Lignocellulosic Biomass to Ethanol: A Mini-Review" Catalysts 12, no. 8: 922. https://doi.org/10.3390/catal12080922
APA StyleGong, Z., Lv, X., Yang, J., Luo, X., & Shuai, L. (2022). Chemocatalytic Conversion of Lignocellulosic Biomass to Ethanol: A Mini-Review. Catalysts, 12(8), 922. https://doi.org/10.3390/catal12080922

