N-Heterocyclic Carbene Gold Complexes Active in Hydroamination and Hydration of Alkynes
Abstract
:1. Introduction
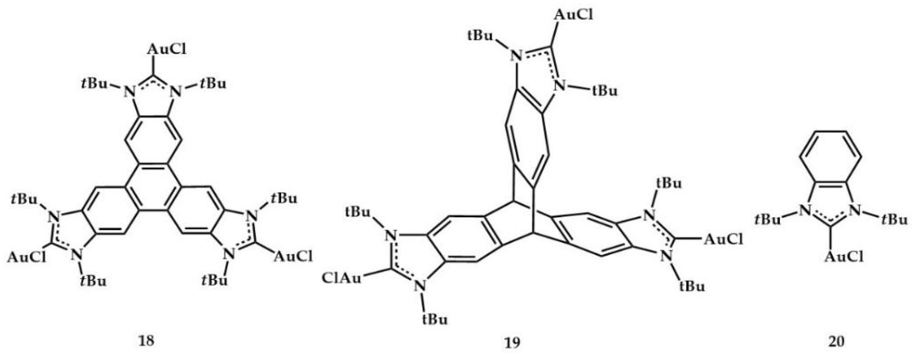
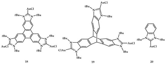
2. Hydroamination of Alkynes
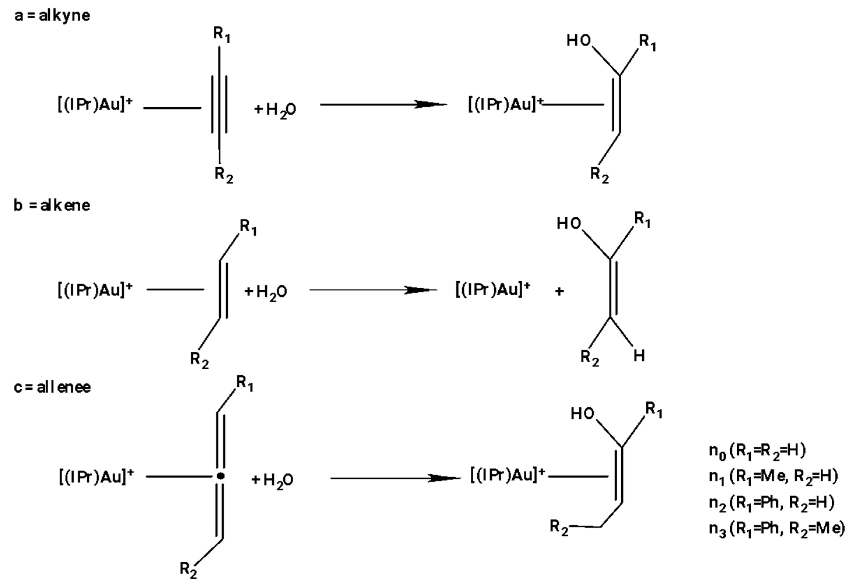
3. Hydration of Alkynes
4. Conclusions
Author Contributions
Funding
Data Availability Statement
Acknowledgments
Conflicts of Interest
References
- Hashmi, A.S.K.; Hutchings, G.J. Gold Catalysis. Angew. Chem. Int. Ed. 2006, 45, 7896–7936. [Google Scholar] [CrossRef] [PubMed]
- Hashmi, A.S.K. Gold-Catalyzed Organic Reactions. Chem. Rev. 2007, 107, 3180–3211. [Google Scholar] [CrossRef] [PubMed]
- Hashmi, A.S.K. Homogeneous Gold Catalysis Beyond Assumptions and Proposals-Characterized Intermediates. Angew. Chem. Int. Ed. 2010, 49, 5232–5241. [Google Scholar] [CrossRef] [PubMed]
- Naodovic, M.; Yamamoto, H. Asymmetric Silver-Catalyzed Reactions. Chem. Rev. 2008, 108, 3132–3148. [Google Scholar] [CrossRef]
- Weibel, J.-M.; Blanc, A.; Pale, P. Ag-Mediated Reactions: Coupling and Heterocyclization Reactions. Chem. Rev. 2008, 108, 3149–3173. [Google Scholar] [CrossRef]
- Álvarez-Corral, M.; Muñoz-Dorado, M.; Rodríguez-García, I. Silver-Mediated Synthesis of Heterocycles. Chem. Rev. 2008, 108, 3174–3198. [Google Scholar] [CrossRef]
- Arduengo, A.J.; Harlow, R.L.; Kline, M. A Stable Crystalline Carbene. J. Am. Chem. Soc. 1991, 113, 361–363. [Google Scholar] [CrossRef]
- Frenking, G.; Solà, M.; Vyboishchikov, S.F. Chemical Bonding in Transition Metal Carbene Complexes. J. Organomet. Chem. 2005, 690, 6178–6204. [Google Scholar] [CrossRef]
- Falivene, L.; Cavallo, L. Theoretical NMR Spectroscopy of N-Heterocyclic Carbenes and Their Metal Complexes. Coord. Chem. Rev. 2017, 344, 101–114. [Google Scholar] [CrossRef] [Green Version]
- Díez-González, S.; Marion, N.; Nolan, S.P. N-Heterocyclic Carbenes in Late Transition Metal Catalysis. Chem. Rev. 2009, 109, 3612–3676. [Google Scholar] [CrossRef]
- Mukherjee, S.; Yang, J.W.; Hoffmann, S.; List, B. Asymmetric Enamine Catalysis. Chem. Rev. 2007, 107, 5471–5569. [Google Scholar] [CrossRef]
- Liu, X.-Y.; Ding, P.; Huang, J.-S.; Che, C.-M. Synthesis of Substituted 1,2-Dihydroquinolines and Quinolines from Aromatic Amines and Alkynes by Gold(I)-Catalyzed Tandem Hydroamination−Hydroarylation under Microwave-Assisted Conditions. Org. Lett. 2007, 9, 2645–2648. [Google Scholar] [CrossRef]
- Lavallo, V.; Frey, G.D.; Donnadieu, B.; Soleilhavoup, M.; Bertrand, G. Homogeneous Catalytic Hydroamination of Alkynes and Allenes with Ammonia. Angew. Chem. Int. Ed. 2008, 47, 5224–5228. [Google Scholar] [CrossRef] [Green Version]
- Zeng, X.; Frey, G.D.; Kousar, S.; Bertrand, G. A Cationic Gold(I) Complex as a General Catalyst for the Intermolecular Hydroamination of Alkynes: Application to the One-Pot Synthesis of Allenes from Two Alkynes and a Sacrificial Amine. Chem.-Eur. J. 2009, 15, 3056–3060. [Google Scholar] [CrossRef]
- Lavallo, V.; Frey, G.D.; Kousar, S.; Donnadieu, B.; Bertrand, G. Allene Formation by Gold Catalyzed Cross-Coupling of Masked Carbenes and Vinylidenes. Proc. Natl. Acad. Sci. USA 2007, 104, 13569–13573. [Google Scholar] [CrossRef] [Green Version]
- Zeng, X.; Frey, G.D.; Kinjo, R.; Donnadieu, B.; Bertrand, G. Synthesis of a Simplified Version of Stable Bulky and Rigid Cyclic (Alkyl)(Amino)Carbenes, and Catalytic Activity of the Ensuing Gold(I) Complex in the Three-Component Preparation of 1,2-Dihydroquinoline Derivatives. J. Am. Chem. Soc. 2009, 131, 8690–8696. [Google Scholar] [CrossRef] [Green Version]
- Dash, C.; Shaikh, M.M.; Butcher, R.J.; Ghosh, P. Highly Convenient Regioselective Intermolecular Hydroamination of Alkynes Yielding Ketimines Catalyzed by Gold(I) Complexes of 1,2,4-Triazole Based N-Heterocyclic Carbenes. Inorg. Chem. 2010, 49, 4972–4983. [Google Scholar] [CrossRef]
- Kinjo, R.; Donnadieu, B.; Bertrand, G. Gold-Catalyzed Hydroamination of Alkynes and Allenes with Parent Hydrazine. Angew. Chem. Int. Ed. 2011, 50, 5560–5563. [Google Scholar] [CrossRef]
- Alvarado, E.; Badaj, A.C.; Larocque, T.G.; Lavoie, G.G. N-Heterocyclic Carbenes and Imidazole-2-Thiones as Ligands for the Gold(I)-Catalysed Hydroamination of Phenylacetylene. Chem.-Eur. J. 2012, 18, 12112–12121. [Google Scholar] [CrossRef]
- Katari, M.; Rao, M.N.; Rajaraman, G.; Ghosh, P. Computational Insight into a Gold(I) N-Heterocyclic Carbene Mediated Alkyne Hydroamination Reaction. Inorg. Chem. 2012, 51, 5593–5604. [Google Scholar] [CrossRef]
- López-Gómez, M.J.; Martin, D.; Bertrand, G. Anti-Bredt N-Heterocyclic Carbene: An Efficient Ligand for the Gold(i)-Catalyzed Hydroamination of Terminal Alkynes with Parent Hydrazine. Chem. Commun. 2013, 49, 4483. [Google Scholar] [CrossRef] [PubMed]
- Gonell, S.; Poyatos, M.; Peris, E. Triphenylene-Based Tris(N-Heterocyclic Carbene) Ligand: Unexpected Catalytic Benefits. Angew. Chem. Int. Ed. 2013, 52, 7009–7013. [Google Scholar] [CrossRef]
- Hu, X.; Martin, D.; Bertrand, G. Room Temperature Hydroamination of Alkynes with Anilines Catalyzed by Anti-Bredt Di(Amino)Carbene Gold(i) Complexes. New J. Chem. 2016, 40, 5993–5996. [Google Scholar] [CrossRef]
- Martin, D.; Canac, Y.; Lavallo, V.; Bertrand, G. Comparative Reactivity of Different Types of Stable Cyclic and Acyclic Mono- and Diamino Carbenes with Simple Organic Substrates. J. Am. Chem. Soc. 2014, 136, 5023–5030. [Google Scholar] [CrossRef]
- Ibáñez, S.; Poyatos, M.; Peris, E. A D3h-Symmetry Hexaazatriphenylene-Tris-N-Heterocyclic Carbene Ligand and Its Coordination to Iridium and Gold: Preliminary Catalytic Studies. Chem. Commun. 2017, 53, 3733–3736. [Google Scholar] [CrossRef] [Green Version]
- Ibáñez, S.; Poyatos, M.; Peris, E. Gold Catalysts with Polyaromatic-NHC Ligands. Enhancement of Activity by Addition of Pyrene. Organometallics 2017, 36, 1447–1451. [Google Scholar] [CrossRef]
- Nair, A.G.; McBurney, R.T.; Gatus, M.R.D.; Binding, S.C.; Messerle, B.A. Gold(III) NHC Complexes for Catalyzing Dihydroalkoxylation and Hydroamination Reactions. Inorg. Chem. 2017, 56, 12067–12075. [Google Scholar] [CrossRef]
- Nuevo, D.; Poyatos, M.; Peris, E. A Dinuclear Au(I) Complex with a Pyrene-Di-N-Heterocyclic Carbene Linker: Supramolecular and Catalytic Studies. Organometallics 2018, 37, 3407–3411. [Google Scholar] [CrossRef]
- Baron, M.; Battistel, E.; Tubaro, C.; Biffis, A.; Armelao, L.; Rancan, M.; Graiff, C. Single-Step Synthesis of Dinuclear Neutral Gold(I) Complexes with Bridging Di(N-Heterocyclic Carbene) Ligands and Their Catalytic Performance in Cross Coupling Reactions and Alkyne Hydroamination. Organometallics 2018, 37, 4213–4223. [Google Scholar] [CrossRef]
- Michon, C.; Gilbert, J.; Trivelli, X.; Nahra, F.; Cazin, C.S.J.; Agbossou-Niedercorn, F.; Nolan, S.P. Gold(i) Catalysed Regio- and Stereoselective Intermolecular Hydroamination of Internal Alkynes: Towards Functionalised Azoles. Org. Biomol. Chem. 2019, 17, 3805–3811. [Google Scholar] [CrossRef]
- Kumar, A.; Singh, C.; Tinnermann, H.; Huynh, H.V. Gold(I) and Gold(III) Complexes of Expanded-Ring N-Heterocyclic Carbenes: Structure, Reactivity, and Catalytic Applications. Organometallics 2020, 39, 172–181. [Google Scholar] [CrossRef]
- Sarmiento, J.T.; Cárcel, M.; Ramírez de Arellano, C.; Varea, T.; Asensio, G.; Olmos, A. Straightforward Synthesis of α-Chloromethylketimines Catalyzed by Gold(I). A Clean Way to Building Blocks. J. Org. Chem. 2022, 87, 3114–3122. [Google Scholar] [CrossRef] [PubMed]
- Ruiz-Zambrana, C.; Poyatos, M.; Peris, E. A Redox-Switchable Gold(I) Complex for the Hydroamination of Acetylenes: A Convenient Way for Studying Ligand-Derived Electronic Effects. ACS Catal. 2022, 12, 4465–4472. [Google Scholar] [CrossRef]
- Alonso, F.; Beletskaya, I.P.; Yus, M. Transition-Metal-Catalyzed Addition of Heteroatom−Hydrogen Bonds to Alkynes. Chem. Rev. 2004, 104, 3079–3160. [Google Scholar] [CrossRef]
- Hintermann, L.; Labonne, A. Catalytic Hydration of Alkynes and Its Application in Synthesis. Synthesis 2007, 2007, 1121–1150. [Google Scholar] [CrossRef] [Green Version]
- Hahn, F.E.; Jahnke, M.C. Heterocyclic Carbenes: Synthesis and Coordination Chemistry. Angew. Chem. Int. Ed. 2008, 47, 3122–3172. [Google Scholar] [CrossRef]
- de Frémont, P.; Marion, N.; Nolan, S.P. Carbenes: Synthesis, Properties, and Organometallic Chemistry. Coord. Chem. Rev. 2009, 253, 862–892. [Google Scholar] [CrossRef]
- Arcadi, A. Alternative Synthetic Methods through New Developments in Catalysis by Gold. Chem. Rev. 2008, 108, 3266–3325. [Google Scholar] [CrossRef]
- Gorin, D.J.; Sherry, B.D.; Toste, F.D. Ligand Effects in Homogeneous Au Catalysis. Chem. Rev. 2008, 108, 3351–3378. [Google Scholar] [CrossRef] [Green Version]
- Albrecht, M.; Crabtree, R.H.; Mata, J.; Peris, E. Chelating Bis-Carbene Rhodium(Iii) Complexes in Transfer Hydrogenation of Ketones and IminesElectronic Supplementary Information (ESI) Available: Spectroscopic Data for the Rhodium(Iii) Complexes. Chem. Commun. 2002, 1, 32–33. [Google Scholar] [CrossRef]
- Díez-González, S.; Nolan, S.P. [(NHC) 2 Cu]X Complexes as Efficient Catalysts for Azide-Alkyne Click Chemistry at Low Catalyst Loadings. Angew. Chem. Int. Ed. 2008, 47, 8881–8884. [Google Scholar] [CrossRef] [Green Version]
- Li, Z.; Brouwer, C.; He, C. Gold-Catalyzed Organic Transformations. Chem. Rev. 2008, 108, 3239–3265. [Google Scholar] [CrossRef]
- Marion, N.; Ramón, R.S.; Nolan, S.P. [(NHC)Au I ]-Catalyzed Acid-Free Alkyne Hydration at Part-per-Million Catalyst Loadings. J. Am. Chem. Soc. 2009, 131, 448–449. [Google Scholar] [CrossRef]
- Fernández, G.A.; Chopa, A.B.; Silbestri, G.F. A Structure/Catalytic Activity Study of Gold(i)–NHC Complexes, as Well as Their Recyclability and Reusability, in the Hydration of Alkynes in Aqueous Medium. Catal. Sci. Technol. 2016, 6, 1921–1929. [Google Scholar] [CrossRef]
- Fernández, G.A.; Picco, A.S.; Ceolín, M.R.; Chopa, A.B.; Silbestri, G.F. Synthesis and Structural Characterization of Water-Soluble Gold(I) N-Heterocyclic Carbene Complexes. An X-Ray Absorption Fine Structure Spectroscopy (XAFS) Study. Organometallics 2013, 32, 6315–6323. [Google Scholar] [CrossRef]
- Wang, H.M.J.; Lin, I.J.B. Facile Synthesis of Silver(I)−Carbene Complexes. Useful Carbene Transfer Agents. Organometallics 1998, 17, 972–975. [Google Scholar] [CrossRef]
- de Frémont, P.; Scott, N.M.; Stevens, E.D.; Ramnial, T.; Lightbody, O.C.; Macdonald, C.L.B.; Clyburne, J.A.C.; Abernethy, C.D.; Nolan, S.P. Synthesis of Well-Defined N -Heterocyclic Carbene Silver(I) Complexes. Organometallics 2005, 24, 6301–6309. [Google Scholar] [CrossRef]
- Lin, I.J.B.; Vasam, C.S. Preparation and Application of N-Heterocyclic Carbene Complexes of Ag(I). Coord. Chem. Rev. 2007, 251, 642–670. [Google Scholar] [CrossRef]
- Leyva, A.; Corma, A. Isolable Gold(I) Complexes Having One Low-Coordinating Ligand as Catalysts for the Selective Hydration of Substituted Alkynes at Room Temperature without Acidic Promoters. J. Org. Chem. 2009, 74, 2067–2074. [Google Scholar] [CrossRef]
- Sanz, S.; Jones, L.A.; Mohr, F.; Laguna, M. Homogenous Catalysis with Gold: Efficient Hydration of Phenylacetylene in Aqueous Media. Organometallics 2007, 26, 952–957. [Google Scholar] [CrossRef]
- Zhdanko, A.; Maier, M.E. Explanation of Counterion Effects in Gold(I)-Catalyzed Hydroalkoxylation of Alkynes. ACS Catal. 2014, 4, 2770–2775. [Google Scholar] [CrossRef]
- Ciancaleoni, G.; Belpassi, L.; Zuccaccia, D.; Tarantelli, F.; Belanzoni, P. Counterion Effect in the Reaction Mechanism of NHC Gold(I)-Catalyzed Alkoxylation of Alkynes: Computational Insight into Experiment. ACS Catal. 2015, 5, 803–814. [Google Scholar] [CrossRef]
- Martin, A.R.; Makida, Y.; Meiries, S.; Slawin, A.M.Z.; Nolan, S.P. Enhanced Activity of [Ni(NHC)CpCl] Complexes in Arylamination Catalysis. Organometallics 2013, 32, 6265–6270. [Google Scholar] [CrossRef]
- Collado, A.; Balogh, J.; Meiries, S.; Slawin, A.M.Z.; Falivene, L.; Cavallo, L.; Nolan, S.P. Steric and Electronic Parameters of a Bulky yet Flexible N-Heterocyclic Carbene: 1,3-Bis(2,6-Bis(1-Ethylpropyl)Phenyl)Imidazol-2-Ylidene (IPent). Organometallics 2013, 32, 3249–3252. [Google Scholar] [CrossRef]
- Jacquemard, U.; Harpainter, P.; Roland, S. Introduction of Bulky Tert-Butyl Substituents on the Core of N,N′-Diaryl N-Heterocyclic Carbenes through the Corresponding Vicinal Diamines. Tetrahedron Lett. 2013, 54, 4793–4795. [Google Scholar] [CrossRef]
- Weber, S.G.; Zahner, D.; Rominger, F.; Straub, B.F. Mechanistic Investigations of a Stable, Highly Active, Extremely Sterically Shielded Molecular Gold Catalyst. ChemCatChem 2013, 5, 2330–2335. [Google Scholar] [CrossRef]
- de Frémont, P.; Stevens, E.D.; Fructos, M.R.; Mar Díaz-Requejo, M.; Pérez, P.J.; Nolan, S.P. Synthesis, Isolation and Characterization of Cationic Gold(i) N-Heterocyclic Carbene (NHC) Complexes. Chem. Commun. 2006, 19, 2045–2047. [Google Scholar] [CrossRef] [PubMed]
- Ricard, L.; Gagosz, F. Synthesis and Reactivity of Air-Stable N-Heterocyclic Carbene Gold(I) Bis(Trifluoromethanesulfonyl)Imidate Complexes. Organometallics 2007, 26, 4704–4707. [Google Scholar] [CrossRef]
- Gatto, M.; Belanzoni, P.; Belpassi, L.; Biasiolo, L.; Del Zotto, A.; Tarantelli, F.; Zuccaccia, D. Solvent-, Silver-, and Acid-Free NHC-Au-X Catalyzed Hydration of Alkynes. The Pivotal Role of the Counterion. ACS Catal. 2016, 6, 7363–7376. [Google Scholar] [CrossRef]
- Gatto, M.; Del Zotto, A.; Segato, J.; Zuccaccia, D. Hydration of Alkynes Catalyzed by L–Au–X under Solvent- and Acid-Free Conditions: New Insights into an Efficient, General, and Green Methodology. Organometallics 2018, 37, 4685–4691. [Google Scholar] [CrossRef]
- Xu, Y.; Hu, X.; Shao, J.; Yang, G.; Wu, Y.; Zhang, Z. Hydration of Alkynes at Room Temperature Catalyzed by Gold(i) Isocyanide Compounds. Green Chem. 2015, 17, 532–537. [Google Scholar] [CrossRef]
- Wang, W.; Hammond, G.B.; Xu, B. Ligand Effects and Ligand Design in Homogeneous Gold(I) Catalysis. J. Am. Chem. Soc. 2012, 134, 5697–5705. [Google Scholar] [CrossRef]
- Schmidbaur, H.; Schier, A. Gold η 2 -Coordination to Unsaturated and Aromatic Hydrocarbons: The Key Step in Gold-Catalyzed Organic Transformations. Organometallics 2010, 29, 2–23. [Google Scholar] [CrossRef]
- Brooner, R.E.M.; Widenhoefer, R.A. Cationic, Two-Coordinate Gold π Complexes. Angew. Chem. Int. Ed. 2013, 52, 11714–11724. [Google Scholar] [CrossRef]
- Liu, L.-P.; Hammond, G.B. Recent Advances in the Isolation and Reactivity of Organogold Complexes. Chem. Soc. Rev. 2012, 41, 3129–3139. [Google Scholar] [CrossRef]
- Cordón, J.; López-de-Luzuriaga, J.M.; Monge, M. Experimental and Theoretical Study of the Effectiveness and Stability of Gold(I) Catalysts Used in the Synthesis of Cyclic Acetals. Organometallics 2016, 35, 732–740. [Google Scholar] [CrossRef]
- Schießl, J.; Schulmeister, J.; Doppiu, A.; Wörner, E.; Rudolph, M.; Karch, R.; Hashmi, A.S.K. An Industrial Perspective on Counter Anions in Gold Catalysis: On Alternative Counter Anions. Adv. Synth. Catal. 2018, 360, 3949–3959. [Google Scholar] [CrossRef]
- Gatto, M.; Baratta, W.; Belanzoni, P.; Belpassi, L.; Del Zotto, A.; Tarantelli, F.; Zuccaccia, D. Hydration and Alkoxylation of Alkynes Catalyzed by NHC–Au–OTf. Green Chem. 2018, 20, 2125–2134. [Google Scholar] [CrossRef]
- Gu, Y.; Jérôme, F. Bio-Based Solvents: An Emerging Generation of Fluids for the Design of Eco-Efficient Processes in Catalysis and Organic Chemistry. Chem. Soc. Rev. 2013, 42, 9550–9570. [Google Scholar] [CrossRef]
- Anastas, P.; Eghbali, N. Green Chemistry: Principles and Practice. Chem. Soc. Rev. 2010, 39, 301–312. [Google Scholar] [CrossRef]
- Mathers, R.T.; McMahon, K.C.; Damodaran, K.; Retarides, C.J.; Kelley, D.J. Ring-Opening Metathesis Polymerizations in d-Limonene: A Renewable Polymerization Solvent and Chain Transfer Agent for the Synthesis of Alkene Macromonomers. Macromolecules 2006, 39, 8982–8986. [Google Scholar] [CrossRef]
- Alzari, V.; Nuvoli, D.; Sanna, D.; Ruiu, A.; Mariani, A. Effect of Limonene on the Frontal Ring Opening Metathesis Polymerization of Dicyclopentadiene. J. Polym. Sci. Part Polym. Chem. 2016, 54, 63–68. [Google Scholar] [CrossRef]
- Tian, X.; Yang, F.; Rasina, D.; Bauer, M.; Warratz, S.; Ferlin, F.; Vaccaro, L.; Ackermann, L. C–H Arylations of 1,2,3-Triazoles by Reusable Heterogeneous Palladium Catalysts in Biomass-Derived γ-Valerolactone. Chem. Commun. 2016, 52, 9777–9780. [Google Scholar] [CrossRef] [PubMed] [Green Version]
- Strappaveccia, G.; Luciani, L.; Bartollini, E.; Marrocchi, A.; Pizzo, F.; Vaccaro, L. γ-Valerolactone as an Alternative Biomass-Derived Medium for the Sonogashira Reaction. Green Chem. 2015, 17, 1071–1076. [Google Scholar] [CrossRef]
- Liu, Y.; Wang, H.; Wang, C.; Wan, J.-P.; Wen, C. Bio-Based Green Solvent Mediated Disulfide Synthesis via Thiol Couplings Free of Catalyst and Additive. RSC Adv. 2013, 3, 21369–21372. [Google Scholar] [CrossRef]
- Sciortino, G.; Muñoz-López, S.; Lledós, A.; Ujaque, G. Comparative Mechanistic Study on the [Au(NHC)]+-Catalyzed Hydration of Alkynes, Alkenes, and Allenes. Organometallics 2020, 39, 3469–3479. [Google Scholar] [CrossRef]
- Muñoz-López, S.; Couce-Rios, A.; Sciortino, G.; Lledós, A.; Ujaque, G. Mechanistic Insights on the Hydration of Terminal and Internal Allenes Catalyzed by [(NHC)Au]+. Organometallics 2018, 37, 3543–3551. [Google Scholar] [CrossRef]
- Couce-Rios, A.; Lledós, A.; Fernández, I.; Ujaque, G. Origin of the Anti-Markovnikov Hydroamination of Alkenes Catalyzed by L–Au(I) Complexes: Coordination Mode Determines Regioselectivity. ACS Catal. 2019, 9, 848–858. [Google Scholar] [CrossRef]
- Rzhevskiy, S.A.; Philippova, A.N.; Chesnokov, G.A.; Ageshina, A.A.; Minaeva, L.I.; Topchiy, M.A.; Nechaev, M.S.; Asachenko, A.F. Ring Size and Nothing Else Matters: Unusual Regioselectivity of Alkyne Hydration by NHC Gold(i) Complexes. Chem. Commun. 2021, 57, 5686–5689. [Google Scholar] [CrossRef]
- Yuan, L.-Z.; Zhao, G.; Hamze, A.; Alami, M.; Provot, O. Chlorotrimethylsilane and Sodium Iodide: A Useful Combination for the Regioselective Deoxygenation of Arylalkyl-α-Diketones. Adv. Synth. Catal. 2017, 359, 2682–2691. [Google Scholar] [CrossRef]
































| Entry a | Complex | Conversion (%) b |
|---|---|---|
| 1 | 14 | 35 |
| 2 | 13 | 85 |
| 3 | 12 | 57 |
| 4 | 11 | >98 |
| 5 | 11c | 37 |
| 6 | 10 | 71 |
| 7 | (Imes)AuCl | 98 |
| 8 | AgBF4 d | 42 |
| Entry a | Complex | Solvent | Time (h) | Conversion (%) b |
|---|---|---|---|---|
| 1 | 15 | CDCl3 | 3 | 42 |
| 2 | 15 | CD2Cl2 | 3 | 56 |
| 3 | 15 | THF-d8 | 3 | 68 |
| 4 | 15 | C6D6 | 3 | 91 |
| 5 | 8 | C6D6 | 4 | 22 |
| 6 | 16 | C6D6 | 16 | 10 |
| 7 | 17 | C6D6 | 16 | >5 |

| Entry a | R, R’ | Temperature (°C) | Time (h) | Conversion (%) b | Yield (%) |
|---|---|---|---|---|---|
| 1 | nButyl, H | rt | 3 | 91 | 83 |
| 2 | Cyclohexyl, H | rt | 18 | 78 | 71 |
| 3 | Benzyl, H | rt | 4 | 87 | 83 |
| 4 | tertButyl, H | rt | 36 | 29 | - |
| 5 | tertButyl, H | 90 | 6 | 88 | 79 |
| 6 | Phenyl, H | rt | 12 | <5 | - |
| 7 | Phenyl, H | 90 | 3 | 100 | 87 |
| 8 | 4-Methoxyphenyl, H | 90 | 4 | 100 | 95 |
| 9 | 1-Cyclohexenyl, H | 75 | 6 | 100 | 77 |
| 10 c | Ph, Ph | 110 | 6 | 100 | 82 |
| Entry a | Aniline | Complex | Yield (%) b |
|---|---|---|---|
| 1 | 2,4,6-Me3C6H2 | 18 | 94 |
| 2 | 2,4,6-Me3C6H2 | 19 | 87 |
| 3 | 2,4,6-Me3C6H2 | 20 | 89 |
| 4 | 2,6-iPr2C6H3 | 18 | 95 |
| 5 | 2,6-iPr2C6H3 | 19 | 54 |
| 6 | 2,6-iPr2C6H3 | 20 | 82 |
| 7 | Ph | 18 | 95 |
| 8 | Ph | 19 | 82 |
| 9 | Ph | 20 | 91 |
| 10 | 2-MeC6H4 | 18 | 99 |
| 11 | 2-MeC6H4 | 19 | 86 |
| 12 | 2-MeC6H4 | 20 | 85 |
| 13 c | 2-MeC6H4 | 18 | 96 |
| 14 c | 2-MeC6H4 | 19 | 81 |
| 15 c | 2-MeC6H4 | 20 | 83 |
| 16 d | 2-MeC6H4 | 18 | 87 |
| 17 d | 2-MeC6H4 | 19 | 62 |
| 18 d | 2-MeC6H4 | 20 | 85 |
| 19 | 4-MeC6H4 | 18 | 91 |
| 20 | 4-MeC6H4 | 19 | 60 |
| 21 | 4-MeC6H4 | 20 | 70 |
| Entry a | Complex | Time (h) | Conversion (%) b |
|---|---|---|---|
| 1 | 21a + TosylAg | 3 | 35 |
| 2 | 21a + AgSbF6 | 3 | 44 |
| 3 | 21a + KB(C6F5)4 | 3 | 75 |
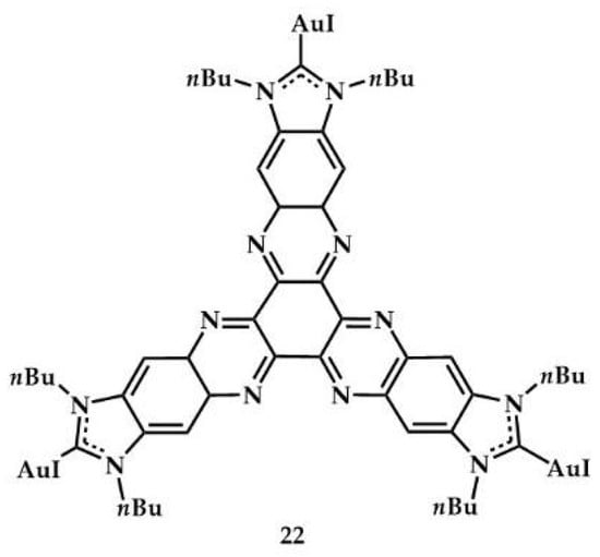
| 4 | 22a | 3 | 0 |
| 5 | 21a + KB(C6F5)4 | 24 | >99 |
| 6 | 21b + KB(C6F5)4 | 24 | >99 |
| 7 | 21c + KB(C6F5)4 | 24 | >99 |
| 8 | 21d + KB(C6F5)4 | 24 | >99 |
| Entry a | ArNH2 (Ar) | Complex | Yield (%) b |
|---|---|---|---|
| 1 | 2,4,6-Me3C6H2 | 22 | 82 |
| 2 | 2,4,6-Me3C6H2 | 20 | 68 |
| 3 | 2,6-iPr2C6H3 | 22 | 81 |
| 4 | 2,6-iPr2C6H3 | 20 | 64 |
| 5 | Ph | 22 | 92 |
| 6 | Ph | 20 | 72 |
| 7 a | 2-MeC6H4 | 22 | 98 |
| 8 | 2-MeC6H4 | 20 | 80 |
| 9 | 4-MeC6H4 | 22 | 91 |
| 10 | 4-MeC6H4 | 20 | 72 |
| Entry a | ArNH2 (Ar) | Complex | Yield (%) b |
|---|---|---|---|
| 1 | 2,4,6-Me3C6H2 | 23a | 41 |
| 2 | 2,4,6-Me3C6H2 | 23b | 68 |
| 3 | 2,4,6-Me3C6H2 | 23b c | 82 |
| 4 | 2,4,6-Me3C6H2 | 24 | 37 |
| 5 | 2,4,6-Me3C6H2 | 24 c | 40 |
| 6 | 2,6-iPr2C6H3 | 23a | 39 |
| 7 | 2,6-iPr2C6H3 | 23b | 62 |
| 8 | 2,6-iPr2C6H3 | 23b c | 77 |
| 9 | 2,6-iPr2C6H3 | 24 | 54 |
| 10 | Ph | 23a | 44 |
| 11 | Ph | 23b | 88 |
| 12 | Ph | 23b c | 99 |
| 13 | Ph | 24 | 21 |
| 14 | Ph | 24 c | 36 |
| 15 | 2-MeC6H4 | 23a | 70 |
| 16 | 2-MeC6H4 | 23b | 90 |
| 17 | 2-MeC6H4 | 23b c | 92 |
| 18 | 2-MeC6H4 | 24 | 55 |
| 19 | 2-MeC6H4 | 24 c | 60 |
| 20 | 4-MeC6H4 | 23a | 50 |
| 21 | 4-MeC6H4 | 23b | 80 |
| 22 | 4-MeC6H4 | 23b c | 84 |
| 23 | 4-MeC6H4 | 24 | 29 |

| Entry a | R | Complex | Time (h) | Conversion (%) b |
|---|---|---|---|---|
| 1 | H | 25 | 13 | 97 |
| 2 | H | 26 | 18 | 93 |
| 3 | Ph | 25 | 24 | 98 |
| 4 | Ph | 26 | 24 | 96 |
| Entry a | Ar-NH2 | Complex | Time (h) | Conversion (%) b |
|---|---|---|---|---|
| 1 | Ph | 25 | 0.33 | 26 |
| 2 | Ph | 26 | 1 | 30 |
| 3 | 2,4,6-Me3C6H2 | 25 | 16 | 61 |
| 4 | 4-CF3C6H4 | 25 | 16 | 49 |
| Entry a | Ar-NH2 | Complex (mol%) | Conversion (%) b | Yield (%) b |
|---|---|---|---|---|
| 1 | Ph | 0.5 | 98 | 66 |
| 2 | 4-MeC6H4 | 0.5 | 93 | 65 |
| 3 | 2,4,6-Me3C6H2 | 0.5 | 99 | 86 |
| 4 | Ph | 0.05 | 34 | 26 |
| 5 c | Ph | 0.05 | 58 | 50 |
| 6 | 4-MeC6H4 | 0.05 | 41 | 33 |
| 7 c | 4-MeC6H4 | 0.05 | 45 | 40 |
| 8 | 2,4,6-Me3C6H2 | 0.05 | 45 | 36 |
| 9 c | 2,4,6-Me3C6H2 | 0.05 | 51 | 44 |

| Entry a | Complex | Yield S1 (%) | Yield S2 (%) |
|---|---|---|---|
| 1 | 28a | 93 | 7 |
| 2 | 28b | 94 | 6 |
| 3 | 28c | 94 | 6 |
| 4 | 28d | 64 | 3 |
| 5 | 28e | 75 | 9 |
| 6 | 28f | 72 | 10 |
| 7 | 28g | 73 | 2 |
| 8 | 28h | 75 | 2 |
| 9 | 28i | 70 | 6 |
| 10 | (IPr)AuClb | 88 | 11 |
| Entry a | Complex | Conversion (%) b |
|---|---|---|
| 1 | 32a | 91 |
| 2 | 32b | 96 |
| 3 | 32c | 98 |
| 4 | 33a | 86 |
| 5 | 33b | 88 |
| 6 | 33c | 90 |
| 7 | 34a | 80 |
| 8 | 34b | 74 |
| 9 | 34c | 80 |
| 10 c | 36a | 13 |
| Entry a | Ar-NH2 | Cat. Load (%) | Additive | Time (h) | Yield (%) b |
|---|---|---|---|---|---|
| 1 | Ph | 1 | none | 8 | 82.5 |
| 2 | 2-MeC6H4 | 1 | none | 8 | 77.2 |
| 3 | 4-MeC6H4 | 1 | none | 8 | 75.3 |
| 4 | 2,4,6-Me3C6H2 | 1 | none | 8 | 76.9 |
| 5 | Ph | 0.5 | none | 8 | 49.2 |
| 6 | Ph | 2 | none | 5 | 90.0 |
| 7 c | Ph | 1 | [CoCp2] | 8 | 0 |
| Entry a | Complex 39 (mol%) | AgX Salt (mol%) | Solvent | Temperature (°C) | Time (h) | Yield (%) b |
|---|---|---|---|---|---|---|
| 1 | 1 | - | H2O | 80 | 5 | 100 |
| 2 | 1 | SCN (1) | H2O | 80 | 5 | 100 |
| 3 | 1 | SCN (2) | H2O | 80 | 4 | 100 |
| 4 | 2 | SCN (1) | H2O | 80 | 3 | 98 |
| 5 | 2 | - | H2O | 80 | 3 | 70 |
| 6 | 1 | - | H2O | 90 | 3 | 100 |
| 7 | 1 | - | H2O | 100 | 1.17 | 100 |
| 8 | 1 | SCN (1) | H2O | 100 | 0.5 | 55 |
| 9 | 1 | SbF6 (1) | H2O | 100 | 0.5 | 68 |
| 10 | 2 | - | H2O | 100 | 0.5 | 100 |
| 11 | 1 | - | H2O:MeOH | 100 | 0.5 | 100 |
| 12 | 1 | - | H2O:MeOH | 80 | 0.75 | 100 |
| 13 | 2 | - | H2O:MeOH | 100 | 0.25 | 100 |
| 14 | 1 | SCN (1) | H2O:MeOH | 100 | 0.66 | 100 |
| 15 | 1 | OTs (1) | H2O:MeOH | 100 | 0.33 | 100 |
| 16 | 1 | SbF6 (1) | H2O:MeOH | 100 | 0.13 | 100 |
| 17 c | 1 | MeOH d | 100 | 0.5 | 83 e |
| Entry a | Complex 39 (mol%) | Solvent | Time (h) | Yield (%) b |
|---|---|---|---|---|
| 1 | 1 | H2O | 1.17 | 100 |
| 2 | 0.5 | H2O | 2 | 100 |
| 3 | 0.25 | H2O | 4 | 100 |
| 4 | 0.10 | H2O | 8 | 100 |
| 5 | 0.05 | H2O | 13 | 100 |
| 6 | 1.0 | H2O:MeOH | 0.5 | 100 |
| 7 | 0.5 | H2O:MeOH | 1 | 100 |
| 8 | 0.25 | H2O:MeOH | 2 | 100 |
| 9 | 0.10 | H2O:MeoH | 4 | 100 |
| 10 | 0.05 | H2O:MeOH | 7 | 100 |
| Entry a | Complex | AuNHC (mol%) | AgX Salt (mol%) | Solvent | Temperature (°C) | Time (h) | Yield b (%) |
|---|---|---|---|---|---|---|---|
| 1 | 40 | 1 | - | H2O | 100 | 24 | 0 |
| 2 | 40 | 1 | SCN (1) | H2O | 100 | 24 | 0 |
| 3 | 40 | 1 | SbF6 (1) | H2O | 100 | 24 | 0 |
| 4 | 40 | 5 | - | H2O | 100 | 24 | 0 |
| 5 | 40 | 5 | SbF6 (10) | H2O | 30 | 24 | 0 |
| 6 | 40 | 1 | - | H2O:MeOH | 100 | 13 | 100 |
| 7 | 40 | 1 | OTs (1) | H2O:MeOH | 100 | 6 | 100 |
| 8 | 40 | 1 | SbF6 (1) | H2O:MeOH | 100 | 7.5 | 100 |
| 9 | 40 | 1 | - | TMS | 80 | 24 | 0 |
| 10 | 41 | 1 | SbF6 (1) | H2O | 80 | 3 | 0 |
| 11 | 41 | 5 | SbF6 (10) | H2O | 30 | 3 | 0 |
| 12 | 41 | 1 | - | H2O:MeOH | 80 | 48 | 95 |
| 13 | 41 | 1 | SCN (1) | H2O:MeOH | 80 | 48 | 35 |
| 14 | 41 | 1 | OTs (1) | H2O:MeOH | 80 | 48 | 80 |
| 15 | 41 | 1 | SbF6 (1) | H2O:MeOH | 80 | 48 | 56 |
| 16 | 41 | 1 | - | H2O:MeOH | 100 | 24 | 44 |
| 17 | 41 | 1 | - | TMS | 80 | 48 | 0 |
| 18 | 42 | 1 | - | H2O | 80 | 24 | 0 |
| 19 | 42 | 1 | SCN (1) | H2O | 80 | 24 | 0 |
| 20 | 42 | 1 | SbF6 (1) | H2O | 80 | 24 | 0 |
| 21 | 42 | 5 | - | H2O | 80 | 24 | 0 |
| 22 | 42 | 5 | SbF6 (10) | H2O | 30 | 24 | 0 |
| 23 | 42 | 1 | - | H2O:MeOH | 80 | 60 | 62 |
| 24 | 42 | 1 | OTs (1) | H2O:MeOH | 80 | 60 | 52 |
| 25 | 42 | 1 | SbF6 (1) | H2O:MeOH | 80 | 60 | 48 |
| 26 | 42 | 1 | - | H2O:MeOH | 100 | 24 | 14 |
| 27 | 42 | 1 | - | TMS | 80 | 24 | 0 |
| 28 | 43 | 5 | SbF6 (10) | H2O | 30 | 0.5 | 0 |
| 29 | 43 | 1 | - | H2O:MeOH | 80 | 60 | 20 |
| 30 | 43 | 1 | SbF6 (1) | H2O:MeOH | 80 | 60 | 35 |
| 31 | 43 | 1 | - | H2O:MeOH | 100 | 24 | 19 |
| Entry a | R1 | R2 | Time (h) | Yield (%) b,c |
|---|---|---|---|---|
| 1 | -C5H11 | H | 1.17 | 100 (96) |
| 2 | -C3H7 | H | 1.17 | 100 (97) |
| 3 | Ph | H | 1.17 | 100 (99) |
| 4 | ![]() | H | 2 | 100 (96) |
| 5 | ![]() | H | 2 | 100 (98) |
| 6 | ![]() | H | 2 | 100 (97) |
| 7 | ![]() | -C2H5 | 6 | 23 d 40 e |
| 8 f | HO-CH2- | H | 2 | 100 (99) |
| 9 f | HO-(CH2)2- | H | 2 | 100 (99) |
| Entry a | Temperature (°C) | X− | Time (h) /[TOF] b | Conversion (%) c |
|---|---|---|---|---|
| 1 | 30 | BF4− | 24 | <1 |
| 2 | 30 | SbF6− | 24 | <1 |
| 3 | 30 | ClO4− | 24 | <1 |
| 4 | 30 | OTf− | 16/[ 64] | >99 |
| 5 | 30 | NTf2− | 16/[ 64] | >99 |
| 6 | 30 | OTs− | 24 | <1 |
| 7 | 30 | TFA− | 24 | <1 |
| 8 | 30 | BArF− | 24 | <1 |
| 9 | 50 | BF4− | 24 | <1 |
| Entry a,b | Ligand | Conversion (%) g | Time (h)/[TOF] h,i |
|---|---|---|---|
| 1 c | NHCIPr | >99 | 2/[ 495] |
| 2 d,f | NHCIPr | 70 | 2/[ 350] |
| 3 d,f | BIAN | 76 | 2/[ 380] |
| 4 d,f | NHCCH2 | 76 | 2/[ 380] |
| 5 d,f | NAC | 0 | 24 |
| 6 d,f | JohnPhos | 75 | 4/[ 188] |
| 7 d,f | PCy3 | 0 | 24 |
| 8 d,f | PArF | 0 | 24 |
| 9 d,f | PPh3 | 0 | 24 |
| 10 d,f | POR3 | 0 | 24 |
| 11 e | NHCiPr | >99 | 3.5/[ 285] |
| 12 e | BIAN | >99 | 4/[ 248] |
| 13 e | NHCCH2 | 98 | 8/[ 122] |
| 14 e | NAC | 9 | 24/[ 4] |
| 15 e | JohnPhos | 74 | 5/[ 148] |
| 16 e | PCy3 | 6 | 24/[ 3] |
| 17 e | PArF | 0 | 24 |
| 18 e | PPh3 | 3 | 24/[ 1] |
| 19 e | POR3 | 17 | 24/[ 7] |
| 20 c | BIAN | >99 | 2/[ 495] |
| 21 c | NHCCH2 | >99 | 4/[ 248] |
| Entry a | Loading (mol%) d | Temperature (°C) | Conversion (%) e | Time (h) /[TOF] f,g |
|---|---|---|---|---|
| 1 b | 0.1 | 65 | 82 | 8/[ 102] |
| 2 b | 0.05 | 80 | 42 | 8/[ 105] |
| 3 b | 0.05 | 120 | 94 | 4/[ 470] |
| 4 b | 0.025 | 120 | 85 | 8/[ 435] |
| 5 b | 0.01 | 120 | 27 | 5/[ 560] |
| 6 b,h | 0.05 | 120 | 88 | 8/[ 220] |
| 7 c | 0.05 | 120 | 7 | 8/[ 17] |
| R = p-Tolyl | |||
|---|---|---|---|
| Entry a | NHC | A:B (%) | Yield |
| 1 | IMes b | - | - |
| 2 | SIMes b | - | - |
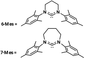
| 3 | 6-Mes | 33.3:66.7 | 18 |
| 4 | 7-Mes | 28.6:71.4 | 49 |
| 5 | IPr b | 29.4:70.6 | 99 |
| 6 | SIPr b | 25.6:74.4 | 80 |
| 7 | IPr b | 37:63 | 91 |
| 8 | 6-Dipp | 22.7:77.3 | 79 |
| 9 | 7-Dipp | 28.6:71.4 | 95 |
| R = n-Hexyl | |||
| 10 | IMes b | - | <2 |
| 11 | SIMes b | - | <2 |
| 12 | 6-Mes | 11.1:88.9 | 62 |
| 13 | 7-Mes | 11.1:88.9 | 82 |
| 14 | IPr b | 27.8:72.2 | 93 |
| 15 | SIPr b | 25:75 | 87 |
| 16 | IPr b | 20:80 | 76 |
| 17 | 6-Dipp | 8.3:91.7 | 70 |
| 18 | 7-Dipp | 7.1:92.9 | 67 |
![]() | ![]() | ||
Publisher’s Note: MDPI stays neutral with regard to jurisdictional claims in published maps and institutional affiliations. |
© 2022 by the authors. Licensee MDPI, Basel, Switzerland. This article is an open access article distributed under the terms and conditions of the Creative Commons Attribution (CC BY) license (https://creativecommons.org/licenses/by/4.0/).
Share and Cite
Mariconda, A.; Sirignano, M.; Troiano, R.; Russo, S.; Longo, P. N-Heterocyclic Carbene Gold Complexes Active in Hydroamination and Hydration of Alkynes. Catalysts 2022, 12, 836. https://doi.org/10.3390/catal12080836
Mariconda A, Sirignano M, Troiano R, Russo S, Longo P. N-Heterocyclic Carbene Gold Complexes Active in Hydroamination and Hydration of Alkynes. Catalysts. 2022; 12(8):836. https://doi.org/10.3390/catal12080836
Chicago/Turabian StyleMariconda, Annaluisa, Marco Sirignano, Rubina Troiano, Simona Russo, and Pasquale Longo. 2022. "N-Heterocyclic Carbene Gold Complexes Active in Hydroamination and Hydration of Alkynes" Catalysts 12, no. 8: 836. https://doi.org/10.3390/catal12080836
APA StyleMariconda, A., Sirignano, M., Troiano, R., Russo, S., & Longo, P. (2022). N-Heterocyclic Carbene Gold Complexes Active in Hydroamination and Hydration of Alkynes. Catalysts, 12(8), 836. https://doi.org/10.3390/catal12080836







