Recent Advances in Multicomponent Reactions Catalysed under Operationally Heterogeneous Conditions
Abstract
1. Introduction
2. Heterocyclic Compound Synthesis
2.1. Heterocycles Containing 1-Heteroatom
2.1.1. Pyrroles
2.1.2. Furans
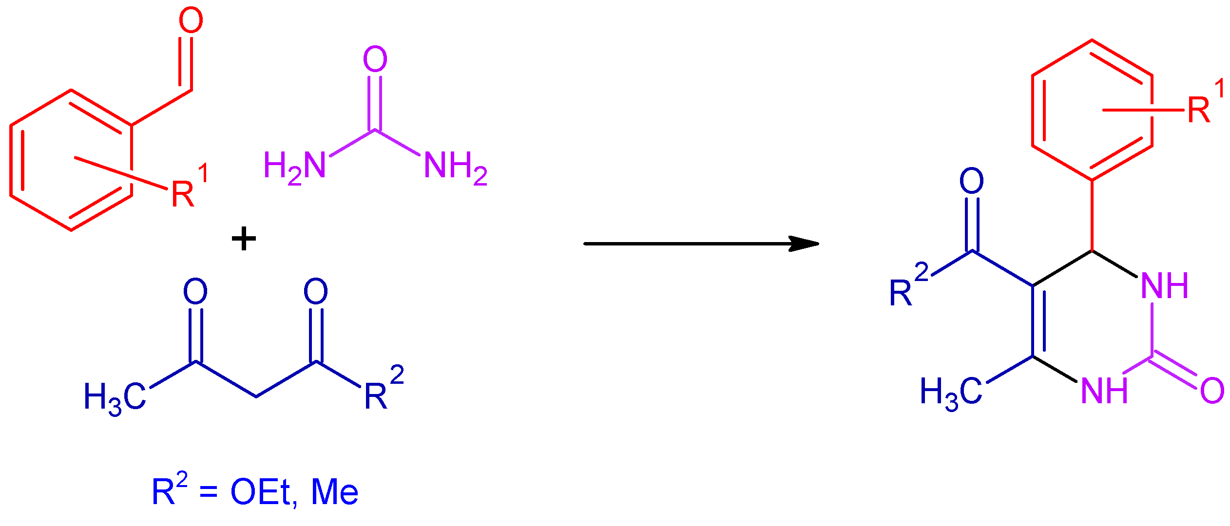
2.1.3. Pyridines
2.1.4. Pyridinones
2.1.5. Coumarins
2.1.6. Chromenes
2.1.7. Xanthenes
2.2. Heterocycles Containing 2 Heteroatoms
2.2.1. Pyrazoles
2.2.2. Imidazoles
2.2.3. Thiazolines
2.2.4. Thiazolidinones
2.2.5. Pyrimidines
2.2.6. Pyrimidinones
2.3. Fused Heterocycles
2.3.1. Indolizine
2.3.2. Benzofurans
2.3.3. Pyrimidobenzoimidazoles
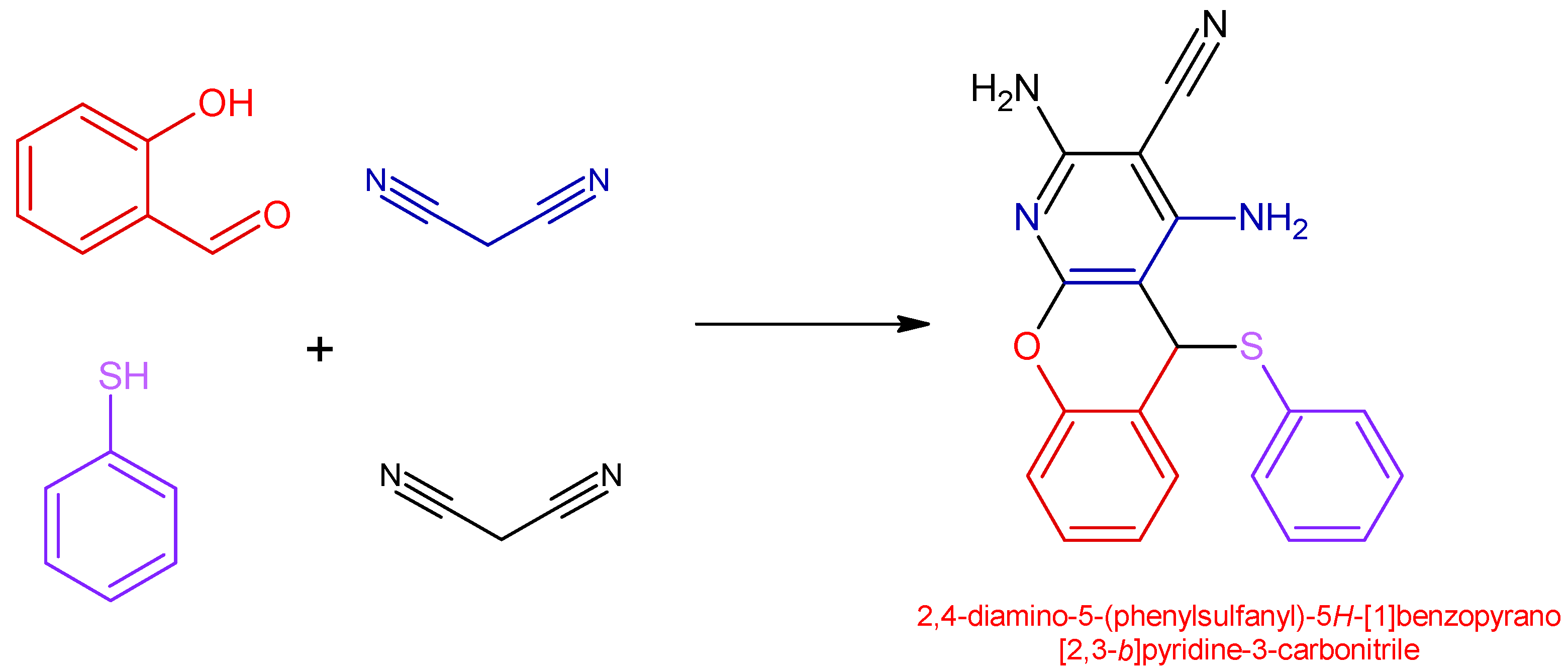
2.3.4. Chromenopyridines
2.3.5. Chromenopyrimidines
2.4. Spiro Compounds
3. Acyclic Multicomponent Reactions
3.1. Mannich-Type Reactions
3.2. Knoevenagel-Type Reactions
3.3. Isocyanide-Type
4. Conclusions
Author Contributions
Funding
Acknowledgments
Conflicts of Interest
References
- Anastas, P.; Eghbali, N. Green chemistry: Principles and practice. Chem. Soc. Rev. 2010, 39, 301–312. [Google Scholar] [CrossRef] [PubMed]
- Bosica, G. Heterogeneous Catalysis. In Sustainable Organic Synthesis: Tools and Strategies; Protti, S., Palmieri, A., Eds.; Royal Society of Chemistry: London, UK, 2021; Chapter 3; pp. 45–67. [Google Scholar] [CrossRef]
- Gartner, D.; Sandl, S.; Wangelin, A. Homogeneous vs. heterogeneous: Mechanistic insights into iron group metal-catalyzed reductions from poisoning experiments. J. Cat. Sci. Tech. 2020, 11, 3502–3514. [Google Scholar] [CrossRef]
- Crabtree, R.H. Resolving heterogeneity problems and impurity artifacts in operationally homogeneous transition metal catalysts. Chem. Rev. 2011, 11, 1536–1554. [Google Scholar] [CrossRef] [PubMed]
- Singh, M.S.; Chowdhury, S. Recent developments in solvent-free multicomponent reactions: A perfect synergy for eco-compatible organic synthesis. RSC Adv. 2012, 2, 4547–4592. [Google Scholar] [CrossRef]
- Domling, A.; Wang, W.; Wang, K. Chemistry and biology of multicomponent reactions. Chem. Rev. 2012, 112, 3083–3135. [Google Scholar] [CrossRef]
- Sheldon, R.A. The E factor 25 years on: The rise of green chemistry and sustainability. Green Chem. 2017, 19, 18–43. [Google Scholar] [CrossRef]
- Bhagat, S.; Shah, P.; Garg, S.K.; Mishra, S.; Kaur, P.K.; Singh, S.; Chakraborti, A.K. α-Aminophosphonates as novel anti-leishmanial chemotypes: Synthesis, biological evaluation, and CoMFA studies. Med. Chem. Commun. 2014, 5, 665–670. [Google Scholar] [CrossRef]
- Borazjani, N.; Sepehri, S.; Behzadi, M.; Jarrahpour, A.M.; Rad, J.A.; Sasanipour, M.; Mohkam, M.; Ghasemi, J.; Akbarizadeh, A.R.; Digiorgio, C.; et al. Three-component synthesis of chromeno β-lactam hybrids for inflammation and cancer screening. Eur. J. Med. Chem. 2019, 179, 389–403. [Google Scholar] [CrossRef]
- Patil, R.; Ghosh, A.; Cao, P.S.; Sommer, R.D.; Grice, K.A.; Waris, G.; Patil, S. Novel 5-arylthio-5H-chromenopyridines as a new class of anti-fibrotic agents. Bioorg. Med. Chem. Lett. 2017, 27, 1129–1135. [Google Scholar] [CrossRef]
- Shi, F.; Zeng, X.; Zhang, G.; Ma, N.; Jiang, B.; Tu, S. Facile synthesis of new 4-aza-podophyllotoxin analogs via microwave-assisted multi-component reactions and evaluation of their cytotoxic activity. Bioorg. Med. Chem. Lett. 2011, 21, 7119–7123. [Google Scholar] [CrossRef]
- Ahmed, K.A.; El-Hennawi, H.M.; Shahin, A.A.; Ragheb, A.A. Preparation of nano disperse dye based on benzopyran in one pot reaction using microwave irradiation and its appliance in textile printing. SN Appl. Sci. 2019, 1, 1009. [Google Scholar] [CrossRef]
- John, S.E.; Gulati, S.; Shankaraiah, N. Recent advances in multi-component reactions and their mechanistic insights: A triennium review. Org. Chem. Front. 2021, 8, 4237–4287. [Google Scholar] [CrossRef]
- Li, B.; Zhang, M.; Hu, H.; Du, X.; Zhang, Z. Nano-CoFe2O4 supported molybdenum as an efficient and magnetically recoverable catalyst for a one-pot, four-component synthesis of functionalize pyrroles. New J. Chem. 2014, 38, 2435–2442. [Google Scholar] [CrossRef]
- Nandeesh, K.N.; Raghavendra, M.; Revanna, C.N.; Vijay, T.A.J.; Rangappa, K.S.; Mantelingu, K. Recyclable, graphite-catalyzed, four-component synthesis of functionalized pyrroles. Syn. Commun. 2014, 44, 1103–1110. [Google Scholar] [CrossRef]
- Raczko, J.; Jurczak, J. Furan in the synthesis of natural products. Stud. Nat. Prod. Chem. 1995, 16, 639–685. [Google Scholar]
- Ghomi, J.; Heidari-Baghbahadorani, E.; Shahbazi-Alavi, H. SnO nanoparticles: A robust and reusable heterogeneous catalyst for the synthesis of 3,4,5-substituted furan-2(5H)-ones. Chem. Mon. 2014, 146, 181–186. [Google Scholar] [CrossRef]
- Hantzsch, A.; Justus, L. On the synthesis of pyridine-like compounds from acetoacetic ether and aldehyde ammonia. Ann. Cheime. 1882, 215, 1–82. [Google Scholar] [CrossRef]
- Cosconati, S.; Marinelli, L.; Lavecchia, A.; Novellino, E. Characterizing the 1,4-dihydropyridines binding interactions in the L-Type Ca2+ channel: Model construction and docking calculations. J. Med. Chem. 2007, 50, 1504–1513. [Google Scholar] [CrossRef]
- Rahman, A.; Nehemia, P.N.; Nyambe, M.M. An efficient method for the synthesis of dihydropyridine by Hantzsch reaction with Fe/SiO2 nano heterogeneous catalysts. Bul. Chem. Rea. Eng. Cat. 2020, 15, 617–630. [Google Scholar] [CrossRef]
- Koduri, R.G.; Pagadala, R.; Varala, R.; Boodida, S. An effective process for the synthesis of dihydropyridines via SO42−/SnO2. J. Chi. Chem. Soc. 2020, 68, 333–337. [Google Scholar] [CrossRef]
- Bosica, G.; Demanuele, K.; Padron, J.M.; Puerta, A. One-pot multicomponent green Hantzsch synthesis of 1,2-dihydropyridine derivatives with antiproliferative activity. Beilstein J. Org. Chem. 2020, 16, 2862–2869. [Google Scholar] [CrossRef]
- Khalife, R.; Ghamari, M. A multicomponent synthesis of 2-amino-3-cyanopyridine derivatives catalyzed by heterogeneous and recyclable copper nanoparticles on charcoal. J. Braz. Soc. 2016, 27, 759–768. [Google Scholar] [CrossRef]
- Heravi, M.M.; Beheshtiha, S.Y.S.; Dehghani, M.; Hosseintash, N. Using magnetic nanoparticles Fe3O4 as a reusable catalyst for the synthesis of pyran and pyridine derivatives via one-pot multicomponent reaction. J. Iran. Chem. Soc. 2015, 12, 2075–2081. [Google Scholar] [CrossRef]
- Yahyazadeh, A.; Abbaspout-Gilandeh, E.; Aghaei-Hasjin, M. Four-component synthesis of 2-amino-3-cyanopyridine derivatives catalyzed by Cu@ImineZCMNPs as a novel, efficient and simple nanocatalyst under solvent-free conditions. Catal. Lett. 2018, 184, 1214–1262. [Google Scholar] [CrossRef]
- Afradi, M.; Pour, S.A.; Dolat, M.; Yazhdani-Elah-Abadi, A. Nanomagnetically modified vitamin B3 (Fe3O4@Niacin): An efficient and reusable green biocatalyst for microwave-assisted rapid synthesis of 2-amino-3-cyanopyridines in aqueous medium. Appl. Organometal. Chem. 2018, 32, e4103. [Google Scholar] [CrossRef]
- Challa, C.S.; Katari, N.K.; Nallanchakravarthula, V.; Nayakanti, D.; Kapavarapu, R.; Pal, M. Amberlyst-15 catalysed sonochemical synthesis of 2-amino-4,6-disubstituted nicotinonitrile derivatives and their biological evaluation. J. Mol. Struct. 2021, 1240, 130541–130546. [Google Scholar] [CrossRef]
- Achagar, R.; Elmakssoudi, A.; Thoume, A.; Mohamed, D.; Elamrani, A.; Zouheir, Y.; Zahouily, M.; Ait-Touchente, Z.; Jamaleddine, J.; Chehimi, M.M. Nanostructured Na2CaP2O7: A new and efficient catalyst for one-pot synthesis of 2-amino-3-cyanopyridine derivatives and evaluation of their antibacterial activity. Appl. Sci. 2022, 12, 5487. [Google Scholar] [CrossRef]
- Safaei, J.; Shahbazi-Alavi, H.; Baghbahadorani, E. SnO nanoparticles as efficient catalyst for the one-pot synthesis of chromenp[2,3-b]pyridines and 2-amino-3,5-dicyano-6-sulfanyl pyridines. RSC Adv. 2014, 4, 50668–50677. [Google Scholar] [CrossRef]
- Molla, A.; Hussain, S. Borax catalyzed domino reactions: Synthesis of highly functionalised pyridines, dienes, anilines and dihydropyrano[3,2-c]chromenes. RSC Adv. 2014, 4, 29750–29758. [Google Scholar] [CrossRef]
- Kumari, S.; Shekhar, A.; Pathak, D.D. Graphene oxide–TiO2 composite: An efficient heterogeneous catalyst for the green synthesis of pyrazoles and pyridines. New J. Chem. 2016, 40, 5053–5060. [Google Scholar] [CrossRef]
- Godugo, K.; Yadala, V.D.; Pinjari, M.K.M.; Gundala, T.R.; Sanapareddy, L.R.; Nallagondu, C.G.R. Natural dolomitic limestone-catalysed synthesis of benzimidazoles, Dihydropyrimidinones and highly substituted pyridines under ultrasound irradiation. Beilstein J. Org. Chem. 2020, 16, 1881–1900. [Google Scholar] [CrossRef] [PubMed]
- Ebrahimiasl, H.; Azarifar, D.; Rakthshah, J.; Keypour, H.; Mahmoudabadi, M. Application of novel and reusable Fe3O4@CoII(macrocyclic Schiff base ligand) for multicomponent reactions of highly substituted thiopyridine and 4H-chromene derivatives. Appl. Organomet. Chem. 2020, 34, 769–787. [Google Scholar] [CrossRef]
- Bektas, H.; Ceylan, S.; Demirbas, N.; Alpay-Karaoglu, S.; Sokmen, B.B. Antimicrobial and antiurease activities of newly synthesized morpholine derivatives containing an azole nucleus. Med. Chem. Res. 2013, 22, 3629–3639. [Google Scholar] [CrossRef] [PubMed]
- Hakimi, A.M.; Lashgari, N.; Mahernia, S.; Ziarani, G.M.; Amanlou, M. Facile one-pot four component synthesis of 3,4-dihydro-2-pyridone derivatives: Novel urease inhibitor scaffold. Res. Pharm. Sci. 2017, 12, 353–363. [Google Scholar]
- Dittmer, D.C.; Li, Q.; Avilov, D.V. Synthesis of coumarins, 4-hydroxycoumarins and 4-hydroxyquinolinones by Tellurium-Triggered Cyclizations. J. Org. Chem. 2005, 70, 4682–4686. [Google Scholar] [CrossRef]
- Khodabakshi, S.; Karami, B.; Eskandari, K.; Hoseini, S.J. Titanium dioxide nanowires as green and heterogeneous catalysts for the synthesis of novel pyranocoumarins. C. R. Chim. 2014, 17, 35–40. [Google Scholar] [CrossRef]
- Kerru, N.; Gummidi, L.; Gangu, K.K.; Maddila, S.; Jonnalagadda, B. Synthesis of novel furo[3,2-c]coumarin derivatives through multicomponent [4+1] cycloaddition reaction using ZnO/Fap as a sustainable catalyst. Chem. Sel. 2020, 5, 4104–4110. [Google Scholar] [CrossRef]
- Foye, W.O. Principi di Chimica Farmaceutica; Piccin: Padova, Italy, 1991; p. 416. [Google Scholar]
- Bahram, P.; Ahmad, M. Piperazine-functionalized nickel ferrite nanoparticles as efficient and reusable catalysts for the solvent-free synthesis of 2-amino-4H-chromenes. J. Chin. Chem. Soc. 2019, 66, 1356–1362. [Google Scholar]
- Zhu, H.; Xu, G.; Du, H.; Zhang, C.; Ma, N.; Zhang, W. Prolinamide functionalized polyacrylonitrile fiber with tunable linker length and surface microenvironment as efficient catalyst for Knoevenagel condensation and related multicomponent tandem reactions. J. Cat. 2019, 374, 217–229. [Google Scholar] [CrossRef]
- Kiasat, A.R.; Hamid, S.; Saghanezhad, S.J. Bipyridinium chloride supported rice husk silica: An efficient nanocomposite for the one-pot preparation of spirooxindole pyran and 2-amino-4H chromene derivatives. Rev. Roum. Chim. 2019, 64, 927–934. [Google Scholar] [CrossRef]
- Neela, A.; Clarina, T.; Rama, V. Nickel oxide-catalyzed synthesis of 4-amino-2H-chromenes: Its application in antimicrobial studies and towards protein docking. Chem. Asian J. 2019, 31, 1049–1056. [Google Scholar] [CrossRef]
- Khazee, A.; Jahanshahi, R.; Sobhani, S.; Skibsted, J.; Sansano, J.M. Immobilized piperazine on the surface of graphene oxide as a heterogeneous bifunctional acid-base catalyst for the multicomponent synthesis of 2-amino-3-cyano-4H-chromenes. Green Chem. 2020, 22, 4604–4616. [Google Scholar] [CrossRef]
- Chahkamali, F.O.; Sobhani, S.; Sansano, J.M. A novel base-metal multifunctional catalyst for the synthesis of 2-amino-3-cyano-4H-chromenes by a multicomponent tandem oxidation process. Sci. Rep. 2022, 12, 2867–2886. [Google Scholar] [CrossRef]
- Bansal, P.; Chaudhary, G.R.; Kaur, N.; Mehta, S.K. An efficient and green synthesis of xanthenes derivatives using CuS quantum dots as heterogeneous and reusable catalyst under solvent free condition. RSC Adv. 2015, 5, 8205–8209. [Google Scholar] [CrossRef]
- Kumar, A.; Rout, L.; Acahry, L.S.K.; Dhaka, R.S.; Dash, P. Greener route for synthesis of aryl and alkyl-14H-dibenzo[a.j]xanthenes using graphene-oxide copper ferrite nanocomposite as a recyclable heterogeneous catalyst. Sci. Rep. 2017, 7, 42975. [Google Scholar] [CrossRef]
- Chakraborty, H.; Grihanjali Devi, P.; Sarkar, M.; Dasgupta, D. Chapter 1—New functions of old drugs: Aureolic acid group of anti-cancer antibiotics and non-steroidal anti-inflammatory drugs. In Recent Advances in Medicinal Chemistry; Attaur-Rahman, Choudhary, M.I., Perry, G., Eds.; Elsevier: Amsterdam, The Netherlands, 2014; pp. 3–55. [Google Scholar]
- Saleh, N.M.; El-Gazzar, M.; Aly, H.M.; Othman, R.A. Novel anticancer fused pyrazole derivatives as EGFR and VEGFR-2 dual TK inhibitors. Front. Chem. 2019, 7, 917–928. [Google Scholar] [CrossRef]
- Paul, S.; Pradhan, K.; Ghosh, S.; Das, A.R. Uncapped SnO2 qunatum dot catalyzed cascade assembling of four components: A rapid and green approach to the pyrano[2,3-c]pyrazole and spiro-2-oxindole derivatives. Tetrahedron 2014, 70, 6088–6099. [Google Scholar] [CrossRef]
- Fatahpour, M.; Noori Sadeh, F.; Hazeri, N.; Maghsoodlou, M.T.; Hadavi, M.S.; Mahnaei, S. Ag/TiO2 nano-thin films as robust heterogeneous catalyst for one-pot, multi-component synthesis of bis (pyrazol-5-ol) and dihydropyrano[2,3-c]pyrazole analogs. J. Saud. Chem. 2017, 21, 998–1006. [Google Scholar] [CrossRef]
- Shaabani, B.; Maleki, H.; Rakhtshah, J. Environmentally benign synthesis of pyranopyrazole derivatives by cobalt Schiff-base complexes immobilized on magnetic iron oxide nanoparticles. J. Org. Chem. 2019, 897, 139–147. [Google Scholar] [CrossRef]
- Pzharskii, A.F.; Soldatenkov, A.T.; Katritzky, A. Heterocycles in Life and Society: An Introduction to Heterocyclic Chemistry, Biochemistry and Applications; John Wiley & Sons, Ltd.: Chichester, United Kingdom, 2011. [Google Scholar]
- Varzi, Z.; Esmaeili, M.S.; Taheri-Ledari, R.; Maleki, A. Facile synthesis of imidazoles by an efficient and eco-friendly heterogeneous catalytic system constructed of Fe3O4 and Cu2O nanoparticles, and guarana as a natural basis. Inorg. Chem. Commun. 2021, 125, 108465–108475. [Google Scholar] [CrossRef]
- Shaterian, H.R.; Molaei, P. Fe3O4@vitamin B1 as a sustainable superparamagnetic heterogeneous nanocatalyst promoting green synthesis of trisubstituted 1,3-thiazole derivatives. App. Organomet. Chem. 2019, 33, 4964–4976. [Google Scholar] [CrossRef]
- Arabpoor, Z.; Shaterian, H.R. Synthesis of trisubstituted 1,3-thiazoles using Gly-Pro-Glu (tripeptide) supported on superparamagnetic silica-encapsulated γ-Fe2O3 nanoparticles through efficient multi-component reaction in water. Polycycl. Aromat. Compd. 2020, 1, 2247–2262. [Google Scholar] [CrossRef]
- Chakraborti, A.; Kumar, D.; Sonawane, M.; Pujala, B.W.; Jain, V.K. Supported protic acid-catalyzed synthesis of 2,3-disubstituted thiazolidin-4-ones: Enhancement of the catalytic potential of protic acid by adsorption on solid supports. Green Chem. 2013, 15, 2872–2883. [Google Scholar]
- Subhedar, D.D.; Yadavm, P.A.; Pawar, S.R.; Bhange, B.M. Environmentally benign synthesis of 4-thiazolidinone derivatives using a Co/Al hydrotalcite as heterogeneous catalyst. Cat. Lett. 2020, 151, 1776–1787. [Google Scholar] [CrossRef]
- Nimkar, A.; Ramana, M.M.V.; Betkar, R.; Ranade, P.; Mundhe, B. CsOH/γ-Al2O3: A heterogeneous reusable basic catalyst for one pot synthesis of 2-amino-4,6-diaryl pyrimidines. New J. Chem. 2016, 40, 2541–2546. [Google Scholar] [CrossRef]
- Wisniewska-Jarosinska, M.; Sliwinski, T.; Kasznicki, J. Cytotoxicity and genotoxicity of capecitabine in head and neck cancer and normal cells. Mol. Biol. Rep. 2011, 38, 3679–3688. [Google Scholar] [CrossRef]
- Crespo, A.; El Maatougui, A.; Biagini, P.; Azuaje, J.; Coelho, A.; Brea, J.; Loza, M.I.; Cadavid, M.I.; Garcia-Mera, X.; Gutierrez-de-Teran, H.; et al. Discovery of 3,4-dihydropyrimidin-2(1H)-ones as a novel class of potent and selective A2B adenosine receptor antagonists. ACS Med. Chem. Lett. 2013, 4, 1031–1036. [Google Scholar] [CrossRef]
- Do Nascimento, L.G.G.; Dias, I.M.; de Souza, G.B.M.; Dancini-Pontes, I.; Fernandes, N.R.C.; de Souza, P.S.; de Oliveira, G.R.R.; Alonso, C.G. Niobium oxides as heterogeneous catalysts for Biginelli multicomponent reaction. J. Org. Chem. 2020, 85, 11170–11180. [Google Scholar] [CrossRef]
- Patel, H.A.; Sawant, A.M.; Rao, V.J.; Patel, A.L.; Bedekar, A.V. Polyaniline-supported FeCl3: An effective heterogeneous catalyst for Biginelli reaction. Catal. Lett. 2017, 147, 2306–2312. [Google Scholar] [CrossRef]
- Al-Wahaibi, L.H.; Abdelhamid, A.A.; Saber, S.A.; Elkanzi, N.A.A.; Ali, A.M. Pumice as a novel natural heterogeneous catalyst for synthesis of 3,4-dihydropyrimidine-2-(1H)-ones/thiones via Biginelli reaction under solvent-free conditions. Preprints 2021, 2021050493. [Google Scholar] [CrossRef]
- Bosica, G.; Cachia, F.; De Nittis, R.; Mariotti, N. Efficient one-pot syntehsis of 3,4-dihydropyrimidin-2(1H)-ones via a three-component Biginelli reaction. Molecules 2021, 26, 3753. [Google Scholar] [CrossRef]
- Safari, J.; Gandomi-Ravandi, S. A novel protocol for solvent-free synthesis of 4,6-diaryl-3,4-dihydropyridimine-2(1H)-ones catalysed by metal oxide-MWCNTs nanocomposites. J. Mol. Struct. 2014, 1074, 71–78. [Google Scholar] [CrossRef]
- Sharma, V.; Kumar, V. Indolizine: A biologically active moiety. Med. Chem. Res. 2014, 23, 3593–3606. [Google Scholar] [CrossRef]
- Rajesh, U.C.; Purohit, G.; Rawat, D.S. One-pot synthesis of aminoindolizines and chalcones using CuI/CSP nanocomposites with anomalousselectiity under green conditions. ACS Sustain. Chem. Eng. 2015, 3, 2397–2404. [Google Scholar] [CrossRef]
- Solgi, S.; Ghorbani-Vaghei, R.; Alavinta, S. Application of copper iodide nanoparticles immobilized porous polysulfonamide gel as an effective nano catalyst for the synthesis of amindolizines. J. Por. Mater. 2020, 28, 289–298. [Google Scholar] [CrossRef]
- Baraldi, P.G.; Romagnoli, R.; Beria, I.; Cozzi, P.; Geroni, C.; Mongelli, N.; Bianchi, N.; Mischiati, C.; Gambari, R. Synthesis and antitumor activity of new benzoheterocyclic derivatives of distamycin A. J. Med. Chem. 2000, 43, 2675–2684. [Google Scholar] [CrossRef]
- Leung, A.Y.; Foster, S. Encyclopedia of Common Natural Ingredients Used in Food, Drugs, and Cosmetics; Wiley: New York, NY, USA, 1996. [Google Scholar]
- Safaei-Ghomi, J.; Ali Ghasemzadeh, M.; Kakavand-Qalenoei, A. CuI-nanoparticles-catalyzed one-pot synthesis of benzo[b]furans via three-component coupling of aldehydes, amines and alkyne. J. Saud. Chem. Soc. 2016, 20, 502–509. [Google Scholar] [CrossRef]
- Purohit, G.; Rajesh, U.C.; Rawat, D.S. Hierarchically porous sphere-like copper oxide (HS-CuO) nanocatalyzed synthesis of benzofuran isomers with anomalous selectivity and their ideal green chemistry metrics. ACS Sustain. Chem. Eng. 2017, 5, 6466–6477. [Google Scholar] [CrossRef]
- Dawood, D.H.; Abbas, E.M.H.; Farghaly, T.A.; Ali, M.M.; Ibrahim, M.F. ZnO nanoparticles catalyst in the synthesis of bioactive fused pyrimidines as anti-breast cancer agents targeting VEGFR-2. Med. Chem. 2019, 15, 277–286. [Google Scholar] [CrossRef]
- Dinh Dang, M.; Ho Thuy Nguyen, L.; Thi Thu Nguyen, T.; Xuan Dat Mai, N.; Hoang Tran, P.; Le Hoang Doan, T. Using sulfate-functionalized Hf-based metal–organic frameworks as a heterogeneous catalyst for solvent-free synthesis of pyrimido[1,2-a]benzimidazoles via one-pot three-component reaction. J. Ind. Eng. Chem. 2021, 103, 340–347. [Google Scholar] [CrossRef]
- Makhsous, M.; Shirini, F.; Seddighi, M.; Mazloumi, M. Efficient Synthesis of Pyrimido[1,2-a]benzimidazoles and ethyl pyrimido[1,2-a]benzimidazole-3-carboxylates using Brönsted acidic ionic liquid supported on nanoporous Na+-Montmorillonite. Polycycl. Arom. Comp. 2020, 40, 494–501. [Google Scholar] [CrossRef]
- Safaei-Ghomi, J.; Tavazo, M.; Vakili, M.R.; Shahbazi-Alavi, H. Chitosan functionalized by citric acid: An efficient catalyst for one-pot synthesis of 2,4-diamino-5H-benzopyrano[2,3-b]pyridine-3-carbonitriles 5-(arylthio) or 5-[(arylmethyl)thio] substituted. J. Sulphur Chem. 2017, 38, 236–248. [Google Scholar] [CrossRef]
- Kour, G.; Gupta, M. A nano silver-xerogel (Agnps@modified TEOS) as a newly developed nanocatalyst in the synthesis of benzopyranopyrimidines (with secondary and primary amines) and gem-bisamides. Dalton Trans. 2017, 46, 7039–7050. [Google Scholar] [CrossRef]
- Kabeer, S.A.; Reddy, G.R.; Sreelakshmi, P.; Manidhar, D.M.; Reddy, C.S. TiO2-SiO2 catalyzed eco-friendly synthesis and antioxidant activity of benzopyrano[2,3-d]pyrimidine derivatives. J. Heterocycl. Chem. 2017, 54, 2598–2604. [Google Scholar] [CrossRef]
- Sadjadi, S.; Heravi, M.M.; Malmir, M. Heteropolyacid@creatin-halloysite clay: An environmentally friendly, reusable and heterogeneous catalyst for the synthesis of benzopyranopyrimidines. Res. Chem. Intermed. 2017, 43, 6701–6717. [Google Scholar] [CrossRef]
- Mostafavi, M.M.; Movahedi, F. Synthesis, characterization, and heterogeneous catalytic activity of sulfamic acid functionalized magnetic IRMOF-3. Eur. J. Inorg. Chem. 2019, 2019, 787–793. [Google Scholar] [CrossRef]
- Liang, Y.; Hu, Y.; Zhou, X.; Wu, Q.; Lin, X. One-pot construction of spirooxindole backbone via biocatalytic domino reaction. Tetrahedron. Lett. 2017, 30, 2923–2926. [Google Scholar] [CrossRef]
- Arya, K.; Rawat, D.S.; Sasai, H. Zeolite supported Bronsted-acid ionic liquids: An eco-approach for synthesis of spiro[indole-pyrido[3,2-e]thiazine] in water under ultra-sonication. Green Chem. 2012, 14, 1956–1963. [Google Scholar] [CrossRef]
- Rohi, M.; Sadeghi, B.; Moslemin, M. Synthesis of spirooxindoles with three component reaction between β-ketoesters, malononitrile and isatin derivatives in the presence of Alum.SiO2 nanoparticles as a new catalyst. Ciencia eNatura. 2015, 37, 80–85. [Google Scholar] [CrossRef][Green Version]
- Sadeghi, B.; Mousavi, S.A. Preparation and characterization of nano-coc-OSO3H as a novel nanocatalyst for the one-pot synthesis of spirooxindoles. Polycycl. Aromat. Compd. 2022, 42, 424–436. [Google Scholar] [CrossRef]
- Kleinman, E.F. The bimolecular aliphatic Mannich and related reactions. In Comprehensive Organic Synthesis; Trost, B.M., Fleming, I., Eds.; Elsevier Science Ltd.: Amsterdam, The Netherlands, 1991; Volume 2, pp. 893–951. [Google Scholar]
- Bosica, G.; Gabarretta, J. Unprecedented one-pot multicomponent synthesis of propargylamines using Amberlyst A-21 supported CuI under solvent-free conditions. RSC Adv. 2015, 57, 46074–46087. [Google Scholar] [CrossRef]
- Bosica, G.; Abdilla, R. The KA2 coupling reaction under green, solventless, heterogeneous catalysis. J. Mol. Cat. A. 2017, 426, 542–549. [Google Scholar] [CrossRef]
- Sun, W.; Xi, F.; Pan, W.; Gao, E. MIL-101(Cr)-SO3Ag: An efficient catalyst for solvent-free A3 coupling reactions. Mol. Cat. 2017, 430, 36–42. [Google Scholar] [CrossRef]
- Teimuri, R.; Gholamhosseini-Nazari, M.; Esmati, S.; Shahrisa, A. An efficient and green method for the synthesis of Betti base employing nano-SiO2-H3BO3 as a novel recyclable heterogenous catalyst. Res. Chem. Intermed. 2017, 43, 6845–6861. [Google Scholar] [CrossRef]
- Bosica, G.; Abdilla, R.; Demanuele, K. Revisiting the Betti synthesis: Using a cheap, readily available, recyclable clay catalyst under solventless conditions. Eur. J. Org. Chem. 2018, 44, 6127–6133. [Google Scholar] [CrossRef]
- Lei, Z.K.; Xiao, L.; Lu, X.Q.; Huang, H.; Liu, C.J. Graphite-supported perchloric acid (HClO4-C): An efficient and recyclable heterogeneous catalyst for the one-pot synthesis of amidoalkyl naphthols. Molecules 2013, 28, 1653–1659. [Google Scholar] [CrossRef]
- Kothandapani, J.; Ganesan, A.; Ganesan, S.S. Magnetically separable sulfonic acid catalysed one-pot synthesis of diverse indole derivatives. Tetrahedron. Lett. 2015, 56, 5568–5572. [Google Scholar] [CrossRef]
- Bosica, G.; Abdilla, R. Regioselective one-pot aza-Friedel-Crafts reaction for primary, secondary and tertiary anilines using heterogeneous catalyst. Green Chem. 2017, 19, 5683–5690. [Google Scholar] [CrossRef]
- Bosica, G.; Zammit, R. One-pot multicomponent nitro-Mannich reaction using a heterogeneous catalyst under solvent-free conditions. PeerJ 2018, 6, e5065. [Google Scholar] [CrossRef]
- Kulkarni, A.M.; Pandit, K.S.; Chavan, P.V.; Desai, U.V.; Wadgaonkar, P.P. Cobalt ferrite nanoparticles: A magnetically separable and reusable catalyst for Petasis-Borono-Mannich reaction. RSC Adv. 2015, 5, 70586–70594. [Google Scholar] [CrossRef]
- Sobhani, S.; Falatooni, Z.M.; Honarmand, M. Synthesis of phosphoric acid supported on magnetic core-shell nanoparticles: A novel recyclable heterogeneous catalyst for Kabachnik-Fields reaction in water. RSC Adv. 2014, 4, 15797–15806. [Google Scholar] [CrossRef]
- Teimuri, A.; Ghorbanian, L. One-pot three-component synthesis of β-amino carbonyl compounds using nanocrystalline solid acid catalyst. Int. J. Green Nanotechnol. 2013, 1, 1943089213507161. [Google Scholar] [CrossRef]
- Liu, D.; Zhang, J.; Zhang, C.; Kou, X. One-pot synthesis of β-amino carbonyl compounds catalysed silica supported phenylphosphinic acid. Green Process. Synth. 2015, 4, 11–15. [Google Scholar]
- Zhang, G.; Zheng, D.; Nie, J.; Wang, T.; Ma, J. Bronsted acid-catalyzed efficient Strecker reaction of ketones, amines and trimethylsilyl cyanide. Org. Biomol. Chem. 2010, 6, 1399–1405. [Google Scholar] [CrossRef]
- Gharib, A.; Pesyan, N.N.; Fard, L.V.; Roshani, M. Catalytic synthesis of α-aminonitriles using nano copper ferrite under green conditions. Org. Chem. Intern. 2014, 2014, 169803. [Google Scholar] [CrossRef]
- Knoevenagel, E. Condensation of malonic acid with aromatic aldehydes via ammonia and amines. Chem. Ber. 1898, 31, 2596–2619. [Google Scholar] [CrossRef]
- Horiuchi, Y.; Toyao, T.; Fujiwaki, M.; Dohshi, S.; Kim, T.; Matsuoka, M. Zeolitic imidazolate frameworks as heterogeneous catalysts for a one-pot P–C bond formation reaction via Knoevenagel condensation and phospha-Michael addition. RSC Adv. 2015, 5, 24687–24690. [Google Scholar] [CrossRef]
- Sobhani, S.; Hasaninejad, A.; Maleki, M.F.; Parizi, Z.P. Tandem Knoevenagel–Michael Reaction of 1-Phenyl-3-methyl-5-pyrazolone with Aldehydes Using 3-Aminopropylated Silica Gel as an Efficient and Reusable Heterogeneous Catalyst. Synth. Commun. 2012, 42, 2245–2255. [Google Scholar] [CrossRef]
- Tietze, L.F.; Brasche, G.; Gericke, K.M. Multicomponent reactions. In Domino Reactions in Organic Synthesis; Wiley-VCH: Weinheim, Germany, 2006; pp. 542–561. [Google Scholar]
- Antenucci, A.; Marra, F.; Dughera, S. Silica gel-immobilised chiral 1,2-benzenedisulfonimide: A Bronsted-acid heterogeneous catalyst for enantioselective multicomponent Passerini reaction. RSC Adv. 2021, 11, 26083–26092. [Google Scholar] [CrossRef]
- Ugi, I.; Meyr, R.; Fetzer, U. Versuche mit isonitrilen. Angew. Chem. 1959, 71, 386–397. [Google Scholar]
- Mohanram, I.; Meshram, J.; Shaikh, A. Kandpal, Microwave-assisted one-pot synthesis of bioactive UGI-4CR using fluorite as benign and heterogeneous catalyst. Synth. Commun. 2013, 43, 3322–3328. [Google Scholar] [CrossRef]
















































| Author (Date) Reference | Catalyst and Conditions | Yields, Recycling Runs |
|---|---|---|
| Heravi et al. (2015) [24] | Magnetite nanoparticles (1 mg) 80 °C Neat conditions 2–3 h | Yields: 82–90%, 7 examples Recycling runs: 4 (8% decrease in yield) |
| Yahyazadeh et al. (2018) [25] | Aminopropylated-salicylaldehyde-copper(II)-zirconia-coated magnetite 80 °C Neat conditions | Yields: 85–96%, 17 examples Recycling runs: 5 (5% decrease in yield) |
| Afradi et al. (2017) [26] | Niacin–magnetite MW 7–10 min | Yields: 73–95%, 15 examples Recycling runs: 6 (7% decrease in yield) |
| Challa et al. (2021) [27] | Amberlyst 15 Ultrasound RT Acetonitrile solvent 10 min | Yields: 75–92%, 17 examples Recycling runs: N/A |
| Achagar et al. (2022) [28] | Na2CaP2O7 nanoparticles Neat 30 min | Yields: 84–95%, 13 examples Recycling runs: 3 (3% decrease in yield) |
![]() Synthesis of 2-amino-3,5-dicarbonitrile-6-sulfanylpyridines | ||
|---|---|---|
| Author (Date) Reference | Catalyst and Conditions | Reaction times, Yields, Recycling Runs |
| Safaei et al. (2014) [29] | 6 mol% tin(IV) oxide nanoparticles Ethanol solvent 60 °C | 54–142 min, 79–92% Catalyst recycling: 5 runs (7% drop in yield) |
| Molla et al. (2014) [30] | 10 mol% Borax Ethanol solvent Reflux | 30–120 min, 75–92%, 19 examples Catalyst recycling: 5 runs (no specific data given) |
| Kumari et al. (2016) [31] | 5 mol% graphene oxide/titania Water solvent RT | 60–120 min, 79–89%, 9 examples Catalyst recycling: 7 runs (22% drop in yield) |
| Godugu et al. (2020) [32] | Dolomitic limestone (5.0 wt.%) 50% Ethanol/water 45–50 °C Ultrasound radiation | 30–45 min, 90–98%, 18 examples No recycling data specified |
| Ebrahimiasl et al. (2019) [33] | Magnetite@Cobalt(II) Schiff base 100 °C Neat conditions | 11–20 min, 90–98%, 8 examples Recycling runs: 5 (3% drop in yield) |
| Author (Date) Reference | Catalyst and Conditions | Product yields, Catalyst Recycling Runs |
|---|---|---|
| Banerjee et al. (2015) [42] | 10 mol% tetragonal zirconium(IV) oxide nanoparticles Water solvent 80 °C 40–55 min | 88–94%, 9 examples Catalyst reused for 10 runs (92 → 80%) |
| Rama et al. (2019) [43] | 20 mol% nickel(II) oxide Water solvent 50 °C Ball-milled for 30–60 min | 76–99%, 10 examples Catalyst reused for 3 runs (98 → 93%) |
| Sobhani et al. (2020) [44] | 1 mol% piperazine–graphene oxide 50% aqueous ethanol solvent 50 °C 5–150 min | 70–98%, 33 examples Catalyst reused for 6 runs (90 → 85%) |
| Chahkamali et al. (2022) [45] | 5 mol% (Γ-Fe2O3-Im-Py)2WO4 90 °C Neat 5.5–19 h | 45–91% (17 examples) Catalyst reused for 5 runs (91 → 85%) |
| Author (Date) Reference | Catalyst and Conditions | Reaction times, Yields, Recycling Runs |
|---|---|---|
| Patel et al. (2017) [62] | 13 mol% PANI-FeCl3 Acetonitrile solvent Reflux | 24 h, 61–90%, 19 examples No recycling runs specified |
| Alonso et al. (2020) [63] | 5 mol% Nb2O5 Neat 130 °C | 38–70 min, 60–94%, 9 examples Recycling runs: 4 (3% yield drop) |
| Ali et al. (2021) [64] | Pumice stone (0.4 g) Neat Heat (Temperature not specified) | 2–3 min, 91–97%, 18 examples No recycling runs specified |
| Bosica et al. (2021) [65] | Silicotungstic acid on Amberlyst 15 (40% w/w) (0.05 g per mmol) Neat 92 °C | 4.5–23 h, 37–86%, 17 examples Recycling runs: 5 (12% yield drop) |
| Author (Date) Reference | Catalyst and Conditions | Reaction Times, Yields, Recycling Runs |
|---|---|---|
| Kour et al. (2017) [78] | 0.1 g of nano-silver-xerogel 60 °C Ethanol solvent (2 mL per mmol) 45 min | 79–93%, 7 examples (secondary amines); 63%—using 1 primary amine |
| Kabeer et al. (2017) [79] | Titania–silica (5 mol%) 80 °C Neat 10–20 min | 89–94%, 12 examples Catalyst reused 3 times (92 → 85%) |
| Sadjadi, S. et al. (2017) [80] | Heteropolyacid@creatin-halloysite clay (0.03 g per mmol) Ultrasound radiation RT Water solvent (10 mL per mmol) 4 min | 78-92%, 8 examples Catalyst reused 5 times (95 → 88%) |
| Mostafavi et al. (2019) [81] | Sulfamic acid-functionalized magnetic IRMOF-3 nanocomposite (10 mg per mmol) RT 4 mL EtOH (per mmol) | 78–97%, 21 examples 3 h Catalyst reused 5 times (95 → 93%) |
Publisher’s Note: MDPI stays neutral with regard to jurisdictional claims in published maps and institutional affiliations. |
© 2022 by the authors. Licensee MDPI, Basel, Switzerland. This article is an open access article distributed under the terms and conditions of the Creative Commons Attribution (CC BY) license (https://creativecommons.org/licenses/by/4.0/).
Share and Cite
Bosica, G.; Abdilla, R. Recent Advances in Multicomponent Reactions Catalysed under Operationally Heterogeneous Conditions. Catalysts 2022, 12, 725. https://doi.org/10.3390/catal12070725
Bosica G, Abdilla R. Recent Advances in Multicomponent Reactions Catalysed under Operationally Heterogeneous Conditions. Catalysts. 2022; 12(7):725. https://doi.org/10.3390/catal12070725
Chicago/Turabian StyleBosica, Giovanna, and Roderick Abdilla. 2022. "Recent Advances in Multicomponent Reactions Catalysed under Operationally Heterogeneous Conditions" Catalysts 12, no. 7: 725. https://doi.org/10.3390/catal12070725
APA StyleBosica, G., & Abdilla, R. (2022). Recent Advances in Multicomponent Reactions Catalysed under Operationally Heterogeneous Conditions. Catalysts, 12(7), 725. https://doi.org/10.3390/catal12070725


