Lanthanum–Cerium-Modified Nickel Catalysts for Dry Reforming of Methane
Abstract
1. Introduction
2. Results and Discussion
2.1. BET (Brunauer–Emmett–Teller) Analysis
2.2. Temperature-Programmed Reduction (TPR)
2.3. X-ray Diffraction (XRD) Analysis
2.4. Scanning Electron Microscope (SEM) Analysis
2.5. Transmission Electron Microscope (TEM) Analysis
2.6. Catalyst Activity
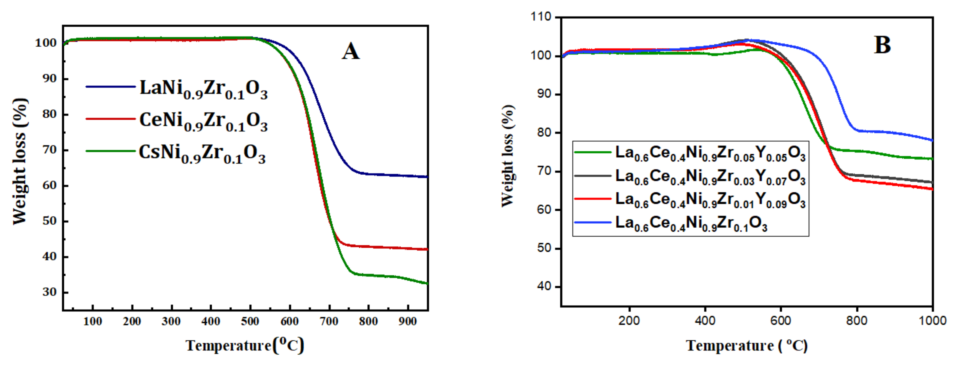
2.7. Thermogravimetric Analysis of the Used Catalyst (TGA)
2.8. RAMAN Analysis
3. Experimental Section
3.1. Catalyst Preparation
3.2. Catalytic Testing
3.3. Determination of Catalyst’s Physicochemical Properties
3.3.1. Nitrogen Physisorption
3.3.2. Temperature Programmed Reduction (TPR) Analysis
3.3.3. Thermo-Gravimetric Analysis (TGA)
3.3.4. X-ray Diffraction (XRD) Analysis
3.3.5. Transmission Electron Microscopy (TEM)
3.3.6. Laser Raman (NMR-4500) Spectrometer
4. Conclusions
Supplementary Materials
Author Contributions
Funding
Acknowledgments
Conflicts of Interest
References
- Valderrama, G.; Kiennemann, A.; Goldwasser, M.R. La-Sr-Ni-Co-O based perovskite-type solid solutions as catalyst precursors in the CO2 reforming of methane. J. Power Sources 2010, 195, 1765. [Google Scholar] [CrossRef]
- Gallego, G.S.; Marín, J.G.; Batiot-Dupeyrat, C.; Barrault, J.; Mondragón, F. Influence of Pr and Ce in dry methane reforming catalysts produced from La1−xAxNiO3−δ perovskites. Appl. Catal. A Gen. 2009, 369, 97. [Google Scholar] [CrossRef]
- Steinhauer, B.; Kasireddy, M.R.; Radnik, J.; Martin, A. Development of Ni-Pd bimetallic catalysts for the utilization of carbon dioxide and methane by dry reforming. Appl. Catal. A Gen. 2009, 366, 333. [Google Scholar] [CrossRef]
- Liu, H.; Wierzbicki, D.; Debek, R.; Motak, M.; Grzybek, T.; Da Costa, P.; Gálvez, M.E. La-promoted Ni-hydrotalcite-derived catalysts for dry reforming of methane at low temperatures. Fuel 2016, 182, 8. [Google Scholar] [CrossRef]
- San-José-Alonso, D.; Juan-Juan, J.; Illán-Gómez, M.J.; Román-Martínez, M.C. Ni, Co and bimetallic Ni-Co catalysts for the dry reforming of methane. Appl. Catal. A Gen. 2009, 371, 54. [Google Scholar] [CrossRef]
- Hanley, E.S.; Deane, J.P.; Gallachóir, B.P.Ó. The role of hydrogen in low carbon energy futures–A review of existing perspectives Renew. Sustain. Energy Rev. 2018, 82, 3027. [Google Scholar] [CrossRef]
- Al-mubaddel, F.S.; Kumar, R.; Lanre, M.; Frusteri, F.; Aidid, A.; Kumar, V.; Olajide, S.; Hamza, A.; Elhag, A.; Osman, A.I.; et al. Optimizing acido-basic profile of support in Ni supported La2O3 + Al2O3 catalyst for dry reforming of methane. Int. J. Hydrogen Energy 2021, 46, 14225–14235. [Google Scholar] [CrossRef]
- Rahmani, F.; Haghighi, M.; Vafaeian, Y.; Estifaee, P. Hydrogen production via CO2 reforming of methane over ZrO2-Doped Ni/ZSM-5 nanostructured catalyst prepared by ultrasound assisted sequential impregnation method. J. Power Sources 2014, 272, 816. [Google Scholar] [CrossRef]
- Zhang, L.; Wang, X.; Chen, C.; Zou, X.; Ding, W.; Lu, X. Dry reforming of methane to syngas over lanthanum-modified mesoporous nickel aluminate/γ-alumina nanocomposites by one-pot synthesis. Int. J. Hydrogen Energy 2017, 42, 11333. [Google Scholar] [CrossRef]
- Al-Fatish, A.S.A.; Ibrahim, A.A.; Fakeeha, A.H.; Soliman, M.A.; Siddiqui, M.R.H.; Abasaeed, A.E. Coke formation during CO2 reforming of CH4 over alumina-supported nickel catalysts. Appl. Catal. A Gen. 2009, 364, 150. [Google Scholar] [CrossRef]
- Itkulova, S.S.; Nurmakanov, Y.Y.; Kussanova, S.K.; Boleubayev, Y.A. Production of a hydrogen-enriched syngas by combined CO2-steam reforming of methane over Co-based catalysts supported on alumina modified with zirconia. Catal. Today 2018, 299, 272. [Google Scholar] [CrossRef]
- Sutthiumporn, K.; Maneerung, T.; Kathiraser, Y.; Kawi, S. CO2 dry-reforming of methane over La0.8Sr0.2Ni0.8M0.2O3 perovskite (M = Bi, Co, Cr, Cu, Fe): Roles of lattice oxygen on C–H activation and carbon suppression. Int. J. Hydrogen Energy 2012, 37, 11195. [Google Scholar] [CrossRef]
- Sim, Y.; Kwon, D.; An, S.; Ha, J.M.; Oh, T.S.; Jung, J.C. Catalytic behavior of ABO3 perovskites in the oxidative coupling of methane. Mol. Catal. 2020, 489, 110925. [Google Scholar] [CrossRef]
- Kathiraser, Y.; Oemar, U.; Saw, E.T.; Li, Z.; Kawi, S. Kinetic and mechanistic aspects for CO2 reforming of methane over Ni based catalysts. Chem. Eng. J. 2015, 278, 62. [Google Scholar] [CrossRef]
- Fakeeha, A.H.; Bagabas, A.A.; Lanre, M.S.; Osman, A.I.; Elnour, A.Y.; Abasaeed, A.E.; Al-fatesh, A.S. Catalytic Performance of Metal Oxides Promoted Nickel Catalysts Supported on Mesoporous γ-Alumina in Dry Reforming of Methane. Process 2020, 8, 522. [Google Scholar] [CrossRef]
- Xu, L.; Song, H.; Chou, L. Carbon dioxide reforming of methane over ordered mesoporous NiO-MgO-Al2O3 composite oxides. Appl. Catal. B Environ. 2011, 177, 108. [Google Scholar] [CrossRef]
- Lanre, M.S.; Al-Fatesh, A.S.; Fakeeha, A.H.; Kasim, S.O.; Ibrahim, A.A.; Al-Awadi, A.S.; Al-Zahrani, A.A.; Abasaeed, A.E.; Sa, A.S.A. Catalytic Performance of Lanthanum Promoted Ni/ZrO2 for Carbon Dioxide Reforming of Methane. Process 2020, 8, 1502. [Google Scholar] [CrossRef]
- Fang, X.; Peng, C.; Peng, H.; Iu, W.; Xu, X.; Wang, X.; Li, C.; Hou, W. Methane Dry Reforming over Coke-Resistant Mesoporous Ni-Al2O3 Catalysts Prepared by Evaporation-Induced Self-Assembly Method. ChemCatChem 2015, 7, 3753. [Google Scholar] [CrossRef]
- Patel, R.; Fakeeha, A.H.; Kasim, S.O.; Sofiu, M.L.; Ibrahim, A.A.; Abasaeed, A.E.; Kumar, R.; Al-Fatesh, A.S. Optimizing yttria-zirconia proportions in Ni supported catalyst system for H2 production through dry reforming of methane. Mol. Catal. 2021, 510, 111676. [Google Scholar] [CrossRef]
- Ewbank, J.L.; Kovarik, L.; Diallo, F.Z.; Sievers, C. Effect of metal-support interactions in Ni/Al2O3 catalysts with low metal loading for methane dry reforming. Appl. Catal. A Gen. 2015, 494, 57. [Google Scholar] [CrossRef]
- Oemar, U.; Li Ang, M.; Hidajat, K.; Kawi, S. Enhancing performance of Ni/La2O3 catalyst by Sr-modification for steam reforming of toluene as model compound of biomass tar. RSC Adv. 2015, 5, 17834. [Google Scholar] [CrossRef]
- Zou, X.; Wang, X.; Li, L.; Shen, K.; Lu, X.; Ding, W. Development of highly effective supported nickel catalysts for pre-reforming of liquefied petroleum gas under low steam to carbon molar ratios. Int. J. Hydrogen Energy 2010, 35, 12191. [Google Scholar] [CrossRef]
- Shen, K.; Wang, X.; Zou, X.; Wang, X.; Lu, X.; Ding, W. Pre-reforming of liquefied petroleum gas over nickel catalysts supported on magnesium aluminum mixed oxides. Int. J. Hydrogen Energy 2011, 36, 4908. [Google Scholar] [CrossRef]
- Råberg, L.B.; Jensen, M.B.; Olsbye, U.; Daniel, C.; Haag, S.; Mirodatos, C.; Sjåstad, A.O. Propane dry reforming to synthesis gas over Ni-based catalysts: Influence of support and operating parameters on catalyst activity and stability. J. Catal. 2007, 249, 250. [Google Scholar] [CrossRef]
- Liu, D.; Quek, X.Y.; Cheo, W.N.E.; Lau, R.; Borgna, A.; Yang, Y. MCM-41 supported nickel-based bimetallic catalysts with superior stability during carbon dioxide reforming of methane: Effect of strong metal-support interaction. J. Catal. 2009, 266, 380. [Google Scholar] [CrossRef]
- Batiot-Dupeyrat, C.; Valderrama, G.; Meneses, A.; Martinez, F.; Barrault, J.; Tatibouët, J.M. Pulse study of CO2 reforming of methane over LaNiO3. Appl. Catal. A Gen. 2003, 248, 143. [Google Scholar] [CrossRef]
- Liu, Q.; Gu, F.; Lu, X.; Liu, Y.; Li, H.; Zhong, Z.; Xu, G.; Su, F. Enhanced catalytic performances of Ni/Al2O3 catalyst via addition of V2O3 for CO methanation. Appl. Catal. A Gen. 2014, 488, 37. [Google Scholar] [CrossRef]
- Valderrama, G.; Urbina De Navarro, C.; Goldwasser, M.R. CO2 reforming of CH4 over Co–La-based perovskite-type catalyst precursors. J. Power Sources 2013, 234, 31. [Google Scholar] [CrossRef]
- Ginsburg, J.M.; Piña, J.; Solh, T.; de Lasa, H.I. Coke Formation over a Nickel Catalyst under Methane Dry Reforming Conditions: Thermodynamic and Kinetic Models. Ind. Eng. Chem. Res. 2005, 44, 4846. [Google Scholar] [CrossRef]
- Zhang, X.; Zhang, Q.; Tsubaki, N.; Tan, Y.; Han, Y. Influence of zirconia phase on the performance of Ni/ZrO2. Appl. Catal. A 2015, 34, 135. [Google Scholar] [CrossRef]
- Kopyscinski, J.; Schildhauer, T.J.; Biollaz, S.M.A. Production of synthetic natural gas (SNG) from coal and dry biomass—A technology review from 1950 to 2009. Fuel 2010, 89, 1763. [Google Scholar] [CrossRef]
- Choi, S.O.; Moon, S.H. Performance of La1−xCexFe0.7Ni0.3O3 perovskite catalysts for methane steam reforming. Catal. Today 2009, 146, 148. [Google Scholar] [CrossRef]
- Luo, J.Z.; Yu, Z.L.; Ng, C.F.; Au, C.T. CO2/CH4 Reforming over Ni–La2O3/5A: An Investigation on Carbon Deposition and reaction steps. J. Catal. 2000, 194, 198. [Google Scholar] [CrossRef]
- Liu, F.; Zhao, L.; Wang, H.; Bai, X.; Liu, Y. Study on the preparation of Ni–La–Ce-oxide catalyst for steam reforming of ethanol. Int. J. Hydrogen Energy 2014, 39, 10454. [Google Scholar] [CrossRef]
- Yang, E.H.; Kim, N.Y.; Noh, Y.-S.; Lim, S.S.; Jung, J.-S.; Lee, J.S.; Hong, G.H.; Moon, D.J. Steam CO2 reforming of methane over La1−xCexNiO3 perovskite catalysts. Int. J. Hydrogen Energy 2015, 40, 11831. [Google Scholar] [CrossRef]
- Lima, S.M.; Assaf, J.M.; Peña, M.A.; Fierro, J.L.G. Structural features of La1−xCexNiO3 mixed oxides and performance for the dry reforming of methane. Appl. Catal. A Gen. 2006, 311, 94. [Google Scholar] [CrossRef]
- Wang, Y.Z.; Li, F.M.; Cheng, H.M.; Fan, L.Y.; Zhao, Y.X. A comparative study on the catalytic properties of high Ni-loading Ni/SiO2 and low Ni-loading Ni-Ce/SiO2 for CO methanation. J. Fuel Chem. Technol. 2013, 41, 972. [Google Scholar] [CrossRef]
- Frontera, P.; Candamano, M.A.; Crea, S.; Barberio, F.M.; Antonucci, P.L. Alkaline-Promoted Zeolites for Methane Dry-Reforming Catalyst Preparation. Adv. Sci. Lett. 2017, 23, 5883. [Google Scholar] [CrossRef]
- Therdthianwong, S.; Therdthianwong, A.; Siangchin, C.; Yongprapat, S. Synthesis gas production from dry reforming of methane over Ni/Al2O3 stabilized by ZrO2. Int. J. Hydrogen Energy 2008, 33, 991. [Google Scholar] [CrossRef]
- Choque, V.; De la Piscina, P.R.; Molyneux, D.; Homs, N. Ruthenium supported on new TiO2-ZrO2 systems as catalysts for the partial oxidation of methane. Catal. Today 2010, 149, 248. [Google Scholar] [CrossRef]
- Talaie, N.; Sadr, M.H.; Aghabozorg, H.; Zare, K. Synthesis and application of LaNiO3 perovskite-type nanocatalyst with Zr for carbon dioxide reforming of methane. Orient. J. Chem. 2016, 32, 2723. [Google Scholar] [CrossRef][Green Version]
- Dama, S.; Ghodke, S.R.; Bobade, R.; Gurav, H.R.; Chilukuri, S. Active and durable alkaline earth metal substituted perovskite catalysts for dry reforming of methane. Appl. Catal. B Environ. 2018, 224, 146. [Google Scholar] [CrossRef]
- Lanre, M.S.; Abasaeed, A.E.; Fakeeha, A.H.; Ibrahim, A.A.; Alquraini, A.A.; AlReshaidan, S.B.; Al-Fatesh, A.S. Modification of CeNi0.9Zr0.1O3 Perovskite Catalyst by Partially Substituting Yttrium with Zirconia in Dry Reforming of Methane. Materials 2022, 15, 3564. [Google Scholar] [CrossRef]
- Li, J.; Gao, R.; Zhu, L.; Zhang, Y.; Li, Z.; Li, B.; Wang, J.; He, J.; He, Y.; Qin, Z.; et al. Hydrogen-Rich Gas Production with the Ni-La/Al2O3-CaO-C Catalyst from Co-Pyrolysis of Straw and Polyethylene. Catalysts 2022, 12, 496. [Google Scholar] [CrossRef]
- Dezvareha, P.; Aghabozorgb, H.; Hossaini Sadrc, M.; Zared, K. Synthesis, characterization, and catalytic performance of La1−xCexNi1−yZryO3 perovskite nanocatalysts in dry reforming of methane. Orient. J. Chem. 2018, 34, 1469–1477. [Google Scholar] [CrossRef]














| Samples | SSA, m2/g | Pv, cm3/g | Pd, nm |
|---|---|---|---|
| CsNi0.9 Zr0.1O3 | 5.19 | 0.029 | 25.33 |
| LaNi0.9 Zr0.1O3 | 5.33 | 0.027 | 25.82 |
| CeNi0.9 Zr0.1O3 | 9.35 | 0.031 | 12.12 |
| Samples | SSA (m2/g) | Pv (cm3/g) | Pd (nm) |
|---|---|---|---|
| La0.6Ce0.4Ni0.9Zr0.1O3 | 8.36 | 0.065 | 35.32 |
| La0.6Ce0.4Ni0.9Zr0.05Y0.05O3 | 3.24 | 0.01 | 16.02 |
| La0.6Ce0.4Ni0.9Zr0.03Y0.07O3 | 2.47 | 0.011 | 26.62 |
| La0.6Ce0.4Ni0.9Zr0.01Y0.09O3 | 2.64 | 0.011 | 22.43 |
| Catalyst Names | Ni Particle Size |
|---|---|
| Fresh CeNi0.9Zr0.1O3 | 9.44 nm |
| Used CeNi0.9Zr0.1O3 | 11.68 nm |
| Fresh La0.6Ce0.4Ni0.9Zr0.01Y0.09O3 | 5.68 nm |
| Used La0.6Ce0.4Ni0.9Zr0.01Y0.09O3 | 8.05 nm |
| Catalyst Constituents | Operating Temperature | Product/Conversion | Ref. |
|---|---|---|---|
| La0.95Ce0.05NiO3 | 1023 K | CH4 = 50 CO2 = 60 | [36] |
| La0.6Ce0.4NiO3 | 1023 K | CH4 = 47 CO2 = 58 | [36] |
| La0.3Ce0.7NiO3 | 1023 K | CH4 = 30 CO2 = 36 | [36] |
| La0.9Ce0.1Ni0.9Zr0.1O3 | 1073 K | CH4 = 40 CO2 = 60 | [45] |
| La0.9Ce0.1Ni0.8Zr0.2O3 | 1073 K | CH4 = 60 CO2 = 80 | [45] |
| La0.9Ce0.1Ni0.7Zr0.3O3 | 1073 K | CH4 = 10 CO2 = 20 | [45] |
| La0.6Ce0.4Ni0.9Zr0.1O3 | 1073 K | CH4 = 84 CO2 = 87 | [this work] |
| La0.6Ce0.4Ni0.9Zr0.05Y0.05O3 | 1073 K | CH4 = 80 CO2 =85 | [this work] |
| La0.6Ce0.4Ni0.9Zr0.03Y0.07O3 | 1073 K | CH4 = 86 CO2 = 90 | [this work] |
| La0.6Ce0.4Ni0.9Zr0.01Y0.09O3 | 1073 K | CH4 = 89 CO2 = 91 | [this work] |
Publisher’s Note: MDPI stays neutral with regard to jurisdictional claims in published maps and institutional affiliations. |
© 2022 by the authors. Licensee MDPI, Basel, Switzerland. This article is an open access article distributed under the terms and conditions of the Creative Commons Attribution (CC BY) license (https://creativecommons.org/licenses/by/4.0/).
Share and Cite
Lanre, M.S.; Abasaeed, A.E.; Fakeeha, A.H.; Ibrahim, A.A.; Al-Awadi, A.S.; Jumah, A.b.; Al-Mubaddel, F.S.; Al-Fatesh, A.S. Lanthanum–Cerium-Modified Nickel Catalysts for Dry Reforming of Methane. Catalysts 2022, 12, 715. https://doi.org/10.3390/catal12070715
Lanre MS, Abasaeed AE, Fakeeha AH, Ibrahim AA, Al-Awadi AS, Jumah Ab, Al-Mubaddel FS, Al-Fatesh AS. Lanthanum–Cerium-Modified Nickel Catalysts for Dry Reforming of Methane. Catalysts. 2022; 12(7):715. https://doi.org/10.3390/catal12070715
Chicago/Turabian StyleLanre, Mahmud S., Ahmed E. Abasaeed, Anis H. Fakeeha, Ahmed A. Ibrahim, Abdulrahman S. Al-Awadi, Abdulrahman bin Jumah, Fahad S. Al-Mubaddel, and Ahmed S. Al-Fatesh. 2022. "Lanthanum–Cerium-Modified Nickel Catalysts for Dry Reforming of Methane" Catalysts 12, no. 7: 715. https://doi.org/10.3390/catal12070715
APA StyleLanre, M. S., Abasaeed, A. E., Fakeeha, A. H., Ibrahim, A. A., Al-Awadi, A. S., Jumah, A. b., Al-Mubaddel, F. S., & Al-Fatesh, A. S. (2022). Lanthanum–Cerium-Modified Nickel Catalysts for Dry Reforming of Methane. Catalysts, 12(7), 715. https://doi.org/10.3390/catal12070715

