Decolorization and Oxidation of Acid Blue 80 in Homogeneous and Heterogeneous Phases by Selected AOP Processes
Abstract
:1. Introduction
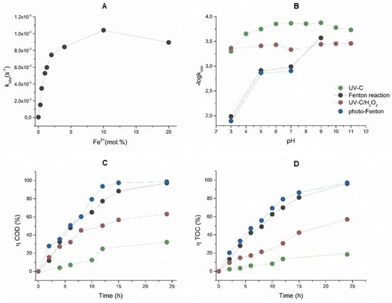
2. Results
3. Discussion
4. Materials and Methods
4.1. Chemicals and Materials
4.2. Kinetic Measurements in a Homogeneous Phase
4.2.1. Fenton Oxidation
4.2.2. Photo-Fenton Oxidation
4.2.3. AB80 Photolysis Using UVC
4.2.4. Photochemical Oxidation of AB80 Using the UV-C/H2O2 Reaction System
4.3. Kinetic Measurements in a Heterogeneous Phase
4.4. Calculations and Kinetic Models
4.5. Analysis
5. Conclusions
Author Contributions
Funding
Data Availability Statement
Conflicts of Interest
References
- Chequer, F.M.D.; de Oliveira, G.A.R.; Ferraz, E.R.A.; Cardoso, J.C.; Zanoni, M.V.B.; de Oliveira, D.P. Textile Dyes: Dyeing Process and Environmental Impact. In Eco-Friendly Textile Dyeing and Finishing; Günay, M., Ed.; IntechOpen: London, UK, 2013; Available online: https://www.intechopen.com/chapters/41411 (accessed on 7 April 2022). [CrossRef]
- UNESCO World Water Assessment Programme. Water for People, Water for Life: The United Nations World Water Development Report; A Joint Report by the Twenty-Three UN Agencies Concerned with Freshwater, 1st ed.; UNESCO: Paris, France, 2003; pp. 85–87. [Google Scholar]
- Yaseen, D.A.; Scholz, M. Textile dye wastewater characteristics and constituents of synthetic effluents: A critical review. Int. J. Environ. Sci. Technol. 2019, 16, 1193–1226. [Google Scholar] [CrossRef]
- Uribe, I.O.; Mosquera-Corral, A.; Rodicio, J.L.; Esplugas, S. Advanced technologies for water treatment and reuse. AIChE J. 2015, 61, 3146–3158. [Google Scholar] [CrossRef]
- Capodaglio, A.G. Critical Perspective on Advanced Treatment Processes for Water and Wastewater: AOPs, ARPs, and AORPs. Appl. Sci. 2020, 10, 4549. [Google Scholar] [CrossRef]
- Coha, M.; Farinelli, G.; Tiraferri, A.; Minella, M.; Vione, D. Advanced oxidation processes in the removal of organic substances from produced water: Potential, configurations, and research needs, Chem. Eng. J. 2021, 414, 128668. [Google Scholar] [CrossRef]
- Cuerda-Correa, E.M.; Alexandre-Franco, M.F.; Fernández-González, C. Advanced Oxidation Processes for the Removal of Antibiotics from Water. An Overview. Water 2020, 12, 102. [Google Scholar] [CrossRef]
- Pichat, P. Photocatalysis and Water Purification: From Fundamentals to Recent Applications, 1st ed.; Wiley-VCH: Weinheim, Germany, 2013; pp. 311–333. [Google Scholar]
- Dušek, L. Treatment of wastewater using chemical oxidation with hydroxyl radicals. Chem. List. 2010, 104, 846–854. [Google Scholar]
- Ren, W.; Zhou, Z.; Zhu, Y.; Jiang, L.; Wei, H.; Niu, T.; Fu, P.; Qiu, Z. Effect of sulfate radical oxidation on disintegration of waste activated sludge. Int. Biodeter. Biodegrad. 2015, 104, 384–390. [Google Scholar] [CrossRef]
- Yang, Q.; Ma, Y.; Chen, F.; Yao, F.; Sun, J.; Wang, S.; Yi, K.; Hou, L.; Li, X.; Wang, D. Recent advances in photo-activated sulfate radical-advanced oxidation process (SR-AOP) for refractory organic pollutants removal in water. Chem. Eng. J. 2019, 378, 122149. [Google Scholar] [CrossRef]
- Kuchtová, G.; Chýlková, J.; Váňa, J.; Vojs, M.; Dušek, L. Electro-oxidative decolorization and treatment of model wastewater containing Acid Blue 80 on boron doped diamond and platinum anodes. J. Electroanal. Chem. 2020, 863, 114036–114046. [Google Scholar] [CrossRef]
- Lama, G.; Meijide, J.; Sanromán, A.; Pazos, M. Heterogeneous Advanced Oxidation Processes: Current Approaches for Wastewater Treatment. Catalysts 2022, 12, 344. [Google Scholar] [CrossRef]
- Schwarze, M.; Klingbeil, C.; Do, H.U.; Kutorglo, E.M.; Parapat, R.Y.; Tasbihi, M. Highly Active TiO2 Photocatalysts for Hydrogen Production through a Combination of Commercial TiO2 Material Selection and Platinum Co-Catalyst Deposition Using a Colloidal Approach with Green Reductants. Catalysts 2021, 11, 1027. [Google Scholar] [CrossRef]
- Kete, M.; Pavlica, E.; Fresno, F.; Bratina, G.; Štangar, U.L. Highly active photocatalytic coatings prepared by a low-temperature method. Environ. Sci. Pollut. Res. 2014, 21, 11238–11249. [Google Scholar] [CrossRef] [PubMed]
- Tolosana-Moranchel, A.; Casas, J.A.; Carbajo, J.; Faraldos, M.; Bahamonde, A. Influence of TiO2 optical parameters in a slurry photocatalytic reactor: Kinetic modelling. Appl. Catal. B Environ. 2017, 200, 164–173. [Google Scholar] [CrossRef]
- Keulemans, M.; Verbruggen, S.W.; Hauchecorne, B.; Martens, J.A.; Lenaerts, S. Activity versus selectivity in photocatalysis: Morphological or electronic properties tipping the scale. J. Catal. 2016, 344, 221–228. [Google Scholar] [CrossRef]
- Espinola-Portilla, F.; Navarro-Mendoza, R.; Gutiérrez-Granados, S.; Morales-Muñoz, U.; Brillas-Coso, E.; Peralta-Hernández, J.M. A simple process for the deposition of TiO2 onto BDD by electrophoresis and its application to the photoelectrocatalysis of Acid Blue 80 dye. J. Electroanal. Chem. 2017, 802, 57–63. [Google Scholar] [CrossRef]
- Su, Y.; Deng, L.; Zhang, N.; Wang, X.; Zhu, X. Photocatalytic degradation of C.I. Acid Blue 80 in aqueous suspensions of titanium dioxide under sunlight. React. Kinet. Catal. Lett. 2009, 98, 227. [Google Scholar] [CrossRef]
- Ao, C.H.; Leung, M.K.H.; Lam, R.C.W.; Leung, D.Y.C.; Vrijmoed, L.L.P.; Yam, W.C.; Ng, S.P. Photocatalytic decolorization of anthraquinonic dye by TiO2 thin film under UVA and visible-light irradiation. Chem. Eng. J. 2007, 129, 153–159. [Google Scholar] [CrossRef]
- Chen, C.; Wang, Z.; Ruan, S.; Zou, B.; Zhao, M.; Wu, F. Photocatalytic degradation of C.I. Acid Orange 52 in the presence of Zn-doped TiO2 prepared by a stearic acid gel method. Dye Pigment. 2008, 77, 204–209. [Google Scholar] [CrossRef]
- Galindo, C.; Jacques, p.; Kalt, A. Photodegradation of the aminoazobenzene acid orange 52 by three advanced oxidation processes: UV/H2O2, UV/TiO2 and VIS/TiO2: Comparative mechanistic and kinetic investigations. J. Photochem. Photobiol. A Chem. 2000, 130, 35–47. [Google Scholar] [CrossRef]
- Saggioro, E.M.; Oliveira, A.S.; Pavesi, T.; Maia, C.G.; Ferreira, L.F.V.; Moreira, J.C. Use of Titanium Dioxide Photocatalysis on the Remediation of Model Textile Wastewaters Containing Azo Dyes. Molecules 2011, 16, 10370–10386. [Google Scholar] [CrossRef]
- Bello, M.M.; Aziz, A.; Raman, A.; Asghar, A. A review on approaches for addressing the limitations of Fenton oxidation for recalcitrant wastewater treatment. Process Saf. Environ. Prot. 2019, 126, 119–140. [Google Scholar] [CrossRef]
- Brillas, E.; Garcia-Segura, S. Benchmarking recent advances and innovative technology approaches of Fenton, photo-Fenton, electro-Fenton, and related processes: A review on the relevance of phenol as model molecule. Sep. Purif. Technol. 2020, 237, 116337. [Google Scholar] [CrossRef]
- Kočanová, V.; Dušek, L. Electrochemical dissolution of steel as a typical catalyst for electro-Fenton oxidation. Mon. Chem. 2016, 147, 935–941. [Google Scholar] [CrossRef] [PubMed]
- Liu, Y.; Zhao, Y.; Wang, J. Fenton/Fenton-like processes with in-situ production of hydrogen peroxide/hydroxyl radical for degradation of emerging contaminants: Advances and prospects. J. Hazard. Mater. Part B 2021, 404, 124191. [Google Scholar] [CrossRef]
- Kanafin, Y.N.; Makhatova, A.; Zarikas, V.; Arkhangelsky, E.; Poulopoulos, S.G. Photo-Fenton-Like Treatment of Municipal Wastewater. Catalysts 2021, 11, 1206. [Google Scholar] [CrossRef]
- Filice, S.; Bongiorno, C.; Libertino, S.; Gradon, L.; Iannazzo, D.; Scalese, S. Photo-Fenton Degradation of Methyl Orange with Dunino Halloysite as a Source of Iron. Catalysts 2022, 12, 257. [Google Scholar] [CrossRef]
- Pouran, S.R.; Aziz, A.R.A.; Daud, W.M.A.W. Review on the main advances in photo-Fenton oxidation system for recalcitrant wastewaters. J. Ind. Eng. Chem. 2015, 21, 53–69. [Google Scholar] [CrossRef]
- Buxton, G.V.; Greenstock, C.L.; Helman, W.P.; Ross, A.B. Critical-Review of Rate Constants for Reactions of Hydrated Electrons, Hydrogen-Atoms and Hydroxyl Radicals(•OH/•O−) in Aqueous-Solution. J. Phys. Chem. Ref. Data 1988, 17, 513–886. [Google Scholar] [CrossRef]
- Wang, J.L.; Xu, J.L. Advanced Oxidation Processes for Wastewater Treatment: Formation of Hydroxyl Radical and Application. Crit. Rev. Environ. Sci. Technol. 2012, 42, 251–325. [Google Scholar] [CrossRef]
- Krystynik, P.; Masin, P.; Kluson, P. Pilot scale application of UV-C/H2O2 for removal of chlorinated ethenes from contaminated groundwater. J. Water Supply Res. Technol. AQUA 2018, 67, 414–422. [Google Scholar] [CrossRef]
- Masin, P.; Krystynik, P.; Zebrak, R. Practical Application of Photochemical Oxidation H2O2/UV-C Technique for Decontamination of Heavily Polluted Water. Chem. Listy 2015, 11, 885–891. [Google Scholar]
- Tian, F.X.; Ye, W.K.; Xu, B.; Hu, X.J.; Ma, S.X.; Lai, F.; Gao, Q.Y.; Xing, H.B.; Xia, W.H.; Wang, B. Comparison of UV-induced AOPs (UV/Cl2, UV/NH2Cl, UV/ClO2 and UV/H2O2) in the degradation of iopamidol: Kinetics, energy requirements and DBPs-related toxicity in sequential disinfection processes. Chem. Eng. J. 2020, 398, 125570. [Google Scholar] [CrossRef] [PubMed]
- Elmobarak, W.F.; Hameed, B.H.; Almomani, F.; Abdullah, A.Z. A Review on the Treatment of Petroleum Refinery Wastewater Using Advanced Oxidation Processes. Catalysts 2021, 11, 782. [Google Scholar] [CrossRef]
- Sharma, K.; Vaya, D.; Prasad, G.; Surolia, P.K. Photocatalytic process for oily wastewater treatment: A review. Int. J. Environ. Sci. Technol. 2022, 1, 1–20. [Google Scholar] [CrossRef]
- Zhang, Y.; Zhao, Y.G.; Maqbool, F.; Hu, Y. Removal of antibiotics pollutants in wastewater by UV-based advanced oxidation processes: Influence of water matrix components, processes optimization and application: A review. J. Water Process Eng. 2022, 45, 102496. [Google Scholar] [CrossRef]
- Hama Aziz, K.H.; Omer, K.M.; Mahyar, A.; Miessner, H.; Mueller, S.; Moeller, D. Application of Photocatalytic Falling Film Reactor to Elucidate the Degradation Pathways of Pharmaceutical Diclofenac and Ibuprofen in Aqueous Solutions. Coatings 2019, 9, 465. [Google Scholar] [CrossRef]
- Gupta, V.K.; Jain, R.; Mittal, A.; Saleh, T.A.; Nayak, A.; Agarwal, S.; Sikarwar, S. Photo-catalytic degradation of toxic dye amaranth on TiO2/UV in aqueous suspensions. Mater. Sci. Eng. C 2012, 32, 12–17. [Google Scholar] [CrossRef]
- Gupta, V.K.; Jain, R.; Nayak, A.; Agarwal, S.; Shrivastava, M. Removal of the hazardous dye—Tartrazine by photodegradation on titanium dioxide surface. Mater. Sci. Eng. C 2011, 31, 1062–1067. [Google Scholar] [CrossRef]
- Selvaraj, A.; Sivakumar, S.; Ramasamy, A.K.; Balasubramanian, V. Photocatalytic degradation of triazine dyes over N-doped TiO2 in solar radiation. Res. Chem. Intermed. 2013, 39, 2287–2302. [Google Scholar] [CrossRef]
- Behnajady, M.A.; Modirshahla, N. Nonlinear regression analysis of kinetics of the photocatalytic decolorization of an azodye in aqueous TiO2 slurry. Photochem. Photobiol. Sci. 2006, 5, 1078–1081. [Google Scholar] [CrossRef]
- Aleboyeh, A.; Aleboyeh, H.; Moussa, Y. Decolorisation of Acid Blue 74 by ultraviolet/H2O2. Environ. Chem. Lett. 2003, 1, 161–164. [Google Scholar] [CrossRef]
- Lindsay, S. Effect of Electrolyte pH on the Electrosynthesis of Hydrogen Peroxide on Carbon Blackbased Gas Diffusion Electrodes. Master’s Thesis, Clemson University, Clemson, SC, USA, 2020. Available online: https://tigerprints.clemson.edu/all_theses/3384 (accessed on 9 June 2022).
- Da Pozzo, A.; Ferrantelli, P.; Merli, C.; Petrucci, E. Oxidation efficiency in the electro-Fenton process. J. Appl. Electrochem. 2005, 35, 391–398. [Google Scholar] [CrossRef]
- Jiang, C.; Zhang, J. Progress and prospect in electro-Fenton process for wastewater treatment. Zhejiang Univ. Sci. 2007, 8, 1118–1125. [Google Scholar] [CrossRef]
- Rosales, E.; Pazos, M.; Longo, M.A.; Sanromán, M.A. Electro-Fenton decoloration of dyes in a continuous reactor: A promising technology in colored wastewater treatment. Chem. Eng. J. 2009, 155, 62–67. [Google Scholar] [CrossRef]
- Zuo, Z.; Cai, Z.; Katsumura, Y.; Chitose, N.; Muroya, Y. Reinvestigation of the acid-base equilibrium of the (bi)carbonate radical and pH dependence of its reactivity with inorganic reactants. Radiat. Phys. Chem. 1999, 55, 15–23. [Google Scholar] [CrossRef]
- Bouchaaba, H.; Bellal, B.; Trari, M. Removal of a Commercial Dye, Alizarin Red, by Solar Photocatalysis Involving the Heterosystem ZnO–SnO2. Theor. Exp. Chem. 2018, 53, 417–422. [Google Scholar] [CrossRef]
- Kumar, K.V.; Porkodi, K.; Selvaganapathi, A. Constrain in solving Langmuir–Hinshelwood kinetic expression for the photocatalytic degradation of Auramine O aqueous solutions by ZnO catalyst. Dye Pigment. 2007, 75, 246–249. [Google Scholar] [CrossRef]
- Atkins, P.W.; De Paula, J. Atkins’ Physical Chemistry, 8th ed.; Oxford University Press: Oxford, NY, USA, 2006; pp. 839–845. [Google Scholar]
- Štěrba, V.; Panchartek, J. Reaction Kinetics in Organic Chemistry; Univerzita Pardubice: Pardubice, Czech Republic, 1995; ISBN 80-7194-018-6. [Google Scholar]
- Nordin, N.; Riyanto, S.F.M.; Othman, M.R. Textile Industries Wastewater Treatment by Electrochemical Oxidation Technique Using Metal Plate. Int. J. Electrochem. Sci. 2013, 8, 11403–11415. [Google Scholar]





| AOP Process Name | Reaction System | System Reaction Mechanism | Ref. |
|---|---|---|---|
| Fenton oxidation | H2O2/Fe2+ | Fe2+ + H2O2 → Fe3+ + OH− + OH• Fe3+ + H2O2 → H+ + Fe-OOH2+ Fe-OOH2+ → HO2• + Fe2+ | [9,24,25,26,27] |
| Photo-Fenton oxidation | H2O2/Fe2+/UV H2O2/Fe3+/UV H2O2/[FeIII(C2O4)3]3−/UV | Fe2+ + H2O2 → Fe3+ + OH− + OH• Fe(OH)2+ + hν → Fe2+ + OH• Fe3+ + H2O2 → Fe2+ + HO2• + H+ [FeIII(C2O4)3]3− + hν → [FeII(C2O4)2]2− + C2O4•− C2O4•− + [FeIII(C2O4)3]3− → [FeII(C2O4)2]2− + C2O42− + 2CO2 C2O4•− + O2 → O2•− + 2CO2 | [28,29,30] |
| Photolysis | AB80/UVC | AB80 + hν →AB80+• + e−aq. e−aq.+ O2 → O2•− k = 2 × 1010 dm3mol−1s−1 2O2•− + 2H2O → 2OH• + OH− + O2 | [31,32] |
| Photochemical oxidation | H2O2/UVC | H2O2 + hν → 2OH• 2H2O2 + 2OH• → H2O + HO2• 2HO2• → H2O + O2 | [33,34] |
| Photocatalytic oxidation | TiO2/UVA/O2 | TiO2 + hν → e− + TiO2 (h+) e− + O2 → O2•− 2O2•− + 2H2O → 2OH• + OH− + O2 TiO2 (h+) + OH− → TiO2 + OH• TiO2 (h+) + H2O → TiO2 + OH• + H+ | [34,35,36,37,38,39] |
| Process | Fenton | Foto-Fenton | UVC | UVC/H2O2 | Katalyst P25 | UVA/TiO2 Katalyst P90 | Katalyst AV01 |
|---|---|---|---|---|---|---|---|
| pH | k1 × 102 (s−1) | k1 × 102 (s−1) | k1 × 104 (s−1) | k1 × 104 (s−1) | k1 × 103 (s−1) | k1 × 103 (s−1) | k1 × 103 (s−1) |
| Decolorization in a homogeneous phase | Decolorization in a heterogeneous phase | ||||||
| 3 | 1.04 ± 0.020 | 1.28 ± 0.029 | 4.99 ± 0.427 | 4.32 ± 0.196 | 2.29 ± 0.131 | 4.16 ± 0.292 | 1.60 ± 0.075 |
| 4 | - | - | 2.22 ± 0.599 | - | - | - | - |
| 5 | 0.12 ± 0.006 | 0.14 ± 0.008 | 1.78 ± 0.123 | 3.88 ± 0.200 | 1.89 ± 0.069 | 2.53 ± 0.072 | 0.93 ± 0.018 |
| 6 | - | - | 1.40 ± 0.033 | 3.70 ± 0.131 | - | - | - |
| 7 | 0.10 ± 0.002 | 0.12 ± 0.008 | 1.36 ± 0.061 | 4.63 ± 0.209 | 1.18 ± 0.021 | 1.11 ± 0.016 | 0.60 ± 0.006 |
| 8 | - | - | 1.39 ± 0.109 | - | - | - | - |
| 9 | 0.03 ± 0.001 | - | 1.33 ± 0.054 | 3.61 ± 0.141 | 0.98 ± 0.014 | 0.98 ± 0.010 | 0.57 ± 0.006 |
| 10 | - | - | 1.66 ± 0.061 | 3.51 ± 0.213 | - | - | - |
| 11 | - | - | 1.85 ± 0.038 | 3.47 ± 0.227 | 1.62 ± 0.011 | 1.84 ± 0.022 | 0.71 ± 0.007 |
| Mineralization in a homogeneous phase | Mineralization in a heterogeneous phase | ||||||
| 3 | 0.16 ± 0.031 | 0.19 ± 0.033 | 1.67 ± 0.250 | 4.61 ± 0.635 | 0.21 ± 0.044 | 0.19 ± 0.074 | 0.13 ± 0.028 |
| 7 | - | - | - | - | 0.11 ± 0.023 | 0.11 ± 0.025 | 0.02 ± 0.003 |
| 11 | - | - | - | - | 0.08 ± 0.020 | 0.03 ± 0.004 | 0.03 ± 0.008 |
Publisher’s Note: MDPI stays neutral with regard to jurisdictional claims in published maps and institutional affiliations. |
© 2022 by the authors. Licensee MDPI, Basel, Switzerland. This article is an open access article distributed under the terms and conditions of the Creative Commons Attribution (CC BY) license (https://creativecommons.org/licenses/by/4.0/).
Share and Cite
Palarčík, J.; Krupková, O.; Peroutková, P.; Malaťák, J.; Velebil, J.; Chýlková, J.; Dušek, L. Decolorization and Oxidation of Acid Blue 80 in Homogeneous and Heterogeneous Phases by Selected AOP Processes. Catalysts 2022, 12, 644. https://doi.org/10.3390/catal12060644
Palarčík J, Krupková O, Peroutková P, Malaťák J, Velebil J, Chýlková J, Dušek L. Decolorization and Oxidation of Acid Blue 80 in Homogeneous and Heterogeneous Phases by Selected AOP Processes. Catalysts. 2022; 12(6):644. https://doi.org/10.3390/catal12060644
Chicago/Turabian StylePalarčík, Jiří, Olga Krupková, Petra Peroutková, Jan Malaťák, Jan Velebil, Jaromíra Chýlková, and Libor Dušek. 2022. "Decolorization and Oxidation of Acid Blue 80 in Homogeneous and Heterogeneous Phases by Selected AOP Processes" Catalysts 12, no. 6: 644. https://doi.org/10.3390/catal12060644
APA StylePalarčík, J., Krupková, O., Peroutková, P., Malaťák, J., Velebil, J., Chýlková, J., & Dušek, L. (2022). Decolorization and Oxidation of Acid Blue 80 in Homogeneous and Heterogeneous Phases by Selected AOP Processes. Catalysts, 12(6), 644. https://doi.org/10.3390/catal12060644

