Ce1−xFexVO4 with Improved Activity for Catalytic Reduction of NO with NH3
Abstract
:1. Introduction
2. Results and Discussion
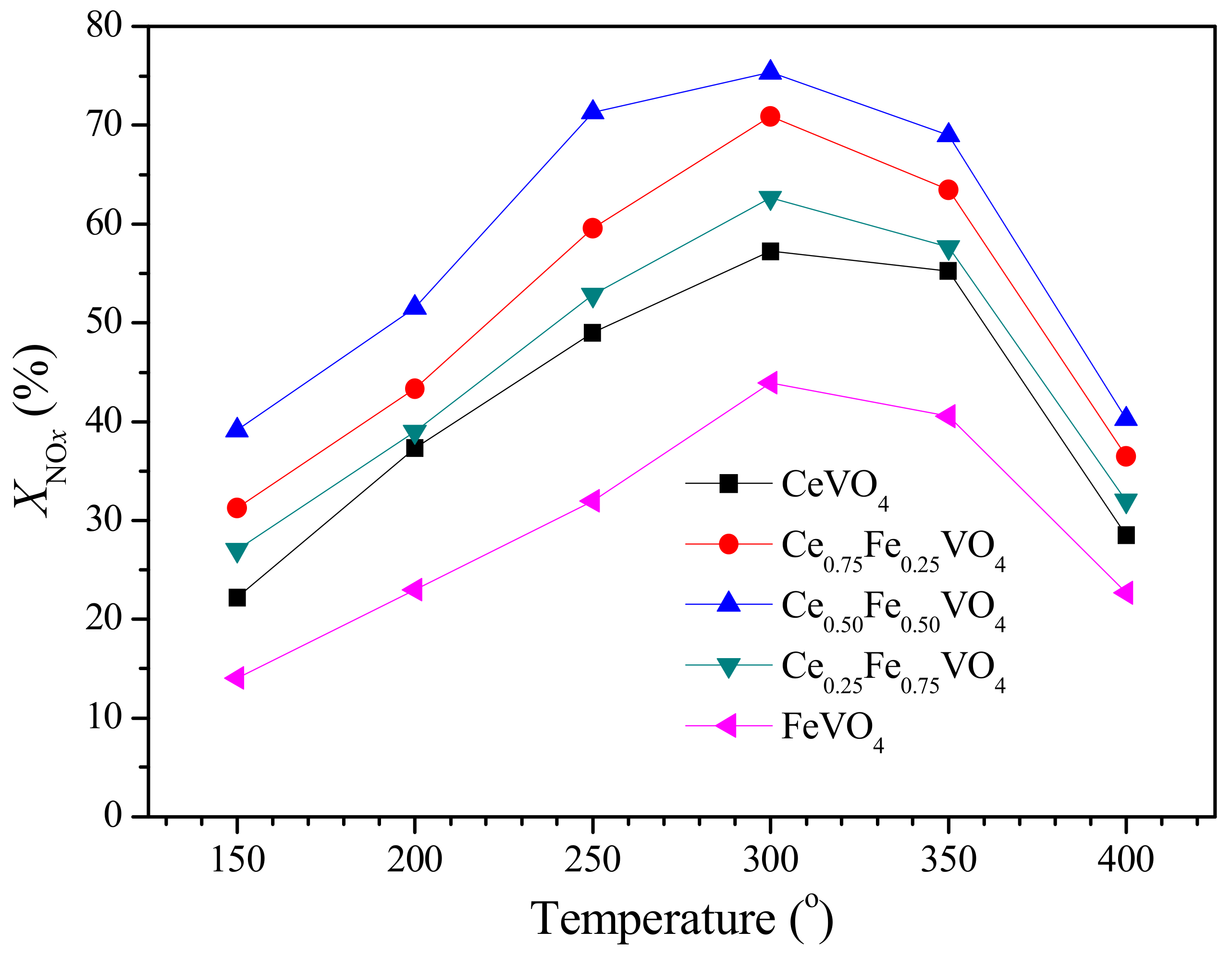
2.1. Catalytic Performance
2.2. Regular Characterization
2.3. XPS Data
2.4. H2-TPR and NH3-TPD Data
3. Materials and Methods
3.1. Synthesis
3.2. Activity Measurement
3.3. Characterization
4. Conclusions
Supplementary Materials
Author Contributions
Funding
Data Availability Statement
Conflicts of Interest
References
- Jiang, Y.; Bao, C.Z.; Liu, Q.Y.; Liang, G.T.; Lu, M.Y.; Ma, S.Y. A novel CeO2-MoO3-WO3/TiO2 catalyst for selective catalytic reduction of NO with NH3. Catal. Commun. 2018, 103, 96–100. [Google Scholar] [CrossRef]
- Wang, D.; Chen, Q.Z.; Zhang, X.; Gao, C.; Wang, B.; Huang, X.; Peng, Y.; Li, J.H.; Lu, C.M.; Crittenden, J. Multipollutant control (MPC) of flue gas from stationary sources using SCR technology: A critical review. Environ. Sci. Technol. 2021, 55, 2743–2766. [Google Scholar] [CrossRef] [PubMed]
- Xu, G.Y.; Guo, X.L.; Cheng, X.X.; Yu, J.; Fang, B.Z. A review of Mn-based catalysts for low-temperature NH3-SCR: NOx removal and H2O/SO2 resistance. Nanoscale 2021, 13, 7052–7080. [Google Scholar] [CrossRef] [PubMed]
- Duan, C.P.; Guo, R.T.; Wu, G.L.; Pan, W.G. Selective catalytic reduction of NOx by NH3 over CeVO4-CeO2 nanocomposite. Environ. Sci. Pollut. Res. 2020, 27, 22818–22828. [Google Scholar] [CrossRef]
- Zhang, W.D.; Qi, S.H.; Pantaleo, G.; Liotta, L.F. WO3–V2O5 active oxides for NOx SCR by NH3: Preparation methods, catalysts’ composition, and deactivation mechanism—A review. Catalysts 2019, 9, 527. [Google Scholar] [CrossRef] [Green Version]
- Gao, F.Y.; Tang, X.L.; Yi, H.H.; Li, J.Y.; Zhao, S.Z.; Wang, J.G.; Chu, C.; Li, C.L. Promotional mechanisms of activity and SO2 tolerance of Co- or Ni-doped MnOx-CeO2 catalysts for SCR of NOx with NH3 at low temperature. Chem. Eng. J. 2017, 317, 20–31. [Google Scholar] [CrossRef]
- Wu, Z.H.; Zeng, Y.Q.; Song, F.J.; Zhang, S.L.; Zhong, Q. Active sites assembly effect on CeO2-WO3-TiO2 catalysts for selective catalytic reduction of NO with NH3. Mol. Catal. 2019, 479, 110549. [Google Scholar] [CrossRef]
- Song, Z.X.; Yin, L.T.; Zhang, Q.L.; Ning, P.; Duan, Y.K.; Wang, J.; Liu, X.; Long, K.X.; Huang, Z.Z. Relationship between the WO3 states and reaction pathway over CeO2-ZrO2-WO3 catalysts for selective catalytic reduction of NO with NH3. Mol. Catal. 2017, 437, 95–104. [Google Scholar] [CrossRef]
- Shen, B.X.; Zhang, X.P.; Ma, H.Q.; Yao, Y.; Liu, T. A comparative study of Mn/CeO2, Mn/ZrO2 and Mn/Ce-ZrO2 for low temperature selective catalytic reduction of NO with NH3 in the presence of SO2 and H2O. J. Environ. Sci. 2013, 25, 791–800. [Google Scholar] [CrossRef]
- Liu, C.; Gao, G.; Shi, J.W.; He, C.; Li, G.D.; Bai, N.; Niu, C. MnOx-CeO2 shell-in-shell microspheres for NH3-SCR de-NOx at low temperature. Catal. Commun. 2016, 86, 36–40. [Google Scholar] [CrossRef]
- Chang, H.Z.; Chen, X.Y.; Li, J.H.; Ma, L.; Wang, C.Z.; Liu, C.X.; Schwank, J.W.; Hao, J.M. Improvement of activity and SO2 tolerance of Sn-modified MnOx-CeO2 catalysts for NH3-SCR at low temperatures. Environ. Sci. Technol. 2013, 47, 5294–5301. [Google Scholar] [CrossRef] [PubMed]
- Jiang, H.X.; Zhao, J.; Jiang, D.Y.; Zhang, M.H. Hollow MnOx-CeO2 nanospheres prepared by a green route: A novel low-temperature NH3-SCR catalyst. Catal. Lett. 2014, 144, 325–332. [Google Scholar] [CrossRef]
- Peng, Y.; Li, J.H.; Huang, X.; Li, X.; Su, W.K.; Sun, X.X.; Wang, D.Z.; Hao, J.M. Deactivation mechanism of potassium on the V2O5/CeO2 catalysts for SCR reaction: Acidity, reducibility and adsorbed-NOx. Environ. Sci. Technol. 2014, 48, 4515–4520. [Google Scholar] [CrossRef] [PubMed]
- Kang, L.; Han, L.P.; Wang, P.L.; Feng, C.; Zhang, J.P.; Yan, T.T.; Deng, J.; Shi, L.Y.; Zhang, D.S. SO2-tolerant NOx reduction by marvelously suppressing SO2 adsorption over FeδCe1−δVO4 catalysts. Environ. Sci. Technol. 2020, 54, 14066–14075. [Google Scholar] [CrossRef]
- Wu, G.X.; Li, J.; Fang, Z.T.; Lan, L.; Wang, R.; Gong, M.C.; Chen, Y.Q. FeVO4 nanorods supported TiO2 as a superior catalyst for NH3–SCR reaction in a broad temperature range. Catal. Commun. 2015, 64, 75–79. [Google Scholar] [CrossRef]
- Wu, G.X.; Feng, X.; Zhang, H.L.; Zhang, Y.H.; Wang, J.L.; Chen, Y.Q.; Dan, Y. The promotional role of Ni in FeVO4/TiO2 monolith catalyst for selective catalytic reduction of NO with NH3. Appl. Surf. Sci. 2018, 427, 24–36. [Google Scholar] [CrossRef]
- Casanova, M.; Llorca, J.; Sagar, A.; Schermanz, K.; Trovarelli, A. Mixed iron–erbium vanadate NH3-SCR catalysts. Catal. Today 2015, 241, 159–168. [Google Scholar] [CrossRef]
- Huang, X.S.; Zhang, G.D.; Dong, F.; Tang, Z.C. The remarkable promotional effect of Sn on CeVO4 catalyst for wide temperature NH3-SCR process by citric acid-assisted solvothermal synthesis and post-hydrothermal treatment. Catal. Sci. Technol. 2018, 8, 5604–5615. [Google Scholar] [CrossRef]
- Wu, G.L.; Guo, R.T.; Liu, Y.Z.; Duan, C.P.; Miao, Y.F.; Gu, J.W.; Pan, W.G. Promoting effect of Sb on the selective catalytic reduction of NO with NH3 over CeVO4 catalyst. J. Energy Inst. 2021, 95, 77–86. [Google Scholar] [CrossRef]
- Kim, J.; Kim, D.H.; Kwon, D.W.; Lee, K.Y.; Ha, H.P. Unveiling the traits of rare earth metal (RM)-substituted bimetallic Ce0.5RM0.5V1O4 phases to activate selective NH3 oxidation and NOX reduction. Appl. Surf. Sci. 2020, 518, 146238. [Google Scholar] [CrossRef]
- Casanova, M.; Schermanz, K.; Llorca, J.; Trovarelli, A. Improved high temperature stability of NH3-SCR catalysts based on rare earth vanadates supported on TiO2-WO3-SiO2. Catal. Today 2012, 184, 227–236. [Google Scholar] [CrossRef]
- Gillot, S.; Tricot, G.; Vezin, H.; Dacquin, J.P.; Dujardin, C.; Granger, P. Induced effect of tungsten incorporation on the catalytic properties of CeVO4 systems for the selective reduction of NOx by ammonia. Appl. Catal. B Environ. 2018, 234, 318–328. [Google Scholar] [CrossRef]
- Zhao, X.; Huang, L.; Namuangruk, S.; Hu, H.; Hu, X.N.; Shi, L.Y.; Zhang, D.S. Morphology-dependent performance of Zr-CeVO4/TiO2 for selective catalytic reduction of NO with NH3. Catal. Sci. Technol. 2016, 6, 5543–5553. [Google Scholar] [CrossRef]
- Zhao, X.; Huang, L.; Li, H.R.; Hu, H.; Hu, X.N.; Shi, L.Y.; Zhang, D.S. Promotional effects of zirconium doped CeVO4 for the low-temperature selective catalytic reduction of NOx with NH3. Appl. Catal. B Environ. 2016, 183, 269–281. [Google Scholar] [CrossRef]
- Si, Z.P.; Shen, Y.J.; He, J.B.; Yan, T.T.; Zhang, J.P.; Deng, J.; Zhang, D.S. SO2-induced alkali resistance of FeVO4/TiO2 catalysts for NOx reduction. Environ. Sci. Technol. 2022, 56, 605–613. [Google Scholar] [CrossRef] [PubMed]
- Damma, D.; Ettireddy, P.R.; Reddy, B.M.; Smirniotis, P.G. A review of low temperature NH3-SCR for removal of NOx. Catalysts 2019, 9, 349. [Google Scholar] [CrossRef] [Green Version]
- Wang, L.; Wang, J.B.; Liu, X.N.; Chen, Y.X.; Cheng, H.P.; Wu, Y.B.; Peng, H.; Ma, Z. FeCeOx with improved activity for catalytic reduction of NO with NH3. J. Phys. Chem. Solids 2020, 142, 109472. [Google Scholar] [CrossRef]
- Guan, J.; Li, J.; Ye, Z.; Wu, D.; Liu, C.; Wang, H.; Ma, C.; Huo, P.; Yan, Y. La2O3 media enhanced electrons transfer for improved CeVO4@halloysite nanotubes photocatalytic activity for removing tetracycline. J. Taiwan Inst. Chem. Eng. 2019, 96, 281–298. [Google Scholar] [CrossRef]
- Hu, X.L.; Qu, W.Y.; Chen, J.X.; Xu, D.R.; Liu, J.; Dong, Y.Y.; Liu, R.; Ma, Z.; Tang, X.F. Speeding up low-temperature SCR with reactants-coupling dual catalytic sites. Chem. Eng. J. 2022, 440, 135832. [Google Scholar] [CrossRef]
- Lu, G.; Song, B.; Li, Z.; Liang, H.Y.; Zou, X.J. Photocatalytic degradation of naphthalene on CeVO4 nanoparticles under visible light. Chem. Eng. J. 2020, 402, 125645. [Google Scholar] [CrossRef]
- Lopez-Moreno, S.; Errandonea, D.; Pellicer-Porres, J.; Martinez-Garcia, D.; Patwe, S.J.; Achary, S.N.; Tyagi, A.K.; Rodriguez-Hernandez, P.; Munoz, A.; Popescu, C. Stability of FeVO4 under pressure: An X-ray diffraction and first-principles study. Inorg. Chem. 2018, 57, 7860–7876. [Google Scholar] [CrossRef] [PubMed]
- Anjaneya, K.C.; Nayaka, G.P.; Manjanna, J.; Govindaraj, G.; Ganesha, K.N. Studies on structural, morphological and electrical properties of Ce0.8Ln0.2O2−x (Ln = Y3+, Gd3+, Sm3+, Nd3+ and La3+) solid solutions prepared by citrate complexation method. J. Alloy. Compd. 2014, 585, 594–601. [Google Scholar] [CrossRef]
- Qu, W.Y.; Chen, Y.X.; Huang, Z.W.; Gao, J.Y.; Zhou, M.J.; Chen, J.X.; Li, C.; Ma, Z.; Chen, J.M.; Tang, X.F. Active tetrahedral iron sites of γ-Fe2O3 catalyzing NO reduction by NH3. Environ. Sci. Technol. Lett. 2017, 4, 246–250. [Google Scholar] [CrossRef]
- Yao, L.; Li, X.; Liu, H.; Li, Z.; Lu, Q. One-dimensional hierarchical CeVO4/TiO2 heterostructures with enhanced photocatalytic performance. J. Nanopart. Res. 2019, 21, 140. [Google Scholar] [CrossRef]
- Wang, Y.; Liu, H.; Hu, P.P.; Huang, Z.W.; Gao, J.Y.; Xu, F.; Ma, Z.; Tang, X.F. Enhancing the catalytic activity of hollandite manganese oxide by supporting sub-10 nm ceria particles. Catal. Lett. 2015, 145, 1880–1884. [Google Scholar] [CrossRef]
- Gillot, S.; Tricot, G.; Vezin, H.; Dacquin, J.P.; Dujardin, C.; Granger, P. Development of stable and efficient CeVO4 systems for the selective reduction of NOx by ammonia: Structure-activity relationship. Appl. Catal. B Environ. 2017, 218, 338–348. [Google Scholar] [CrossRef]
- Wu, G.; Li, J.; Fang, Z.; Lan, L.; Wang, R.; Lin, T.; Gong, M.; Chen, Y. Effectively enhance catalytic performance by adjusting pH during the synthesis of active components over FeVO4/TiO2–WO3–SiO2 monolith catalysts. Chem. Eng. J. 2015, 271, 1–13. [Google Scholar] [CrossRef]
- Lian, Z.H.; Liu, F.D.; He, H. Enhanced activity of Ti-modified V2O5/CeO2 catalyst for the selective catalytic reduction of NOx with NH3. Ind. Eng. Chem. Res. 2014, 53, 19506–19511. [Google Scholar] [CrossRef]
- Chen, Y.X.; Huang, Z.W.; Hu, P.P.; Chen, J.M.; Tang, X.F. Improved performance of supported single-atom catalysts via increased surface active sites. Catal. Commun. 2016, 75, 74–77. [Google Scholar] [CrossRef]











Publisher’s Note: MDPI stays neutral with regard to jurisdictional claims in published maps and institutional affiliations. |
© 2022 by the authors. Licensee MDPI, Basel, Switzerland. This article is an open access article distributed under the terms and conditions of the Creative Commons Attribution (CC BY) license (https://creativecommons.org/licenses/by/4.0/).
Share and Cite
Wang, L.; Wang, J.; Cheng, H.; Zhou, X.; Ma, Z. Ce1−xFexVO4 with Improved Activity for Catalytic Reduction of NO with NH3. Catalysts 2022, 12, 549. https://doi.org/10.3390/catal12050549
Wang L, Wang J, Cheng H, Zhou X, Ma Z. Ce1−xFexVO4 with Improved Activity for Catalytic Reduction of NO with NH3. Catalysts. 2022; 12(5):549. https://doi.org/10.3390/catal12050549
Chicago/Turabian StyleWang, Li, Junbo Wang, Heping Cheng, Xiangxiang Zhou, and Zhen Ma. 2022. "Ce1−xFexVO4 with Improved Activity for Catalytic Reduction of NO with NH3" Catalysts 12, no. 5: 549. https://doi.org/10.3390/catal12050549
APA StyleWang, L., Wang, J., Cheng, H., Zhou, X., & Ma, Z. (2022). Ce1−xFexVO4 with Improved Activity for Catalytic Reduction of NO with NH3. Catalysts, 12(5), 549. https://doi.org/10.3390/catal12050549

