Establishment of Integrated Analysis Method for Probing and Reconstructing Hydrogenation Mechanism of a Model Reaction
Abstract
:1. Introduction
2. Results and Discussion
2.1. Catalytic Performance for the Hydrogenation of 4-Nitrophenol
2.2. UHPLC-Q-Orbitrap-HRMS Analysis
2.3. 1HNMR Spectroscopic Analysis for Further Confirmation of Intermediates
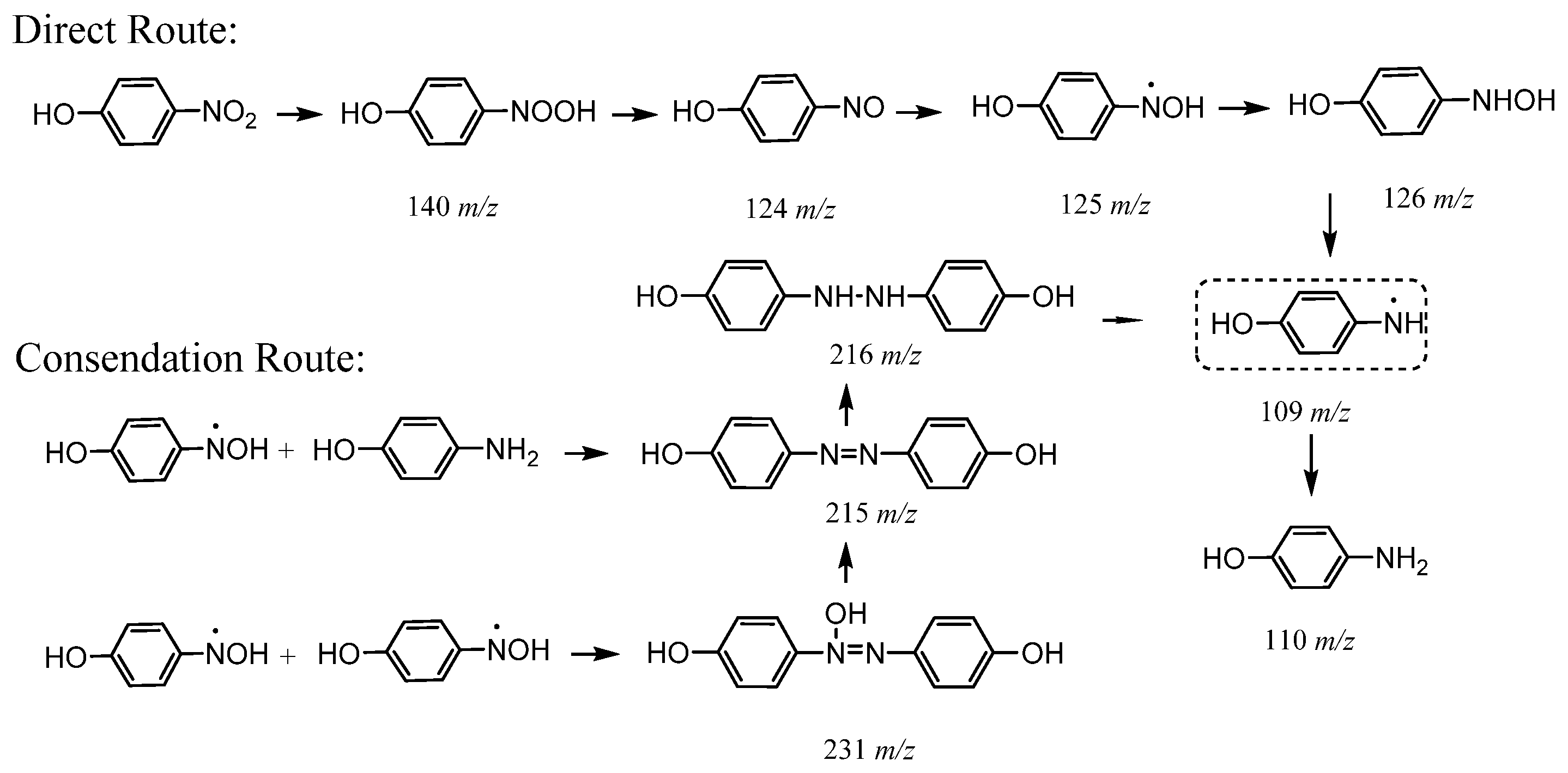
2.4. Mechanistic Insight into the Reaction of 4-Nitrophenol Hydrogenation
3. Experimental Section
3.1. Material
3.2. Catalyst Preparation
3.3. Characterization
3.4. Determination of Reaction Time Node
3.5. Separation by HPLC
3.6. LC-MS/MS Analysis
3.7. 1HNMR Analysis
4. Conclusions
Supplementary Materials
Author Contributions
Funding
Data Availability Statement
Acknowledgments
Conflicts of Interest
References
- Bhui, D.K.; Misra, A. Synthesis of worm like silver nanoparticles in methyl cellulose polymeric matrix and its catalytic activity. Carbohydr. Polym. 2012, 89, 830–835. [Google Scholar] [CrossRef]
- Karimi, S.; Bahri-Laleh, N.; Pareras, G.; Sadjadi, S.; Nekoomanesh-Haghighi, M.; Poater, A. Pd on nitrogen rich polymer–halloysite nanocomposite as an environmentally benign and sustainable catalyst for hydrogenation of polyalfaolefin based lubricants. J. Ind. Eng. Chem. 2021, 97, 441–451. [Google Scholar] [CrossRef]
- Zhang, K.; Suh, J.M.; Choi, J.W.; Jang, H.W.; Shokouhimehr, M.; Varma, R.S. Recent Advances in the Nanocatalysts-assisted NaBH4 Reduction of Nitroaromatics in water. ACS Omega 2019, 4, 483–495. [Google Scholar] [CrossRef] [Green Version]
- Shokouhimehr, M.; Hong, K.; Lee, T.H.; Moon, C.W.; Hong, S.P.; Zhang, K.; Suh, J.M.; Choi, K.S.; Varma, R.S.; Jang, H.W. Magnetically retrievable nanocomposite adorned with Pd nanocatalysts: Efficient reduction of nitroaromatics in aqueous media. Green Chem. 2018, 20, 3809–3817. [Google Scholar] [CrossRef]
- Tabrizi, M.; Sadjadi, S.; Pareras, G.; Nekoomanesh-Haghighi, M.; Bahri-Laleh, N.; Poater, A. Efficient hydro-finishing of polyalfaolefin based lubricants under mild reaction condition using Pd on ligands decorated halloysite. J. Colloid Interface Sci. 2021, 581 Pt B, 939–953. [Google Scholar] [CrossRef]
- Sadjadi, S.; Koohestani, F.; Pareras, G.; Nekoomanesh-Haghighi, M.; Bahri-Laleh, N.; Poater, A. Combined experimental and computational study on the role of ionic liquid containing ligand in the catalytic performance of halloysite-based hydrogenation catalyst. J. Mol. Liq. 2021, 331, 115740. [Google Scholar] [CrossRef]
- Nayebi, B.; Rabiee, N.; Nayebi, B.; Shahedi Asl, M.; Ramakrishna, S.; Jang, H.W.; Varma, R.S.; Shokouhimehr, M. Boron nitride-palladium nanostructured catalyst: Efficient reduction of nitrobenzene derivatives in water. Nano Express 2020, 1, 030012. [Google Scholar] [CrossRef]
- Dehghani, S.; Sadjadi, S.; Bahri-Laleh, N.; Nekoomanesh-Haghighi, M.; Poater, A. Study of the effect of the ligand structure on the catalytic activity of Pd@ ligand decorated halloysite: Combination of experimental and computational studies. Appl. Organomet. Chem. 2019, 33, e4891. [Google Scholar] [CrossRef]
- Kundu, S.; Mandal, M.; Ghosh, S.K.; Pal, T. Photochemical deposition of SERS active silver nanoparticles on silica gel and their application as catalysts for the reduction of aromatic nitro compounds. J. Colloid Interface Sci. 2004, 272, 134–144. [Google Scholar] [CrossRef]
- Liu, X.; Cheng, H.; Cui, P. Catalysis by silver nanoparticles/porous silicon for the reduction of nitroaromatics in the presence of sodium borohydride. Appl. Surf. Sci. 2014, 292, 695–701. [Google Scholar] [CrossRef]
- Pozun, Z.D.; Rodenbusch, S.E.; Keller, E.; Tran, K.; Tang, W.; Stevenson, K.J.; Henkelman, G. A Systematic Investigation of p-Nitrophenol Reduction by Bimetallic Dendrimer Encapsulated Nanoparticles. J. Phys. Chem. C Nanomater. Interfaces 2013, 117, 7598–7604. [Google Scholar] [CrossRef]
- Sharma, A.; Dutta, R.K.; Roychowdhury, A.; Das, D.; Goyal, A.; Kapoor, A. Cobalt doped CuO nanoparticles as a highly efficient heterogeneous catalyst for reduction of 4-nitrophenol to 4-aminophenol. Appl. Catal. A Gen. 2017, 543, 257–265. [Google Scholar] [CrossRef]
- Gelder, E.A.; Jackson, S.D.; Lok, C.M. The hydrogenation of nitrobenzene to aniline: A new mechanism. Chem. Commun. 2005, 4, 522–524. [Google Scholar] [CrossRef]
- Corma, A.; Concepcion, P.; Serna, P. A different reaction pathway for the reduction of aromatic nitro compounds on gold catalysts. Angew. Chem. Int. Ed. Engl. 2007, 46, 7266–7269. [Google Scholar] [CrossRef]
- Borah, B.J.; Bharali, P. Direct Hydrogenation of Nitroaromatics at Room Temperature Catalyzed by Magnetically Recoverable Cu@Fe2O3 Nanoparticles. Appl. Organomet. Chem. 2020, 34, e5753. [Google Scholar] [CrossRef]
- Kong, X.; Zhu, H.; Chen, C.; Huang, G.; Chen, Q. Insights into the reduction of 4-nitrophenol to 4-aminophenol on catalysts. Chem. Phys. Lett. 2017, 684, 148–152. [Google Scholar] [CrossRef]
- Layek, K.; Kantam, M.L.; Shirai, M.; Nishio-Hamane, D.; Sasaki, T.; Maheswaran, H. Gold nanoparticles stabilized on nanocrystalline magnesium oxide as an active catalyst for reduction of nitroarenes in aqueous medium at room temperature. Green Chem. 2012, 14, 3164–3174. [Google Scholar] [CrossRef]
- Datta, K.J.; Rathi, A.K.; Kumar, P.; Kaslik, J.; Medrik, I.; Ranc, V.; Varma, R.S.; Zboril, R.; Gawande, M.B. Synthesis of flower-like magnetite nanoassembly: Application in the efficient reduction of nitroarenes. Sci. Rep. 2017, 7, 11585. [Google Scholar] [CrossRef]
- Kumar, M.; In Jeong, D.; Sarwar, N.; Dutta, S.; Chauhan, N.; Han, S.A.; Ho Kim, J.; Ho Yoon, D. Cobalt supported nitrogen-doped carbon nanotube as efficient catalyst for hydrogen evolution reaction and reduction of 4-nitrophenol. Appl. Surf. Sci. 2022, 572, 151450. [Google Scholar] [CrossRef]
- Wang, J.; Kim, J.; Bu, J.; Kim, D.; Kim, S.Y.; Nam, K.T.; Varma, R.S.; Jang, H.W.; Luque, R.; Shokouhimehr, M. MOF-derived NiFe2O4 nanoparticles on molybdenum disulfide: Magnetically reusable nanocatalyst for the reduction of nitroaromatics in aqueous media. J. Ind. Eng. Chem. 2022, 107, 428–435. [Google Scholar] [CrossRef]
- Zhang, L.; Jiang, J.; Shi, W.; Xia, S.; Ni, Z. Insights into the hydrogenation mechanism of nitrobenzene to aniline on Pd3/Pt(111): A density functional theory study. RSC Adv. 2015, 5, 34319. [Google Scholar] [CrossRef]
- Fu, Y.; Qin, L.; Huang, D.; Zeng, G.; Lai, C.; Li, B.; He, J.; Yi, H.; Zhang, M.; Cheng, M.; et al. Chitosan functionalized activated coke for Au nanoparticles anchoring: Green synthesis and catalytic activities in hydrogenation of nitrophenols and azo dyes. Appl. Catal. B Environ. 2019, 255, 117740. [Google Scholar] [CrossRef]
- Akram, N.; Guo, J.; Ma, W.; Guo, Y.; Hassan, A.; Wang, J. Synergistic Catalysis of Co(OH)2/CuO for the Degradation of Organic Pollutant Under Visible Light Irradiation. Sci. Rep. 2020, 10, 1939. [Google Scholar] [CrossRef]
- Guo, J.; Zhang, L.; Ma, W.; Chen, T.; Wang, G.; Akram, N.; Zhang, Y.; Wang, J. Co(OH)2-Modified CuO Nanoparticles Enabling High-Efficiency Photoinduced Charge Transfer toward the Water Oxidation Reaction. Ind. Eng. Chem. Res. 2019, 58, 22236–22243. [Google Scholar] [CrossRef]
- Nijat, D.; Abdulla, R.; Liu, G.-y.; Luo, Y.-q.; Aisa, H.A. Identification and quantification of Meiguihua oral solution using liquid chromatography combined with hybrid quadrupole-orbitrap and triple quadrupole mass spectrometers. J. Chromatogr. B 2020, 1139, 121992. [Google Scholar] [CrossRef]
- Figueras, F.; Coq, B. Hydrogenation and hydrogenolysis of nitro-, nitroso-, azo-, azoxyand other nitrogen-containing compounds on palladium. J. Mol. Catal. A Chem. 2001, 173, 223–230. [Google Scholar] [CrossRef]
- Qin, L.; Zeng, Z.; Zeng, G.; Lai, C.; Duan, A.; Xiao, R.; Huang, D.; Fu, Y.; Yi, H.; Li, B.; et al. Cooperative catalytic performance of bimetallic Ni-Au nanocatalyst for highly efficient hydrogenation of nitroaromatics and corresponding mechanism insight. Appl. Catal. B Environ. 2019, 259, 118035. [Google Scholar] [CrossRef]
- Chu, C.; Rao, S.; Ma, Z.; Han, H. Copper and cobalt nanoparticles doped nitrogen-containing carbon frameworks derived from CuO-encapsulated ZIF-67 as high-efficiency catalyst for hydrogenation of 4-nitrophenol. Appl. Catal. B Environ. 2019, 256, 117792. [Google Scholar] [CrossRef]
- Bhattacharjee, A.; Ahmaruzzaman, M. Microwave assisted facile and green route for synthesis of CuO nanoleaves and their efficacy as a catalyst for reduction and degradation of hazardous organic compounds. J. Photochem. Photobiol. A Chem. 2018, 353, 215–228. [Google Scholar] [CrossRef]
- Qu, Y.; Xu, G.; Yang, J.; Zhang, Z. Reduction of aromatic nitro compounds over Ni nanoparticles confined in CNTs. Appl. Catal. A Gen. 2020, 590, 117311. [Google Scholar] [CrossRef]
- Xia, J.; He, G.; Zhang, L.; Sun, X.; Wang, X. Hydrogenation of nitrophenols catalyzed by carbon black-supported nickel nanoparticles under mild conditions. Appl. Catal. B Environ. 2016, 180, 408–415. [Google Scholar] [CrossRef]
- Fountoulaki, S.; Daikopoulou, V.; Gkizis, P.L.; Tamiolakis, I.; Armatas, G.S.; Lykakis, I.N. Mechanistic Studies of the Reduction of Nitroarenes by NaBH4 or Hydrosilanes Catalyzed by Supported Gold Nanoparticles. ACS Catal. 2021, 4, 3504–3511. [Google Scholar] [CrossRef]
- Veerakumar, P.; Velayudham, M.; Lu, K.-L.; Rajagopal, S. Polyelectrolyte encapsulated gold nanoparticles as efficient active catalyst for reduction of nitro compounds by kinetic method. Appl. Catal. A Gen. 2012, 439–440, 197–205. [Google Scholar] [CrossRef]









| NO | tR (min) | [M+H]+ | [M−H]− | Formula | Error (ppm) | MS/MS Data (m/z, Relative Abundance, %) | Label |
|---|---|---|---|---|---|---|---|
| 1 | 23.72 | - | 138.01968 | C6H4O3N | 8.07 | 138(28), 108(100), 95(3) | 4-NP |
| 2 | 5.84 | 140.03409 | - | C6H6O3N | −0.93 | - | 4-NOOH |
| 3 | 5.95 | 124.03942 | - | C6H6O2N | 0.93 | 124(10), 107(8), 96(100),94(10), 79(8), 66(5) | 4-NO |
| 4 | 5.95 | 125.04717 | - | C6H7O2N | 0.34 | 125(10), 124(20), 96(100), 83(8),89(5)- | 4-NOH |
| 5 | 5.95 | 126.05502 | - | C6H8O2N | 0.48 | −126(6), 125(12), 108(96), 96(72), 80(100) | 4-NHOH |
| 6 | 6.04 | 109.05281 | - | C6H7ON | 5.45 | 109(8), 108(22), 93(5), 80(100), 65(8) | 4-NH |
| 7 | 6.04 | 110.06023 | - | C6H8ON | 1.75 | 110(50), 109(20), 93(33), 82(10), 65(100) | 4-AP |
| 8 | 6.14 | 231.07610 | - | C12H11O3N2 | −1.39 | 231(12), 230(20), 214(44), 198(8), 186(100) | AOB |
| 9 | 6.14 | 215.08133 | C12H11O2N2 | −0.81 | 215(12), 214(60), 198(100), 187(70), 95(58) | AB | |
| 10 | 6.14 | 216.08916 | - | C12H12O2N2 | −0.79 | - | HAB |
| Catalyst | Mass | Time (s) | 4-NP (mM) | NaBH4/4-NP | Methods | Pathway | Reference |
|---|---|---|---|---|---|---|---|
| HCB-Ni-Au | 5 mg | 160 | 0.20 | 50 times | LC-MS | direct | [27] |
| Cu/Co@NC-15 | 0.05 mg | 90 | 0.10 | 200 times | UV-Vis | direct | [28] |
| Au NPs/CTS/AC | 5 mg | 800 | 0.20 | 200 times | UV-Vis | direct | [22] |
| Co@CuO NPs | 2 mg/L | 180 | 0.12 | 66 times | HPLC, UV-Vis | no mentioned | [12] |
| CuO NLs | 5 mg | 540 | 6.0 | 16 times | LC-MS | direct | [29] |
| Ni-CNTs | 5 mg | 600 | 4.0 | 100 times | UV-Vis | direct | [30] |
| Ni0.22/CB | 1.0 mg | 900 | 0.5 | 105 times | UV-Vis | direct | [31] |
| NAP-Mg-Au(0) | 15 mg | 420 | 0.21 | 476 times | UV-Vis | direct | [17] |
| Cu@Fe2O3 NPs | 5 wt% | 2700 | 1.0 | 20 times | GC-MS, UV-Vis | direct | [15] |
| Au/MTA (1 mol%Au) | 20 mg | 10,800 | 0.10 | 4–6 times | 1HNMR | direct | [32] |
| AuNPs | 0.5 mM | 50 | 0.20 | 50 times | UV-Vis | co-existing | [33] |
| Co(OH)2/CuO | 1.5 mg | 420 | 3.72 | 7 times | UV-Vis, LC-MS, HPLC, 1HNMR | co-existing | This work |
| Co(OH)2/CuO | 1.0 mg | 40 | 0.76 | 70 times | Same as above | co-existing | This work |
Publisher’s Note: MDPI stays neutral with regard to jurisdictional claims in published maps and institutional affiliations. |
© 2022 by the authors. Licensee MDPI, Basel, Switzerland. This article is an open access article distributed under the terms and conditions of the Creative Commons Attribution (CC BY) license (https://creativecommons.org/licenses/by/4.0/).
Share and Cite
Wumaer, M.; Abdulla, R.; Kou, Y.; Liu, Z.; Akram, N.; Aisa, H.A.; Wang, J. Establishment of Integrated Analysis Method for Probing and Reconstructing Hydrogenation Mechanism of a Model Reaction. Catalysts 2022, 12, 499. https://doi.org/10.3390/catal12050499
Wumaer M, Abdulla R, Kou Y, Liu Z, Akram N, Aisa HA, Wang J. Establishment of Integrated Analysis Method for Probing and Reconstructing Hydrogenation Mechanism of a Model Reaction. Catalysts. 2022; 12(5):499. https://doi.org/10.3390/catal12050499
Chicago/Turabian StyleWumaer, Mailidan, Rahima Abdulla, Yuli Kou, Ziran Liu, Naeem Akram, Haji Akber Aisa, and Jide Wang. 2022. "Establishment of Integrated Analysis Method for Probing and Reconstructing Hydrogenation Mechanism of a Model Reaction" Catalysts 12, no. 5: 499. https://doi.org/10.3390/catal12050499
APA StyleWumaer, M., Abdulla, R., Kou, Y., Liu, Z., Akram, N., Aisa, H. A., & Wang, J. (2022). Establishment of Integrated Analysis Method for Probing and Reconstructing Hydrogenation Mechanism of a Model Reaction. Catalysts, 12(5), 499. https://doi.org/10.3390/catal12050499

