Magnesium-Modified Co3O4 Catalyst with Remarkable Performance for Toluene Low Temperature Deep Oxidation
Abstract
:1. Introduction
2. Results and Discussion
2.1. Structure and Microstructure
2.2. Morphology Analysis
2.3. Elemental Composition and Ionic States
2.4. Formation of Vacant Oxygen Species
2.5. Reducibility
2.6. Catalytic Test
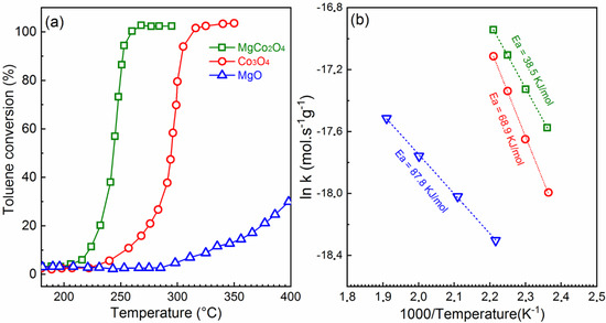
2.6.1. Catalytic Activity
2.6.2. Long-Term Durability of MgCo2O4
3. Experimental
3.1. Catalyst Preparation
3.2. Catalyst Characterization
3.3. Catalytic Test
4. Conclusions
Supplementary Materials
Author Contributions
Funding
Acknowledgments
Conflicts of Interest
References
- Kim, S.C.; Park, Y.-K.; Nah, J.W. Property of a highly active bimetallic catalyst based on a supported manganese oxide for the complete oxidation of toluene. Powder Technol. 2014, 266, 292–298. [Google Scholar] [CrossRef]
- Cheng, Y.; Gao, X.; Zhang, X.; Su, J.; Wang, G.; Wang, L. Synthesis of a TiO2–Cu2O composite catalyst with enhanced visible light photocatalytic activity for gas-phase toluene. New J. Chem. 2018, 42, 9252–9259. [Google Scholar] [CrossRef]
- Rokicinska, A.; Zurowska, M.; Latka, P.; Drozdek, M.; Michalik, M.; Kustrowski, P. Design of Co3O4@SiO2 Nanorattles for Catalytic Toluene Combustion based on Bottom-Up Strategy Involving Spherical Poly(styrene-co-acrylic Acid) Template. Catalyst 2021, 11, 1097. [Google Scholar] [CrossRef]
- Zhang, X.; Yang, Y.; Song, L.; Chen, J.; Yang, Y.; Wang, Y. Enhanced adsorption performance of gaseous toluene on defective UiO-66 metal organic framework: Equilibrium and kinetic studies. J. Hazard. Mater. 2018, 365, 597–605. [Google Scholar] [CrossRef]
- Wu, X.; Han, R.; Liu, Q.; Su, Y.; Lu, S.; Yang, L.; Song, C.; Ji, N.; Ma, D.; Lu, X. A review of confined-structure catalysts in the catalytic oxidation of VOCs: Synthesis, characterization, and applications. Catal. Sci. Technol. 2021, 11, 5374–5387. [Google Scholar] [CrossRef]
- Delimaris, D.; Ioannides, T. VOC oxidation over CuO–CeO2 catalysts prepared by a combustion method. Appl. Catal. B: Environ. 2009, 89, 295–302. [Google Scholar] [CrossRef]
- Wang, F.; Dai, H.; Deng, J.; Bai, G.; Ji, K.; Liu, Y. Manganese Oxides with Rod-, Wire-, Tube-, and Flower-Like Morphologies: Highly Effective Catalysts for the Removal of Toluene. Environ. Sci. Technol. 2012, 46, 4034–4041. [Google Scholar] [CrossRef]
- Jiang, Z.; He, C.; Dummer, N.F.; Shi, J.; Tian, M.; Ma, C.; Hao, Z.; Taylor, S.H.; Ma, M.; Shen, Z. Insight into the Efficient Oxidation of Methyl-Ethyl-Ketone over Hierarchically Micro-Mesostructured Pt/K-(Al)SiO2 Nanorod Catalysts: Structure-Activity Relationships and Mechanism. Appl. Catal. B Environ. 2018, 226, 220–233. [Google Scholar] [CrossRef] [Green Version]
- Wang, H.; Yang, W.; Tian, P.; Zhou, J.; Tang, R.; Wu, S. A Highly Active and Anti-Coking Pd-Pt/SiO2 Catalyst for Catalytic Combustion of Toluene at Low Temperature. Appl. Catal. A Gen. 2017, 529, 60–67. [Google Scholar] [CrossRef]
- Kim, S.C. The catalytic oxidation of aromatic hydrocarbons over supported metal oxide. J. Hazard. Mater. 2002, 91, 285–299. [Google Scholar] [CrossRef]
- Kim, S.C.; Shim, W.G. Catalytic combustion of VOCs over a series of manganese oxide catalysts. Appl. Catal. B Environ. 2010, 98, 180–185. [Google Scholar] [CrossRef]
- Grimaud, A.; Diaz-Morales, O.; Han, B.; Hong, W.T.; Lee, Y.-L.; Giordano, L.; Stoerzinger, K.; Koper, M.T.M.; Shao-Horn, Y. Activating lattice oxygen redox reactions in metal oxides to catalyse oxygen evolution. Nat. Chem. 2017, 9, 457–465. [Google Scholar] [CrossRef] [PubMed]
- Ma, M.; Huang, H.; Chen, C.; Zhu, Q.; Yue, L.; Albilali, R.; He, C. Highly active SBA-15-confined Pd catalyst with short rod-like micro-mesoporous hybrid nanostructure for n-butylamine low-temperature destruction. Mol. Catal. 2018, 455, 192–203. [Google Scholar] [CrossRef]
- He, C.; Jiang, Z.; Ma, M.; Zhang, X.; Douthwaite, M.; Shi, J.-W.; Hao, Z. Understanding the Promotional Effect of Mn2O3 on Micro-/Mesoporous Hybrid Silica Nanocubic-Supported Pt Catalysts for the Low-Temperature Destruction of Methyl Ethyl Ketone: An Experimental and Theoretical Study. ACS Catal. 2018, 8, 4213–4229. [Google Scholar] [CrossRef] [Green Version]
- Zhou, G.; Lan, H.; Gao, T.; Xie, H. Influence of Ce/Cu ratio on the performance of ordered mesoporous CeCu composite oxide catalysts. Chem. Eng. J. 2014, 246, 53–63. [Google Scholar] [CrossRef]
- Bai, B.; Arandiyan, H.; Li, J. Comparison of the performance for oxidation of formaldehyde on nano-Co3O4, 2D-Co3O4, and 3D-Co3O4 catalysts. Appl. Catal. B Environ. 2013, 142–143, 677–683. [Google Scholar] [CrossRef]
- Ren, Q.; Mo, S.; Peng, R.; Feng, Z.; Zhang, M.; Chen, L.; Fu, M.; Wu, J.; Ye, D. Controllable synthesis of 3D hierarchical Co3O4 nanocatalysts with various morphologies for the catalytic oxidation of toluene. J. Mater. Chem. A 2017, 6, 498–509. [Google Scholar] [CrossRef]
- Liao, Y.; He, L.; Man, C.; Chen, L.; Fu, M.; Wu, J.; Ye, D.; Huang, B. Diameter-dependent catalytic activity of ceria nanorods with various aspect ratios for toluene oxidation. Chem. Eng. J. 2014, 256, 439–447. [Google Scholar] [CrossRef]
- Zhou, K.; Wang, X.; Sun, X.; Peng, Q.; Li, Y. Enhanced catalytic activity of ceria nanorods from well-defined reactive crystal planes. J. Catal. 2005, 229, 206–212. [Google Scholar] [CrossRef]
- Piumetti, M.; Fino, D.; Russo, N. Mesoporous manganese oxides prepared by solution combustion synthesis as catalysts for the total oxidation of VOCs. Appl. Catal. B Environ. 2014, 163, 277–287. [Google Scholar] [CrossRef]
- Xie, Y.; Yu, Y.; Gong, X.; Guo, Y.; Guo, Y.; Wang, Y.; Lu, G. Effect of the crystal plane figure on the catalytic performance of MnO2 for the total oxidation of propane. CrystEngComm 2015, 17, 3005–3014. [Google Scholar] [CrossRef]
- Huang, X.; Peng, Y.; Liu, X.; Li, K.; Deng, Y.; Li, J. The Promotional Effect of MoO3 Doped V2O5/TiO2 for Chlorobenzene Oxidation. Catal. Commun. 2015, 69, 161–164. [Google Scholar] [CrossRef]
- Dai, Q.; Yin, L.-L.; Bai, S.; Wang, W.; Wang, X.; Gong, X.-Q.; Lu, G. Catalytic Total Oxidation of 1,2-Dichloroethane over VOx/CeO2 Catalysts: Further Insights via Isotopic Tracer Techniques. Appl. Catal. B Environ. 2016, 182, 598–610. [Google Scholar] [CrossRef]
- Zhang, C.; Zhang, Z.; Sui, C.; Yuan, F.; Niu, X.; Zhu, Y. Catalytic Decomposition of N2O over Co–Ti Oxide Catalysts: Inter-action between Co and Ti Oxide. ChemCatChem 2016, 8, 2155–2164. [Google Scholar] [CrossRef]
- Perez-Ramirez, J.; Kapteijn, F.; Schöffel, K.; Moulijn, J.A. Formation and control of N2O in nitric acid production—Where do we stand today? Appl. Catal. B Environ. 2003, 44, 117–151. [Google Scholar] [CrossRef]
- Stelmachowski, P.; Maniak, G.; Kaczmarczyk, J.; Zasada, F.; Piskorz, W.; Kotarba, A.; Sojka, Z. Mg and Al substituted cobalt spinels as catalysts for low temperature deN2O—Evidence for octahedral cobalt active sites. Appl. Catal. B Environ. 2014, 146, 105–111. [Google Scholar] [CrossRef]
- Wei, X.; Wang, Y.; Li, X.; Wu, R.; Zhao, Y. Co3O4 supported on bone-derived hydroxyapatite as potential catalysts for N2O catalytic decomposition. Mol. Catal. 2020, 491, 111005. [Google Scholar] [CrossRef]
- Zasada, F.; Piskorz, W.; Janas, J.; Gryboś, J.; Indyka, P.; Sojka, Z. Reactive Oxygen Species on the (100) Facet of Cobalt Spinel Nanocatalyst and Their Relevance in 16O2/18O2 Isotopic Exchange, DeN2O, and DeCH4 Processes—A Theoretical and Experimental Account. ACS Catal. 2015, 5, 6879–6892. [Google Scholar] [CrossRef]
- Kaczmarczyk, J.; Zasada, F.; Janas, J.; Indyka, P.; Piskorz, W.; Kotarba, A.; Sojka, Z. Thermodynamic Stability, Redox Properties, and Reactivity of Mn3O4, Fe3O4, and Co3O4 Model Catalysts for N2O Decomposition: Resolving the Origins of Steady Turnover. ACS Catal. 2016, 6, 1235–1246. [Google Scholar] [CrossRef]
- Zasada, F.; Gryboś, J.; Budiyanto, E.; Janas, J.; Sojka, Z. Oxygen species stabilized on the cobalt spinel nano-octahedra at various reaction conditions and their role in catalytic CO and CH4 oxidation, N2O decomposition and oxygen isotopic exchange. J. Catal. 2019, 371, 224–235. [Google Scholar] [CrossRef]
- Kouotou, P.M.; Waqas, M.; El Kasmi, A.; Atour, Z.; Tian, Z.-Y. Influence of Co addition on Ni-Co mixed oxide catalysts toward the deep oxidation of low-rank unsaturated hydrocarbons. Appl. Catal. A Gen. 2021, 612, 117990. [Google Scholar] [CrossRef]
- Tian, Z.Y.; Vieker, H.; Kouotou, P.M.; Beyer, A. In situ characterization of Cu–Co oxides for catalytic application. Faraday Discuss. 2015, 177, 249–262. [Google Scholar] [CrossRef] [PubMed]
- Kouotou, P.M.; Vieker, H.; Tian, Z.Y.; Ngamou, P.H.T.; Kasmi, A.E.; Beyer, A.; Gölzhäuser, A.; Kohse-Höinghaus, K. Structure–Activity Relation of Spinel-Type Co–Fe Oxides for Low-Temperature CO Oxidation. Catal. Sci. Technol. 2014, 4, 3359–3367. [Google Scholar] [CrossRef]
- Xue, L.; Zhang, C.; He, H.; Teraoka, Y. Catalytic decomposition of N2O over CeO2 promoted Co3O4 spinel catalyst. Appl. Catal. B Environ. 2007, 75, 167–174. [Google Scholar] [CrossRef]
- Zhang, Q.; Tang, X.; Ning, P.; Duan, Y.; Song, Z.; Shi, Y. Enhancement of N2O catalytic decomposition over Ca modified Co3O4 catalyst. RSC Adv. 2015, 5, 51263–51270. [Google Scholar] [CrossRef]
- Li, Y.; Tang, F.; Wang, D.; Wang, X. A Key Step for Preparing Highly Active Mg–Co Composite Oxide Catalysts for N2O Decomposition. Catal. Sci. Technol. 2021, 11, 3737–3745. [Google Scholar] [CrossRef]
- Maniak, G.; Stelmachowski, P.; Kotarba, A.; Sojka, Z.; Rico-Pérez, V.; Bueno-López, A. Rationales for the Selection of the Best Precursor for Potassium Doping of Cobalt Spinel Based DeN2O Catalyst. Appl. Catal. B Environ. 2013, 136–137, 302–307. [Google Scholar] [CrossRef]
- Gölden, V.; Sokolov, S.; Kondratenko, V.A.; Kondratenko, E.V. Effect of the Preparation Method on High-Temperature de-N2O Performance of Na–CaO Catalysts. A Mechanistic Study. Appl. Catal. B Environ. 2010, 101, 130–136. [Google Scholar] [CrossRef]
- Ohnishi, C.; Asano, K.; Iwamoto, S.; Chikama, K.; Inoue, M. Alkali-doped Co3O4 catalysts for direct decomposition of N2O in the presence of oxygen. Catal. Today 2007, 120, 145–150. [Google Scholar] [CrossRef]
- Rezaei, M.; Khajenoori, M.; Nematollahi, B. Synthesis of high surface area nanocrystalline MgO by pluronic P123 triblock copolymer surfactant. Powder Technol. 2011, 205, 112–116. [Google Scholar] [CrossRef]
- Chandar, N.K.; Jayavel, R. Synthesis and characterization of C14TAB passivated cerium oxide nanoparticles prepared by co-precipitation route. Phys. E Low-Dimens. Syst. Nanostructures 2014, 58, 48–51. [Google Scholar] [CrossRef]
- Diachenko, O.; Opanasuyk, A.; Kurbatov, D.; Opanasuyk, N.; Kononov, O.; Nam, D.; Cheong, H. Surface Morphology, Structural and Optical Properties of MgO Films Obtained by Spray Pyrolysis Technique. Acta Phys. Pol. A 2016, 130, 805–810. [Google Scholar] [CrossRef]
- Jadhav, H.S.; Roy, A.; Thorat, G.M.; Gil Seo, J. Facile and cost-effective growth of a highly efficient MgCo2O4 electrocatalyst for methanol oxidation. Inorg. Chem. Front. 2018, 5, 1115–1120. [Google Scholar] [CrossRef]
- Chen, H.; Du, X.; Wu, R.; Wang, Y.; Sun, J.; Zhang, Y.; Xu, C. Facile hydrothermal synthesis of porous MgCo2O4 nanoflakes as an electrode material for high-performance asymmetric supercapacitors. Nanoscale Adv. 2020, 2, 3263–3275. [Google Scholar] [CrossRef]
- Kitamura, N.; Tanabe, Y.; Ishida, N.; Idemoto, Y. The atomic structure of a MgCo2O4 nanoparticle for a positive electrode of a Mg rechargeable battery. Chem. Commun. 2019, 55, 2517–2520. [Google Scholar] [CrossRef] [PubMed]
- Reddy, M.V.; Xu, Y.; Rajarajan, V.; Ouyang, T.; Chowdari, B.V.R. Template Free Facile Molten Synthesis and Energy Storage Studies on MCo2O4 (M = Mg, Mn) as Anode for Li-Ion Batteries. ACS Sustain. Chem. Eng. 2015, 3, 3035–3042. [Google Scholar] [CrossRef]
- Zhang, C.; Guo, Y.; Guo, Y.; Lu, G.; Boreave, A.; Retailleau, L.; Baylet, A.; Giroir-Fendler, A. LaMnO3 Perovskite Oxides Pre-pared by Different Methods for Catalytic Oxidation of Toluene. Appl. Catal. B Environ. 2014, 148–149, 490–498. [Google Scholar] [CrossRef]
- Bao, F.; Wang, X.; Zhao, X.; Wang, Y.; Ji, Y.; Zhang, H.; Liu, X. Controlled growth of mesoporous ZnCo2O4 nanosheet arrays on Ni foam as high-rate electrodes for supercapacitors. RSC Adv. 2013, 4, 2393–2397. [Google Scholar] [CrossRef]
- Gao, H.; Wang, X.; Wang, G.; Hao, C.; Huang, C.; Jiang, C. Facile Construction of a MgCo2O4@NiMoO4/NF Core–Shell Nanocomposite for High-Performance Asymmetric Supercapacitors. J. Mater. Chem. C 2019, 7, 13267–13278. [Google Scholar] [CrossRef]
- Zamudio, M.A.; Bensaid, S.S.; Fino, D.; Russo, N. Influence of the MgCo2O4 Preparation Method on N2O Catalytic Decomposition. Ind. Eng. Chem. Res. 2011, 50, 2622–2627. [Google Scholar] [CrossRef]
- Zhang, X.; Zhao, M.; Song, Z.; Zhao, H.; Liu, W.; Zhao, J.; Ma, Z.; Xing, Y. The effect of different metal oxides on the catalytic activity of a Co3O4 catalyst for toluene combustion: Importance of the structure–property relationship and surface active species. New J. Chem. 2019, 43, 10868–10877. [Google Scholar] [CrossRef]
- Kim, M.; Yoo, J.; Kim, J. A p-nitroaniline redox-active solid-state electrolyte for battery-like electrochemical capacitive energy storage combined with an asymmetric supercapacitor based on metal oxide functionalized β-polytype porous silicon carbide electrodes. Dalton Trans. 2017, 46, 6588–6600. [Google Scholar] [CrossRef] [PubMed]
- Huang, Z.; Wang, Z.; Zheng, X.; Guo, H.; Li, X.; Jing, Q.; Yang, Z. Effect of Mg doping on the structural and electrochemical performance of LiNi0.6Co0.2Mn0.2O2 cathode materials. Electrochim. Acta 2015, 182, 795–802. [Google Scholar] [CrossRef]
- Jadhav, H.S.; Pawar, S.M.; Jadhav, A.H.; Thorat, G.M.; Seo, J.G. Hierarchical Mesoporous 3D Flower-like CuCo2O4/NF for High-Performance Electrochemical Energy Storage. Sci. Rep. 2016, 6, 31120. [Google Scholar] [CrossRef]
- Lei, J.; Wang, S.; Li, J. Mesoporous Co3O4 Derived from Facile Calcination of Octahedral Co-MOFs for Toluene Catalytic Oxidation. Ind. Eng. Chem. Res. 2020, 59, 5583–5590. [Google Scholar] [CrossRef]
- Wang, K.; Cao, Y.; Hu, J.; Li, Y.; Xie, J.; Jia, D. Solvent-Free Chemical Approach to Synthesize Various Morphological Co3O4 for CO Oxidation. ACS Appl. Mater. Interfaces 2017, 9, 16128–16137. [Google Scholar] [CrossRef]
- Liu, B.; Li, C.; Zhang, G.; Yao, X.; Chuang, S.S.C.; Li, Z. Oxygen Vacancy Promoting Dimethyl Carbonate Synthesis from CO2 and Methanol over Zr-Doped CeO2 Nanorods. ACS Catal. 2018, 8, 10446–10456. [Google Scholar] [CrossRef]
- Rousseau, S.; Loridant, S.; Delichere, P.; Boreave, A.; Deloume, J.P.; Vernoux, P. La(1−x)SrxCo1−yFeyO3 Perovskites Prepared by Sol–Gel Method: Characterization and Relationships with Catalytic Properties for Total Oxidation of Toluene. Appl. Catal. B Environ. 2009, 88, 438–447. [Google Scholar] [CrossRef]
- Rabe, A.; Büker, J.; Salamon, S.; Koul, A.; Hageman, U.; Landers, J.; Ortega, F.K.; Peng, B.-X.; Muhlr, M.; Wende, H.; et al. The Roles of Composition and Meso-structure of Cobalt-Based Spinel Catalysts in Oxygen Evolution Reactions. Chem. Eur. J. 2021, 27, 17038–17048. [Google Scholar] [CrossRef]
- Kox, T.; Spohr, E.; Kenmoe, S. Impact of Solvation on the Structure and Reactivity of the Co3O4 (001)/H2O Interface: Insights from Molecular Dynamics Simulations. Front. Energy Res. 2020, 8, 312–321. [Google Scholar] [CrossRef]
- Yagi, S.; Ichikawa, Y.; Yamada, I.; Doi, T.; Ichitsubo, T.; Matsubara, E. Synthesis of Binary Magnesium–Transition Metal Oxides via Inverse Coprecipitation. Jpn. J. Appl. Phys. 2013, 52, 25501. [Google Scholar] [CrossRef]
- Yan, G.; Sautet, P. Surface Structure of Co3O4 (111) under Reactive Gas-Phase Environments. ACS Catal. 2019, 9, 6380–6392. [Google Scholar] [CrossRef] [Green Version]
- Schwarz, M.; Faisal, F.; Mohr, S.; Hohner, C.; Werner, K.; Xu, T.; Skála, T.; Tsud, N.; Prince, K.C.; Matolín, V.; et al. Structure-Dependent Dissociation of Water on Cobalt Oxide. J. Phys. Chem. Lett. 2018, 9, 2763–2769. [Google Scholar] [CrossRef] [PubMed]
- Liu, Y.; Dai, H.; Deng, J.; Xie, S.; Yang, H.; Tan, W.; Han, W.; Jiang, Y.; Guo, G. Mesoporous Co3O4-Supported Gold Nano-catalysts: Highly Active for the Oxidation of Carbon Monoxide, Benzene, Toluene, and o-Xylene. J. Catal. 2014, 309, 408–418. [Google Scholar] [CrossRef]
- Ma, L.; Seo, C.Y.; Chen, X.; Sun, K.; Schwank, J.W. Indium-doped Co3O4 nanorods for catalytic oxidation of CO and C3H6 towards diesel exhaust. Appl. Catal. B Environ. 2018, 222, 44–58. [Google Scholar] [CrossRef]
- Zheng, L.; Wu, C.-C.; Xu, X.-F. Catalytic decomposition of N2O over Mg-Co and Mg-Mn-Co composite oxides. J. Fuel Chem. Technol. 2016, 44, 1494–1501. [Google Scholar] [CrossRef]
- He, C.; Yu, Y.; Yue, L.; Qiao, N.; Li, J.; Shen, Q.; Yu, W.; Chen, T.; Hao, Z. Low-temperature removal of toluene and propanal over highly active mesoporous CuCeOx catalysts synthesized via a simple self-precipitation protocol. Appl. Catal. B Environ. 2014, 147, 156–166. [Google Scholar] [CrossRef]
- Konsolakis, M.; Carabineiro, S.A.C.; Marnellos, G.E.; Asad, M.F.; Soares, O.S.G.P.; Pereira, M.F.R.; Órfão, J.J.M.; Figueiredo, J.L. Effect of Cobalt Loading on the Solid-State Properties and Ethyl Acetate Oxidation Performance of Cobalt-Cerium Mixed Oxides. J. Colloid Interface Sci. 2017, 496, 141–149. [Google Scholar] [CrossRef]
- Chen, X.; Chen, X.; Yu, E.; Cai, S.; Jia, H.; Chen, J.; Liang, P. In situ pyrolysis of Ce-MOF to prepare CeO2 catalyst with obviously improved catalytic performance for toluene combustion. Chem. Eng. J. 2018, 344, 469–479. [Google Scholar] [CrossRef]
- Zhang, Y.-C.; Han, C.; Gao, J.; Pan, L.; Wu, J.; Zhu, X.-D.; Zou, J.-J. NiCo-Based Electrocatalysts for the Alkaline Oxygen Evolution Reaction: A Review. ACS Catal. 2021, 11, 12485–12509. [Google Scholar] [CrossRef]
- Zhang, Q.; Mo, S.; Chen, B.; Zhang, W.; Huang, C.; Ye, D. Hierarchical Co3O4 nanostructures in-situ grown on 3D nickel foam towards toluene oxidation. Mol. Catal. 2018, 454, 12–20. [Google Scholar] [CrossRef]
- Mo, S.; Li, S.; Xiao, H.; He, H.; Xue, Y.; Zhang, M.; Ren, Q.; Chen, B.; Chen, Y.; Ye, D. Low-temperature CO oxidation over integrated penthorum chinense-like MnCo2O4 arrays anchored on three-dimensional Ni foam with enhanced moisture resistance. Catal. Sci. Technol. 2018, 8, 1663–1676. [Google Scholar] [CrossRef]
- Xie, S.; Deng, J.; Zang, S.; Yang, H.; Guo, G.; Arandiyan, H.; Dai, H. Au–Pd/3DOM Co3O4: Highly active and stable nano-catalysts for toluene oxidation. J. Catal. 2015, 322, 38–48. [Google Scholar] [CrossRef]
- Janjua, M.R.S.A. Synthesis of Co3O4 Nano Aggregates by Co-precipitation Method and its Catalytic and Fuel Additive Applications. Open Chem. 2019, 17, 865–873. [Google Scholar] [CrossRef]
- Xiong, Y.; Zhao, Y.; Qi, X.; Qi, J.; Cui, Y.; Yu, H.; Cao, Y. Strong Structural Modification of Gd to Co3O4 for Catalyzing N2O Decomposition under Simulated Real Tail Gases. Environ. Sci. Technol. 2021, 55, 13335–13344. [Google Scholar] [CrossRef]
- Nosé, S. A unified formulation of the constant temperature molecular-dynamics methods. J. Chem. Phys. 1984, 81, 511–519. [Google Scholar] [CrossRef] [Green Version]
- Hoover, W.G. Canonical dynamics: Equilibrium phase-space distributions. Phys. Rev. A 1985, 31, 1695–1697. [Google Scholar] [CrossRef] [Green Version]
- Hubbard, J.; Flowers, B.H. Electron correlations in narrow energy bands. Proc. Roy. Soc. Lond. Math. Phys. Sci. 1963, 276, 238–257. [Google Scholar] [CrossRef]
- Goedecker, S.; Teter, M.; Hutter, J. Separable dual-space Gaussian pseudopotentials. Phys. Rev. B Condens. Matter Mater. Phys. 1996, 54, 1703–1710. [Google Scholar] [CrossRef] [Green Version]








| Samples | PS (nm) | SBET (m2·g−1) | Ea (kJ/mol) | Co3+/Co2+ (%) | OLat. (Co-O/Mg-O/Co-O-Mg) | OAds.(-OH) | OAds.(-CO32−) | OAds./OLat. (%) | |||
|---|---|---|---|---|---|---|---|---|---|---|---|
| (At%) BE (eV) | (At%) BE (eV) | (At%) BE (eV) | |||||||||
| Co3O4 | 30 | 48 | 68.9 | 0.45 | 68.85 | 529.38 | 31.15 | 531.37 | - | 0.45 | |
| MgCo2O4 | 22 | 82 | 38.5 | 0.54 | 37.25 | 529.41 | 44.70 | 531.40 | 18.05 | 532.29 | 1.68 |
| MgO | 45 | 15 | - | - | 98.05 | 529.72 | 1.95 | 531.32 | - | 0.02 | |
Publisher’s Note: MDPI stays neutral with regard to jurisdictional claims in published maps and institutional affiliations. |
© 2022 by the authors. Licensee MDPI, Basel, Switzerland. This article is an open access article distributed under the terms and conditions of the Creative Commons Attribution (CC BY) license (https://creativecommons.org/licenses/by/4.0/).
Share and Cite
Zigla, A.A.; Kox, T.; Mevoa, D.; Assaouka, H.T.; Nsangou, I.N.; Daawe, D.M.; Kenmoe, S.; Kouotou, P.M. Magnesium-Modified Co3O4 Catalyst with Remarkable Performance for Toluene Low Temperature Deep Oxidation. Catalysts 2022, 12, 411. https://doi.org/10.3390/catal12040411
Zigla AA, Kox T, Mevoa D, Assaouka HT, Nsangou IN, Daawe DM, Kenmoe S, Kouotou PM. Magnesium-Modified Co3O4 Catalyst with Remarkable Performance for Toluene Low Temperature Deep Oxidation. Catalysts. 2022; 12(4):411. https://doi.org/10.3390/catal12040411
Chicago/Turabian StyleZigla, Abraham Atour, Tim Kox, Daniel Mevoa, Hypolite Todou Assaouka, Issah Njiawouo Nsangou, Daniel Manhouli Daawe, Stephane Kenmoe, and Patrick Mountapmbeme Kouotou. 2022. "Magnesium-Modified Co3O4 Catalyst with Remarkable Performance for Toluene Low Temperature Deep Oxidation" Catalysts 12, no. 4: 411. https://doi.org/10.3390/catal12040411
APA StyleZigla, A. A., Kox, T., Mevoa, D., Assaouka, H. T., Nsangou, I. N., Daawe, D. M., Kenmoe, S., & Kouotou, P. M. (2022). Magnesium-Modified Co3O4 Catalyst with Remarkable Performance for Toluene Low Temperature Deep Oxidation. Catalysts, 12(4), 411. https://doi.org/10.3390/catal12040411
