Ruthenium(II) Phosphine/Picolylamine Dichloride Complexes Hydrogenation and DFT Calculations
Abstract
:1. Introduction
2. Results and Discussion
2.1. Synthesis of Complexes
2.2. Crystal Structure of trans-[RuCl2(PPh3)2(Picam)] (1)
2.3. Comparison of Reactivities of Catalytic Hydrogen Transfer of a Ketone
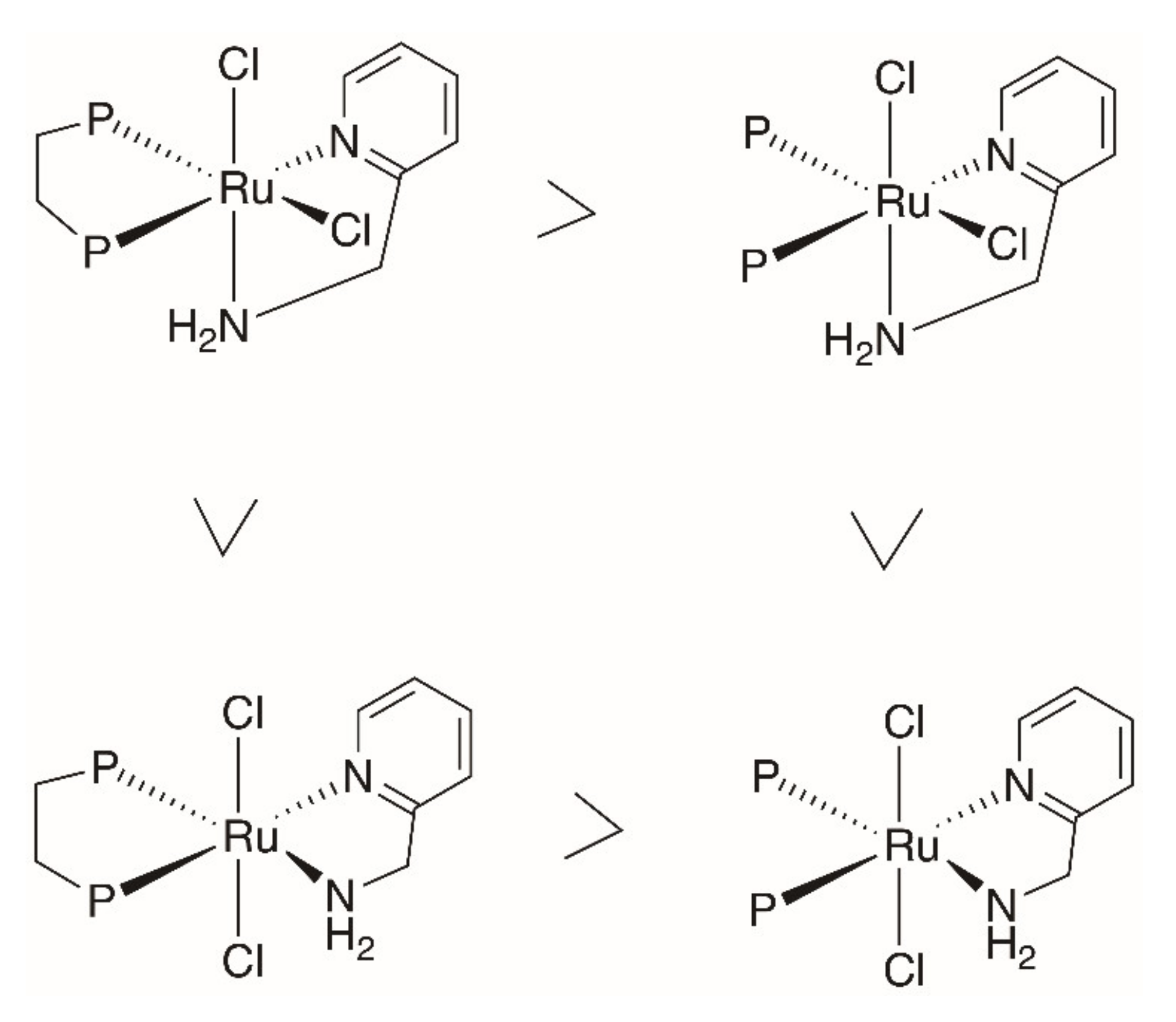
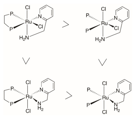
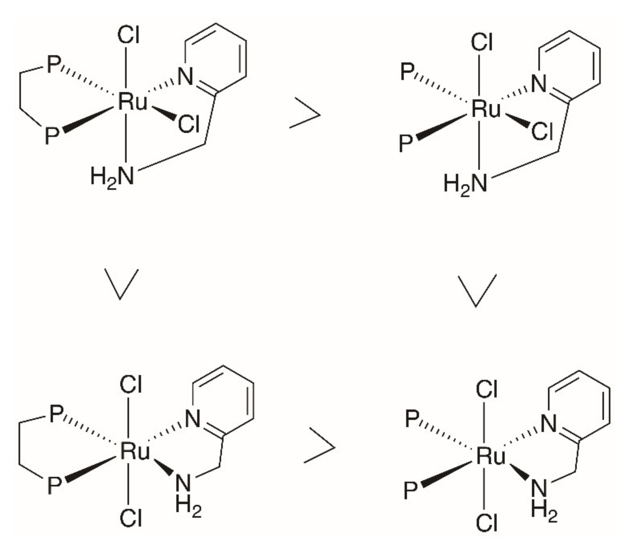
2.4. DFT Analysis and Mechanism of Hydrogen Transfer
3. Materials and Methods
3.1. Synthesis of trans-RuCl2(PPh3)2(Picam) (1)
3.2. trans-RuCl2(DPPF)(Picam) (2)
3.3. Crystal Structure Determination
3.4. General Procedure for the Catalytic Transfer Hydrogenation
3.5. Computational Details
4. Conclusions
Author Contributions
Funding
Data Availability Statement
Acknowledgments
Conflicts of Interest
References
- Leach, B.E. Industrial Catalysis: Chemistry Applied to Your Life-Style and Environment. In Applied Industrial Catalysis; Academic Press: New York, NY, USA, 1983. [Google Scholar]
- Beaumier, E.P.; Pearce, A.J.; See, X.Y.; Tonks, I.A. Modern applications of low-valent early transition metals in synthesis and catalysis. Nat. Rev. Chem. 2019, 3, 15–34. [Google Scholar] [CrossRef] [PubMed]
- Kilbourn, B.T. The role of the lanthanides in applied catalysis. J. Less-Common Met. 1986, 126, 101–106. [Google Scholar] [CrossRef]
- Naota, T.; Takaya, H.; Murahashi, S.I. Ruthenium-catalyzed reactions for organic synthesis. Chem. Rev. 1998, 98, 2599–2660. [Google Scholar] [CrossRef] [PubMed]
- Harrod, J.F.; Ciccone, S.; Halpern, J. Catalytic activation of molecular hydrogen by ruthenium (III) chloride complexes. Can. J. Chem. 1961, 39, 1372–1376. [Google Scholar] [CrossRef] [Green Version]
- Hui, B.C.; James, B.R. Catalytic activation of molecular hydrogen by ruthenium chloride complexes in N,N-dimethylacetamide solution. Can. J. Chem. 1974, 52, 348–357. [Google Scholar] [CrossRef] [Green Version]
- Zhao, H.; Song, H.; Zhao, J.; Yang, J.; Yan, L.; Chou, L. The reactivity and deactivation mechanism of Ru@C catalyst over hydrogenation of aromatics to cyclohexane derivatives. ChemistrySelect 2020, 5, 4316–4327. [Google Scholar] [CrossRef]
- Jing, X.; Shimakoshi, H.; Hisaeda, Y. Development of metal-organic framework (MOF)-B12 system as new bio-inspired heterogeneous catalyst. J. Organomet. Chem. 2015, 782, 89–95. [Google Scholar] [CrossRef]
- Vehlow, K.; Maechling, S.; Köhler, K.; Blechert, S. Versatile Ru-based metathesis catalysts designed for both homogeneous and heterogeneous processes. J. Organomet. Chem. 2006, 691, 5267–5277. [Google Scholar] [CrossRef]
- Rosi, L.; Frediani, M.; Frediani, P. Isotopomeric diols by “one-pot” Ru-catalyzed homogeneous hydrogenation of dicarboxylic acids. J. Organomet. Chem. 2010, 695, 1314–1322. [Google Scholar] [CrossRef]
- Everaere, K.; Mortreux, A.; Carpentier, J.-F. Ruthenium(II)-catalyzed asymmetric transfer hydrogenation of carbonyl compounds with 2-propanol and ephedrine-type ligands. Adv. Synth. Catal. 2003, 345, 67–77. [Google Scholar] [CrossRef]
- Noyori, R.; Hashiguchi, S. Asymmetric transfer hydrogenation catalyzed by chiral ruthenium complexes. Acc. Chem. Res. 1997, 30, 97–102. [Google Scholar] [CrossRef]
- Togni, A.; Venanzi, L.M. Nitrogen donors in organometallic chemistry and homogeneous catalysis. Angew. Chem. Int. Ed. Engl. 1994, 33, 497–526. [Google Scholar] [CrossRef]
- Putignano, E.; Bossi, G.; Rigo, P.; Baratta, W. MCl2(ampy)(dppf) (M = Ru, Os): Multitasking catalysts for carbonyl compound/alcohol interconversion reactions. Organometallics 2012, 31, 1133–1142. [Google Scholar] [CrossRef]
- Mikami, K.; Korenaga, T.; Terada, M.; Ohkuma, T.; Pham, T.; Noyori, R. Conformationally flexible biphenyl-phosphane ligands for Ru-catalyzed enantioselective hydrogenation. Angew. Chem. Int. Ed. Engl. 1999, 38, 495–497. [Google Scholar] [CrossRef]
- Yamakawa, M.; Ito, H.; Noyori, R. The metal-ligand bifunctional catalysis: A theoretical study on the ruthenium(II)-catalyzed hydrogen transfer between alcohols and carbonyl compounds. J. Am. Chem. Soc. 2000, 122, 1466–1478. [Google Scholar] [CrossRef]
- Abdur-Rashid, K.; Clapham, S.E.; Hadzovic, A.; Harvey, J.N.; Lough, A.J.; Morris, R.H. Mechanism of the hydrogenation of ketones catalyzed by trans-dihydrido(diamine)ruthenium(II) complexes. J. Am. Chem. Soc. 2002, 124, 15104–15118. [Google Scholar] [CrossRef]
- Ma, G.; Mcdonald, R.; Ferguson, M.; Cavell, R.G.; Patrick, B.O.; James, B.R.; Hu, T.Q. Ruthenium(II) diphosphine/diamine/diimine complexes and catalyzed hydrogen-transfer to ketones. Organometallics 2007, 26, 846–854. [Google Scholar] [CrossRef]
- Ge, S.; Zhang, J.; Zhao, J.; Ulhaq, I.; Ma, G.; Donald, M. Ruthenium(II) diphosphine(phosphine)/imine/amine/CO complexes as efficient catalysts in transfer hydrogenation of ketones. J. Organomet. Chem. 2019, 879, 7–14. [Google Scholar] [CrossRef]
- Santos, R.B.; Rivelino, R.; de Brito Mota, F.; Gueorguiev, G.K.; Kakanakova-Georgieva, A. Dopant species with Al-Si and N-Si bonding in the MOCVD of AlN implementing trimethylaluminum, ammonia and silane. J. Phys. D Appl. Phys. 2015, 48, 295104. [Google Scholar] [CrossRef]
- Kakanakova-Georgieva, A.; Gueorguiev, G.K.; Yakimova, R.; Janzén, E. Effect of impurity incorporation on crystallization in AlN sublimation epitaxy. J. Appl. Phys. 2004, 96, 5293–5297. [Google Scholar] [CrossRef]
- Baratta, W.; Herdtweck, E.; Siega, K.; Toniutti, M.; Rigo, P. 2-(aminomethyl)pyridinephosphine ruthenium(II) complexes: Novel highly active transfer hydrogenation catalysts. Organometallics 2005, 24, 1660–1669. [Google Scholar] [CrossRef]
- Sheldrick, G.M. Crystal structure refinement with SHELXL. Acta. Crystallogr. Sect. C 2015, C71, 3–8. [Google Scholar] [CrossRef]
- Sheldrick, G.M. SHELXL-2017, Program for Crystal Structure Determination; Unversity of Göttingen: Göttingen, Germany, 2017. [Google Scholar]
- Lindner, E.; Warad, I.; Eichele, K.; Mayer, H.A. Supported organometallic complexes part 34: Synthesis and structures of an array of diamine(ether-phosphine)ruthenium(II) complexes and their application in the catalytic hydrogenation of trans-4-phenyl-3-butene-2-one. Inorg. Chim. Acta 2003, 350, 49–56. [Google Scholar] [CrossRef]
- Magee, M.P.; Norton, J.R. Stoichiometric, catalytic, and enantioface-selective hydrogenation of C==N bonds by an ionic mechanism. J. Am. Chem. Soc. 2001, 123, 1778–1779. [Google Scholar] [CrossRef] [PubMed]
- Clapham, S.E.; Hadzovic, A.; Morris, R.H. Mechanisms of the H2-hydrogenation and transfer hydrogenation of polar bonds catalyzed by ruthenium hydride complexes. Coord. Chem. Rev. 2004, 248, 2201–2237. [Google Scholar] [CrossRef]
- Bullock, R.M. Catalytic ionic hydrogenations. Chem. Eur. J. 2004, 10, 2366–2374. [Google Scholar] [CrossRef]
- Hallman, P.S.; Stephenson, T.A.; Wilkinson, G. Tetrakis(triphenylphosphine)dichloro-ruthenium(II) andtris(triphenylphosphine)-dichlororuthenium(II). Inorg. Synth. 1970, 12, 237–240. [Google Scholar] [CrossRef]
- Ruggeri, F.M.; Frisch, M.; Trucks, G.; Schlegel, H.; Scuseria, G.; Robb, M.; Cheeseman, J.; Montgomery, J.; Vreven, T.; Kudin, K. Gaussian03, Revision E.01; ScienceOpen: Wallingford, CT, USA, 2004. [Google Scholar]
- Lee, C.; Yang, W.; Parr, R.G. Development of the colle-salvetti correlation-energy formula into a functional of the electron density. Phys. Rev. B 1988, 37, 785–789. [Google Scholar] [CrossRef] [Green Version]









| Precursor Catalysts | Reaction Time (h) | Conversion (%) | TOF (h−1) |
|---|---|---|---|
| RuCl2(PPh3)2 (Picam) (1) | 24 | 62.2 | 6600 |
| RuCl2(DPPF) (Picam) (2) | 24 | 90.0 | 10,320 |
| Empirical formula | C42H38Cl2N2P2Ru·2CH2Cl2 (1) |
| Formula weight | 974.51 |
| Crystal system Crystal Dimensions | Monoclinic 0.42 × 0.23 × 0.14 mm |
| Space group | P21/c (No. 14) |
| Unit cell parameters a (Å) | 18.1129(11) |
| b (Å) | 9.8700(6) |
| c (Å) | 24.4824(15) |
| β (°) | 102.8701(8) |
| Volume (Å3) | 4266.9(5) |
| Z | 4 |
| Calculated density (g cm−3) | 1.517 |
| Temperature, K | 193.2(1) |
| μ (MoKα), (mm−1) | 0.853 |
| θ range for data collection (°) Index ranges Independent reflections Observed reflections Data/restraints/parameters Goodness-of-fit on F2 | 0.3 to 27.48 −23 ≤ h ≤ 23 −12 ≤ k ≤ 12 −31 ≤ l ≤ 31 9773 8046 9773/0/496 1.043 |
| Final R indices [F02 ≥ 2σ(F0)] wR2 [F02 ≥ −3σ(F02)] | R1 = 0.0362 wR2 = 0.0924 |
| Large difference peak and hole | −1.062 and 0.881 e/Å3 |
Publisher’s Note: MDPI stays neutral with regard to jurisdictional claims in published maps and institutional affiliations. |
© 2022 by the authors. Licensee MDPI, Basel, Switzerland. This article is an open access article distributed under the terms and conditions of the Creative Commons Attribution (CC BY) license (https://creativecommons.org/licenses/by/4.0/).
Share and Cite
Sun, M.; Ge, S.; Zhao, J.; McDonald, R.; Ma, G. Ruthenium(II) Phosphine/Picolylamine Dichloride Complexes Hydrogenation and DFT Calculations. Catalysts 2022, 12, 377. https://doi.org/10.3390/catal12040377
Sun M, Ge S, Zhao J, McDonald R, Ma G. Ruthenium(II) Phosphine/Picolylamine Dichloride Complexes Hydrogenation and DFT Calculations. Catalysts. 2022; 12(4):377. https://doi.org/10.3390/catal12040377
Chicago/Turabian StyleSun, Manluan, Sai Ge, Jianguo Zhao, Robert McDonald, and Guibin Ma. 2022. "Ruthenium(II) Phosphine/Picolylamine Dichloride Complexes Hydrogenation and DFT Calculations" Catalysts 12, no. 4: 377. https://doi.org/10.3390/catal12040377
APA StyleSun, M., Ge, S., Zhao, J., McDonald, R., & Ma, G. (2022). Ruthenium(II) Phosphine/Picolylamine Dichloride Complexes Hydrogenation and DFT Calculations. Catalysts, 12(4), 377. https://doi.org/10.3390/catal12040377
