Effect of Plating Variables on Oxygen Evolution Reaction of Ni–Zn–Fe Electrodes for Alkaline Water Electrolysis
Abstract
:1. Introduction
2. Results and Discussion
2.1. Effects of Plating Current Density
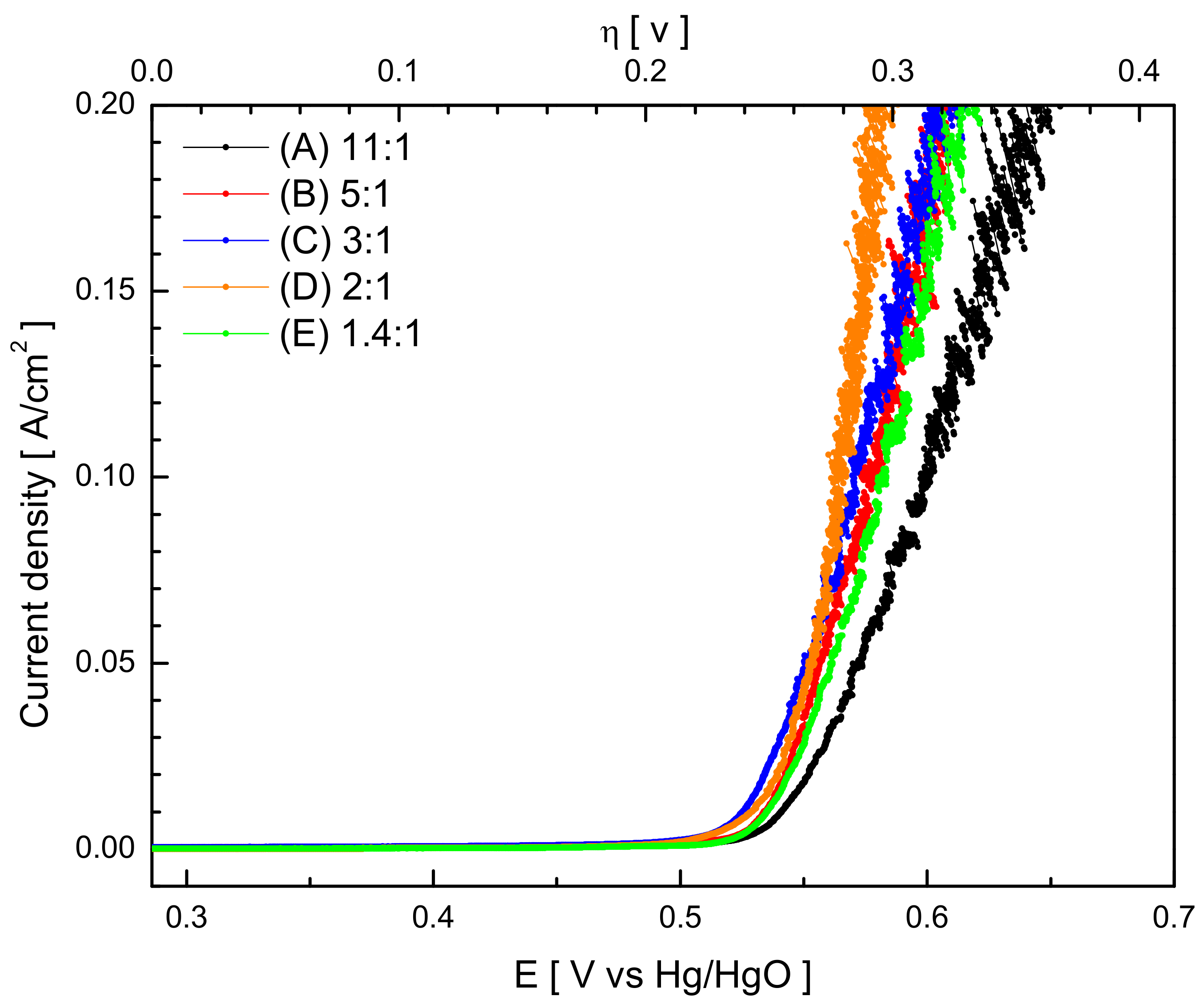
2.2. Characteristics According to the Ni:Fe Ratio in the Plating Bath
3. Experimental Procedures
3.1. Electrode Preparation
3.1.1. Pre-Treatment
3.1.2. Electroplating
3.1.3. Zn Dealloying
3.2. Physicochemical Analysis
3.3. Electrochemical Analysis
4. Conclusions
Supplementary Materials
Author Contributions
Funding
Data Availability Statement
Conflicts of Interest
References
- Zouhri, K.; Lee, S.Y. Evaluation and Optimization of the Alkaline Water Electrolysis Ohmic Polarization: Exergy Study. Int. J. Hydrog. Energy 2016, 41, 7253–7263. [Google Scholar] [CrossRef]
- Kim, H.S.; Kim, H.; Flores, M.C.; Jung, G.-S.; In, S.-I. Stable Surface Technology for HER Electrodes. Catalysts 2021, 11, 693. [Google Scholar] [CrossRef]
- Schmidt, O.; Gambhir, A.; Staffell, I.; Hawkes, A.; Nelson, J.; Few, S. Future Cost and Performance of Water Electrolysis: An Expert Elicitation Study. Int. J. Hydrog. Energy 2017, 42, 30470–30492. [Google Scholar] [CrossRef]
- Veziroğlu, T.N.; Şahin, S.N. 21st Century’s Energy: Hydrogen Energy System. Energy Conv. Manag. 2008, 49, 1820–1831. [Google Scholar] [CrossRef]
- Pérez-Viramontes, N.J.; Collins-Martínez, V.H.; Escalante-García, I.L.; Flores-Hernández, J.R.; Galván-Valencia, M.; Durón-Torres, S.M. Ir-Sn-Sb-O Electrocatalyst for Oxygen Evolution Reaction: Physicochemical Characterization and Performance in Water Electrolysis Single Cell with Solid Polymer Electrolyte. Catalysts 2020, 10, 524. [Google Scholar] [CrossRef]
- Panda, C.; Menezes, P.W.; Zheng, M.; Orthmann, S.; Driess, M. In Situ Formation of Nanostructured Core–Shell Cu3N–CuO to Promote Alkaline Water Electrolysis. ACS Energy Lett. 2019, 4, 747–754. [Google Scholar] [CrossRef]
- He, G.; Zhang, W.; Deng, Y.; Zhong, C.; Hu, W.; Han, X. Engineering Pyrite-Type Bimetallic Ni-Doped CoS2 Nanoneedle Arrays over a Wide Compositional Range for Enhanced Oxygen and Hydrogen Electrocatalysis with Flexible Property. Catalysts 2017, 7, 366. [Google Scholar] [CrossRef] [Green Version]
- Koj, M.; Gimpel, T.; Schade, W.; Turek, T. Laser Structured Nickel-Iron Electrodes for Oxygen Evolution in Alkaline Water Electrolysis. Int. J. Hydrog. Energy 2019, 44, 12671–12684. [Google Scholar] [CrossRef]
- Santos, D.M.F.; Sequeira, C.A.C.; Figueiredo, J.L. Hydrogen Production by Alkaline Water Electrolysis. Quim. Nova 2013, 36, 1176–1193. [Google Scholar] [CrossRef]
- Colli, A.N.; Girault, H.H.; Battistel, A. Non-Precious Electrodes for Practical Alkaline Water Electrolysis. Materials 2019, 12, 1336. [Google Scholar] [CrossRef] [Green Version]
- Gong, M.; Dai, H. A Mini Review of NiFe-Based Materials as Highly Active Oxygen Evolution Reaction Electrocatalysts. Nano Res. 2015, 8, 23–39. [Google Scholar] [CrossRef] [Green Version]
- Diaz-Morales, O.; Ledezma-Yanez, I.; Koper, M.T.M.; Calle-Vallejo, F. Guidelines for the Rational Design of Ni-Based Double Hydroxide Electrocatalysts for the Oxygen Evolution Reaction. ACS Cat. 2015, 5, 5380–5387. [Google Scholar] [CrossRef]
- Yeo, B.S.; Bell, A.T. Enhanced Activity of Gold-Supported Cobalt Oxide for the Electrochemical Evolution of Oxygen. J. Am. Chem. Soc. 2011, 133, 5587–5593. [Google Scholar] [CrossRef] [PubMed]
- Rashidi, A.M.; Eivani, A.R.; Amadeh, A. Application of artificial neural networks to predict the grain size of nano-crystalline nickel coatings. Comput. Mater. Sci. 2009, 45, 499–504. [Google Scholar] [CrossRef]
- Winand, R. Electrodeposition of Metals and Alloys-New Results and Perspectives. Electrochim. Acta 1994, 39, 1091–1105. [Google Scholar] [CrossRef]
- Qu, N.S.; Zhu, D.; Chan, K.C.; Lei, W.N. Pulse Electrodeposition of Nanocrystalline Nickel Using Ultra Narrow Pulse Width and High Peak Current Density. Surf. Coat. Technol. 2003, 168, 123–128. [Google Scholar] [CrossRef]
- Rashidi, A.M.; Amadeh, A. The Effect of Current Density on the Grain Size of Electrodeposited Nanocrystalline Nickel Coatings. Surf. Coat. Technol. 2008, 202, 3772–3776. [Google Scholar] [CrossRef]
- Fabbri, E.; Habereder, A.; Waltar, K.; Kötz, R.; Schmidt, T.J. Developments and Perspectives of Oxide-Based Catalysts for the Oxygen Evolution Reaction. Catal. Sci. Technol. 2014, 4, 3800–3821. [Google Scholar] [CrossRef] [Green Version]
- Louie, M.W.; Bell, A.T. An Investigation of Thin-Film Ni−Fe Oxide Catalysts for the Electrochemical Evolution of Oxygen. J. Am. Chem. Soc. 2013, 135, 12329–12337. [Google Scholar] [CrossRef] [Green Version]
- Corrigan, D.A. The Catalysis of the Oxygen Evolution Reaction by Iron Impurities in Thin Film Nickel Oxide Electrodes. J. Electrochem. Soc. 1987, 134, 377–384. [Google Scholar] [CrossRef]
- Görlin, M.; Chernev, P.; Ferreira de Araújo, J.; Reier, T.; Dresp, S.; Paul, B.; Krähnert, R.; Dau, H.; Strasser, P. Oxygen Evolution Reaction Dynamics, Faradaic Charge Efficiency, and the Active Metal Redox States of Ni–Fe Oxide Water Splitting Electrocatalysts. J. Am. Chem. Soc. 2016, 138, 5603–5614. [Google Scholar] [CrossRef] [PubMed]
- Kjartansdóttir, C.; Caspersen, M.; Egelund, S.; Møller, P. Electrochemical Investigation of Surface Area Effects on PVD Al-Ni as Electrocatalyst for Alkaline Water Electrolysis. Electrochim. Acta 2014, 142, 324–335. [Google Scholar] [CrossRef]
- Meng, T.; Li, Q.; Yan, M.; Wang, D.; Fan, L.; Liu, X.; Xing, Z.; Yang, X. Electrochemically Induced In-Situ Surface Self-Reconstruction on Ni, Fe, Zn Ternary-Metal Hydroxides towards the Oxygen-Evolution Performance. Chem. Eng. J. 2021, 410, 128331. [Google Scholar] [CrossRef]
- Hegde, A.C.; Venkatakrishna, K.; Eliaz, N. Electrodeposition of Zn-Ni, Zn-Fe and Zn-Ni-Fe Alloys. Surf. Coat. Technol. 2010, 205, 2031–2041. [Google Scholar] [CrossRef]
- Nayana, K.O.; Prashanth, S.A.; Venkatesha, T.V.; Pandurangappa, M. Effect of Additives on Nanocrystalline Bright Zn-Ni-Fe Alloy Electrodeposit Properties. Surf. Eng. 2019, 35, 1061–1069. [Google Scholar] [CrossRef]
- Oliveira, R.P.; Bertagnolli, D.C.; Ferreira, E.A.; da Silva, L.; Paula, A.S. Influence of Fe2+ Oxidation and Its Antioxidant Ascorbic Acid as Additive in Zn-Ni-Fe Electrodeposition Process on a Low Carbon Steel. Surf. Coat. Technol. 2018, 349, 874–884. [Google Scholar] [CrossRef]
- Wang, J.; Wilcox, G.D.; Mortimer, R.J.; Liu, C.; Ashworth, M.A. Electrodeposition and Characterisation of Novel Ni-NbOx Composite Coatings as a Diffusion Barrier for Liquid Solder Interconnects—Part II: Diffusion Barrier Performance. ECS Trans. 2015, 64, 109–121. [Google Scholar] [CrossRef]
- Rashidi, A.M. A Galvanostatic Modeling for Preparation of Electrodeposited Nanocrystalline Coatings by Control of Current Density. J. Mater. Sci. Technol. 2012, 28, 1071–1076. [Google Scholar] [CrossRef]
- Suen, N.T.; Hung, S.F.; Quan, Q.; Zhang, N.; Xu, Y.J.; Chen, H.M. Electrocatalysis for the Oxygen Evolution Reaction: Recent Development and Future Perspectives. Chem. Soc. Rev. 2017, 46, 337–365. [Google Scholar] [CrossRef] [PubMed]
- Doyle, R.L.; Lyons, M.E.G. Kinetics and Mechanistic Aspects of the Oxygen Evolution Reaction at Hydrous Iron Oxide Films in Base. J. Electrochem. Soc. 2013, 160, H142–H154. [Google Scholar] [CrossRef]
- Bajdich, M.; García-Mota, M.; Vojvodic, A.; Nørskov, J.K.; Bell, A.T. Theoretical Investigation of the Activity of Cobalt Oxides for the Electrochemical Oxidation of Water. J. Am. Chem. Soc. 2013, 135, 13521–13530. [Google Scholar] [CrossRef] [Green Version]
- Yue, S.; Wang, S.; Jiao, Q.; Feng, X.; Zhan, K.; Dai, Y.; Feng, C.; Li, H.; Feng, T.; Zhao, Y. Preparation of Yolk–Shell-Structured CoxFe1− xP With Enhanced OER Performance. ChemSusChem 2019, 12, 4461–4470. [Google Scholar] [CrossRef] [PubMed]
- Samanta, A.; Das, S.; Jana, S. Ultra-Small Intermetallic NiZn Nanoparticles: A Non-Precious Metal Catalyst for Efficient Electrocatalysis. Nanoscale Adv. 2020, 2, 417–424. [Google Scholar] [CrossRef] [Green Version]
- Xiao, H.; Shin, H.; Goddard, W.A. Synergy Between Fe and Ni in the Optimal Performance of (Ni,Fe)OOH Catalysts for the Oxygen Evolution Reaction. Proc. Natl Acad. Sci. USA 2018, 115, 5872–5877. [Google Scholar] [CrossRef] [PubMed] [Green Version]
- Torabinejad, V.; Aliofkhazraei, M.; Assareh, S.; Allahyarzadeh, M.H.; Rouhaghdam, A.S. Electrodeposition of Ni-Fe alloys, composites, and nano coatings—A review. J. Alloys Compd. 2017, 691, 841–859. [Google Scholar] [CrossRef]
- Stevens, M.B.; Trang, C.D.M.; Enman, L.J.; Deng, J.; Boettcher, S.W. Reactive Fe-Sites in Ni/Fe (Oxy)Hydroxide Are Responsible for Exceptional Oxygen Electrocatalysis Activity. J. Am. Chem. Soc. 2017, 139, 11361–11364. [Google Scholar] [CrossRef]
- Klaus, S.; Cai, Y.; Louie, M.W.; Trotochaud, L.; Bell, A.T. Effects of Fe Electrolyte Impurities on Ni(OH)2/NiOOH Structure and Oxygen Evolution Activity. J. Phys. Chem. C 2015, 119, 7243–7254. [Google Scholar] [CrossRef] [Green Version]
- Sheela, G.; Pushpavanam, M.; Pushpavanam, S. Zinc–Nickel Alloy Electrodeposits for Water Electrolysis. Int. J. Hydrog. Energy 2002, 27, 627–633. [Google Scholar] [CrossRef]
- Acharya, P.; Nelson, Z.J.; Benamara, M.; Manso, R.H.; Bakovic, S.I.P.; Abolhassani, M.; Lee, S.; Reinhart, B.; Chen, J.; Greenlee, L.F. Chemical Structure of Fe–Ni Nanoparticles for Efficient Oxygen Evolution Reaction Electrocatalysis. ACS Omega 2019, 4, 17209–17222. [Google Scholar] [CrossRef] [Green Version]
- Trotochaud, L.; Young, S.L.; Ranney, J.K.; Boettcher, S.W. Nickel–Iron Oxyhydroxide Oxygen-Evolution Electrocatalysts: The Role of Intentional and Incidental Iron Incorporation. J. Am. Chem. Soc. 2014, 136, 6744–6753. [Google Scholar] [CrossRef]
- Friebel, D.; Louie, M.W.; Bajdich, M.; Sanwald, K.E.; Cai, Y.; Wise, A.M.; Cheng, M.J.; Sokaras, D.; Weng, T.C.; Alonso-Mori, R.; et al. Identification of Highly Active Fe Sites in (Ni, Fe) OOH for Electrocatalytic Water Splitting. J. Am. Chem. Soc. 2015, 137, 1305–1313. [Google Scholar] [CrossRef] [Green Version]
- Hu, C.C.; Wu, Y.R. Bipolar Performance of the Electroplated Iron–Nickel Deposits for Water Electrolysis. Mater. Chem. Phys. 2003, 82, 588–596. [Google Scholar] [CrossRef]
- Zhuang, L.; Ge, L.; Yang, Y.; Li, M.; Jia, Y.; Yao, X.; Zhu, Z. Ultrathin Iron-Cobalt Oxide Nanosheets With Abundant Oxygen Vacancies for the Oxygen Evolution Reaction. Adv. Mater. 2017, 29, 1606793. [Google Scholar] [CrossRef] [PubMed]
- Bao, J.; Zhang, X.; Fan, B.; Zhang, J.; Zhou, M.; Yang, W.; Hu, X.; Wang, H.; Pan, B.; Xie, Y. Ultrathin Spinel-Structured Nanosheets Rich in Oxygen Deficiencies for Enhanced Electrocatalytic Water Oxidation. Angew. Chem. 2015, 127, 7507–7512. [Google Scholar] [CrossRef]
- Kim, H.; Kim, J.; Ahn, S.H. Monitoring Oxygen–Vacancy Ratio in NiFe-Based Electrocatalysts During Oxygen Evolution Reaction in Alkaline Electrolyte. J. Ind. Eng. Chem. 2019, 72, 273–280. [Google Scholar] [CrossRef]
- Bezerra, L.S.; Maia, G. Developing Efficient Catalysts for the OER and ORR Using a Combination of Co, Ni, and Pt. Oxides along with Graphene Nanoribbons and NiCo2O4. J. Mater. Chem. A. 2020, 8, 17691–17705. [Google Scholar] [CrossRef]
- Yu, Z.; Lin, T.; Zhu, C.; Li, J.; Luo, X. Design of Trimetallic NiMoFe Hollow Microspheres with Polyoxometalate-Based Metal-Organic Frameworks for Enhanced Oxygen Evolution Reaction. ChemElectroChem 2021, 8, 1316–1321. [Google Scholar] [CrossRef]
- Bai, J.; Mei, J.; Liao, T.; Sun, Q.; Chen, Z.G.; Sun, Z. Molybdenum-Promoted Surface Reconstruction in Polymorphic Cobalt for Initiating Rapid Oxygen Evolution. Adv. Energy Mater. 2022, 12, 2103247. [Google Scholar] [CrossRef]
- Abed, J.; Ahmadi, S.; Laverdure, L.; Abdellah, A.; O’brien, C.P.; Cole, K.; Sobrinho, P.; Sinton, D.; Higgins, D.; Mosey, N.J.; et al. In Situ Formation of Nano Ni-Co Oxyhydroxide Enables Water Oxidation Electrocatalysts Durable at High Current Densities. Adv. Mater. 2021, 33, 2103812. [Google Scholar] [CrossRef] [PubMed]
- Wu, T.; Song, E.; Zhang, S.; Luo, M.; Zhao, C.; Zhao, W.; Liu, J.; Huang, F.; Wu, T.; Song, E.; et al. Engineering Metallic Heterostructure Based on Ni3N and 2M-MoS2 for Alkaline Water Electrolysis with Industry-Compatible Current Density and Stability. Adv. Mater. 2022, 2108505. [Google Scholar] [CrossRef]











| Sample | Tafel Slope [mV·dec−1] | Overpotential @ 100 mA·cm−2 Current Density [mV] |
|---|---|---|
| 80 mA/cm2 | 26 | 0.306 |
| 160 mA/cm2 | 28 | 0.302 |
| 240 mA/cm2 | 33 | 0.303 |
| 320 mA/cm2 | 29 | 0.309 |
| Sample | Overpotential @ 100 mA·cm−2 Current Density [mV] |
|---|---|
| (A) 11:1 | 0.313 |
| (B) 5:1 | 0.287 |
| (C) 3:1 | 0.284 |
| (D) 2:1 | 0.276 |
| (E) 1.4:1 | 0.302 |
| Sample | Ni2+/Ni3+ Peak Area Ratio | Oxygen Vacancy Peak Area Percentage (%) | Fe(lll) Peak Area (%) |
|---|---|---|---|
| A (11:1) | 1.86 | 42.8 | 53.8 |
| B (5:1) | 2.31 | 43.6 | 59.9 |
| C (3:1) | 2.50 | 46.5 | 62.8 |
| D (2:1) | 2.89 | 75.5 | 63.5 |
| E (1.4:1) | 2.04 | 43.2 | 72.1 |
| Catalysts | Method of Preparation | Oxygen Overpotential/mV at 0.1 A·cm−2 | Ref |
| Ni–Zn–Fe 160 mA/cm2 | Electrodeposition | 276 | this paper |
| NiCoO4 | Hydrothermal | 350 | [46] |
| NiMoFe@NC700 | solvothermal | 288 | [47] |
| CMN-500 | Hydrothermal | 290 | [48] |
| (NiCo)3Se4 Cryo | Cryomilling | 389 | [49] |
| Ni3N | Hydrothermal | 374 | [50] |
| Precursor | A (11:1) | B (5:1) | C (3:1) | D (2:1) | E (1.4:1) |
|---|---|---|---|---|---|
| H3BO3 | 37.5 | 37.5 | 37.5 | 37.5 | 37.5 |
| C6H5K3O7 | 32.44 | 32.44 | 32.44 | 32.44 | 32.44 |
| FeSO4·7H2O | 30 | 60 | 90 | 120 | 150 |
| NiSO4·6H2O | 330 | 300 | 270 | 240 | 210 |
| NiCl2·6H2O | 45 | 45 | 45 | 45 | 45 |
| ZnCl2 | 20 | 20 | 20 | 20 | 20 |
| C7H5NO3S | 1 | 1 | 1 | 1 | 1 |
Publisher’s Note: MDPI stays neutral with regard to jurisdictional claims in published maps and institutional affiliations. |
© 2022 by the authors. Licensee MDPI, Basel, Switzerland. This article is an open access article distributed under the terms and conditions of the Creative Commons Attribution (CC BY) license (https://creativecommons.org/licenses/by/4.0/).
Share and Cite
Lee, S.-h.; Kim, J.E.; Joo, H.; Park, C.-s.; Jeong, S.-u.; Jung, K.; Kim, Y.-h.; Kang, K.-s. Effect of Plating Variables on Oxygen Evolution Reaction of Ni–Zn–Fe Electrodes for Alkaline Water Electrolysis. Catalysts 2022, 12, 346. https://doi.org/10.3390/catal12030346
Lee S-h, Kim JE, Joo H, Park C-s, Jeong S-u, Jung K, Kim Y-h, Kang K-s. Effect of Plating Variables on Oxygen Evolution Reaction of Ni–Zn–Fe Electrodes for Alkaline Water Electrolysis. Catalysts. 2022; 12(3):346. https://doi.org/10.3390/catal12030346
Chicago/Turabian StyleLee, Su-han, Ji Eun Kim, Hyunku Joo, Chu-sik Park, Seong-uk Jeong, Kwangjin Jung, Young-ho Kim, and Kyoung-soo Kang. 2022. "Effect of Plating Variables on Oxygen Evolution Reaction of Ni–Zn–Fe Electrodes for Alkaline Water Electrolysis" Catalysts 12, no. 3: 346. https://doi.org/10.3390/catal12030346
APA StyleLee, S.-h., Kim, J. E., Joo, H., Park, C.-s., Jeong, S.-u., Jung, K., Kim, Y.-h., & Kang, K.-s. (2022). Effect of Plating Variables on Oxygen Evolution Reaction of Ni–Zn–Fe Electrodes for Alkaline Water Electrolysis. Catalysts, 12(3), 346. https://doi.org/10.3390/catal12030346

