Impact of Sintering Temperature on the Electrical Properties of La0.9Sr0.1MnO3 Manganite
Abstract
1. Introduction
2. Experimental Details
3. Results and Discussion
3.1. Structural and Morphological Study
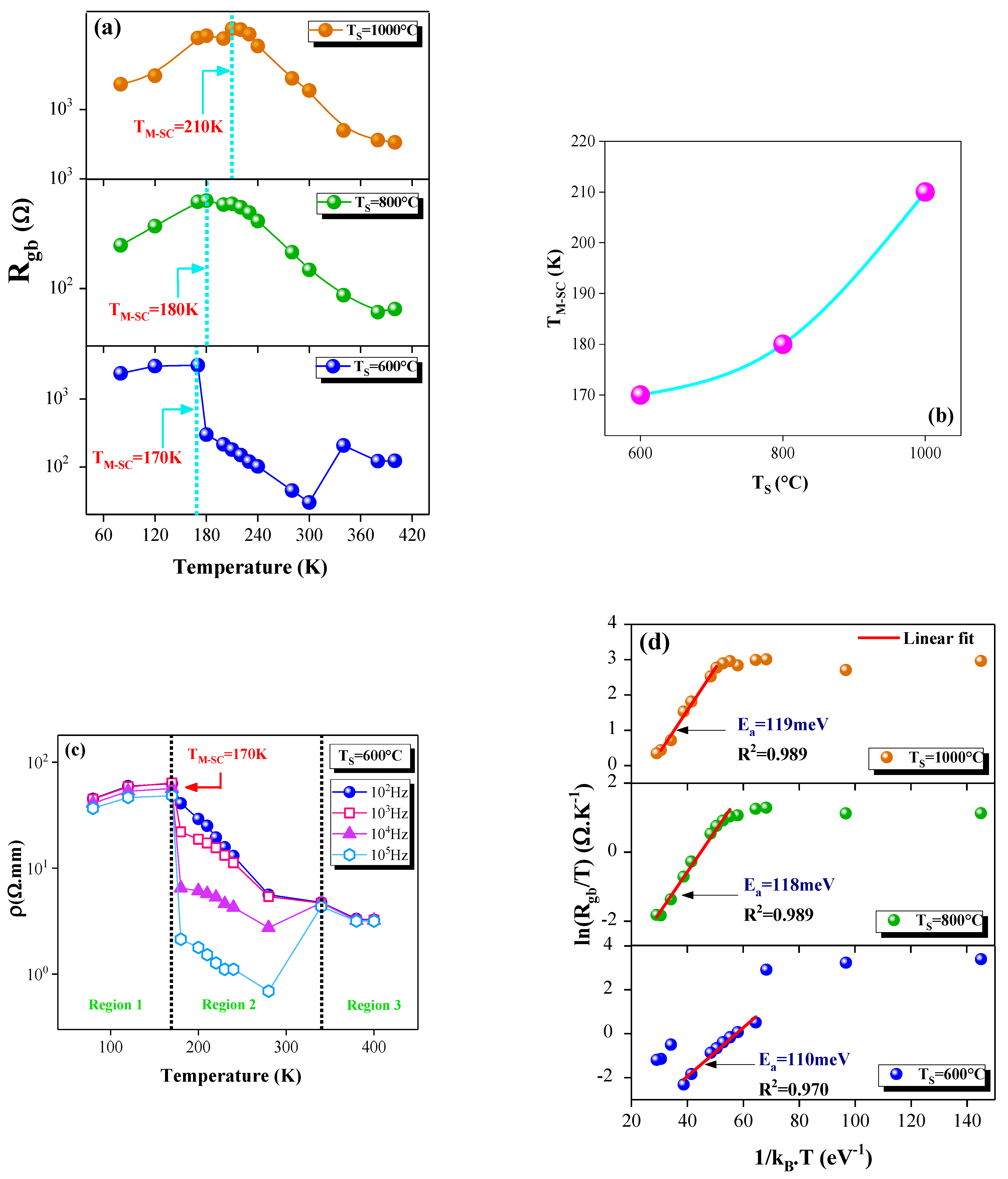
3.2. DC-Resistivity Analysis
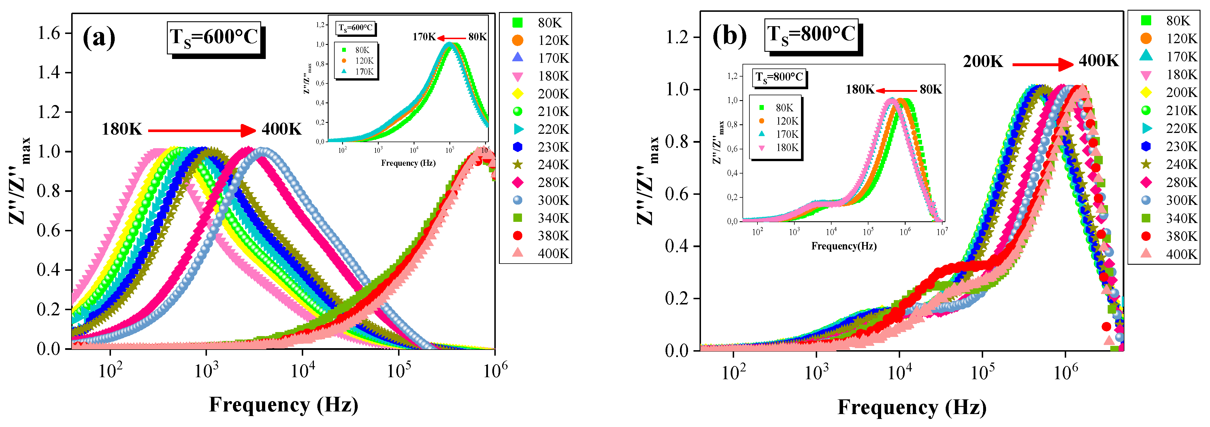
3.3. Impedance Analysis
4. Conclusions
Author Contributions
Funding
Data Availability Statement
Acknowledgments
Conflicts of Interest
References
- Dutta, A.; Gayathri, N.; Ranganathan, R. Effect of particle size on the magnetic and transport properties of La0.875Sr0.125MnO3. Phys. Rev. B 2003, 68, 054432. [Google Scholar] [CrossRef]
- Jin, S.; Tifel, T.H.; Cormack, M.M.; Fastenacht, R.A.; Ramesh, R.; Chen, L.H. Thousandfold change in resistivity in magnetoresistive La-Ca-Mn-O films. Science 1994, 264, 413–415. [Google Scholar] [CrossRef]
- Kolat, V.S.; Gencer, H.; Gunes, M.; Atalay, S. Effect of B-doping on the structural, magnetotransport and magnetocaloric properties of La0.67Ca0.33MnO3 compounds. Mater. Sci. Eng. B 2007, 140, 212–217. [Google Scholar] [CrossRef]
- Zhang, Q.; Yin, L.; Mi, W.; Wang, X. Large Spatial Spin Polarization at Benzene/La2/3Sr1/3MnO3 Spinterface: Toward Organic Spintronic Devices. J. Phys. Chem. C 2016, 120, 6156–6164. [Google Scholar] [CrossRef]
- Yang, Q.; Yao, J.; Zhang, K.; Wang, W.; Zuo, X.; Tang, H.; Wu, M.; Li, G. Perovskite-type La1−xCaxMnO3 manganese oxides as effective counter electrodes for dye-sensitized solar cells. J. Electroanal. Chem. 2019, 833, 1–8. [Google Scholar] [CrossRef]
- Pankhurst, Q.A.; Connolly, J.; Jones, S.K.; Dobson, J. Applications of magnetic nanoparticles in biomedicine. J. Phys. D Appl. Phys. 2003, 36, R167. [Google Scholar] [CrossRef]
- Zhang, S.; Dong, G.; Liu, Y.; Li, H.; Chu, K.; Pu, X.; Yu, X.; Liu, X. Effect of Na-doping on structural, electrical, and magnetoresistive properties of La0.7(Ag0.3–xNax)0.3MnO3 polycrystalline ceramics. Ceram. Int. 2020, 46, 584–591. [Google Scholar] [CrossRef]
- Assoudi, N.; Walha, I.; Dhahri, E. Physical properties of double-doping Lanthanum manganite for bolometer applications. Chem. Phys. Lett. 2019, 731, 136609. [Google Scholar] [CrossRef]
- Patra, A.S.; Kumar, N.V.; Barpuzary, D.; De, M.; Qureshi, M. Strontium doped lanthanum manganites for efficient and robust photocatalytic water oxidation coupled with graphene oxide. Mater. Lett. 2014, 131, 125–127. [Google Scholar] [CrossRef]
- Rahmouni, H.; Cherif, B.; Baazaoui, M.; Khirouni, K. Effects of iron concentrations on the electrical properties of La0.67Ba0.33Mn1−xFexO3. J. Alloys Compd. 2013, 575, 5–9. [Google Scholar] [CrossRef]
- Rahmouni, H.; Cherif, B.; Jemai, R.; Dhahri, A.; Khirouni, K. Europium substitution for lanthanium in LaBaMnO–The structural and electrical properties of La0.7–xEuxBa0.3MnO3 perovskite. J. Alloys Compd. 2017, 690, 890–895. [Google Scholar] [CrossRef]
- Rahmouni, H.; Dhahri, A.; Khirouni, K. The effect of tin addition on the electrical conductivity of Sn-doped LaBaMnO3. J. Alloys Compd. 2014, 591, 259–262. [Google Scholar] [CrossRef]
- Rahmouni, H.; Smari, M.; Cherif, B.; Dhahri, E.; Khirouni, K. Conduction mechanism, impedance spectroscopic investigation and dielectric behavior of La0.5Ca0.5−xAgxMnO3 manganites with compositions below the concentration limit of silver solubility in perovskites (0 ≤ x ≤ 0.2). Dalton Trans. 2015, 44, 10457. [Google Scholar] [CrossRef]
- Charguia, R.; Hcini, S.; Boudard, M.; Dhahri, A. Microstructural properties, conduction mechanism, dielectric behavior, impedance and electrical modulus of La0.6Sr0.2Na0.2MnO3 manganite. J. Mater. Sci. Mater. Electron. 2019, 30, 2975–2984. [Google Scholar] [CrossRef]
- Elghoul, N.; Wali, M.; Kraiem, S.; Rahmouni, H.; Dhahri, E.; Khirouni, K. Sodium deficiency effect on the transport properties of La0.8Na0.2-x□xMnO3 manganites. Phys. B Phys. Condens. Matter 2015, 478, 108–112. [Google Scholar] [CrossRef]
- Choura-Maatar, S.; Nofal, M.; M’nassri, R.; Cheikhrouhou-Koubaa, W.; Chniba-Boudjada, N.; Cheikhrouhou, A. Enhancement of the magnetic and magnetocaloric properties by Na substitution for Ca of La0.8Ca0.2MnO3 manganite prepared via the Pechini-type sol–gel process. J. Mater. Sci. Mater. Electron. 2020, 31, 1634–1645. [Google Scholar] [CrossRef]
- Mahjoub, S.; M’nassri, R.; Baazaoui, M.; Hlil, E.K.; Oumezzine, M. Tuning magnetic and magnetocaloric properties around room temperature via chromium substitution in La0.65Nd0.05Ba0.3MnO3 system. J. Magn. Magn. Mater. 2019, 481, 29–38. [Google Scholar] [CrossRef]
- M’nassri, R.; Cheikhrouhou-Koubaa, W.; Boudjada, N.C.; Cheikhrouhou, A. Effect of barium-deficiency on the structural, magnetic, and magnetocaloric properties of La0.6Sr0.2Ba0.2–x□xMnO3 (0 ≤ x ≤ 0.15). J. Appl. Phys. 2013, 113, 073905. [Google Scholar] [CrossRef]
- Baazaoui, M.; Oumezzine, M.; Cheikhrouhou-Koubaa, W. Critical Behavior in Ga-Doped Manganites La0.65Bi0.05Sr0.3Mn1−xGaxO3 (x = 0 and 0.06). Phys. Solid State 2020, 62, 278–284. [Google Scholar] [CrossRef]
- Liu, Y.; Sun, T.; Dong, G.; Zhang, S.; Chu, K.; Pu, X.; Li, H.; Liu, X. Dependence on sintering temperature of structure, optical and magnetic properties of La0.625Ca0.315Sr0.06MnO3 perovskite nanoparticles. Ceram. Int. 2019, 45, 17467–17475. [Google Scholar] [CrossRef]
- Zener, C. Interaction between the d-Shells in the Transition Metals. II. Ferromagnetic Compounds of Manganese with Perovskite Structure. Phys. Rev. 1951, 82, 403–405. [Google Scholar] [CrossRef]
- de Gennes, P.G. Effects of Double Exchange in Magnetic Crystals. Phys. Rev. 1960, 118, 141–154. [Google Scholar] [CrossRef]
- Lakshmi, Y.K.; Venkataiaha, G.; Vithal, M.; Reddy, P.V. Magnetic and electrical behavior of La1−xAxMnO3 (A= Li, Na, K and Rb) manganites. Phys. B Condens. Matter 2008, 403, 3059–3066. [Google Scholar] [CrossRef]
- Zhang, N.; Yang, W.; Ding, W.; Xing, D.; Du, Y. Grain size-dependent magnetism in fine particle perovskite, La1−xSrxMnOz. Solid State Commun. 1999, 109, 537–542. [Google Scholar] [CrossRef]
- Oumezzine, M.; Hcini, S.; Baazaoui, M.; Sales, H.B.; Santos, I.M.G.d.; Oumezzine, M. Crystallite size effect on the structural, microstructure, magnetic and electrical transport properties of Pr0.7Sr0.3Mn0.9Cr0.1O3 nanocrystalline via a modified Pechini method. J. Alloys Compd. 2013, 571, 79–84. [Google Scholar] [CrossRef]
- Oumezzine, M.; Peña, O.; Guizouarn, T.; Lebullenger, R.; Oumezzine, M. Impact of the sintering temperature on the structural, magnetic and electrical transport properties of doped La0.67Ba0.33Mn0.9Cr0.1O3 manganite. J. Magn. Magn. Mater. 2012, 324, 2821–2828. [Google Scholar] [CrossRef]
- Venkataiah, G.; Reddy, P.V. Electrical behavior of sol–gel prepared Nd0.67Sr0.33MnO3 manganite system. J. Magn. Magn. Mater. 2005, 285, 343–352. [Google Scholar] [CrossRef]
- M’nassri, R.; Boudjada, C.; Cheikhrouhou, A. Impact of sintering temperature on the magnetic and magnetocaloric properties in Pr0.5Eu0.1Sr0.4MnO3 manganites. J. Alloys Compd. 2015, 626, 20–28. [Google Scholar] [CrossRef]
- Moualhi, Y.; M’nassri, R.; Nofal, M.M.; Rahmouni, H.; Selmi, A.; Gassoumi, M.; Chniba-Boudjada, N.; Khirouni, K.; Cheikrouhou, A. Influence of Fe doping on physical properties of charge ordered praseodymium–calcium–manganite material. Eur. Phys. J. Plus 2020, 135, 809. [Google Scholar] [CrossRef]
- Rahmouni, H.; Nouiri, M.; Jemai, R.; Kallel, N.; Rzigua, F.; Selmi, A.; Khirouni, K.; Alaya, S. Electrical conductivity and complex impedance analysis of 20% Ti-doped La0.7Sr0.3MnO3 perovskite. J. Magn. Magn. Mater. 2007, 316, 23–28. [Google Scholar] [CrossRef]
- Rahmouni, H.; Jemai, R.; Nouiri, M.; Kallel, N.; Rzigua, F.; Selmi, A.; Khirouni, K.; Alaya, S. Admittance spectroscopy and complex impedance analysis of Ti-modified La0.7Sr0.3MnO3. J. Cryst. Growth 2008, 310, 556–561. [Google Scholar] [CrossRef]
- Rahmouni, H.; Selmi, A.; Khirouni, K.; Kallel, N. Chromium effects on the transport properties in La0.7Sr0.3Mn1−xCrxO3. J. Alloys Compd. 2012, 533, 93–96. [Google Scholar] [CrossRef]
- Kumar, V.P.; Dayal, V.; Hadimani, R.L.; Bhowmik, R.N.; Jiles, D.C. Magnetic and electrical properties of Ti-substituted lanthanum bismuth manganites. J. Mater. Sci. 2015, 50, 3562–3575. [Google Scholar] [CrossRef]
- Khan, A.A.; Fayaz, M.U.; Khan, M.N.; Iqbal, M.; Majeed, A.; Bilkees, R.; Mukhtar, S.; Javed, M. Investigation of charge transport mechanism in semiconducting La0.5Ca0.5Mn0.5Fe0.5O3 manganite prepared by sol–gel method. J. Mater. Sci. Mater. Electron. 2018, 29, 13577–13587. [Google Scholar] [CrossRef]
- Sacanell, J.; Sánchez, J.H.; López, A.E.R.; Martinelli, H.; Siepe, J.; Leyva, A.G.; Ferrari, V.; Juan, D.; Pruneda, M.; Gómez, A.M.; et al. Oxygen Reduction Mechanisms in Nanostructured La0.8Sr0.2MnO3 Cathodes for Solid Oxide Fuel Cells. J. Phys. Chem. 2017, 121, 6533–6539. [Google Scholar] [CrossRef]
- Carthy, B.P.M.; Pederson, L.R.; Chou, Y.S.; Zhou, X.; Surdoval, W.A.; Wilson, L.C. Low-temperature sintering of lanthanum strontium manganite-based contact pastes for SOFCs. J. Power Sources 2008, 180, 294–300. [Google Scholar]
- Wu, J.; Yan, D.; Pu, J.; Chi, B.; Jian, L. The investigation of interaction between La0.9Sr0.1MnO3 cathode and metallic interconnect for solid oxide fuel cell at reduced temperature. J. Power Sources 2012, 202, 166–174. [Google Scholar] [CrossRef]
- Uskoković, V.; Košak, A.; Drofenik, M. Silica-coated lanthanum–strontium manganites for hyperthermia treatments. Mater. Lett. 2006, 60, 2620–2622. [Google Scholar] [CrossRef]
- Manh, D.H.; Phong, P.T.; Namb, P.H.; Tung, D.K.; Phuc, N.X.; Lee, I.J. Structural and magnetic study of La0.7Sr0.3MnO3 nanoparticles and AC magnetic heating characteristics for hyperthermia applications. Phys. B 2014, 444, 94–102. [Google Scholar] [CrossRef]
- Ju, J.; Lin, J.; Wang, Y.; Zhang, Y.; Xia, C. Electrical performance of nanostructured strontium-doped lanthanum manganite impregnated onto yttria-stabilized zirconia backbone. J. Power Sources 2016, 302, 298–307. [Google Scholar] [CrossRef]
- Qiu, J.; Jin, K.; Han, P.; Lu, H.; Hu, C.; Wang, B.; Yang, G. A theoretical study on the transport property of the La0.7Sr0.3MnO3/Si p-n heterojunction. Europhys. Lett. 2007, 79, 57004. [Google Scholar] [CrossRef][Green Version]
- Hu, C.-L.; Jin, K.-J.; Han, P.; Lu, H.-B.; Liao, L.; Yang, G.-Z. Theoretical study on the positive magnetoresistance in perovskite oxide p–n junctions. Solid State Commun. 2009, 149, 334–336. [Google Scholar] [CrossRef]
- Rahmouni, H.; Jemai, R.; Kallel, N.; Selmi, A.; Khirouni, K. Titanium effects on the transport properties in La0.7Sr0.3Mn1−xTixO3. J. Alloys Compd. 2010, 497, 1–5. [Google Scholar] [CrossRef]
- Venkataiah, G.; Prasad, V.; Reddy, P.V. Structure and electrical transport of some Cd-doped La0.67Sr0.33MnO3 manganites. Phys. Status Solidi 2006, 203, 2478–2487. [Google Scholar] [CrossRef]
- Choi, J.H.; Jang, J.H.; Ryu, J.H.; Oh, S.M. Microstructure and cathodic performance of La0.9Sr0.1MnO3 electrodes according to particle size of starting powder. J. Power Sources 2000, 87, 92–100. [Google Scholar] [CrossRef]
- Shinde, K.P.; Thorat, N.D.; Pawar, S.S.; Pawar, S.H. Combustion synthesis and characterization of perovskite La0.9Sr0.1MnO3. Mater. Chem. Phys. 2012, 134, 881–885. [Google Scholar] [CrossRef]
- Korolyov, A.V.; Arkhipov, V.Y.; Gaviko, V.S.; Mukovskii, Y.; Arsenov, A.A.; Lapina, T.P.; Bader, S.D.; Jiang, J.S.; Nizhankovskii, V.I. Magnetic properties and magnetic states in La0.9Sr0.1MnO3. J. Magn. Magn. Mater. 2000, 213, 63–74. [Google Scholar] [CrossRef]
- Arkhipov, V.E.; Gaviko, V.S.; Korolyov, A.V.; Naish, V.E.; Marchenkov, V.V.; Mukovskii, Y.M.; Karabashev, S.G.; Shulyatev, D.A.; Arsenov, A.A. Structural and magnetic phase transition in La0.9Sr0.lMnO3. J. Magn. Magn. Mater. 1999, 196, 539–540. [Google Scholar] [CrossRef]
- Shinde, K.P.; Pawar, S.S.; Pawar, S.H. Influence of annealing temperature on morphological and magnetic properties of La0.9Sr0.1MnO3. Appl. Surf. Sci. 2011, 257, 9996–9999. [Google Scholar] [CrossRef]
- Das, S.; Chowdhury, P.; Rao, T.K.G.; Das, D.; Bahadur, D. Influence of grain size and grain boundaries on the properties of La0.7Sr0.3CoxMn1−xO3. Solid State Commun. 2002, 121, 691–695. [Google Scholar] [CrossRef]
- Hizi, W.; Rahmouni, H.; Gassoumi, M.; Khirouni, K.; Dhahri, S. Transport properties of La0.9Sr0.1MnO3 manganite. Eur. Phys. J. Plus 2020, 135, 456. [Google Scholar] [CrossRef]
- Choudhary, Y.R.S.; Mangavati, S.; Patil, S.; Rao, A.; Nagaraja, B.S.; Thomas, R.; Kini, S.G. Effect of rare-earth substitution at La-site on structural, electrical and thermoelectric properties of La0.7−xRExSr0.3MnO3 compounds (x = 0, 0.2, 0.3; RE = Eu, Gd, Y). J. Magn. Magn. Mater. 2018, 451, 110–120. [Google Scholar] [CrossRef]
- Chen, G.J.; Chang, Y.H.; Hsu, H.W. The effect of microstructure and secondary phase on magnetic and electrical properties of La-deficient La1−xMnO3−δ (0 ≤ x ≤ 0.3) films. J. Magn. Magn. Mater. 2000, 219, 317–324. [Google Scholar] [CrossRef]
- Yousefi, S.; Trappen, R.; Mottaghi, N.; Bristow, A.D.; Holcomb, M.B. Oxygen vacancy effect on ultra-fast carrier dynamics of perovskite oxide La0.7Sr0.3MnO3 thin films, Ultrafast Phenomena and Nanophotonics XXIV. Int. Soc. Opt. Photonics 2020, 11278, 112780. [Google Scholar]
- Dhahri, R.; Bejar, M.; Hajlaoui, M.; Sdiri, N.; Valente, M.A.; Dhahri, E. Structural properties and electrical behaviour in the polycrystalline lanthanum-deficiency La1−x□xMnO3 manganites. J. Magn. Magn. Mater. 2009, 321, 1735–1738. [Google Scholar] [CrossRef]
- Ji, D.H.; Tang, G.D.; Li, Z.Z.; Han, Q.J.; Hou, X.; Bian, R.R.; Liu, S.R. Investigation on the maximum content of vacancy at the B sites in La0.75Sr0.25Mn1−xO3 perovskite manganites. J. Appl. Phys. 2012, 111, 113902. [Google Scholar] [CrossRef]
- Abdelmoula, N.; Guidara, K.; Cheikh-Rouhou, A.; Dhahri, E. Effects of the Oxygen Nonstoichiometry on the Physical Properties of La0.7Sr0.3MnO3−δ□δ Manganites (0 ≤ δ ≤ 0.15). J. Solid State Chem. 2000, 151, 139–144. [Google Scholar] [CrossRef]
- Malavasi, L.; Mozzati, M.C.; Azzoni, C.B.; Chiodelli, G.; Flor, G. Role of oxygen content on the transport and magnetic properties of La1−xCaxMnO3+δ manganites. Solid State Commun. 2002, 123, 321–326. [Google Scholar] [CrossRef]
- Li, Y.; Zhang, H.; Liu, X.; Chen, Q.; Chen, Q. Electrical and magnetic properties of La1−xSrxMnO3 (0.1 ≤ x ≤ 0.25) ceramics prepared by sol–gel technique. Ceram. Int. 2019, 45, 16323–16330. [Google Scholar] [CrossRef]
- Anane, A.; Dupas, C.; le Dang, K.; Renard, J.P.; Veillet, P.; Guevara, A.M.d.; Millot, F.; Pinsardi, L.; Revcolevschi, A. Transport properties and magnetic behaviour of Lal-xSrxMnO3 single crystals. J. Phys. Condens. Matter 1995, 7, 7015–7021. [Google Scholar] [CrossRef]
- Baaziz, H.; Maaloul, N.K.; Tozri, A.; Rahmouni, H.; Mizouri, S.; Khirouni, K.; Dhahri, E. Effect of sintering temperature and grain size on the electrical transport properties of La0.67Sr0.33MnO3 manganite. Chem. Phys. Lett. 2015, 640, 77–81. [Google Scholar] [CrossRef]
- Mleiki, A.; Khlifi, A.; Rahmouni, H.; Guermazi, N.; Khirouni, K.; Hlil, E.K.; Cheikhrouhou, A. Magnetic and dielectric properties of Ba-lacunar La0.5Eu0.2Ba0.3MnO3 manganites synthesized using sol-gel method under different sintering temperatures. J. Magn. Magn. Mater. 2020, 502, 166571. [Google Scholar] [CrossRef]
- Venkataiah, G.; Krishna, D.C.; Vithal, M.; Rao, S.S.; Bhat, S.V.; Prasad, V.; Subramanyam, S.V.; Reddy, P.V. Effect of sintering temperature on electrical transport properties of La0.67Ca0.33MnO3. Phys. B 2005, 357, 370–379. [Google Scholar] [CrossRef]
- Venkataiah, G.; Lakshmi, Y.K.; Reddy, P.V. Influence of sintering temperature on resistivity, magnetoresistance and thermopower of La0.67Ca0.33MnO3. PMC Phys. B 2008, 1, 7. [Google Scholar] [CrossRef]
- Pan, K.Y.; Halim, S.A.; Lim, K.P.; Daud, W.M.; Chen, S.K. Effect of Sintering Temperature on Microstructure, Electrical and Magnetic Properties of La0.85K0.15MnO3 Prepared by Sol-Gel Method. J. Supercond. Nov. Magn. 2012, 25, 1177–1183. [Google Scholar] [CrossRef]
- Lakshmi, Y.K.; Reddy, P.V. Influence of sintering temperature and oxygen stoichiometry on electrical transport properties of La0.67Na0.33MnO3 manganite. J. Alloys Compd. 2009, 470, 67–74. [Google Scholar] [CrossRef]
- Shannigrahi, S.R.; Tan, S.Y. Effects of processing parameters on the properties of lanthanum manganite. Mater. Chem. Phys. 2011, 129, 15–18. [Google Scholar] [CrossRef]
- Li, N.; Mahapatra, M.K.; Singh, P. Sintering of porous strontium doped lanthanum manganite-yttria stabilized zirconia composite in controlled oxygen atmosphere at 1400 °C. J. Power Sources 2013, 221, 57–63. [Google Scholar] [CrossRef]
- Othmani, S.; Bejar, M.; Dhahri, E.; Hlil, E.K. The effect of the annealing temperature on the structural and magnetic properties of the manganites compounds. J. Alloys Compd. 2009, 475, 46–50. [Google Scholar] [CrossRef]
- Li, C.-X.; Yang, B.; Zhang, S.-T.; Zhang, R.; Cao, W.W. Effects of sintering temperature and poling conditions on the electrical properties of Ba0.70Ca0.30TiO3 diphasic piezoelectric ceramics. Ceram. Int. 2013, 39, 2967–2973. [Google Scholar] [CrossRef]
- Worledge, D.C.; Snyder, G.J.; Beasley, M.R.; Geballe, T.H.; Hiskes, R.; DiCarolis, S. Anneal-tunable Curie temperature and transport of La0.67Ca0.33MnO3. J. Appl. Phys. 1996, 80, 5158–5161. [Google Scholar] [CrossRef]
- Dey, P.; Nath, T.K. Effect of grain size modulation on the magneto- and electronic-transport properties of La0.7Ca0.3MnO3 nanoparticles: The role of spin-polarized tunneling at the enhanced grain surface. Phys. Rev. B 2006, 73, 214425. [Google Scholar] [CrossRef]
- Paredes-Navia, S.A.; Liang, L.; Romo-De-La-Cruz, C.O.; Gemmen, E.; Fernandes, A.; Prucz, J.; Chen, Y.; Song, X. Electrical conductivity increase by order of magnitude through controlling sintering to tune hierarchical structure of oxide ceramics. J. Solid State Chem. 2021, 294, 121831. [Google Scholar] [CrossRef]
- Baaziz, H.; Tozri, A.; Dhahri, E.; Hlil, E.K. Size-induced Griffiths phase-like in ferromagnetic metallic La0.67Sr0.33MnO3 nanoparticles. J. Magn. Magn. Mater. 2016, 403, 181–187. [Google Scholar] [CrossRef]
- Baaziz, H.; Tozri, A.; Dhahri, E.; Hlil, E.K. Influence of grain size and sintering temperature grain size on the critical behavior near the paramagnetic to ferromagnetic phase transition temperature in La0.67Sr0.33MnO3 nanoparticles. J. Magn. Magn. Mater. 2018, 449, 207–213. [Google Scholar] [CrossRef]
- Baaziz, H.; Tozri, A.; Dhahri, E.; Hlil, E.K. Magnetocaloric properties of La0.67Sr0.33MnO3 tunable by particle size and dimensionality. Chem. Phys. Lett. 2018, 691, 355–359. [Google Scholar] [CrossRef]
- Baaziz, H.; Tozri, A.; Dhahri, E.; Hlil, E.K. Effect of particle size reduction on the structural, magnetic properties and the spin excitations in ferromagnetic insulator La0.9Sr0.1MnO3 nanoparticles. Ceram. Int. 2015, 41, 2955–2962. [Google Scholar] [CrossRef]
- Baaziz, H.; Tozri, A.; Dhahri, E.; Hlil, E.K. Size reduction effect on the critical behavior near the paramagnetic to ferromagnetic phase transition temperature in La0.9Sr0.1MnO3 nanoparticles. Solid State Commun. 2015, 208, 45–52. [Google Scholar] [CrossRef]
- Baaziz, H.; Tozri, A.; Dhahri, E.; Hlil, E.K. Effect of particle size reduction on the magnetic phase transition and the magnetocaloric properties in ferromagnetic insulator La0.9Sr0.1MnO3 nanoparticles. Chem. Phys. Lett. 2015, 625, 168–173. [Google Scholar] [CrossRef]
- Moualhi, Y.; Rahmouni, H.; Khirouni, K. Usefulness of theoretical approaches and experiential conductivity measurements for understanding manganite-transport mechanisms. Results Phys. 2020, 19, 103570. [Google Scholar] [CrossRef]
- Moualhi, Y.; Rahmouni, H.; Gassoumi, M.; Khirouni, K. Summerfield scaling model and conduction processes defining the transport properties of silver substituted half doped (La–Ca) MnO3 ceramic. Ceram. Int. 2020, 46, 24710–24717. [Google Scholar] [CrossRef]
- Banerjee, A.; Pal, S.; Bhattecharya, S.; Chaudhuri, B.K.; Yang, H.D. Particle size and magnetic field dependent resistivity and thermoelectric power of La0.5Pb0.5MnO3 above and below metal–insulator transition. J. Appl. Phys. 2002, 91, 5125–5134. [Google Scholar] [CrossRef]
- Venkataiah, G.; Lakshmi, Y.K.; Prasad, V.; Reddy, P.V. Influence of Particle Size on Electrical Transport Properties of La0.67Sr0.33MnO3 Manganite System. J. Nanosci. Nanotechnol. 2007, 7, 2000–2004. [Google Scholar] [CrossRef] [PubMed]
- Huang, Y.-H.; Yan, C.-H.; Wang, Z.-M.; Liao, C.-S.; Xu, G.-X. Variation of structural, magnetic and transport properties in RE0.7Sr0.3MnO3 granular perovskites. Solid State Commun. 2001, 118, 541–546. [Google Scholar] [CrossRef]
- Venkataiah, G.; Huang, J.C.A.; Reddy, P.V. Low temperature resistivity minimum and its correlation with magnetoresistance in La0.67Ba0.33MnO3 nanomanganites. J. Magn. Magn. Mater. 2010, 322, 417–423. [Google Scholar] [CrossRef]
- Mleiki, A.; Hanen, R.; Rahmouni, H.; Guermazi, N.; Khirouni, K.; Hli, E.K.; Cheikhrouhou, A. Study of magnetic and electrical properties of Pr0.65Ca0.25Ba0.1MnO3 manganite. RSC Adv. 2018, 8, 31755–31763. [Google Scholar] [CrossRef]
- Hanen, R.; Mleiki, A.; Rahmouni, H.; Guermazi, N.; Khirouni, K.; Hlil, E.K.; Cheikhrouhou, A. Effect of the nature of the dopant element on the physical properties of X-PrCaMnO system (X = Cd, Sr, and Pb). J. Magn. Magn. Mater. 2020, 508, 166810. [Google Scholar] [CrossRef]
- Hayat, K.; Nadeem, M.; Iqbal, M.J.; Rafiq, M.A.; Hasan, M.M. Analysis of electro-active regions and conductivity of BaMnO3 ceramic by impedance spectroscopy. Appl. Phys. A 2014, 115, 1281–1289. [Google Scholar] [CrossRef]
- Li, M.; Sinclair, D.C. The extrinsic origins of high permittivity and its temperature and frequency dependence in Y0.5Ca0.5MnO3 and La1.5Sr0.5NiO4 ceramics. J. Appl. Phys. 2012, 111, 054106. [Google Scholar] [CrossRef]
- Moualhi, Y.; Nofal, M.M.; M’nassri, R.; Rahmouni, H.; Selmi, A.; Gassoumi, M.; Khirouni, K.; Cheikrouhou, A. Double Jonscher response and contribution of multiple mechanisms in electrical conductivity processes of Fe-PrCaMnO ceramic. Ceram. Int. 2020, 46, 1601–1608. [Google Scholar] [CrossRef]
- Moualhi, Y.; M’nassri, R.; Nofal, M.M.; Rahmouni, H.; Selmi, A.; Gassoumi, M.; Chniba-Boudjada, N.; Khirouni, K.; Cheikhrouhou, A. Magnetic properties and impedance spectroscopic analysis in Pr0.7Ca0.3Mn0.95Fe0.05O3 perovskite ceramic. J. Mater. Sci. Mater. Electron. 2020, 31, 21046–21058. [Google Scholar] [CrossRef]
- Lahouli, R.; Massoudi, J.; Smari, M.; Rahmouni, H.; Khirouni, K.; Dhahri, E.; Bessais, L. Investigation of annealing effects on the physical properties of Ni0.6Zn0.4Fe1.5Al0.5O4 ferrite. RSC Adv. 2019, 9, 19949–19964. [Google Scholar] [CrossRef]








| TS (°C) | 600 | 800 | 1000 |
|---|---|---|---|
| a(Å) | 5.50(3) | 5.51(1) | 5.51(8) |
| c(Å) | 13.35(0) | 13.34(6) | 13.34(7) |
| v(Å3) | 350.14(7) | 351.11(4) | 351.92(8) |
| d(XRD) (nm) | 45 | 75 | 85 |
| d(TEM) (nm) | 43 | 72 | 84 |
| TS (°C) | 600 | 800 | 1000 | ||||||
|---|---|---|---|---|---|---|---|---|---|
| Resistance (Ω) | |||||||||
| T (K) | Rg | Rgb | Re | Rg | Rgb | Re | Rg | Rgb | Re |
| 80 | 63 | 2390 | 272 | 68 | 248 | 35 | 4 | 1551 | 150 |
| 120 | 80 | 3065 | 473 | 85 | 370 | 49 | 22 | 1800 | 300 |
| 170 | 80 | 3150 | 570 | 120 | 617 | 77 | 29 | 3450 | 460 |
| 180 | 125 | 300 | 2120 | 121 | 633 | 77 | 29 | 3587 | 470 |
| 200 | 105 | 215 | 1455 | 110 | 582 | 63 | 27 | 3415 | 400 |
| 210 | 88 | 180 | 1268 | 108 | 592 | 66 | 22 | 4057 | 505 |
| 220 | 74 | 150 | 964 | 95 | 550 | 63 | 23 | 3985 | 489 |
| 230 | 65 | 120 | 780 | 90 | 492 | 56 | 21 | 3685 | 480 |
| 240 | 63 | 102 | 616 | 79 | 412 | 43 | 23 | 3000 | 160 |
| 280 | 37 | 45 | 257 | 52 | 214 | 22 | 13 | 1717 | 151 |
| 300 | 29 | 30 | 180 | 50 | 148 | 19 | 13 | 1390 | 130 |
| 340 | 65 | 207 | 16 | 19 | 87 | 11 | 12 | 697 | 84 |
| 380 | 70 | 122 | 6 | 19 | 61 | 6 | 13 | 590 | 55 |
| 400 | 70 | 123 | 4 | 17 | 65 | 5 | 14 | 568 | 22 |
Publisher’s Note: MDPI stays neutral with regard to jurisdictional claims in published maps and institutional affiliations. |
© 2022 by the authors. Licensee MDPI, Basel, Switzerland. This article is an open access article distributed under the terms and conditions of the Creative Commons Attribution (CC BY) license (https://creativecommons.org/licenses/by/4.0/).
Share and Cite
Hizi, W.; Rahmouni, H.; Gorji, N.E.; Guesmi, A.; Ben Hamadi, N.; Khezami, L.; Dhahri, E.; Khirouni, K.; Gassoumi, M. Impact of Sintering Temperature on the Electrical Properties of La0.9Sr0.1MnO3 Manganite. Catalysts 2022, 12, 340. https://doi.org/10.3390/catal12030340
Hizi W, Rahmouni H, Gorji NE, Guesmi A, Ben Hamadi N, Khezami L, Dhahri E, Khirouni K, Gassoumi M. Impact of Sintering Temperature on the Electrical Properties of La0.9Sr0.1MnO3 Manganite. Catalysts. 2022; 12(3):340. https://doi.org/10.3390/catal12030340
Chicago/Turabian StyleHizi, Wided, Hedi Rahmouni, Nima E. Gorji, Ahlem Guesmi, Naoufel Ben Hamadi, Lotfi Khezami, Essebti Dhahri, Kamel Khirouni, and Malek Gassoumi. 2022. "Impact of Sintering Temperature on the Electrical Properties of La0.9Sr0.1MnO3 Manganite" Catalysts 12, no. 3: 340. https://doi.org/10.3390/catal12030340
APA StyleHizi, W., Rahmouni, H., Gorji, N. E., Guesmi, A., Ben Hamadi, N., Khezami, L., Dhahri, E., Khirouni, K., & Gassoumi, M. (2022). Impact of Sintering Temperature on the Electrical Properties of La0.9Sr0.1MnO3 Manganite. Catalysts, 12(3), 340. https://doi.org/10.3390/catal12030340

