N Doped Activated Biochar from Pyrolyzing Wood Powder for Prompt BPA Removal via Peroxymonosulfate Activation
Abstract
1. Introduction
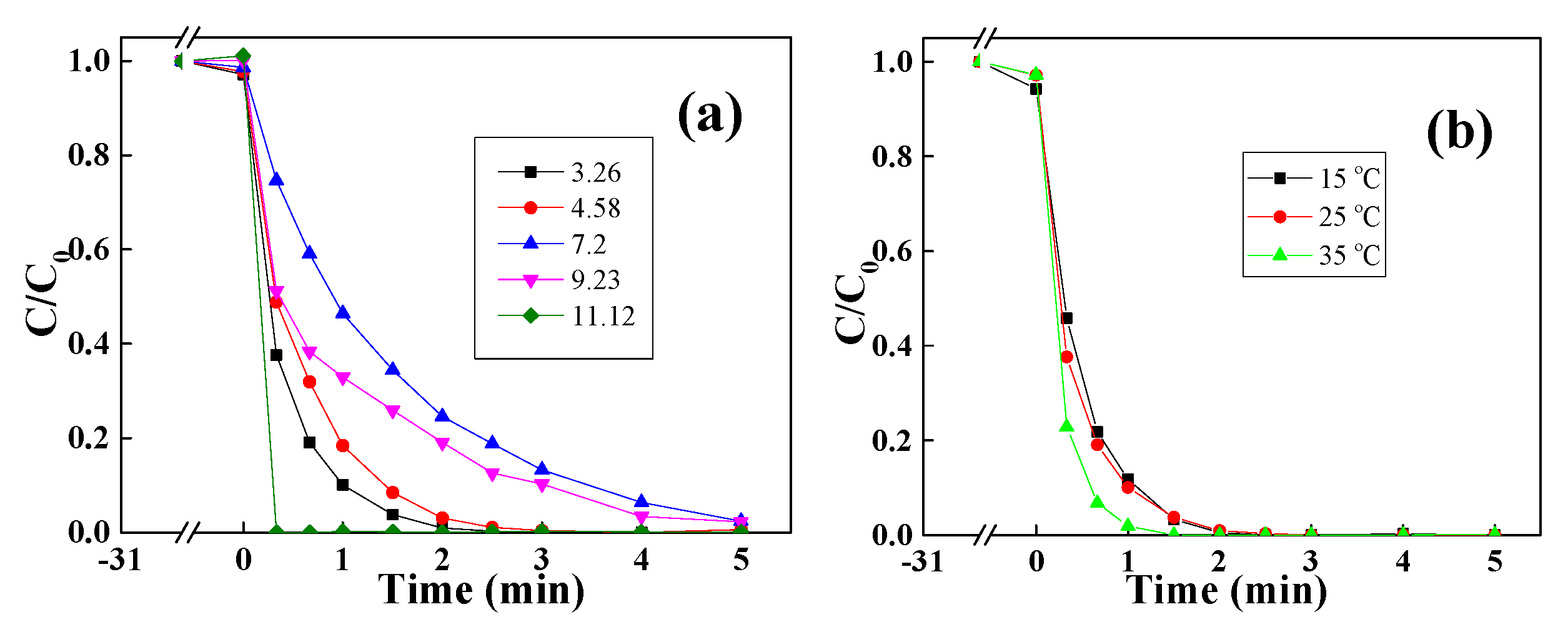
2. Results and Discussion
3. Experimental
3.1. Reagents and Chemicals
3.2. Preparation of the Catalysts
3.3. Characterizations
3.4. Degradation Process
4. Conclusions
Author Contributions
Funding
Data Availability Statement
Acknowledgments
Conflicts of Interest
References
- Shi, J.; Dai, B.; Fang, X.; Xu, L.; Wu, Y.; Lu, H.; Cui, J.; Han, S.; Gan, L. Waste preserved wood derived biochar catalyst for promoted peroxymonosulfate activation towards bisphenol A degradation with low metal ion release: The insight into the mechanisms. Sci. Total Environ. 2022, 813, 152673. [Google Scholar] [CrossRef] [PubMed]
- Lv, Y.; Zong, L.; Liu, Z.; Du, J.; Wang, F.; Zhang, Y.; Ling, C.; Liu, F. Sequential separation of Cu(II)/Ni(II)/Fe(II) from strong-acidic pickling wastewater with a two-stage process based on a bi-pyridine chelating resin. Chin. Chem. Lett. 2021, 32, 2792–2796. [Google Scholar] [CrossRef]
- Sethi, Y.A.; Panmand, R.P.; Ambalkar, A.; Kulkarni, A.K.; Patil, D.R.; Gunjal, A.R.; Gosavi, S.W.; Kulkarni, M.V.; Kale, B.B. In situ preparation of CdS decorated ZnWO4 nanorods as a photocatalyst for direct conversion of sunlight into fuel and RhB degradation. Sustain. Energy Fuels 2019, 3, 793–800. [Google Scholar] [CrossRef]
- Pan, Y.; Bu, Z.; Sang, C.; Guo, H.; Zhou, M.; Zhang, Y.; Tian, Y.; Cai, J.; Wang, W. EDTA enhanced pre-magnetized Fe0/H2O2 process for removing sulfamethazine at neutral pH. Sep. Purif. Technol. 2020, 250, 117281. [Google Scholar] [CrossRef]
- Lu, H.; Gan, L. Catalytic Degradation of Bisphenol A in Water by Poplar Wood Powder Waste Derived Biochar via Peroxymonosulfate Activation. Catalysts 2022, 12, 1164. [Google Scholar] [CrossRef]
- Zhao, Z.; Zhang, X.; Lin, Q.; Zhu, N.; Gui, C.; Yong, Q. Development and investigation of a two-component adhesive composed of soybean flour and sugar solution for plywood manufacturing. Wood Mater. Sci. Eng. 2022, 1–9. [Google Scholar] [CrossRef]
- Zuo, S.; Zhang, W.; Wang, Y.; Xia, H. Low-Cost Preparation of High-Surface-Area Nitrogen-Containing Activated Carbons from Biomass-Based Chars by Ammonia Activation. Ind. Eng. Chem. Res. 2020, 59, 7527–7537. [Google Scholar] [CrossRef]
- Bhatia, S.K.; Gurav, R.; Choi, T.-R.; Kim, H.J.; Yang, S.-Y.; Song, H.-S.; Park, J.Y.; Park, Y.-L.; Han, Y.-H.; Choi, Y.-K.; et al. Conversion of waste cooking oil into biodiesel using heterogenous catalyst derived from cork biochar. Bioresour. Technol. 2020, 302, 122872. [Google Scholar] [CrossRef]
- You, Y.; Zhao, Z.; Song, Y.; Li, J.; Li, J.; Cheng, X. Synthesis of magnetized nitrogen-doped biochar and its high efficiency for elimination of ciprofloxacin hydrochloride by activation of peroxymonosulfate. Sep. Purif. Technol. 2020, 258, 117977. [Google Scholar] [CrossRef]
- Baştürk, E.; Alver, A. Modeling azo dye removal by sono-fenton processes using response surface methodology and artificial neural network approaches. J. Environ. Manag. 2019, 248, 109300. [Google Scholar] [CrossRef]
- Ye, S.; Zeng, G.; Tan, X.; Wu, H.; Liang, J.; Song, B.; Tang, N.; Zhang, P.; Yang, Y.; Chen, Q.; et al. Nitrogen-doped biochar fiber with graphitization from Boehmeria nivea for promoted peroxymonosulfate activation and non-radical degradation pathways with enhancing electron transfer. Appl. Catal. B Environ. 2020, 269, 118850. [Google Scholar] [CrossRef]
- Huang, B.-C.; Jiang, J.; Huang, G.-X.; Yu, H.-Q. Sludge biochar-based catalysts for improved pollutant degradation by activating peroxymonosulfate. J. Mater. Chem. A 2018, 6, 8978–8985. [Google Scholar] [CrossRef]
- Liu, X.; Zuo, S.; Cui, N.; Wang, S. Investigation of ammonia/steam activation for the scalable production of high-surface area nitrogen-containing activated carbons. Carbon 2022, 191, 581–592. [Google Scholar] [CrossRef]
- Gao, H.; Zuo, S.; Wang, S.; Xu, F.; Yang, M.; Hu, X. Graphitic crystallite nanomaterials enable the simple and ultrafast synthesis of resorcinol-formaldehyde carbon aerogel monoliths. Carbon 2022, 194, 220–229. [Google Scholar] [CrossRef]
- Gan, L.; Zhong, Q.; Geng, A.; Wang, L.; Song, C.; Han, S.; Cui, J.; Xu, L. Cellulose derived carbon nanofiber: A promising biochar support to enhance the catalytic performance of CoFe2O4 in activating peroxymonosulfate for recycled dimethyl phthalate degradation. Sci. Total Environ. 2019, 694, 133705. [Google Scholar] [CrossRef]
- Geng, A.; Meng, L.; Han, J.; Zhong, Q.; Li, M.; Han, S.; Mei, C.; Xu, L.; Tan, L.; Gan, L. Highly efficient visible-light photocatalyst based on cellulose derived carbon nanofiber/BiOBr composites. Cellulose 2018, 25, 4133–4144. [Google Scholar] [CrossRef]
- Yu, Y.; Liu, Y.; Wu, X.; Weng, Z.; Hou, Y.; Wu, L. Enhanced visible light photocatalytic degradation of metoprolol by Ag–Bi2WO6–graphene composite. Sep. Purif. Technol. 2015, 142, 1–7. [Google Scholar] [CrossRef]
- Jia, H.; Zhao, S.; Zhu, K.; Huang, D.; Wu, L.; Guo, X. Activate persulfate for catalytic degradation of adsorbed anthracene on coking residues: Role of persistent free radicals. Chem. Eng. J. 2018, 351, 631–640. [Google Scholar] [CrossRef]
- Hu, W.; Tong, W.; Li, Y.; Xie, Y.; Chen, Y.; Wen, Z.; Feng, S.; Wang, X.; Li, P.; Wang, Y.; et al. Hydrothermal route-enabled synthesis of sludge-derived carbon with oxygen functional groups for bisphenol A degradation through activation of peroxymonosulfate. J. Hazard. Mater. 2019, 388, 121801. [Google Scholar] [CrossRef]
- Cheng, X.; Guo, H.; Zhang, Y.; Wu, X.; Liu, Y. Non-photochemical production of singlet oxygen via activation of persulfate by carbon nanotubes. Water Res. 2017, 113, 80–88. [Google Scholar] [CrossRef]
- Hou, P.; Xing, G.; Tian, L.; Zhang, G.; Wang, H.; Yu, C.; Li, Y.; Wu, Z. Hollow carbon spheres/graphene hybrid aerogels as high-performance adsorbents for organic pollution. Sep. Purif. Technol. 2018, 213, 524–532. [Google Scholar] [CrossRef]
- Liang, J.; Xu, X.; Zaman, W.Q.; Hu, X.; Zhao, L.; Qiu, H.; Cao, X. Different mechanisms between biochar and activated carbon for the persulfate catalytic degradation of sulfamethoxazole: Roles of radicals in solution or solid phase. Chem. Eng. J. 2019, 375, 121908. [Google Scholar] [CrossRef]
- Pereira, A.T.; Henriques, P.C.; Costa, P.C.; Martins, M.C.L.; Magalhães, F.D.; Gonçalves, I.C. Graphene oxide-reinforced poly(2-hydroxyethyl methacrylate) hydrogels with extreme stiffness and high-strength. Compos. Sci. Technol. 2019, 184, 107819. [Google Scholar] [CrossRef]
- Pan, Y.; Wang, Q.; Zhou, M.; Cai, J.; Tian, Y.; Zhang, Y. Kinetic and mechanism study of UV/pre-magnetized-Fe0/oxalate for removing sulfamethazine. J. Hazard. Mater. 2020, 398, 122931. [Google Scholar] [CrossRef] [PubMed]
- He, J.; Zhou, Q.; Chen, S.; Tian, M.; Zhang, C.; Sun, W. Interfacial microstructures and adsorption mechanisms of benzohydroxamic acid on Pb2+-activated cassiterite (110) surface. Appl. Surf. Sci. 2020, 541, 148506. [Google Scholar] [CrossRef]
- Liu, C.; Liu, L.; Tian, X.; Wang, Y.; Li, R.; Zhang, Y.; Song, Z.; Xu, B.; Chu, W.; Qi, F.; et al. Coupling metal–organic frameworks and g-C3N4 to derive Fe@N-doped graphene-like carbon for peroxymonosulfate activation: Upgrading framework stability and performance. Appl. Catal. B-Environ. 2019, 255, 117763. [Google Scholar] [CrossRef]
- Wang, J.; Wang, S. Preparation, modification and environmental application of biochar: A review. J. Clean. Prod. 2019, 227, 1002–1022. [Google Scholar] [CrossRef]
- Tao, W.; Duan, W.; Liu, C.; Zhu, D.; Si, X.; Zhu, R.; Oleszczuk, P.; Pan, B. Formation of persistent free radicals in biochar derived from rice straw based on a detailed analysis of pyrolysis kinetics. Sci. Total Environ. 2020, 715, 136575. [Google Scholar] [CrossRef]
- Wu, J.; Grant, P.; Li, X.; Noble, A.; Aggarwal, V.K. Catalyst-Free Deaminative Functionalizations of Primary Amines by Photoinduced Single-Electron Transfer. Angew. Chem. Int. Ed. 2019, 58, 5697–5701. [Google Scholar] [CrossRef]
- Duan, X.; Sun, H.; Wang, S. Metal-Free Carbocatalysis in Advanced Oxidation Reactions. Acc. Chem. Res. 2018, 51, 678–687. [Google Scholar] [CrossRef]
- Liu, J.; Huang, S.; Chen, K.; Wang, T.; Mei, M.; Li, J. Preparation of biochar from food waste digestate: Pyrolysis behavior and product properties. Bioresour. Technol. 2020, 302, 122841. [Google Scholar] [CrossRef]
- Han, R.; Fang, Y.; Sun, P.; Xie, K.; Zhai, Z.; Liu, H.; Liu, H. N-Doped Biochar as a New Metal-Free Activator of Peroxymonosulfate for Singlet Oxygen-Dominated Catalytic Degradation of Acid Orange 7. Nanomaterials 2021, 11, 2288. [Google Scholar] [CrossRef]
- Hu, Y.; Chen, D.; Zhang, R.; Ding, Y.; Ren, Z.; Fu, M.; Cao, X.; Zeng, G. Singlet oxygen-dominated activation of peroxymonosulfate by passion fruit shell derived biochar for catalytic degradation of tetracycline through a non-radical oxidation pathway. J. Hazard. Mater. 2021, 419, 126495. [Google Scholar] [CrossRef]
- Lata, H.; Garg, V.; Gupta, R. Adsorptive removal of basic dye by chemically activated Parthenium biomass: Equilibrium and kinetic modeling. Desalination 2008, 219, 250–261. [Google Scholar] [CrossRef]









| Element | Weight% | Atomic% |
|---|---|---|
| C K | 50.52 | 56.40 |
| N K | 17.98 | 17.21 |
| O K | 31.50 | 26.39 |
| Totals | 100.00 | |
| C1s | N1s, % | |||||||
|---|---|---|---|---|---|---|---|---|
| C=C/C-C | C-O | C=O | –COOH | Pyridinic N | Pyroolic N | Graphitic N | –NOx | |
| N-PPB450 | 33.2% | 32.0% | 23.7% | 11.1% | 47.9% | 22.8% | 20.2% | 9.1% |
| N-PPB600 | 30.7% | 34.2% | 26.8% | 8.3% | 46.6% | 17.2% | 21.4% | 14.8% |
| N-PPB750 | 27.2% | 34.5% | 28.1% | 10.2% | 45.1% | 16.8% | 22.6% | 15.5% |
| N-PPB900 | 31.7% | 33.4% | 26.4% | 8.5% | 31.0% | 17.6% | 27.5% | 23.9% |
| Sample | Specific Surface Area (m2·g−1) | Pore Volume (cm3 g−1) |
|---|---|---|
| N-PPB600 | 141 | 0.203 |
| AN-PPB600 | 855 | 1.683 |
Publisher’s Note: MDPI stays neutral with regard to jurisdictional claims in published maps and institutional affiliations. |
© 2022 by the authors. Licensee MDPI, Basel, Switzerland. This article is an open access article distributed under the terms and conditions of the Creative Commons Attribution (CC BY) license (https://creativecommons.org/licenses/by/4.0/).
Share and Cite
Lu, H.; Xu, G.; Gan, L. N Doped Activated Biochar from Pyrolyzing Wood Powder for Prompt BPA Removal via Peroxymonosulfate Activation. Catalysts 2022, 12, 1449. https://doi.org/10.3390/catal12111449
Lu H, Xu G, Gan L. N Doped Activated Biochar from Pyrolyzing Wood Powder for Prompt BPA Removal via Peroxymonosulfate Activation. Catalysts. 2022; 12(11):1449. https://doi.org/10.3390/catal12111449
Chicago/Turabian StyleLu, Haiqin, Guilu Xu, and Lu Gan. 2022. "N Doped Activated Biochar from Pyrolyzing Wood Powder for Prompt BPA Removal via Peroxymonosulfate Activation" Catalysts 12, no. 11: 1449. https://doi.org/10.3390/catal12111449
APA StyleLu, H., Xu, G., & Gan, L. (2022). N Doped Activated Biochar from Pyrolyzing Wood Powder for Prompt BPA Removal via Peroxymonosulfate Activation. Catalysts, 12(11), 1449. https://doi.org/10.3390/catal12111449
