CuZr Metal Glass Powder as Electrocatalysts for Hydrogen and Oxygen Evolution Reactions
Abstract
:1. Introduction
2. Results and Discussion
2.1. Material Characterization
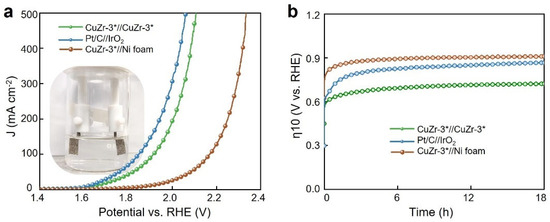
2.2. HER/OER Performance and Water Splitting Reaction
3. Experimental Section
3.1. Materials Preparation and Dealloying Treatment
3.2. Material Characterization
3.3. Electrochemical Measurement
4. Conclusions
Author Contributions
Funding
Data Availability Statement
Conflicts of Interest
References
- Li, Z.; Feng, H.; Song, M.; He, C.; Zhuang, W.; Tian, L. Advances in CoP electrocatalysts for water splitting. Mater. Today Energy 2021, 20, 100698. [Google Scholar] [CrossRef]
- Najam, T.; Shah, S.S.A.; Ibraheem, S.; Cai, X.; Hussain, E.; Suleman, S.; Javed, M.S.; Tsiakaras, P. Single-atom catalysis for zinc-air/O2 batteries, water electrolyzers and fuel cells applications. Energy Stor. Mater. 2022, 45, 504–540. [Google Scholar] [CrossRef]
- Wang, Y.; Liu, B.; Shen, X.; Arandiyan, H.; Zhao, T.; Li, Y.; Garbrecht, M.; Su, Z.; Han, L.; Tricoli, A.; et al. Engineering the Activity and Stability of MOF-Nanocomposites for Efficient Water Oxidation. Adv. Energy Mater. 2021, 11, 2003759. [Google Scholar] [CrossRef]
- Lin, Z.; Liu, S.; Liu, Y.; Liu, Z.; Zhang, S.; Zhang, X.; Tian, Y.; Tang, Z. Rational design of Ru aerogel and RuCo aerogels with abundant oxygen vacancies for hydrogen evolution reaction, oxygen evolution reaction, and overall water splitting. J. Power Sources 2021, 514, 230600. [Google Scholar] [CrossRef]
- Nguyen, D.C.; Luyen Doan, T.L.; Prabhakaran, S.; Tran, D.T.; Kim, D.H.; Lee, J.H.; Kim, N.H. Hierarchical Co and Nb dual-doped MoS2 nanosheets shelled micro-TiO2 hollow spheres as effective multifunctional electrocatalysts for HER, OER, and ORR. Nano Energy 2021, 82, 105750. [Google Scholar] [CrossRef]
- Vij, V.; Sultan, S.; Harzandi, A.M.; Meena, A.; Tiwari, J.N.; Lee, W.-G.; Yoon, T.; Kim, K.S. Nickel-Based Electrocatalysts for Energy-Related Applications: Oxygen Reduction, Oxygen Evolution, and Hydrogen Evolution Reactions. ACS Catal. 2017, 7, 7196–7225. [Google Scholar] [CrossRef]
- Gao, J.; Yang, L.; Wang, D.; Cao, D. Hollow Nanotube Ru/Cu2+1O Supported on Copper Foam as a Bifunctional Catalyst for Overall Water Splitting. Chem. Eur. J. 2020, 26, 4112–4119. [Google Scholar] [CrossRef]
- Cui, S.; Li, M.; Bo, X. Co/Mo2C composites for efficient hydrogen and oxygen evolution reaction. Int. J. Hydrog. Energy 2020, 45, 21221–21231. [Google Scholar] [CrossRef]
- Zhu, Y.; Zhou, W.; Zhong, Y.; Bu, Y.; Chen, X.; Zhong, Q.; Liu, M.; Shao, Z. A Perovskite Nanorod as Bifunctional Electrocatalyst for Overall Water Splitting. Adv. Energy Mater. 2017, 7, 1602122. [Google Scholar] [CrossRef]
- Najam, T.; Ibraheem, S.; Nazir, M.A.; Shaheen, A.; Waseem, A.; Javed, M.S.; Shah, S.S.A.; Cai, X. Partially oxidized cobalt species in nitrogen-doped carbon nanotubes: Enhanced catalytic performance to water-splitting. Int. J. Hydrog. Energy 2021, 46, 8864–8870. [Google Scholar] [CrossRef]
- Li, X.; Cai, W.; Li, D.-S.; Xu, J.; Tao, H.; Liu, B. Amorphous alloys for electrocatalysis: The significant role of the amorphous alloy structure. Nano Res. 2021, 1–12. [Google Scholar] [CrossRef]
- Jiang, R.; Da, Y.; Chen, Z.; Cui, X.; Han, X.; Ke, H.; Liu, Y.; Chen, Y.; Deng, Y.; Hu, W. Progress and Perspective of Metallic Glasses for Energy Conversion and Storage. Adv. Energy Mater. 2022, 12, 2101092. [Google Scholar] [CrossRef]
- Carmo, M.; Sekol, R.C.; Ding, S.; Kumar, G.; Schroers, J.; Taylor, A.D. Bulk Metallic Glass Nanowire Architecture for Electrochemical Applications. ACS Nano 2011, 5, 2979–2983. [Google Scholar] [CrossRef] [PubMed]
- Wang, Z.-J.; Li, M.-X.; Yu, J.-H.; Ge, X.-B.; Liu, Y.-H.; Wang, W.-H. Low-Iridium-Content IrNiTa Metallic Glass Films as Intrinsically Active Catalysts for Hydrogen Evolution Reaction. Adv. Mater. 2020, 32, 1906384. [Google Scholar] [CrossRef] [PubMed]
- Liu, D.; Song, Z.; Cheng, S.; Wang, Y.; Saad, A.; Deng, S.; Shen, J.; Huang, X.; Cai, X.; Tsiakaras, P. Mesoporous IrNiTa metal glass ribbon as a superior self-standing bifunctional catalyst for water electrolysis. Chem. Eng. J. 2022, 431, 134210. [Google Scholar] [CrossRef]
- Hu, Y.C.; Wang, Y.Z.; Su, R.; Cao, C.R.; Li, F.; Sun, C.W.; Yang, Y.; Guan, P.F.; Ding, D.W.; Wang, Z.L.; et al. A Highly Efficient and Self-Stabilizing Metallic-Glass Catalyst for Electrochemical Hydrogen Generation. Adv. Mater. 2016, 28, 10293–10297. [Google Scholar] [CrossRef] [PubMed]
- Doubek, G.; Sekol, R.C.; Li, J.; Ryu, W.-H.; Gittleson, F.S.; Nejati, S.; Moy, E.; Reid, C.; Carmo, M.; Linardi, M.; et al. Guided Evolution of Bulk Metallic Glass Nanostructures: A Platform for Designing 3D Electrocatalytic Surfaces. Adv. Mater. 2016, 28, 1940–1949. [Google Scholar] [CrossRef]
- Jia, Z.; Nomoto, K.; Wang, Q.; Kong, C.; Sun, L.; Zhang, L.-C.; Liang, S.-X.; Lu, J.; Kruzic, J.J. A Self-Supported High-Entropy Metallic Glass with a Nanosponge Architecture for Efficient Hydrogen Evolution under Alkaline and Acidic Conditions. Adv. Funct. Mater. 2021, 31, 2101586. [Google Scholar] [CrossRef]
- Jin, Y.; Xi, G.; Li, R.; Li, Z.-A.; Chen, X.-B.; Zhang, T. Nanoporous metallic-glass electrocatalysts for highly efficient oxygen evolution reaction. J. Alloys Compd. 2021, 852, 156876. [Google Scholar] [CrossRef]
- Tan, Y.; Zhu, F.; Wang, H.; Tian, Y.; Hirata, A.; Fujita, T.; Chen, M. Noble-Metal-Free Metallic Glass as a Highly Active and Stable Bifunctional Electrocatalyst for Water Splitting. Adv. Mater. Interfaces 2017, 4, 1601086. [Google Scholar] [CrossRef]
- Hu, F.; Zhu, S.; Chen, S.; Li, Y.; Ma, L.; Wu, T.; Zhang, Y.; Wang, C.; Liu, C.; Yang, X.; et al. Amorphous Metallic NiFeP: A Conductive Bulk Material Achieving High Activity for Oxygen Evolution Reaction in Both Alkaline and Acidic Media. Adv. Mater. 2017, 29, 1606570. [Google Scholar] [CrossRef] [PubMed]
- Zhang, F.; Wu, J.; Jiang, W.; Hu, Q.; Zhang, B. New and Efficient Electrocatalyst for Hydrogen Production from Water Splitting: Inexpensive, Robust Metallic Glassy Ribbons Based on Iron and Cobalt. ACS Appl. Mater. Interfaces 2017, 9, 31340–31344. [Google Scholar] [CrossRef]
- Aneeshkumar, K.S.; Tseng, J.-c.; Liu, X.; Tian, J.; Diao, D.; Shen, J. Electrochemically dealloyed nanoporous Fe40Ni20Co20P15C5 metallic glass for efficient and stable electrocatalytic hydrogen and oxygen generation. RSC Adv. 2021, 11, 7369–7380. [Google Scholar] [CrossRef] [PubMed]
- Yan, Y.; Wang, C.; Huang, Z.; Fu, J.; Lin, Z.; Zhang, X.; Ma, J.; Shen, J. Highly efficient and robust catalysts for the hydrogen evolution reaction by surface nano engineering of metallic glass. J. Mater. Chem. A 2021, 9, 5415–5424. [Google Scholar] [CrossRef]
- Bae, J.-W.; Kim, M.-J.; Seo, J.-H. Wet Etching Behavior of Amorphous CuZr Thin Film in Hydrogen Peroxide Solution for Stretchable Display. ECS J. Solid State Sci. Technol. 2021, 10, 056005. [Google Scholar] [CrossRef]
- Liu, D.; Wang, Y.; Tong, T.; Luo, G.; Shen, J.; Cai, X. Mesoporous copper-based metal glass as current collector for Li metal anode. Chem. Eng. J. 2023, 451, 138910. [Google Scholar] [CrossRef]
- Avani, A.V.; Anila, E.I. Recent advances of MoO3 based materials in energy catalysis: Applications in hydrogen evolution and oxygen evolution reactions. Int. J. Hydrog. Energy 2022, 47, 20475–20493. [Google Scholar] [CrossRef]
- Jiang, S.; Zhu, L.; Yang, Z.; Wang, Y. Self-supported hierarchical porous FeNiCo-based amorphous alloys as high-efficiency bifunctional electrocatalysts toward overall water splitting. Int. J. Hydrog. Energy 2021, 46, 36731–36741. [Google Scholar] [CrossRef]
- Li, Z.; Sui, J.; Zhang, Q.; Yu, J.; Yu, L.; Dong, L. CoP@NC electrocatalyst promotes hydrogen and oxygen productions for overall water splitting in alkaline media. Int. J. Hydrog. Energy 2021, 46, 2095–2102. [Google Scholar] [CrossRef]
- Ouyang, C.; Wang, X.; Wang, C.; Zhang, X.; Wu, J.; Ma, Z.; Dou, S.; Wang, S. Hierarchically Porous Ni3S2 Nanorod Array Foam as Highly Efficient Electrocatalyst for Hydrogen Evolution Reaction and Oxygen Evolution Reaction. Electrochim. Acta 2015, 174, 297–301. [Google Scholar] [CrossRef]
- Kumar, P.; Murthy, A.P.; Bezerra, L.S.; Martini, B.K.; Maia, G.; Madhavan, J. Carbon supported nickel phosphide as efficient electrocatalyst for hydrogen and oxygen evolution reactions. Int. J. Hydrog. Energy 2021, 46, 622–632. [Google Scholar] [CrossRef]
- Chen, Y.; Cai, Z.; Wang, D.; Yan, Y.; Wang, P.; Wang, X. Air-Stable Mn doped CuCl/CuO Hybrid Triquetrous Nanoarrays as Bifunctional Electrocatalysts for Overall Water Splitting. Chem. Asian J. 2021, 16, 3107–3113. [Google Scholar] [CrossRef] [PubMed]
- Liu, Q.; Liu, Q.; Kong, X. Cu-Based Nanosheet Arrays for Water-Splitting. ACS Appl. Nano Mater. 2019, 2, 6000–6009. [Google Scholar] [CrossRef]
- Saad, A.; Gao, Y.; Owusu, K.A.; Liu, W.; Wu, Y.; Ramiere, A.; Guo, H.; Tsiakaras, P.; Cai, X. Ternary Mo2NiB2 as a Superior Bifunctional Electrocatalyst for Overall Water Splitting. Small 2022, 18, 2104303. [Google Scholar] [CrossRef] [PubMed]





Publisher’s Note: MDPI stays neutral with regard to jurisdictional claims in published maps and institutional affiliations. |
© 2022 by the authors. Licensee MDPI, Basel, Switzerland. This article is an open access article distributed under the terms and conditions of the Creative Commons Attribution (CC BY) license (https://creativecommons.org/licenses/by/4.0/).
Share and Cite
Xie, Z.; Song, Z.; Zhao, J.; Li, Y.; Cai, X.; Liu, D.; Shen, J.; Tsiakaras, P. CuZr Metal Glass Powder as Electrocatalysts for Hydrogen and Oxygen Evolution Reactions. Catalysts 2022, 12, 1378. https://doi.org/10.3390/catal12111378
Xie Z, Song Z, Zhao J, Li Y, Cai X, Liu D, Shen J, Tsiakaras P. CuZr Metal Glass Powder as Electrocatalysts for Hydrogen and Oxygen Evolution Reactions. Catalysts. 2022; 12(11):1378. https://doi.org/10.3390/catal12111378
Chicago/Turabian StyleXie, Zhangyu, Zhaoqi Song, Jie Zhao, Ying Li, Xingke Cai, Dongqing Liu, Jun Shen, and Panagiotis Tsiakaras. 2022. "CuZr Metal Glass Powder as Electrocatalysts for Hydrogen and Oxygen Evolution Reactions" Catalysts 12, no. 11: 1378. https://doi.org/10.3390/catal12111378
APA StyleXie, Z., Song, Z., Zhao, J., Li, Y., Cai, X., Liu, D., Shen, J., & Tsiakaras, P. (2022). CuZr Metal Glass Powder as Electrocatalysts for Hydrogen and Oxygen Evolution Reactions. Catalysts, 12(11), 1378. https://doi.org/10.3390/catal12111378

